Investigating Dominant Trip Distance for Intercity Passenger Transport Mode Using Large-Scale Location-Based Service Data
Abstract
1. Introduction
2. Data
2.1. Data Collection
2.2. Data Analysis
3. Methodology
3.1. Dominant Trip Distance Definition
- Absolute dominant trip distance—This is the trip distance range where the mode share value of a passenger transport mode is greater than that of any other passenger transport mode.
- Relative dominant trip distance—This is the trip distance range where the mode share value of a passenger transport mode in a certain trip distance range is greater than that of any other trip distance range of the same distance.
3.2. Modeling of Absolute Dominant Trip Distance
3.3. Modeling of Relative Dominant Trip Distance
4. Result Analysis
4.1. Mode Share Functions and Curves
4.2. Solution of Absolute Dominant Trip Distance
4.3. Solution of Relative Dominant Trip Distance
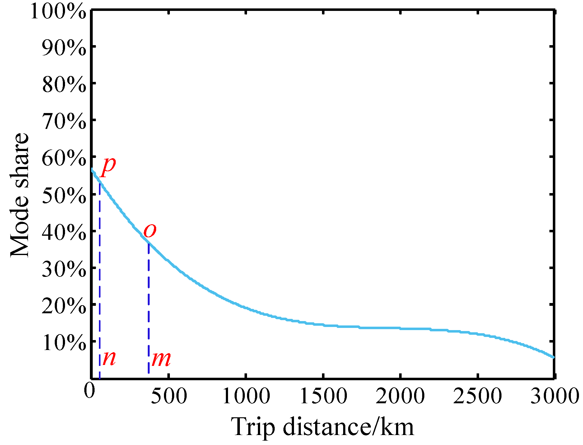
- Relative dominant trip distance of highway—As shown in Figure 8, there are four unknown points , , , . The values of and can be calculated by the area surrounded by , , , and the highway mode share curve.
- 2.
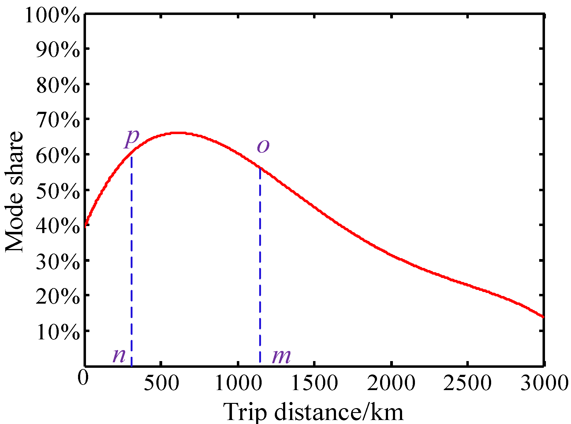
- Relative dominant trip distance of railway—As shown in Figure 9, there are four unknown points , , , , and the values of and can be calculated by the area surrounded by , , , , and the railway mode share curve.
- 3.
- Relative dominant trip distance of airway—As shown in Figure 10, there are four unknown points , , , , and the values of and can be calculated by the area surrounded by , , , , and the airway mode share curve.
4.4. Result Analysis
5. Conclusions
Author Contributions
Funding
Acknowledgments
Conflicts of Interest
References
- Baohua, M.A.O.; Quanxin, S.U.N.; Shaokuan, C. Structural analysis on 2008 intercity transport system of China. J. Transp. Syst. Eng. Inf. Technol. 2009, 9, 10–18. [Google Scholar]
- Carlsson, F. The demand for intercity public transport: The case of business passengers. Appl. Econ. 2003, 35, 41–50. [Google Scholar] [CrossRef][Green Version]
- Morton, A.L. Intermodal competition for the intercity transport of manufactures. Land Econ. 1972, 48, 357–366. [Google Scholar] [CrossRef]
- Oum, T.H.; Gillen, D.W. The structure of intercity travel demands in Canada: Theory tests and empirical results. Transp. Res. Part B Methodol. 1983, 17, 175–191. [Google Scholar] [CrossRef]
- Liu, B.L.; Liu, Y. Estimation in China Cumulative Amount of Highway and Waterway Capital. J. Beijing Jiaotong Univ. 2007, 3, 44–48. [Google Scholar]
- Chiou, Y.C.; Lan, L.W.; Chang, K.L. Sustainable consumption, production and infrastructure construction for operating and planning intercity passenger transport systems. J. Clean. Prod. 2013, 40, 13–21. [Google Scholar] [CrossRef]
- Ivaldi, M.; Vibes, C. Price competition in the intercity passenger transport market: A simulation model. J. Transp. Econ. Policy 2008, 42, 225–254. [Google Scholar]
- Moeckel, R.; Fussell, R.; Donnelly, R. Mode choice modeling for long-distance travel. Transp. Lett. 2015, 7, 35–46. [Google Scholar] [CrossRef]
- Lapparent, M.; Axhausen, K.W.; Frei, A. Long distance mode choice and distributions of values of travel time savings in three European countries. Arb. Verk. Raumplan. 2010, 570. Available online: https://doi.org/10.3929/ethz-a-005864249 (accessed on 24 September 2019). [CrossRef]
