Abstract
In the present study, the integrated use of organic and inorganic amendments (CS–MD–CSP) including carbide slag (CS), calcium superphosphate (CSP) and mushroom dreg (MD) are employed for the stabilization of heavy metals in contaminated soils. A response surface methodology combined with immobilization efficiency was employed to evaluate and optimize the proportion of the integration amendments on the stabilization process. The results predicted by a Box–Behnken design indicated that the maximum immobilization efficiencies of soil Pb, Cu, Zn and Cd could be achieve up to 99.88, 96.11, 99.78 and 87.88%, respectively, when the dosage of CS, CSP and MD were set as 4, 1 and 6%, respectively. European Community Bureau of Reference (BCR) speciation analysis indicated that the acid-soluble proportion of Pb, Cu, Zn and Cd in the soils decreased by 72.68, 37.03, 9.36 and 12.94%, respectively. Thus, this CS–MD–CSP integration amendment could potentially be used for the remediation of Pb, Cu, Zn and Cd in contaminated soils.
1. Introduction
In recent decades, the heavy metal contamination of soil has dramatically increased globally due to the intensification of anthropogenic activities, especially in mining, smelting, chemical engineering, electroplating and the disposal of industrial wastes [1,2,3,4]. Among these heavy metals, zinc (Zn), copper (Cu), lead (Pb) and cadmium (Cd) are particularly persistent in soil environments, because of their non-biodegradable characteristic [5]. Meanwhile, these heavy metals are highly toxic in soils and can significantly inhibit seed germination, plant and crop growth, threaten food safety and disturb the ecosystem [6,7]. Moreover, the heavy metal contamination of soils has received great attention due to the fact that the toxicity poses serious threats to human and wildlife sustainability via the accumulation of the food chain, such as itai-itai disease and blood lead [8,9,10]. Consequently, the remediation of heavy metal contamination in soils is imperative.
Soil remediation technologies attract special attention since traditional soil reclamation practices such as landfilling, excavation, thermal treatment and chemical soil washing are typically expensive and destructive [11]. Strategies “ex situ” cause a significant deterioration of soil structure and often come at a high economic cost and an infeasible environment, limiting their use on large contaminated areas [12]. Compared to traditional soil remediation treatments, techniques “in situ” including soil amendment based-technologies such as stabilization seem to be more efficient and environmentally friendly for heavy metal remediation because of their low cost and simple maintenance [13,14]. Chemical stabilization, a remediation technique that decreases the dissolved contaminates by sorption, precipitation/coprecipitation and chelation, is suitable for soil remediation in less polluted and larger areas [15].
Various inorganic (i.e., lime and phosphate compounds) and organic (i.e., cow or pig manure and compost) amendments have been used for the stabilization process of heavy metals in soil [16,17,18,19]. Inorganic amendments including phosphate compounds (i.e., rock phosphate, apatite and hydroxyapatite) [20,21], iron (Fe) and manganese (Mn) oxides and oxyhydroxides, Fe/Mn-bearing amendments [22,23], and lime agents. They [24] have been tested and were found to be successful in reducing the availability of heavy metals [25]. Organic amendments including sewage sludge [26,27], compost [28,29], rice straw [30], animal manures [31,32], and biosolids [33,34] are low-cost adsorbents which have received more attention due to their availability, inexpensiveness, flexibility and capability to stabilize heavy metals without additional pre-treatment [35]. Moreover, they require much less area and dosages than inorganic agents.
Generally, phosphate compounds enhance the immobilization of heavy metals in soils by direct metal adsorption/substitution with P compounds, which significantly increased surface charge and enhance anion-induced metal adsorption [36]. A range of liming materials is effectively used to neutralize soil acidity. The addition of organic amendments improves the physicochemical and biological conditions of soils. Carbide slag (CS) is a by-product of the calcium carbide industry and mainly composed of Ca(OH)2 (85–95%) and CaCO3 (1–10%) [37]. Most of the CS in China is industrial solid waste. However, recently CS has been used to replace hydrated lime to ameliorate soil acidity in the soil stabilization process due to their similar chemical compositions [38]. Mushroom dreg (MD) is a type of agricultural waste, which is produced after the cultivation of edible fungus. MD have been already widely used as an ameliorant to improve the soil fertility of farmlands in many regions of China [39]. Calcium superphosphate (CSP) is a typical phosphate compound, which is applied as a fertilizer to improve the nutrient supply in soil and enhance the immobilization of heavy metals [40].
As a new soil stabilization binder, using CS–MD–CSP integration amendment as the stabilizer has not been investigated yet. So the objectives of this study were: (1) to select and optimize the proportion of CS–MD–CSP integration amendments for heavy metal stabilization; (2) to assess heavy metal leachability before and after the stabilization process using European Community Bureau of Reference (BCR) speciation analysis.
2. Experimental
2.1. Soil and Binders
The fresh soil was obtained from the suburban area in Nanning, Guangxi province, China, which was sieved to pass through a 2.0-mm mesh after air dying at room temperature. Based on the generally soil-contaminated situation around the smelter, according to the GB 15619-1995 (National standard of soil environmental quality), the proper amount of soluble salt containing Pb, Cu, Zn and Cd was added to the fresh soil in order to obtain the experimental soil (i.e., stimulated heavy metals combining polluted soil). The water content of the experimental soil was regulated to 40%, and laboratory incubation was carried out for 30 days. Selected chemical and physical properties of the experimental soil are presented in Table 1.
