Ecosystem Services at the Archipelago Sea Biosphere Reserve in Finland: A Visitor Perspective
Abstract
1. Introduction
2. Materials and Methods
2.1. Study Area
2.2. Selection of the Studied Habitats
2.3. Selection of the Studied Ecosystem Services
2.4. Data Collection through Structured Interviews
2.5. Data Analysis
3. Results
3.1. Respondent Characteristics
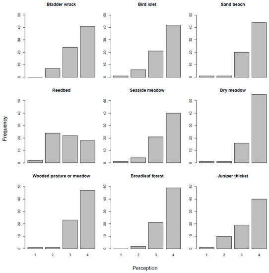
3.2. Visitors’ Perceptions of the Habitats and the ESs
3.3. Ecosystem Service Profiles of the Habitats
4. Discussion
5. Conclusions
Supplementary Materials
Author Contributions
Funding
Acknowledgments
Conflicts of Interest
References
- De Groot, R.S.; Alkemade, R.; Braat, L.; Hein, L.; Willemen, L. Challenges in integrating the concept of ecosystem services and values in landscape planning, management and decision making. Ecol. Complex. 2010, 7, 260–272. [Google Scholar] [CrossRef]
- Jones, L.; Norton, L.; Austin, Z.; Browne, A.L.; Donovan, D.; Emmett, B.A.; Grabowski, Z.J.; Howard, D.C.; Jones, J.P.G.; Kenter, J.O.; et al. Stocks and flows of natural and human-derived capital in ecosystem services. Land Use Policy 2016, 52, 151–162. [Google Scholar] [CrossRef]
- Haines-Young, R.; Potschin, M. The links between biodiversity, ecosystem services and human well-being. In Ecosystem Ecology: A New Synthesis; Raffaelli, D.G., Frid, C.L.J., Eds.; Cambridge University Press: Cambridge, UK, 2009; pp. 110–139. ISBN 978-0-521-51349-4. [Google Scholar]
- Fischer, M.; Rounsevell, M.; Torre-Marin Rando, A.; Mader, A.; Church, A.; Elbakidze, M.; Elias, V.; Hahn, T.; Harrison, P.A.; Hauck, J. (Eds.) Summary for Policymakers of the Regional Assessment Report on Biodiversity and Ecosystem Services for Europe and Central Asia of the Intergovernmental Science-Policy Platform on Biodiversity and Ecosystem Services; IPBES Secretariat: Bonn, Germany, 2018; ISBN 978-3-947851-03-4. [Google Scholar]
- Belgrano, A.; Clausen, P.; Ejdung, G.; Gamfeldt, L.; Gundersen, H.; Hammer, M.; Hancke, K.; Hansen, J.L.; Heiskanen, A.-S.; Häggblom, M.; et al. Biodiversity and Ecosystem Services in Nordic Coastal Ecosystems: An IPBES-Like Assessment. Volume 1. The General Overview; Belgrano, A., Ed.; Nordic Council of Ministers: Copenhagen, Denmark, 2018; ISBN 978-92-893-5664-0. [Google Scholar]
- Mononen, L.; Auvinen, A.-P.; Ahokumpu, A.-L.; Rönkä, M.; Aarras, N.; Tolvanen, H.; Kamppinen, M.; Viirret, E.; Kumpula, T.; Vihervaara, P. National ecosystem service indicators: Measures of social–ecological sustainability. Ecol. Indic. 2016, 61, 27–37. [Google Scholar] [CrossRef]
- Termorshuizen, J.W.; Opdam, P. Landscape services as a bridge between landscape ecology and sustainable development. Landsc. Ecol. 2009, 24, 1037–1052. [Google Scholar] [CrossRef]
- Bastian, O.; Haase, D.; Grunewald, K. Ecosystem properties, potentials and services—The EPPS conceptual framework and an urban application example. Ecol. Indic. 2012, 21, 7–16. [Google Scholar] [CrossRef]
- Luck, G.W.; Harrington, R.; Harrison, P.A.; Kremen, C.; Berry, P.M.; Bugter, R.; Dawson, T.P.; de Bello, F.; Díaz, S.; Feld, C.K.; et al. Quantifying the Contribution of Organisms to the Provision of Ecosystem Services. Bioscience 2009, 59, 223–235. [Google Scholar] [CrossRef]
- Vihervaara, P.; Kumpula, T.; Ruokolainen, A.; Tanskanen, A.; Burkhard, B. The use of detailed biotope data for linking biodiversity with ecosystem services in Finland. Int. J. Biodivers. Sci. Ecosyst. Serv. Manag. 2012, 8, 169–185. [Google Scholar] [CrossRef]
- Kontula, T.; Raunio, A. (Eds.) Threatened Habitat Types in Finland 2018. Red List of Habitats, Part I: Results and Basis for Assessment; Finnish Environment Institute and Ministry of the Environment: Helsinki, Finland, 2018; ISBN 978-952-11-4816-3. (In Finnish with English Summary).
