Bayesian Structural Time Series and Regression Modeling for Sustainable Technology Management
Abstract
1. Introduction
2. Research Background
2.1. Management of Sustainable Technology
2.2. Structural Time Series Models
2.3. Bayesian Techniques for Industrial Engineering
3. Bayesian Structural Time Series and Regression Models for MOST
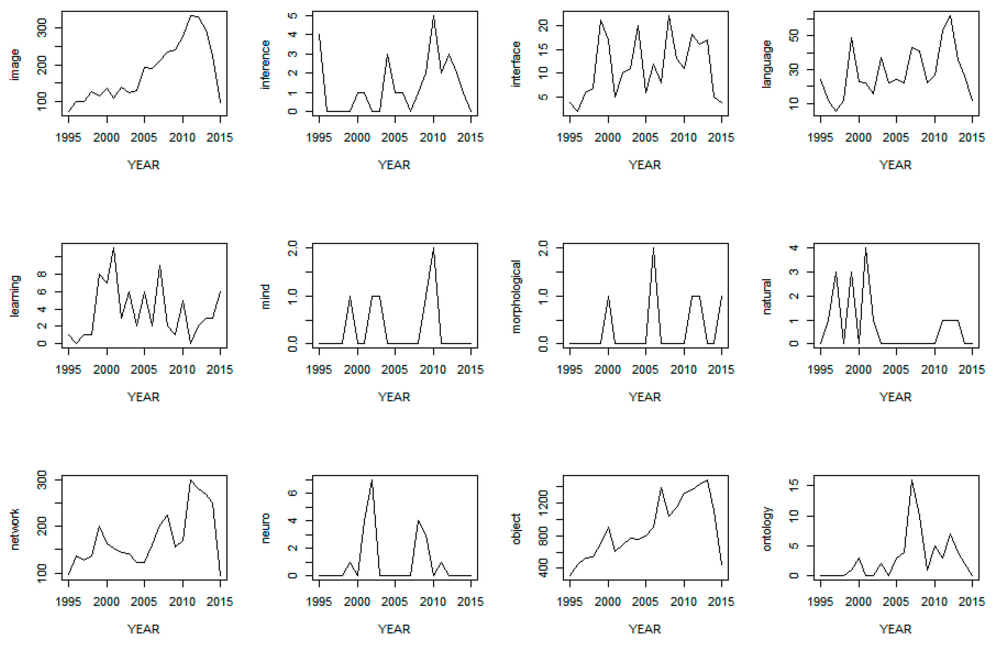
4. Case Study using AI Technology
5. Discussion
6. Conclusions
Conflicts of Interest
References
- Roper, A.T.; Cunningham, S.W.; Porter, A.L.; Mason, T.W.; Rossini, F.A. Banks, Forecasting and Management of Technology; John Wiley & Sons: Hoboken, NJ, USA, 2011. [Google Scholar]
- Choi, J.; Jun, S.; Park, S. A patent analysis for sustainable technology management. Sustainability 2016, 8, 688. [Google Scholar] [CrossRef]
- Park, S.; Jun, S. Statistical Technology Analysis for Competitive Sustainability of Three Dimensional Printing. Sustainability 2017, 9, 1142. [Google Scholar] [CrossRef]
- Kim, S.; Jang, D.; Jun, S.; Park, S. A novel forecasting methodology for sustainable management of defense technology. Sustainability 2015, 7, 16720–16736. [Google Scholar] [CrossRef]
- Park, S.; Lee, S.; Jun, S. A network analysis model for selecting sustainable technology. Sustainability 2015, 7, 13126–13141. [Google Scholar] [CrossRef]
- Kim, J.; Jun, S.; Jang, D.; Park, S. Sustainable Technology Analysis of Artificial Intelligence Using Bayesian and Social Network Models. Sustainability 2018, 10, 115. [Google Scholar] [CrossRef]
- Lee, J.; Kang, J.; Jun, S.; Lim, H.; Jang, D.; Park, S. Ensemble Modeling for Sustainable Technology Transfer. Sustainability 2018, 10, 2278. [Google Scholar] [CrossRef]
- Kim, J.; Sun, B.; Jun, S. Sustainable Technology Analysis Using Data Envelopment Analysis and State Space Models. Sustainability 2019, 11, 3597. [Google Scholar] [CrossRef]
- Scott, S.L.; Varian, H.R. Predicting the Present with Bayesian Structural Time Series. 2013. Available online: https://ssrn.com/abstract=2304426 or http://dx.doi.org/10.2139/ssrn.2304426 (accessed on 9 September 2019).