Table 1.
Chemical and physical properties of the experimental soil.
CS is a kind of industry waste, which was obtained from Nanning Chemical Plant, sieved to pass through a 0.4-mm mesh after air dying at room temperature. The main chemical composition (by % weight) of the CS is presented in Table 2. MD was obtained from the local farmers and CSP is a kind of phosphate fertilizer and is mainly composed of Ca (H2PO4)2·H2O and CaSO4·2H2O, with an effective content (by % weight) of P ≥ 16%, S ≥ 10% and Ca ≥ 18%. The leaching toxicity concentrations of heavy metals in CS, MD, CSP and experimental soil are shown in Table 3.
Table 2.
Main chemical composition (by % weight) of carbide slag (CS).
Table 3.
Heavy metals’ leaching toxicity concentrations in CS, MD, CSP and experimental soil.
2.2. Total Heavy Metal Content Determination
Total heavy metal content in soil was determined by digestion with a mixture of aqua regia with HClO4. A conical flask containing 0.5 g of soil sample and 10 mL of aqua regia (HCl:HNO3 = 3:1) was heated in a sand-bath heater, and then 2 mL of HClO4 was used for the digestion of heavy metals, only added when the liquid cooled to room temperature. Finally, 1% of HNO3 was employed to dissolve the sample. The digests were filtered into 100-mL polyethylene bottles, and the content was determined using Inductively Coupled Plasma Atomic Emission Spectroscopy (ICP-AES).
2.3. Selection of Proportion by Box–Behnken Design
Response surface methodology (RSM) based on a Box–Behnken design (BBD) was employed to select the proportion of the CS–MD–CSP integration amendments. The significant variables utilized were as follows: dosage of CS, dosage of MD and dosage of CSP. BBD was used to determine the optimum proportion of these three amendments. A total of 17 trial experiments were conducted, which are indicated in Table 4 and Table 5. The central values of all variables were coded as zero. Three-dimensional surface plots were used to express the fitted polynomial equation (Figure 1). The combination of different optimized variables was determined to verify the model. The statistical software package Design-Expert, Version 8.0.6 was used for the experimental designs and to analyze the central composite design. The information of model fitting was estimated by the analysis of variance (ANOVA) and multiple linear regressions. The quality of fit explained by the model was given by the multiple coefficient of determination R squared (R2) value [41,42]. The statistical significance of the model equation was determined via the Fisher’s test (F-test) value and p-value (Table 6).
Table 4.
Experimental variables at different levels using Box–Behnken design.
Table 5.
Experimental design and results of Box–Behnken optimization experiments.
Figure 1.
Correlation of observed and predicted immobilization efficiency for Pb, Cu, Zn and Cd of the Box–Behnken optimization experiments.
Table 6.
Results of the regression analysis of the Box–Behnken design for the optimization of the stabilization ratio.
The quadratic equation model for predicting the optimum value and elucidating the interaction between the factors within the specified range are expressed as Equation (1) [2]:
where Y is the predicted response; Xi and Xj are the independent variables; β0 is a constant of the equation; βi, βj and βij are the linearity, quadratic and interactive coefficients of the model, respectively; n is the number of variables; B0 is the intercept term.
2.4. Speciation Identification of Heavy Metals
Sequential extraction was performed using a three-stage modified procedure recommended by the European Community Bureau of Reference (BCR) plus the residual fraction [43,44]. In the BCR sequential extraction process, there were four nominal target fractions in order to recognize the environmental behavior and bioavailability of heavy metals and potentially toxic metals effectively, which were named the acid-soluble fraction (F1), easily reducible fraction (F2), oxidizable fraction (F3), and residual fraction (F4). The steps of the sequential extraction are presented in Table 7.
Table 7.
Steps of the sequential extraction.
3. Results and Discussion
3.1. Proportion Optimization of CS–MD–CSP Integration Amendments
3.1.1. Model Fitting and Analysis of Variance (ANOVA)
The models were statistically significant with a F-value of 16.48, 28.94, 104.76 and 214.01 for Pb, Cu, Zn and Cd, respectively, while the F-value of ‘lack of fit’ was 12.71, 21.07, 6.05 and 5.74 for Pb, Cu, Zn and Cd, respectively (Table 6). The high F-value and non-significant lack of fit indicate that the quadratic model was valid for the present optimization study. Meanwhile, the p-value for the models was less than 0.05 and proved that the obtained experimental data were a good fit with the model [45]. Moreover, determination and the adjusted determination of coefficients (R2 and R2adj.) values for all metals were close to 1.0, confirming that the models have high explanatory power. In addition, the coefficient of variation (C.V.) for all metals was less than 10%, which indicated the high degree of precision and reliability of the developed models [46]. Furthermore, the high values of Adeq. Precision. (13.222, 19.273, 36.704 and 50.325 for Pb, Cu, Zn and Cd, respectively) show the adequate signal for the developed models, since an Adeq. Precision. value higher than 4% is desirable [46,47].