- Keith, D.A.; Rodríguez, J.P.; Rodríguez-Clark, K.M.; Nicholson, E.; Aapala, K.; Alonso, A.; Asmussen, M.; Bachman, S.; Basset, A.; Barrow, E.G.; et al. Scientific foundations for an IUCN Red List of ecosystems. PLoS ONE 2013, 8, e62111. [Google Scholar] [CrossRef] [PubMed]
- Pechanec, V.; Machar, I.; Sterbova, L.; Prokopova, M.; Kilianova, H.; Chobot, K.; Cudlin, P. Monetary valuation of natural forest habitats in protected areas. Forests 2017, 8, 427. [Google Scholar] [CrossRef]
- Seják, J.; Pokorný, J.; Seeley, K. Achieving Sustainable Valuations of Biotopes and Ecosystem Services. Sustainability 2018, 10, 4251. [Google Scholar] [CrossRef]
- Braat, L.C.; ten Brink, P. The Cost of Policy Inaction: The Case of Not Meeting the 2010 Biodiversity Target; Report to the European Commission under Contract: ENV.G.1/ETU/2007/0044; Alterra: Wageningen, The Netherlands, 2008; p. 1718. Available online: https://www.cbd.int/financial/doc/copi-2008.pdf (accessed on 14 May 2018).
- Hooper, D.U.; Chapin, F.S., III; Ewel, J.J.; Hector, A.; Inchausti, P.; Lavorel, S.; Lawton, J.H.; Lodge, D.M.; Loreau, M.; Naeem, S.; et al. Effects of biodiversity on ecosystem functioning: A consensus of current knowledge. Ecol. Monogr. 2005, 75, 3–35. [Google Scholar] [CrossRef]
- Anderson, B.J.; Armsworth, P.R.; Eigenbrod, F.; Thomas, C.D.; Gillings, S.; Heinemeyer, A.; Roy, D.B.; Gaston, K.J. Spatial covariance between biodiversity and other ecosystem service priorities. J. Appl. Ecol. 2009, 46, 888–896. [Google Scholar] [CrossRef]
- McGinlay, J.; Parsons, D.J.; Morris, J.; Hubatova, M.; Graves, A.; Bradbury, R.B.; Bullock, J.M. Do charismatic species groups generate more cultural ecosystem service benefits? Ecosyst. Serv. 2017, 27, 15–24. [Google Scholar] [CrossRef]
- Arico, S.; Bridgewater, P.; El-beltagy, A.; Finlayson, M.; Harms, E.; Program, S.; Hepworth, R.; Leitner, K.; Oteng-yeboah, A.; Ramos, M.A.; et al. (Eds.) Millennium Ecosystem Assessment, 2005. Ecosystems and Human Well-Being: Synthesis; Island Press: Washington, DC, USA, 2005; ISBN 1597260401. [Google Scholar]
- CICES. Towards a Common Classification of Ecosystem Services. Available online: http://cices.eu/ (accessed on 29 May 2015).