- Espino, R.; de Dios Ortúzar, J.; Román, C. Understanding suburban travel demand: Flexible modelling with revealed and stated choice data. Transp. Res. Part A Policy Pract. 2007, 41, 899–912. [Google Scholar] [CrossRef]
- Müller, S.; Tscharaktschiew, S.; Haase, K. Travel-to-school mode choice modelling and patterns of school choice in urban areas. J. Transp. Geogr. 2008, 16, 342–357. [Google Scholar] [CrossRef]
- Kim, N.S.; Van Wee, B. The relative importance of factors that influence the break-even distance of intermodal freight transport systems. J. Transp. Geogr. 2011, 19, 859–875. [Google Scholar] [CrossRef]
- Arbués, P.; Baños, J.F.; Mayor, M.; Suárez, P. Determinants of ground transport modal choice in long-distance trips in Spain. Transp. Res. Part A Policy Pract. 2016, 84, 131–143. [Google Scholar] [CrossRef]
- Scheiner, J. Interrelations between travel mode choice and trip distance: Trends in Germany 1976–2002. J. Transp. Geogr. 2010, 18, 75–84. [Google Scholar] [CrossRef]
- Zumkeller, D.; Nakott, J. Neues Leben für die Städte. Grünes Licht fürs Fahrrad. Bild Wiss. 1988, 5, 104–113. [Google Scholar]
- Jiang, F.; Johnson, P.; Calzada, C. Freight demand characteristics and mode choice: An analysis of the results of modeling with disaggregate revealed preference data. J. Transp. Stat. 1999, 149–158. [Google Scholar] [CrossRef]
- Fan, Q.; Wang, W.; Hua, X.; Wei, X.; Liang, M. Dominant transport distance for multi transport modes in urban integrated transport network based on general travel costs. J. Transp. Syst. Eng. Inf. Technol. 2018, 18, 25–31. [Google Scholar]
- Kang, Y.S.; Herr, P.M.; Page, C.M. Time and distance: Asymmetries in consumer trip knowledge and judgments. J. Consum. Res. 2003, 30, 420–429. [Google Scholar] [CrossRef]
- Stead, D.; Marshall, S. The relationships between urban form and travel patterns. An international review and evaluation. Eur. J. Transp. Infrastruct. Res. 2001, 1, 113–141. [Google Scholar]
- Ewing, R.; Cervero, R. Travel and the built environment: A synthesis. Transp. Res. Rec. 2001, 1780, 87–114. [Google Scholar] [CrossRef]
- Van Dyck, D.; De Bourdeaudhuij, I.; Cardon, G.; Deforche, B. Criterion distances and correlates of active transportation to school in Belgian older adolescents. Int. J. Behav. Nutr. Phys. Act. 2010, 7, 87. [Google Scholar] [CrossRef] [PubMed]
- Holz-Rau, H.C. Wechselwirkungen zwischen Siedlungsstruktur und Verkehr: Verkehrsverhalten beim Einkauf. Int. Verk. 1991, 43, 300–305. [Google Scholar]
- Zhang, J.N.; Zhao, P. Research on passenger choice behavior of trip mode in comprehensive transportation corridor. China Railw. Sci. 2012, 33, 123–131. [Google Scholar]
- Román, C.; Espino, R.; Martín, J.C. Competition of high-speed train with air transport: The case of Madrid–Barcelona. J. Air Transp. Manag. 2007, 13, 277–284. [Google Scholar] [CrossRef]
- Ahern, A.A.; Tapley, N. The use of stated preference techniques to model modal choices on interurban trips in Ireland. Transp. Res. Part A Policy Pract. 2008, 42, 15–27. [Google Scholar] [CrossRef]
- Cattaneo, M.; Malighetti, P.; Paleari, S.; Redondi, R. The role of the air transport service in interregional long-distance students’ mobility in Italy. Transp. Res. Part A Policy Pract. 2016, 93, 66–82. [Google Scholar] [CrossRef]
- Xu, C.; Ji, M.; Chen, W.; Zhang, Z. Identifying travel mode from GPS trajectories through fuzzy pattern recognition. In Proceedings of the 2010 Seventh International Conference on Fuzzy Systems and Knowledge Discovery, Yantai, China, 10–12 August 2010; pp. 889–893. [Google Scholar]