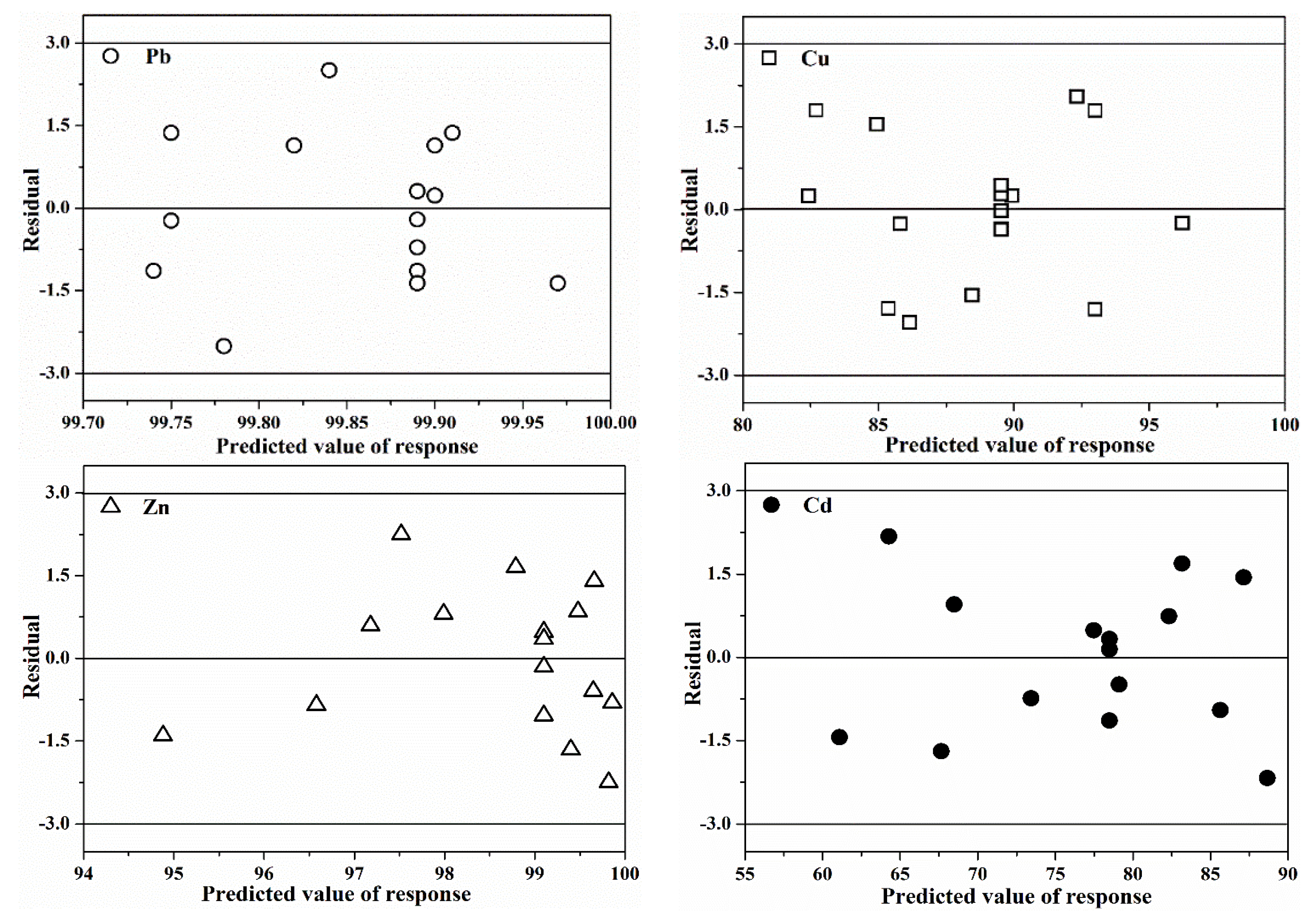
The variance of observed immobilization efficiencies and validity of the regression analysis are shown in Figure 1. The predicted valued of Pb, Cu, Zn and Cd immobilization efficiencies obtained from the models and the observed experimental data were split evenly at the 45° line (Figure 1), implying that the quadratic models were considered to be reasonable. Additionally, the plot of studentized residual versus the predicted immobilization efficiency for Pb, Cu, Zn and Cd exhibited a non-symmetric scatter (Figure 2), indicating that the quadratic model terms were significant (p < 0.05) [2]. These results discussed above demonstrate the accuracy of the Box–Behnken model when applied to examine the proportion combinations of the CS–MD–CSP integration amendments in order to enhance the immobilization efficiencies of Pb, Cu, Zn and Cd in soils.
Figure 2.
Plot of residuals versus the predicted immobilization efficiency for Pb, Cu, Zn and Cd of the Box–Behnken optimization experiments.