- Clark, N.E.; Lovell, R.; Wheeler, B.W.; Higgins, S.L.; Depledge, M.H.; Norris, K. Biodiversity, cultural pathways, and human health: A framework. Trends Ecol. Evol. 2014, 29, 198–204. [Google Scholar] [CrossRef] [PubMed]
- Bennett, N.J. Using perceptions as evidence to improve conservation and environmental management. Conserv. Biol. 2016, 30, 582–592. [Google Scholar] [CrossRef] [PubMed]
- Daily, G.C.; Polasky, S.; Goldstein, J.; Kareiva, P.M.; Mooney, H.A.; Pejchar, L.; Ricketts, T.H.; Salzman, J.; Shallenberger, R. Ecosystem services in decision making: Time to deliver. Front. Ecol. Environ. 2009, 7, 21–28. [Google Scholar] [CrossRef]
- Burkhard, B.; Kroll, F.; Nedkov, S.; Müller, F. Mapping ecosystem service supply, demand and budgets. Ecol. Indic. 2012, 21, 17–29. [Google Scholar] [CrossRef]
- Maes, J.; Egoh, B.; Willemen, L.; Liquete, C.; Vihervaara, P.; Schägner, J.P.; Grizzetti, B.; Drakou, E.G.; La Notte, A.; Zulian, G.; et al. Mapping ecosystem services for policy support and decision making in the European Union. Ecosyst. Serv. 2012, 1, 31–39. [Google Scholar] [CrossRef]
- Pimm, S.L.; Russell, G.J.; Gittleman, J.L.; Brooks, T.M. The future of biodiversity. Science 1995, 269, 347–350. [Google Scholar] [CrossRef]
- Díaz, S.; Fargione, J.; Chapin, F.S.; Tilman, D. Biodiversity loss threatens human well-being. PLoS Biol. 2006, 4, e277:1300–e277:1305. [Google Scholar] [CrossRef]
- Burkhard, B.; Maes, J. (Eds.) Mapping Ecosystem Services; Pensoft Publishers: Sofia, Bulgaria, 2017; ISBN 978-954-642-830-1. [Google Scholar]
- Carvalho-Ribeiro, S.; Pinto Correia, T.; Paracchini, M.L.; Schüpbach, B.; Ode Sang, A.; Vanderheyden, V.; Southern, A.; Jones, P.; Contreras, B.; O′Riordan, T. Assessing the ability of rural agrarian areas to provide cultural ecosystem services (CES): A multi scale social indicator framework (MSIF). Land Use Policy 2016, 53, 8–19. [Google Scholar] [CrossRef]
- Snäll, T.; Lehtomäki, J.; Arponen, A.; Elith, J.; Moilanen, A. Green infrastructure design based on spatial conservation prioritization and modeling of biodiversity features and ecosystem services. Environ. Manag. 2016, 57, 251–256. [Google Scholar] [CrossRef] [PubMed]
- Feld, C.K.; Martins da Silva, P.; Paulo Sousa, J.; de Bello, F.; Bugter, R.; Grandin, U.; Hering, D.; Lavorel, S.; Mountford, O.; Pardo, I.; et al. Indicators of biodiversity and ecosystem services: A synthesis across ecosystems and spatial scales. Oikos 2009, 118, 1862–1871. [Google Scholar] [CrossRef]
- Seppelt, R.; Dormann, C.F.; Eppink, F.V.; Lautenbach, S.; Schmidt, S. A quantitative review of ecosystem service studies: Approaches, shortcomings and the road ahead. J. Appl. Ecol. 2011, 48, 630–636. [Google Scholar] [CrossRef]
- Daniel, T.C.; Muhar, A.; Arnberger, A.; Aznar, O.; Boyd, J.W.; Chan, K.M.A.; Costanza, R.; Elmqvist, T.; Flint, C.G.; Gobster, P.H.; et al. Contributions of cultural services to the ecosystem services agenda. Proc. Natl. Acad. Sci. USA 2012, 109, 8812–8819. [Google Scholar] [CrossRef]
- Costanza, R.; d’Arge, R.; de Groot, R.; Farber, S.; Grasso, M.; Hannon, B.; Limburg, K.; Naeem, S.; O’Neill, R.V.; Paruelo, J.; et al. The value of the world’s ecosystem services and natural capital. Nature 1997, 387, 253–260. [Google Scholar] [CrossRef]
- Willemen, L.; Verburg, P.H.; Hein, L.; van Mensvoort, M.E.F. Spatial characterization of landscape functions. Landsc. Urban Plan. 2008, 88, 34–43. [Google Scholar] [CrossRef]
- Fagerholm, N.; Käyhkö, N.; Ndumbaro, F.; Khamis, M. Community stakeholders’ knowledge in landscape assessments—Mapping indicators for landscape services. Ecol. Indic. 2012, 18, 421–433. [Google Scholar] [CrossRef]