- Gong, H.; Chen, C.; Bialostozky, E.; Lawson, C.T. A GPS/GIS method for travel mode detection in New York City. Comput. Environ. Urban Syst. 2012, 36, 131–139. [Google Scholar] [CrossRef]
- Xiao, G.; Juan, Z.; Zhang, C. Travel mode detection based on GPS track data and Bayesian networks. Comput. Environ. Urban Syst. 2015, 54, 14–22. [Google Scholar] [CrossRef]
- Wiehe, S.E.; Carroll, A.E.; Liu, G.C.; Haberkorn, K.L.; Hoch, S.C.; Wilson, J.S.; Fortenberry, J.D. Using GPS-enabled cell phones to track the travel patterns of adolescents. Int. J. Health Geogr. 2008, 7, 22. [Google Scholar] [CrossRef]
- Chung, E.H.; Shalaby, A. A trip reconstruction tool for GPS-based personal travel surveys. Transp. Plan. Technol. 2005, 28, 381–401. [Google Scholar] [CrossRef]
- Mavoa, S.; Oliver, M.; Witten, K.; Badland, H.M. Linking GPS and travel diary data using sequence alignment in a study of children’s independent mobility. Int. J. Health Geogr. 2011, 10, 64. [Google Scholar] [CrossRef] [PubMed]
- Zhan, X.; Ukkusuri, S.V.; Zhu, F. Inferring urban land use using large-scale social media check-in data. Netw. Spat. Econ. 2014, 14, 647–667. [Google Scholar] [CrossRef]
- Zhao, J.; Wang, J.; Deng, W. Exploring bikesharing travel time and trip chain by gender and day of the week. Transp. Res. Part C Emerg. Technol. 2015, 58, 251–264. [Google Scholar] [CrossRef]
- Moya-Gómez, B.; Salas-Olmedo, M.H.; García-Palomares, J.C.; Gutiérrez, J. Dynamic accessibility using big data: The role of the changing conditions of network congestion and destination attractiveness. Netw. Spat. Econ. 2018, 18, 273–290. [Google Scholar] [CrossRef]
- Zhao, Y. Mobile phone location determination and its impact on intelligent transportation systems. IEEE Trans. Intell. Transp. Syst. 2000, 1, 55–64. [Google Scholar] [CrossRef]
- Rashidi, T.H.; Abbasi, A.; Maghrebi, M.; Hasan, S.; Waller, T.S. Exploring the capacity of social media data for modelling travel behaviour: Opportunities and challenges. Transp. Res. Part C Emerg. Technol. 2017, 75, 197–211. [Google Scholar] [CrossRef]
- Zhang, Z.; He, Q.; Zhu, S. Potentials of using social media to infer the longitudinal travel behavior: A sequential model-based clustering method. Transp. Res. Part C Emerg. Technol. 2017, 85, 396–414. [Google Scholar] [CrossRef]
- Abbasi, A.; Rashidi, T.H.; Maghrebi, M.; Waller, S.T. Utilising location based social media in travel survey methods: Bringing Twitter data into the play. In Proceedings of the 8th ACM SIGSPATIAL International Workshop on Location-Based Social Networks, Bellevue, WA, USA, 3–6 November 2015. [Google Scholar]
- Sun, Y.; Li, M. Investigation of travel and activity patterns using location-based social network data: A case study of active mobile social media users. ISPRS Int. J. Geo-Inf. 2015, 4, 1512–1529. [Google Scholar] [CrossRef]
- Hasan, S.; Ukkusuri, S.V.; Zhan, X. Understanding social influence in activity location choice and lifestyle patterns using geolocation data from social media. Front. ICT 2016, 3, 10. [Google Scholar] [CrossRef]
- Cheng, Z.; Caverlee, J.; Lee, K.; Sui, D.Z. Exploring millions of footprints in location sharing services. In Proceedings of the Fifth International AAAI Conference on Weblogs and Social Media, Barcelona, Spain, 17–21 July 2011. [Google Scholar]
- Maghrebi, M.; Abbasi, A.; Rashidi, T.H.; Waller, S.T. Complementing travel diary surveys with twitter data: Application of text mining techniques on activity location, type and time. In Proceedings of the 2015 IEEE 18th International Conference on Intelligent Transportation Systems, Las Palmas, Spain, 15–18 September 2015. [Google Scholar]