3.1.2. Prediction of Immobilization Efficiency by RSM Model
The experimental data on the immobilization efficiencies of Pb, Cu, Zn and Cd in the soils under different proportion combinations of the CS–MD–CSP integration amendments were analyzed by the second-order polynomial equation based on the coded values of the three operational factors:
which present the immobilization efficiency of Pb (Y1), Cu (Y2), Zn (Y3) and Cd (Y4) as a function of the dosage of CS (X1), dosage of CSP (X2) and dosage of MD (X3). Because the coded variables in the regression equations (Equations (2)–(5)), were in the normalized form, the coefficients gave direct measures of the contribution of each factor and its interactions [47]. The dosage of CS had the largest coefficient in all four functions, which were 0.057, 4.48, 1.34 and 10.38, respectively, implying that it is the most dominating factor that affects the metal stabilization process.
Values of p less than 0.05 indicated that the model terms were significant and values below 0.01 indicated that the model terms were very significant. So, in this case, presented in Table 6, of the individual quadratic factors, the dosage of CS (X1) and the dosage of CSP (X2) had a statistically significant effect on the stabilization process of Pb, Cu, Zn and Cd, while the dosage of MD (X3) is statistically insignificant on the stabilization process of Zn. The most important operational factor was the dosage of CS, having the highest F-value (54.94, 184.28, 462.05 and 1691.37) in all four models. Among the two-factor interaction, the interactions between the dosage of CS and the dosage of CSP (X1×2) were significant on the stabilization process of Cu and Zn. From the squares of individual variables, the square of the dosage of CS (X12) was significant on the stabilization process of Cu, Zn and Cd, while the square of the dosage of CSP (X22) was significant on the stabilization process of Pb. Moreover, F-values present in Table 6 indicate that the effect of individual variables is relatively more significant than that of their interactions.
3.1.3. Contour Analysis
As presented in Figure 3 (1) and (3), the oval shape contour plots indicated that there was a strong interaction between the dosage of CS and CSP, and the dosage of MD and CSP. The Pb immobilization efficiency increased steadily as the dosage of CS rose from 2.00 to 4.00%, while the dosage of CSP remained approximately 2.00%. The shape of the contour in Figure 3 (4)–(6) confirmed a weak interaction between the two independent variables. But the contour plots showed that the Cu immobilization efficiency increased when the level of the dosage of CS increased while the level of the dosage of CSP decreased. As shown in Figure 3 (7)–(9), although the flat curve confirmed a weak interaction between the two independent variables, the contour plots implied that the lower dosage of the level of CSP was helpful to improve the immobilization efficiency of Zn. Additionally, the same conclusion can be found in Figure 3 (10) and (12). The curve increased in Cd immobilization efficiency when the level of the dosage of CSP decreased.
Figure 3.
The contour plots showing effects of two independent variables on the Pb, Cu, Zn and Cd immobilization efficiency (holding another variable at central values).
Hence, the curves indicated that the dosage of CS and dosage of CSP substantially influence Pb, Cu, Zn and Cd immobilization efficiencies. The higher dosage of the level of CS had a positive effect on the stabilization process, while higher dosage of the level of CSP an antagonistic effect on the stabilization process. When the dosage of CS remained approximately 6%, and the dosage of CSP remained approximately 1%, immobilization efficiencies of metals occurred in the following order: Pb > Zn > Cu > Cd. Meanwhile, the intermediate dosage of the level of MD was favorable to the stabilization process.
3.1.4. Validation of the Models
The main purpose of RSM was to obtain the maximized response value with operational independent factors. In this study, the dosage of CS, CSP and MD were utilized to determine the optimum proportion of the three amendments, willing to obtain the best heavy metal immobilization efficiency. This optimization strategy successfully enhances the heavy metal immobilization efficiency. The results predicted by Box–Behnken design indicated that the maximum immobilization efficiencies of soil Pb, Cu, Zn and Cd could be achieve up to 99.9, 96.1, 99.8 and 87.9% efficiency, respectively, when the dosage of CS, CSP and MD were set as 4, 1 and 6% (by % weight), respectively. Based on the results, to confirm the model adequacy for the prediction of the maximum immobilization efficiency, additional experiments were conducted in triplicate. The three replication experiments yielded the average immobilization efficiencies of soil Pb, Cu, Zn and Cd, which were 99.8, 97.1, 99.7 and 88.2%, respectively. The results were in good agreement with the predicted value. Hence, the model developed was considered to be reliable for the prediction of the optimum proportion of the CS–MD–CSP integration amendments and for the optimization of the heavy metal stabilization process.
3.2. Evaluation of the Immobilization Ability Using CS–MD–CSP Integration Amendments
3.2.1. BCR Specification Analysis of Targeted Heavy Metals
The four extracted fractions were analyzed, namely, the acid-soluble fraction, easily reducible fraction, oxidizable fraction and residual fraction, which were designated as F1, F2, F3 and F4. The mobility of these fractions was in the order of acid soluble > easily reducible > oxidizable > residual. The descriptive statistic of extraction fractions for Pb, Cu, Zn and Cd in soil after the stabilization process are listed in Table 8, and the contrast between the variation of the proportion of each metal before and after the stabilization process is presented in Figure 4.
Table 8.
Total concentration of four targeted metals detected in soil (mg·kg−1).
Figure 4.
Proportion of targeted heavy metals in the soil sample determined by the European Community Bureau of Reference (BCR).