- Stephenson, J. The Cultural Values Model: An integrated approach to values in landscapes. Landsc. Urban Plan. 2008, 84, 127–139. [Google Scholar] [CrossRef]
- Hein, L.; van Koppen, K.; de Groot, R.S.; van Ierland, E.C. Spatial scales, stakeholders and the valuation of ecosystem services. Ecol. Econ. 2006, 57, 209–228. [Google Scholar] [CrossRef]
- Plieninger, T.; Bieling, C.; Fagerholm, N.; Byg, A.; Hartel, T.; Hurley, P.; López-Santiago, C.A.; Nagabhatla, N.; Oteros-Rozas, E.; Raymond, C.M.; et al. The role of cultural ecosystem services in landscape management and planning. Curr. Opin. Environ. Sustain. 2015, 14, 28–33. [Google Scholar] [CrossRef]
- Scholte, S.S.K.; van Teeffelen, A.J.A.; Verburg, P.H. Integrating socio-cultural perspectives into ecosystem service valuation: A review of concepts and methods. Ecol. Econ. 2015, 114, 67–78. [Google Scholar] [CrossRef]
- Brown, G.; Fagerholm, N. Empirical PPGIS/PGIS mapping of ecosystem services: A review and evaluation. Ecosyst. Serv. 2015, 13, 119–133. [Google Scholar] [CrossRef]
- Raatikainen, K.J. The importance of engaging local people in landscape management—Experiences from an EU project. Landsc. Online 2018, 57, 1–22. [Google Scholar] [CrossRef]
- Martín-López, B.; Iniesta-Arandia, I.; García-Llorente, M.; Palomo, I.; Casado-Arzuaga, I.; Del Amo, D.G.; Gómez-Baggethun, E.; Oteros-Rozas, E.; Palacios-Agundez, I.; Willaarts, B.; et al. Uncovering ecosystem service bundles through social preferences. PLoS ONE 2012, 7, e38970. [Google Scholar] [CrossRef] [PubMed]
- Plieninger, T.; Dijks, S.; Oteros-Rozas, E.; Bieling, C. Assessing, mapping, and quantifying cultural ecosystem services at community level. Land Use Policy 2013, 33, 118–129. [Google Scholar] [CrossRef]
- Hartel, T.; Fischer, J.; Câmpeanu, C.; Milcu, A.I.; Hanspach, J.; Fazey, I. The importance of ecosystem services for rural inhabitants in a changing cultural landscape in Romania. Ecol. Soc. 2014, 19, 42. [Google Scholar] [CrossRef]
- Whitehead, A.L.; Kujala, H.; Ives, C.D.; Gordon, A.; Lentini, P.E.; Wintle, B.A.; Nicholson, E.; Raymond, C.M. Integrating biological and social values when prioritizing places for biodiversity conservation. Conserv. Biol. 2014, 28, 992–1003. [Google Scholar] [CrossRef]
- Aaltonen, A.; Mäki, S. Survey of Visitors to Archipelago National Park 2008; Metsähallitus Parks & Wildlife Finland: Vantaa, Finland, 2009; (In Finnish with English Summary). [Google Scholar]
- Heinonen, M. Saaristomeren Kansallispuiston Kävijätutkimus 2014; Metsähallitus Parks & Wildlife Finland: Vantaa, Finland, 2016; (In Finnish with English Summary). [Google Scholar]
- Scolozzi, R.; Schirpke, U.; Detassis, C.; Abdullah, S.; Gretter, A. Mapping Alpine landscape values and related threats as perceived by tourists. Landsc. Res. 2015, 40, 451–465. [Google Scholar] [CrossRef]
- Van Riper, C.J.; Kyle, G.T.; Sutton, S.G.; Barnes, M.; Sherrouse, B.C. Mapping outdoor recreationists’ perceived social values for ecosystem services at Hinchinbrook Island National Park, Australia. Appl. Geogr. 2012, 35, 164–173. [Google Scholar] [CrossRef]
- Bridgewater, P. The Man and Biosphere programme of UNESCO: Rambunctious child of the sixties, but was the promise fulfilled? Curr. Opin. Environ. Sustain. 2016, 19, 1–6. [Google Scholar] [CrossRef]
- UNESCO—MAB Biosphere Reserves Directory Biosphere Reserve Information: Finland—Archipelago Sea Area. Available online: http://www.unesco.org/mabdb/br/brdir/directory/biores.asp?code=FIN+02&mode=all (accessed on 30 May 2018).