- Zhang, W.; Derudder, B.; Wang, J.; Shen, W.; Witlox, F. Using location-based social media to chart the patterns of people moving between cities: The case of Weibo-users in the Yangtze River Delta. J. Urban Technol. 2016, 23, 91–111. [Google Scholar] [CrossRef]
- Raper, J.; Gärtner, G.; Karimi, H.; Rizos, C. Applications of location-based services: A selected review. J. Locat. Based Serv. 2007, 1, 89–111. [Google Scholar] [CrossRef]
- Xiang, Y.; Wang, W.; Wang, H.; Wei, X.; Li, P. Analysis Method for Dominant Transportation Distance for Freight Based on Mode Split Rate. In Proceedings of the 96th Annual Meeting of Transportation Research Board, Washington, DC, USA, 8–12 January 2017. [Google Scholar]












| No. | Date | Departure | Destination | Highway Mode Share | Railway Mode Share | Airway Mode Share |
|---|---|---|---|---|---|---|
| 1 | 1 October 2017 | Beijing | Chongqing | 1% | 30% | 69% |
| 2 | 1 October 2017 | Beijing | Shanghai | 13% | 42% | 45% |
| 3 | 1 October 2017 | Beijing | Changsha | 0% | 53% | 47% |
| … | … | … | … | … | … | … |
| 10 | 1 October 2017 | Beijing | Zhengzhou | 11% | 87% | 2% |
| 11 | 1 October 2017 | Chongqing | Beijing | 0% | 28% | 71% |
| 12 | 1 October 2017 | Shanghai | Beijing | 13% | 39% | 48% |
| 13 | 1 October 2017 | Wuhan | Beijing | 10% | 63% | 27% |
| … | … | … | … | … | … | … |
| 20 | 1 October 2017 | Tianjin | Beijing | 27% | 73% | 0% |
| … | … | … | … | … | … | … |
| Statistical Distribution Function | RMSE | Adjusted R-Squared | ||||
|---|---|---|---|---|---|---|
| Highway | Railway | Airway | Highway | Railway | Airway | |
| Exponential | 3.333 | 12.870 | 5.872 | 0.936 | 0.475 | 0.952 |
| Gaussian | 3.059 | 3.952 | 5.953 | 0.942 | 0.950 | 0.950 |
| Polynomial | 3.668 | 4.557 | 5.423 | 0.914 | 0.934 | 0.959 |
| Power | 3.831 | 7.304 | 5.840 | 0.912 | 0.831 | 0.953 |
| Fourier | 4.809 | 5.495 | 5.361 | 0.868 | 0.904 | 0.96 |
| Transport Mode | Absolute Dominant Trip Distance | Relative Dominant Trip Distance |
|---|---|---|
| highway | 8–119 | 8–463 |
| railway | 119–1594 | 318–983 |
| airway | 1594–3000 | 2477–3000 |
© 2019 by the authors. Licensee MDPI, Basel, Switzerland. This article is an open access article distributed under the terms and conditions of the Creative Commons Attribution (CC BY) license (http://creativecommons.org/licenses/by/4.0/).
Share and Cite
Xiang, Y.; Xu, C.; Yu, W.; Wang, S.; Hua, X.; Wang, W. Investigating Dominant Trip Distance for Intercity Passenger Transport Mode Using Large-Scale Location-Based Service Data. Sustainability 2019, 11, 5325. https://doi.org/10.3390/su11195325
Xiang Y, Xu C, Yu W, Wang S, Hua X, Wang W. Investigating Dominant Trip Distance for Intercity Passenger Transport Mode Using Large-Scale Location-Based Service Data. Sustainability. 2019; 11(19):5325. https://doi.org/10.3390/su11195325
Chicago/Turabian StyleXiang, Yun, Chengcheng Xu, Weijie Yu, Shuyi Wang, Xuedong Hua, and Wei Wang. 2019. "Investigating Dominant Trip Distance for Intercity Passenger Transport Mode Using Large-Scale Location-Based Service Data" Sustainability 11, no. 19: 5325. https://doi.org/10.3390/su11195325
APA StyleXiang, Y., Xu, C., Yu, W., Wang, S., Hua, X., & Wang, W. (2019). Investigating Dominant Trip Distance for Intercity Passenger Transport Mode Using Large-Scale Location-Based Service Data. Sustainability, 11(19), 5325. https://doi.org/10.3390/su11195325