Generally, acid-soluble heavy metals were not stable and would be easily released due to their weak binding capacity, which implied this fraction of metals can be directly used biologically and impose grave risks of contamination to the environment [43,48]. As shown in Figure 4 and Table 8, the F2 fraction of Pb, Cu, Zn and Cd in the soil was 35.2, 25.0, 8.23 and 27.0%, respectively, while the F3 fraction of Pb, Cu, Zn and Cd in the soil was 40.7, 14.0, 2.13 and 3.16%, respectively. Cd showed the highest proportion of F4 fraction with a content of 5.86%.
As presented in Figure 4, compared to the Cu, Zn and Cd, the fraction of Pb changed more obviously. The F1 fraction of Pb decreased from 84.4 to 23.4% and the F2 fraction of Pb increased from 14.5 to 35.1%, while the F3 fraction of Pb increased from 0.49 to 40.7%. In contrast, the increased amplitude of Cu, Zn and Cd is 18.1, 4.05 and 11.4%, respectively in the F2 fraction, while 12.1, 1.65% and 1.66%, respectively in the F3 fraction. The stabilization process of the metallic ion (Pb2+, Cu2+, Zn2+ and Cd2+) was promoted by binder in soil. In terms of the amounts of the four metals, Pb had a higher affinity for the reactive solid phases than Cu, Zn and Cd [49]. Meanwhile, ion exchange between divalent cations (Pb2+) in soil and calcium (Ca2+) chelated or linked to carboxylic groups in the polymeric structure [50]. Additionally, phosphate ions in CSP-induced reactions in the presence of divalent cations (Pb2+) in soil can easily produce phosphate precipitation/mineral, which will significantly decrease the acid-soluble fraction [51].
3.2.2. Recovery Rate of Targeted Metals
Recovery (Equation (6)) is determined by comparing the total amount of metal extracted by different reagents during the sequential extraction procedure (four fractions: F1, F2, F3 and F4) with the total concentration of heavy metal in soil, which was served as an internal check for the precision of the results and calculated as followed [44]:
The recovery of targeted heavy metals is presented in Table 8. These results showed that the total concentration of the four fractions of metals is in good agreement with the total concentration. Meanwhile, the satisfactory recovery rate of the four targeted metals ranges from 95.9 to 104%, which indicates that the data obtained in Table 8 by using the modified BCR sequential extraction method and ICP-AES are reliable and repeatable [52].
4. Conclusions
A response surface methodology based on a Box–Behnken design was employed to optimize the proportion of the integration amendments and enhance the stabilization process. The maximum immobilization efficiency of Pb, Cu, Zn and Cd could achieve up to 99.88, 96.11, 99.78 and 87.88%, respectively, when the dosage of CS, CSP and MD were set as 4, 1 and 6%, respectively. BCR speciation analysis indicated the acid-soluble proportion of Zn, Cu, Pb and Cd in the soils decreased by 9.36, 37.03, 72.68 and 12.94%, respectively, after treatment. The repairing mechanism of CS–MD–CSP integration amendments is complex, and the heavy metal concentration also changes since the properties of the repairing objects are different. Due to the limitation of experimental conditions and evaluation criteria, the characteristics and interactions of heavy metal ions needs further study.
Author Contributions
Conceptualization, W.L.; methodology, N.J.; software, Z.D.; validation, N.J.; formal analysis, L.Y.; investigation, N.J.; resources, Z.D.; data curation, Z.D.; writing—original draft preparation, L.Y.; writing—review and editing, W.L.; visualization, Z.D.; supervision, W.L.
Funding
This research was funded by Natural Science Foundation of Guangxi: 2017GXNSFBA198168 and Key Laboratory Research Fund of Guangxi province: YRHJ152024.
Acknowledgments
This research and the APC were funded by Natural Science Foundation of Guangxi (grant numbers 2017GXNSFBA198168) and Key Laboratory Research Fund of Guangxi province (grant numbers YRHJ152024).
Conflicts of Interest
The authors have no conflict of interest to declare.