- Plieninger, T.; Bieling, C.; Ohnesorge, B.; Schaich, H.; Schleyer, C.; Wolff, F. Exploring futures of ecosystem services in cultural landscapes through participatory scenario development in the Swabian Alb, Germany. Ecol. Soc. 2013, 18, 39. [Google Scholar] [CrossRef]
- Salomidi, M.; Katsanevakis, S.; Borja, Á.; Braeckman, U.; Damalas, D.; Galparsoro, I.; Mifsud, R.; Mirto, S.; Pascual, M.; Pipitone, C.; et al. Assessment of goods and services, vulnerability, and conservation status of European seabed biotopes: A stepping stone towards ecosystem-based marine spatial management. Mediterr. Mar. Sci. 2012, 13, 49–88. [Google Scholar] [CrossRef]
- Raudsepp-Hearne, C.; Peterson, G.D.; Bennett, E.M. Ecosystem service bundles for analyzing tradeoffs in diverse landscapes. Proc. Natl. Acad. Sci. USA 2010, 107, 5242–5247. [Google Scholar] [CrossRef] [PubMed]
- Queiroz, C.; Meacham, M.; Richter, K.; Norström, A.V.; Andersson, E.; Norberg, J.; Peterson, G. Mapping bundles of ecosystem services reveals distinct types of multifunctionality within a Swedish landscape. Ambio 2015, 44, 89–101. [Google Scholar] [CrossRef] [PubMed]
- ABR Archipelago Sea Area BR | Saaristomeren Biosfäärialue. Available online: http://www.skargardshavetsbiosfaromrade.fi/general-information/archipelago-sea-area-br-2/?lang=en (accessed on 14 May 2018).
- Metsähallitus Visitation Numbers in Protected Areas of Finland. Available online: http://www.metsa.fi/web/en/visitationnumbers (accessed on 30 May 2018).
- Metsähallitus. Saaristomeren kansallispuiston runkosuunnitelma—Stomplan för Skärgårdshavets Nationalpark; Metsähallitus Parks & Wildlife: Vantaa, Finland, 2000; (In Finnish with English Summary). [Google Scholar]
- Raunio, A.; Schulman, A.; Kontula, T. (Eds.) Assessment of Threatened Habitat Types in Finland; Finnish Environment Institute: Helsinki, Finland, 2008; ISBN 978-952-11-3026-7. (In Finnish with English Summary). [Google Scholar]
- Iniesta-Arandia, I.; García-Llorente, M.; Aguilera, P.A.; Montes, C.; Martín-López, B. Socio-cultural valuation of ecosystem services: Uncovering the links between values, drivers of change, and human well-being. Ecol. Econ. 2014, 108, 36–48. [Google Scholar] [CrossRef]
- Patton, M.Q. Qualitative Research and Evaluation Methods; Sage Publications: Thousand Oaks, CA, USA, 2002; Volume 3, ISBN 0-7619-1971-6. [Google Scholar]
- López-Santiago, C.A.; Oteros-Rozas, E.; Martín-López, B.; Plieninger, T.; Martín, E.G.; González, J.A. Using visual stimuli to explore the social perceptions of ecosystem services in cultural landscapes: The case of transhumance in Mediterranean Spain. Ecol. Soc. 2014, 19, 27. [Google Scholar] [CrossRef]
- R Core Team. R: A language and Environment for Statistical Computing 2018; R Foundation for Statistical Computing: Vienna, Austria, 2018. [Google Scholar]
- Nakazawa, M. FMSB: Functions for Medical Statistics Book with Some Demographic Data 2018; Minato Nakazawa: Kobe, Japan, 2018. [Google Scholar]
- Maes, J.; Paracchini, M.L.; Zulian, G.; Dunbar, M.B.; Alkemade, R. Synergies and trade-offs between ecosystem service supply, biodiversity, and habitat conservation status in Europe. Biol. Conserv. 2012, 155, 1–12. [Google Scholar] [CrossRef]
- Mussaari, M.; Käyhkö, N.; Haggrén, G.; Jansson, H.; Lindgren, L.; Pitkänen, T.; Raatikainen, K. Management Guidelines for Semi-Natural Landscapes—Integrating Historical Perspectives and GIS into Planning Process; University of Turku: Turku, Finland, 2012. [Google Scholar]
- Raatikainen, K.J.; Barron, E.S. Current agri-environmental policies dismiss varied perceptions and discourses on management of traditional rural biotopes. Land Use Policy 2017, 69, 564–576. [Google Scholar] [CrossRef]
- Lewandowski, I.; Scurlock, J.M.O.; Lindvall, E.; Christou, M. The development and current status of perennial rhizomatous grasses as energy crops in the US and Europe. Biomass Bioenergy 2003, 25, 335–361. [Google Scholar] [CrossRef]
- European Academies Science Advisory Council (EASAC). Ecosystem Services and Biodiversity in Europe; European Academies Science Advisory Council, The Royal Society: London, UK, 2009; ISBN 978-0-85403-738-4. [Google Scholar]