- Schmitt, E.; Tull, C.; Atwater, P. Extending Bayesian structural time-series estimates of causal impact to many-household conservation initiatives. Ann. Appl. Stat. 2018, 12, 2517–2539. [Google Scholar] [CrossRef]
- Gelman, A.; Carlin, J.B.; Stern, H.S.; Dunson, D.B.; Vehtari, A.; Rubin, D.B. Bayesian Data Analysis, 3rd ed.; Chapman & Hall/CRC Press: Boca Raton, FL, USA, 2013. [Google Scholar]
- Korb, K.B.; Nicholson, A.E. Bayesian Artificial Intelligence, 2nd ed.; CRC Press: London, UK, 2011. [Google Scholar]
- Murphy, K.P. Machine Learning: A Probabilistic Perspective; MIT Press: Cambridge MA, USA, 2012. [Google Scholar]
- Theodoridis, S. Machine Learning A Bayesian and Optimization Perspective; Elsevier: London UK, 2015. [Google Scholar]
- Hosseini, S.; Barker, K. A Bayesian network model for resilience-based supplier selection. Int. J. Prod. Econ. 2016, 180, 68–87. [Google Scholar] [CrossRef]
- Hosseini, S.; Barker, K. Modeling infrastructure resilience using Bayesian networks: A case study of inland waterway ports. Comput. Ind. Eng. 2016, 93, 252–266. [Google Scholar] [CrossRef]
- Ross, S.M. Introduction to Probability and Statistics for Engineers and Scientists, 4th ed.; Elsevier: Seoul, Korea, 2012. [Google Scholar]
- Koduvely, H.M. Learning Bayesian Models with R; Packt: Birmingham, UK, 2015. [Google Scholar]
- WIPSON. WIPS Corporation. Available online: http://www.wipson.com, http://global.wipscorp.com (accessed on 15 December 2018).
- USPTO. The United States Patent and Trademark Office. Available online: http://www.uspto.gov (accessed on 15 December 2018).
- R Development Core Team. R: A Language and Environment for Statistical Computing; R Foundation for Statistical Computing: Vienna, Austria, 2019; Available online: http://www.R-project.org (accessed on 9 September 2019).
- Feinerer, I.; Hornik, K. Package ‘tm’ Ver. 0.7–5, Text Mining Package, CRAN of R Project. 2018. Available online: https://cran.r-project.org/web/packages/tm/tm.pdf (accessed on 1 January 2019).
- Google Trends. Available online: http://trends.google.com (accessed on 15 July 2019).
- Scott, S.L. Package ‘bsts’ Ver. 0.9.1, Bayesian Structural Time Series, CRAN of R Project. 2019. Available online: https://cran.r-project.org/web/packages/bsts/bsts.pdf (accessed on 1 January 2019).
- Gelman, A.; Su, Y.; Yajima, M.; Hill, J.; Pittau, M.G.; Kerman, J.; Zheng, T.; Dorie, V. Package ‘arm’ Ver. 1.10-1, Data Analysis Using Regression and Multilevel/Hierarchical Models, CRAN of R Project. 2018. Available online: https://cran.r-project.org/web/packages/arm/arm.pdf (accessed on 1 January 2019).