References
- Tang, X.; Li, X.; Liu, X.; Hashmi, M.Z.; Xu, J.; Brookes, P.C. Effects of inorganic and organic amendments on the uptake of lead and trace elements by Brassica chinensis grown in an acidic red soil. Chemosphere 2015, 119, 177–183. [Google Scholar] [CrossRef] [PubMed]
- Wang, G.; Zhang, S.; Xu, X.; Zhong, Q.; Zhang, C.; Jia, Y.; Li, T.; Deng, O.; Li, Y. Heavy metal removal by GLDA washing: Optimization, redistribution, recycling, and changes in soil fertility. Sci. Total. Environ. 2016, 569, 557–568. [Google Scholar] [CrossRef] [PubMed]
- Huber, M.; Welker, A.; Helmreich, B. Critical review of heavy metal pollution of traffic area runoff: Occurrence, influencing factors, and partitioning. Sci. Total. Environ. 2015, 541, 895–919. [Google Scholar] [CrossRef] [PubMed]
- Dominguez, M.T.; Alegre, J.; Madejón, P.; Madejón, E.; Burgos, P.; Cabrera, F.; Marañón, T.; Murillo, J. River banks and channels as hotspots of soil pollution after large-scale remediation of a river basin. Geoderma 2016, 261, 133–140. [Google Scholar] [CrossRef]
- Adrees, M.; Ali, S.; Rizwan, M.; Zia-Ur-Rehman, M.; Ibrahim, M.; Abbas, F.; Farid, M.; Qayyum, M.F.; Irshad, M.K. Mechanisms of silicon-mediated alleviation of heavy metal toxicity in plants: A review. Ecotoxicol. Environ. Saf. 2015, 119, 186–197. [Google Scholar] [CrossRef]
- Lee, S.S.; Lim, J.E.; El-Azeem, S.A.; Choi, B.; Oh, S.E.; Moon, D.H.; Ok, Y.S. Heavy metal immobilization in soil near abandoned mines using eggshell waste and rapeseed residue. Environ. Sci. Pollut. Res. 2013, 20, 1719–1726. [Google Scholar] [CrossRef] [PubMed]
- Ruley, A.T.; Sharma, N.C.; Sahi, S.V.; Singh, S.R.; Sajwan, K.S. Effects of lead and chelators on growth, photosynthetic activity and Pb uptake in Sesbania drummondii grown in soil. Environ. Pollut. 2006, 144, 11–18. [Google Scholar] [CrossRef] [PubMed]
- Papanikolaou, N.C.; Hatzidaki, E.G.; Belivanis, S.; Tzanakakis, G.N.; Tsatsakis, A.M. Lead toxicity update. A brief review. Med. Sci. Monit. 2005, 11, 329–336. [Google Scholar]
- Inaba, T.; Kobayashi, E.; Suwazono, Y.; Uetani, M.; Oishi, M.; Nakagawa, H.; Nogawa, K. Estimation of cumulative cadmium intake causing Itai–itai disease. Toxicol. Lett. 2005, 159, 192–201. [Google Scholar] [CrossRef]
- Huo, X.; Peng, L.; Xu, X.; Zheng, L.; Qiu, B.; Qi, Z.; Zhang, B.; Han, D.; Piao, Z. Elevated Blood Lead Levels of Children in Guiyu, an Electronic Waste Recycling Town in China. Environ. Heal. Perspect. 2007, 115, 1113–1117. [Google Scholar] [CrossRef]
- Mahar, A.; Wang, P.; Li, R.; Zhang, Z. Immobilization of Lead and Cadmium in Contaminated Soil Using Amendments: A Review. Pedosphere 2015, 25, 555–568. [Google Scholar] [CrossRef]
- Clemente, R.; Pardo, T.; Madejón, P.; Madejón, E.; Bernal, M.P. Food byproducts as amendments in trace elements contaminated soils. Food Res. Int. 2015, 73, 176–189. [Google Scholar] [CrossRef]
- Agnello, A.; Bagard, M.; Van Hullebusch, E.; Esposito, G.; Huguenot, D. Comparative bioremediation of heavy metals and petroleum hydrocarbons co-contaminated soil by natural attenuation, phytoremediation, bioaugmentation and bioaugmentation-assisted phytoremediation. Sci. Total. Environ. 2016, 563, 693–703. [Google Scholar] [CrossRef] [PubMed]
- Rijkenberg, M.J.; DePree, C.V. Heavy metal stabilization in contaminated road-derived sediments. Sci. Total. Environ. 2010, 408, 1212–1220. [Google Scholar] [CrossRef] [PubMed]
- Basta, N.; Gradwohl, R.; Snethen, K.; Schroder, J. Chemical Immobilization of Lead, Zinc, and Cadmium in Smelter-Contaminated Soils Using Biosolids and Rock Phosphate. J. Environ. Qual. 2001, 30, 1222. [Google Scholar] [CrossRef]
- Walker, D.J.; Clemente, R.; Bernal, M. Contrasting effects of manure and compost on soil pH, heavy metal availability and growth of Chenopodium album L. in a soil contaminated by pyritic mine waste. Chemosphere 2004, 57, 215–224. [Google Scholar] [CrossRef] [PubMed]
- Yu, S.; Xu, R.; Hou, L.; Song, M.; Liu, J. Stabilization/Solidification of Nitrobenzene Contaminated Soil based on Hydrophobilized CaO. Procedia Environ. Sci. 2016, 31, 288–294. [Google Scholar] [CrossRef][Green Version]
- Udovic, M.; Mcbride, M.B. Influence of compost addition on lead and arsenic bioavailability in reclaimed orchard soil assessed using Porcellio scaber bioaccumulation test. J. Hazard. Mater. 2012, 205–206, 144–149. [Google Scholar] [CrossRef]