- Bieling, C.; Plieninger, T.; Pirker, H.; Vogl, C.R. Linkages between landscapes and human well-being: An empirical exploration with short interviews. Ecol. Econ. 2014, 105, 19–30. [Google Scholar] [CrossRef]
- Fagerholm, N.; Oteros-Rozas, E.; Raymond, C.M.; Torralba, M.; Moreno, G.; Plieninger, T. Assessing linkages between ecosystem services, land-use and well-being in an agroforestry landscape using public participation GIS. Appl. Geogr. 2016, 74, 30–46. [Google Scholar] [CrossRef]
- Ives, C.D.; Biggs, D.; Hardy, M.J.; Lechner, A.M.; Wolnicki, M.; Raymond, C.M. Using social data in strategic environmental assessment to conserve biodiversity. Land Use Policy 2015, 47, 332–341. [Google Scholar] [CrossRef]
- Pascua, P.; McMillen, H.; Ticktin, T.; Vaughan, M.; Winter, K.B. Beyond services: A process and framework to incorporate cultural, genealogical, place-based, and indigenous relationships in ecosystem service assessments. Ecosyst. Serv. 2017, 26, 465–475. [Google Scholar] [CrossRef]
- Raymond, C.M.; Bryan, B.A.; MacDonald, D.H.; Cast, A.; Strathearn, S.; Grandgirard, A.; Kalivas, T. Mapping community values for natural capital and ecosystem services. Ecol. Econ. 2009, 68, 1301–1315. [Google Scholar] [CrossRef]
- European Commission. Our Life Insurance, Our Natural Capital: An EU Biodiversity Strategy to 2020 COM(2011)244; European Commission: Brussels, Belgium, 2011. [Google Scholar]




| Commonly Used Name | Official Name Used by Environmental Administration | Red List Status 1 | Description |
|---|---|---|---|
| Bladder wrack | Fucus spp. communities on rocky and stony bottoms (habitat type) | VU | Continuous Fucus vegetation from 0.5 to 5 (10) meters deep in salty waters (3–4‰). |
| Bird islet | Coastal islets and cliffs with bird colonies (habitat type) | NT | Small islets and open parts of larger islands colonized by seabird species. Nesting places on rock or moraine; species’ preferences range from open rocks to steep slopes and scattered, woody islands. Bird islets sustain characteristic communities of calcareous vascular plants, lichens, and mosses. |
| Sand beach | Coastal sand beaches (habitat type) | EN | Baltic Sea beaches consisting of fine and coarse-grained sand and gravel. Sand beaches are characterized by unsettled soil, low nutrient level, water level fluctuation, wind, heat and salinity. Vegetation is mosaic-like and zoned. Invertebrate diversity is high, as sand beaches sustain a variety of specialist species. |
| Reedbed | Coastal reedbeds with Phragmites australis (habitat type) | LC | Common reed (Phragmites australis) vegetation on seashores and in open and sheltered habitats further from the waterfront. Based on soft (clay and silt) soils. Reedbeds have increased in coverage due to Baltic Sea eutrophication and decrease in seashore pasturage. |
| Seaside meadow | Coastal meadow (habitat type complex) | CR | Habitat mosaic consisting of open meadows with relatively low, continuous herbaceous plant and grass coverage. Seaside meadows are located between the highest and the lowest waterfront and characterized by flooding and continuous water level fluctuation. Vegetation is zoned according to moisture condition. Seaside meadows provide important habitat for several bird species. |
| Dry meadow | Dry meadow (habitat type complex) | CR | Open, nutrient-poor seminatural grasslands with herbaceous vegetation on dry sand, gravel, or moraine soil. Species richness of vascular plants and invertebrates is typically high. Dry meadows are dependent on grazing or mowing and have decreased in coverage after cessation of traditional domestic animal pasturage. |
| Wood-pastures and wooded meadows | Wood-pastures and wooded meadows (two habitat type complexes with rather similar visual appearance) | CR | Seminatural grasslands and pastures with sparsely scattered tree cover and park-like appearance. The structural diversity and general species richness of wood-pastures and wooded meadows is high. Ground cover is a mosaic of patches of grass and herbaceous plant vegetation. Wood-pastures often occur on stony soils in slopes or other rugged terrains. Crowns of pollarded trees in wooded meadows are densely branched due to foliage harvesting. Wood-pastures and wooded meadows have become rare as a result of ceased management (typically grazing of domestic animals, but wooded meadows are also mown). |