| Time | NN | DA | CC | NL | ML | PR | AI | DL |
|---|---|---|---|---|---|---|---|---|
| 1 | 100.29 | 97.12 | 25.28 | 36.22 | 96.18 | 80.05 | 97.30 | 93.05 |
| 2 | 100.90 | 98.15 | 25.25 | 36.87 | 97.10 | 80.89 | 97.80 | 93.45 |
| 3 | 102.26 | 99.03 | 22.56 | 36.49 | 97.94 | 80.64 | 98.82 | 94.04 |
| 4 | 102.74 | 99.60 | 21.42 | 36.70 | 98.71 | 81.79 | 99.72 | 94.63 |
| 5 | 103.71 | 100.73 | 20.70 | 37.06 | 99.59 | 82.27 | 100.06 | 95.36 |
| 6 | 103.16 | 101.02 | 20.27 | 37.40 | 100.53 | 82.70 | 100.59 | 95.87 |
| 7 | 103.90 | 102.59 | 18.87 | 37.48 | 101.51 | 82.35 | 101.60 | 96.64 |
| 8 | 103.03 | 102.80 | 18.62 | 37.97 | 102.69 | 83.19 | 102.63 | 97.19 |
| 9 | 103.91 | 103.77 | 17.54 | 38.03 | 103.28 | 83.31 | 103.24 | 98.18 |
| 10 | 104.85 | 104.49 | 16.37 | 38.26 | 104.16 | 83.76 | 103.25 | 98.92 |
| 11 | 105.42 | 105.41 | 15.14 | 38.33 | 105.20 | 84.48 | 104.42 | 99.35 |
| 12 | 106.22 | 106.12 | 13.77 | 38.51 | 105.94 | 84.92 | 105.32 | 99.91 |
| 13 | 105.20 | 107.66 | 13.24 | 38.80 | 106.78 | 85.26 | 106.16 | 100.67 |
| 14 | 107.21 | 108.16 | 12.22 | 39.15 | 107.77 | 85.64 | 107.02 | 101.10 |
| 15 | 108.39 | 108.40 | 11.04 | 39.32 | 108.67 | 85.53 | 107.64 | 101.82 |
| 16 | 110.07 | 109.33 | 9.91 | 39.70 | 109.42 | 86.56 | 108.10 | 102.49 |
| 17 | 111.98 | 110.73 | 9.81 | 40.16 | 110.58 | 87.47 | 109.25 | 102.91 |
| 18 | 112.73 | 111.14 | 8.19 | 40.22 | 111.43 | 87.11 | 109.95 | 103.74 |
| 19 | 114.49 | 112.08 | 7.16 | 40.24 | 112.30 | 87.27 | 110.97 | 104.18 |
| 20 | 113.47 | 112.57 | 6.34 | 40.55 | 113.20 | 87.51 | 111.66 | 104.83 |
| 21 | 114.68 | 113.93 | 6.18 | 41.17 | 114.12 | 88.38 | 113.26 | 105.29 |
| 22 | 114.38 | 114.60 | 5.23 | 41.44 | 115.15 | 89.12 | 114.35 | 105.81 |
| 23 | 115.61 | 115.64 | 2.86 | 41.17 | 116.06 | 89.52 | 114.98 | 106.36 |
| 24 | 116.15 | 116.77 | 3.94 | 42.25 | 117.13 | 89.65 | 116.20 | 106.70 |
| Mean | 107.63 | 106.79 | 13.79 | 38.79 | 106.50 | 85.00 | 106.00 | 100.08 |
| Technology | Artificial Intelligence | Deep Learning |
|---|---|---|
| Neural networks | 0.0044 | 0.0001 |
| Data analysis | 0.4270 | 0.3055 |
| Cognitive computing | 0.0001 | 0.0001 |
| Natural language | 0.0001 | 0.2219 |
| Machine learning | 0.0001 | 0.0001 |
| Pattern recognition | 0.0007 | 0.0843 |
© 2019 by the author. Licensee MDPI, Basel, Switzerland. This article is an open access article distributed under the terms and conditions of the Creative Commons Attribution (CC BY) license (http://creativecommons.org/licenses/by/4.0/).
Share and Cite
Jun, S. Bayesian Structural Time Series and Regression Modeling for Sustainable Technology Management. Sustainability 2019, 11, 4945. https://doi.org/10.3390/su11184945
Jun S. Bayesian Structural Time Series and Regression Modeling for Sustainable Technology Management. Sustainability. 2019; 11(18):4945. https://doi.org/10.3390/su11184945
Chicago/Turabian StyleJun, Sunghae. 2019. "Bayesian Structural Time Series and Regression Modeling for Sustainable Technology Management" Sustainability 11, no. 18: 4945. https://doi.org/10.3390/su11184945
APA StyleJun, S. (2019). Bayesian Structural Time Series and Regression Modeling for Sustainable Technology Management. Sustainability, 11(18), 4945. https://doi.org/10.3390/su11184945