- Basta, N.; McGowen, S. Evaluation of chemical immobilization treatments for reducing heavy metal transport in a smelter-contaminated soil. Environ. Pollut. 2004, 127, 73–82. [Google Scholar] [CrossRef]
- Wang, J.; Zhao, F.-J.; Meharg, A.A.; Raab, A.; Feldmann, J.; McGrath, S.P. Mechanisms of Arsenic Hyperaccumulation in Pteris vittata. Uptake Kinetics, Interactions with Phosphate, and Arsenic Speciation1. Plant Physiol. 2002, 130, 1552–1561. [Google Scholar] [CrossRef]
- Chlopecka, A.; Adriano, D. Influence of zeolite, apatite and Fe-oxide on Cd and Pb uptake by crops. Sci. Total. Environ. 1997, 207, 195–206. [Google Scholar] [CrossRef]
- Chlopecka, A.; Adriano, D.C. Mimicked In-Situ Stabilization of Metals in a Cropped Soil: Bioavailability and Chemical Form of Zinc. Environ. Sci. Technol. 1996, 30, 3294–3303. [Google Scholar] [CrossRef]
- Cheng, S.-F.; Hseu, Z.-Y. In-Situ Immobilization of Cadmium and Lead by Different Amendments in Two Contaminated Soils. Water Air Soil Pollut. 2002, 140, 73–84. [Google Scholar] [CrossRef]
- Brallier, S.; Harrison, R.B.; Henry, C.L.; Dongsen, X. Liming effects on availability of Cd, Cu, Ni and Zn in a soil amended with sewage sludge 16 years previously. Water Air Soil Pollut. 1996, 86, 195–206. [Google Scholar] [CrossRef]
- Keller, C.; Marchetti, M.; Rossi, L.; Lugon-Moulin, N. Reduction of Cadmium Availability to Tobacco (Nicotiana tabacum) Plants using Soil Amendments in Low Cadmium-contaminated Agricultural Soils: A Pot Experiment. Plant Soil 2005, 276, 69–84. [Google Scholar] [CrossRef]
- Mendez, A.; Gómez, A.; Paz-Ferreiro, J.; Gascó, G. Effects of sewage sludge biochar on plant metal availability after application to a Mediterranean soil. Chemosphere 2012, 89, 1354–1359. [Google Scholar] [CrossRef] [PubMed]
- Forsberg, L.S.; Dan, B.K.; Greger, M.; Ledin, S. Effects of sewage sludge on solution chemistry and plant uptake of Cu in sulphide mine tailings at different weathering stages. Appl. Geochem. 2008, 24, 475–482. [Google Scholar] [CrossRef]
- Beesley, L.; Moreno-Jiménez, E.; Gomez-Eyles, J.L. Effects of biochar and greenwaste compost amendments on mobility, bioavailability and toxicity of inorganic and organic contaminants in a multi-element polluted soil. Environ. Pollut. 2010, 158, 2282–2287. [Google Scholar] [CrossRef] [PubMed]
- Kandil, H.; Elkherbawy, M.I.; Ibrahim, S.; Abdelfattah, A.; Elmoez, M.R.A.; Badawy, S.H. Effect of different sources and rates of some organic manure on content of some heavy metals in different soils and plants grown therein: II. Effect on corn plants. Soil Form. Factors Process. Temp. Zone 2012, 11, 9–18. [Google Scholar]
- Wu, L.H.; Li, Z.; Akahane, I.; Liu, L.; Han, C.L.; Makino, T.; Luo, Y.M. Effects of organic amendments on Cd, Zn and Cu bioavailability in soil with repeated phytoremediation by Sedum plumbizincicola. Intern. J. Phytoreme. 2012, 14, 1024–1038. [Google Scholar] [CrossRef]
- Iżewska, A. The impact of manure, municipal sewage sludge and compost prepared from municipal sewage sludge on crop yield and content of Mn, Zn, Cu, Ni, Pb, Cd in spring rape and spring triticale. J. Elementol. 2009, 14, 449–456. [Google Scholar]
- Park, J.H.; Choppala, G.K.; Bolan, N.S.; Chung, J.W.; Chuasavathi, T. Biochar reduces the bioavailability and phytotoxicity of heavy metals. Plant Soil 2011, 348, 439–451. [Google Scholar] [CrossRef]
- Weggler-Beaton, K.; McLaughlin, M.J.; Graham, R.D. Salinity increases cadmium uptake by wheat and Swiss chard from soil amended with biosolids. Soil Res. 2000, 38, 37–46. [Google Scholar] [CrossRef]
- Brown, S.L.; Chaney, R.L.; Angle, J.S.; Ryan, J.A. The Phytoavailability of Cadmium to Lettuce in Long-Term Biosolids-Amended Soils. J. Environ. Qual. 1998, 27, 1071. [Google Scholar] [CrossRef]
- Sakanakura, H. Formation and Durability of Dithiocarbamic Metals in Stabilized Air Pollution Control Residue from Municipal Solid Waste Incineration and Melting Processes. Environ. Sci. Technol. 2007, 41, 1717–1722. [Google Scholar] [CrossRef] [PubMed]