| Broadleaf forest | Herb-rich forests with broadleaved deciduous trees (habitat type complex) | EN | Mixed-species deciduous forests on eutrophic soils. Forest floor is dominated by bryophytes and ground cover by herbaceous plants and grasses. Biodiversity is high as there is great variety in tree age and species composition. Broadleaf forests are important habitats for deadwood-dependent species. |
| Juniper thicket | Coastal Juniperus communis thickets (habitat type) | LC | Dense juniper (Juniperus communis) shrubberies on open moraine islands and on top of rocks and moraine hillocks. Ground cover is insubstantial, species adjusted to dry and nutrient-poor soil. Shrub layer has become denser after decline in pasturage and controlled burning. Harsh winter conditions protect the juniper thickets from overgrowth of trees. |
| Ecosystem Service 1 | Category | Description of Studied Ecosystem Service |
|---|---|---|
| Hunting and fishing | Provisioning service | Hunting and fishing for household or commercial use. |
| Collecting and harvesting | Provisioning service | Collecting or harvesting berries, mushrooms and/or plants for household or commercial use. |
| Energy production | Provisioning service | Biomass-based energy production for household or industrial use, including collecting firewood and mowing or clearing of vegetation with the aim of utilization for bioenergy. |
| Water and soil quality | Regulation and maintenance service | Ability of the habitat to maintain good soil or water quality. In terrestrial habitats, this refers to an ability to resist soil erosion or to maintain soil moisture and nutrient cycle. In aquatic or semiaquatic habitats, this refers to the ability to maintain or indicate good water quality (e.g., in terms of purity, clarity, and low nutrient load). |
| Scenery | Cultural service | Personal perception usually based on visual evaluation of the aesthetic appearance of the habitat. |
| Cultural value | Cultural service | Significance of the habitat as contributing to local heritage, such as traditional land uses and other cultural practices typical for the Archipelago Sea region. |
| Recreational value | Cultural service | Self- or professionally organized recreational use: hiking, travelling, boating, camping, or other leisure-time activities. |
| Biodiversity | All services | Including all levels of biotic diversity, ranging from genetic variation to species richness to habitat and ecosystem heterogeneity; to facilitate the interviews, a simplified and more concrete “plant and animal species richness” was used. |
© 2019 by the authors. Licensee MDPI, Basel, Switzerland. This article is an open access article distributed under the terms and conditions of the Creative Commons Attribution (CC BY) license (http://creativecommons.org/licenses/by/4.0/).
Share and Cite
Viirret, E.; Raatikainen, K.J.; Fagerholm, N.; Käyhkö, N.; Vihervaara, P. Ecosystem Services at the Archipelago Sea Biosphere Reserve in Finland: A Visitor Perspective. Sustainability 2019, 11, 421. https://doi.org/10.3390/su11020421
Viirret E, Raatikainen KJ, Fagerholm N, Käyhkö N, Vihervaara P. Ecosystem Services at the Archipelago Sea Biosphere Reserve in Finland: A Visitor Perspective. Sustainability. 2019; 11(2):421. https://doi.org/10.3390/su11020421
Chicago/Turabian StyleViirret, Elina, Kaisa J. Raatikainen, Nora Fagerholm, Niina Käyhkö, and Petteri Vihervaara. 2019. "Ecosystem Services at the Archipelago Sea Biosphere Reserve in Finland: A Visitor Perspective" Sustainability 11, no. 2: 421. https://doi.org/10.3390/su11020421
APA StyleViirret, E., Raatikainen, K. J., Fagerholm, N., Käyhkö, N., & Vihervaara, P. (2019). Ecosystem Services at the Archipelago Sea Biosphere Reserve in Finland: A Visitor Perspective. Sustainability, 11(2), 421. https://doi.org/10.3390/su11020421