- Bolan, N.; Kunhikrishnan, A.; Thangarajan, R.; Kumpiene, J.; Park, J.; Makino, T.; Kirkham, M.B.; Scheckel, K. Remediation of heavy metal(loid)s contaminated soils—To mobilize or to immobilize? J. Hazard. Mater. 2014, 266, 141–166. [Google Scholar] [CrossRef] [PubMed]
- Cardoso, F.A.; Fernandes, H.C.; Pileggi, R.G.; Cincotto, M.A.; John, V.M. Carbide lime and industrial hydrated lime characterization. Powder Technol. 2009, 195, 143–149. [Google Scholar] [CrossRef]
- Yi, Y.; Zheng, X.; Liu, S.; Al-Tabbaa, A. Comparison of reactive magnesia- and carbide slag-activated ground granulated blastfurnace slag and Portland cement for stabilisation of a natural soil. Appl. Clay Sci. 2015, 111, 21–26. [Google Scholar] [CrossRef]
- Wang, R.; Guo, J.; Xu, Y.; Ding, Y.; Shen, Y.; Zheng, X.; Feng, R. Evaluation of silkworm excrement and mushroom dreg for the remediation of multiple heavy metal/metalloid contaminated soil using pakchoi. Ecotoxicol. Environ. Saf. 2016, 124, 239–247. [Google Scholar] [CrossRef] [PubMed]
- Gimeno-García, E.; Andreu, V.; Boluda, R. Heavy metals incidence in the application of inorganic fertilizers and pesticides to rice farming soils. Environ. Pollut. 1996, 92, 19–25. [Google Scholar] [CrossRef]
- Li, Y.; Wang, H.; Hua, F.; Su, M.; Zhao, Y. Trans-membrane transport of fluoranthene by Rhodococcus sp. BAP-1 and optimization of uptake process. Bioresour. Technol. 2014, 155, 213–219. [Google Scholar] [CrossRef] [PubMed]
- Lundstedt, T.; Seifert, E.; Abramo, L.; Thelin, B.; Nyström, Å.; Pettersen, J.; Bergman, R. Experimental design and optimization. Chemom. Intell. Lab. Syst. 1998, 42, 3–40. [Google Scholar] [CrossRef]
- Wang, F.-H.; Zhang, F.; Chen, Y.-J.; Gao, J.; Zhao, B. A comparative study on the heavy metal solidification/stabilization performance of four chemical solidifying agents in municipal solid waste incineration fly ash. J. Hazard. Mater. 2015, 300, 451–458. [Google Scholar] [CrossRef] [PubMed]
- Nemati, K.; Abu Bakar, N.K.; Abas, M.R.; Sobhanzadeh, E. Speciation of heavy metals by modified BCR sequential extraction procedure in different depths of sediments from Sungai Buloh, Selangor, Malaysia. J. Hazard. Mater. 2011, 192, 402–410. [Google Scholar] [CrossRef] [PubMed]
- Ghevariya, C.M.; Bhatt, J.K.; Dave, B.P. Enhanced chrysene degradation by halotolerant Achromobacter xylosoxidans using Response Surface Methodology. Bioresour. Technol. 2011, 102, 9668–9674. [Google Scholar] [CrossRef] [PubMed]
- Kostić, M.D.; Bazargan, A.; Stamenković, O.S.; Veljković, V.B.; McKay, G. Optimization and kinetics of sunflower oil methanolysis catalyzed by calcium oxide-based catalyst derived from palm kernel shell biochar. Fuel 2016, 163, 304–313. [Google Scholar] [CrossRef]
- Mohammadi, R.; Mohammadifar, M.A.; Mortazavian, A.M.; Rouhi, M.; Ghasemi, J.B.; Delshadian, Z. Extraction optimization of pepsin-soluble collagen from eggshell membrane by response surface methodology (RSM). Food Chem. 2016, 190, 186–193. [Google Scholar] [CrossRef] [PubMed]
- Pan, Y.; Wu, Z.; Zhou, J.; Zhao, J.; Ruan, X.; Liu, J.; Qian, G. Chemical characteristics and risk assessment of typical municipal solid waste incineration (MSWI) fly ash in China. J. Hazard. Mater. 2013, 261, 269–276. [Google Scholar] [CrossRef]
- Branzini, A.; Zubillaga, M.S. Comparative Use of Soil Organic and Inorganic Amendments in Heavy Metals Stabilization. Appl. Environ. Soil Sci. 2012, 2012, 1–7. [Google Scholar] [CrossRef]
- Feng, N.-C.; Guo, X.-Y. Characterization of adsorptive capacity and mechanisms on adsorption of copper, lead and zinc by modified orange peel. Trans. Nonferrous Met. Soc. China 2012, 22, 1224–1231. [Google Scholar] [CrossRef]
- Cao, X.; Ma, L.Q.; Rhue, D.R.; Appel, C.S. Mechanisms of lead, copper, and zinc retention by phosphate rock. Environ. Pollut. 2004, 131, 435–444. [Google Scholar] [CrossRef] [PubMed]
- Zhou, Y.; Ning, X.-A.; Liao, X.; Lin, M.; Liu, J.; Wang, J. Characterization and environmental risk assessment of heavy metals found in fly ashes from waste filter bags obtained from a Chinese steel plant. Ecotoxicol. Environ. Saf. 2013, 95, 130–136. [Google Scholar] [CrossRef] [PubMed]
© 2019 by the authors. Licensee MDPI, Basel, Switzerland. This article is an open access article distributed under the terms and conditions of the Creative Commons Attribution (CC BY) license (http://creativecommons.org/licenses/by/4.0/).



