Thermal Perception in Mild Climate: Adaptive Thermal Models for Schools
Abstract
1. Introduction
Objectives
2. Materials and Methods
2.1. Selection of the Study Sample
2.2. Characterization and Measurements
2.3. Thermal Comfort Indicators
3. Results and Discussion
- Room characteristics.
- Objective thermal parameters.
- Occupants’ clothing thermal insulation.
- Thermal environment evaluation.
3.1. Room Characteristics
3.2. Objective Thermal Parameters
3.3. Occupants’ Clothing Thermal Insulation
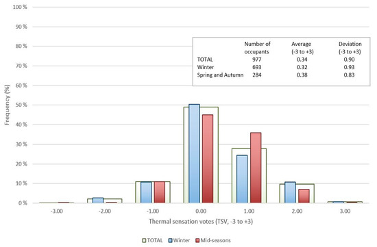
3.4. Thermal Environment Evaluation
4. Conclusions
Author Contributions
Funding
Conflicts of Interest
References
- Houghten, F.C.; Yagloglou, C.P. Determination of comfort zone. ASHVE Trans. 1923, 29, 349–361. [Google Scholar]
- Gagge, A.P.; Burton, A.C.; Bazett, H.C. A Practical System of Units for The Description of the Heat Exchange of Man with His Environment. Science 1941, 94, 428–430. [Google Scholar] [CrossRef]
- Gagge, A.P.; Fobelets, A.P.; Berglund, L.G. A standard predictive index of human response to the thermal environment. ASHRAE Trans. 1986, 92, 709–731. [Google Scholar]
- Winslow, C.-E.A.; Herrington, L.P.; Gagge, A.P. Physiological Reactions of the Human Body to Varying Environmental Temperatures. Am. J. Physiol. Content 1937, 120, 1–22. [Google Scholar] [CrossRef]
- Fanger, P. Thermal Comfort: Analysis and Applications in Environmental Engineering; Copenhagen Danish Technical Press: Copenhagen, Denmark, 1970. [Google Scholar]
- Lane, W.R. Education, Children and Comfort; University of Iowa: Ames, IA, USA, 1965. [Google Scholar]
- Auliciems, A. Thermal sensations of secondary school children in summer time. J. Hyg. 1973, 71, 453–458. [Google Scholar] [CrossRef] [PubMed][Green Version]
- Humphreys, M. A study of the thermal comfort of primary school children in summer. Build. Environ. 1977, 12, 231–239. [Google Scholar] [CrossRef]
- Pepler, R.D. The thermal comfort of students in climate-controlled and non–climate-controlled schools. ASHRAE Trans. 1972, 78, 97–109. [Google Scholar]
- Zomorodian, Z.S.; Tahsildoost, M.; Hafezi, M. Thermal comfort in educational buildings: A review article Renew. Sust. Energy Rev. 2016, 59, 895–906. [Google Scholar] [CrossRef]
- CEN (2007) Indoor Environmental Input Parameters for Design and Assessment of Energy Performance of Buildings Addressing Indoor Air Quality, Thermal Environment, Lighting and Acoustics; CEN Standard EN 15251:2007; Comité Européen de Normalisation: Brussels, Belgium, 2007.
- Ter Mors, S.; Hensen, J.L.; Loomans, M.G.; Boerstra, A.C. Adaptive thermal comfort in primary school classrooms: Creating and validating PMV-based comfort charts. Build. Environ. 2011, 46, 2454–2461. [Google Scholar] [CrossRef]
- Corgnati, S.P.; Ansaldi, R.; Filippi, M. Thermal comfort in Italian classrooms under free running conditions during mid seasons: Assessment through objective and subjective approaches. Build. Environ. 2009, 44, 785–792. [Google Scholar] [CrossRef]
- Fabbri, K. Thermal comfort evaluation in kindergarten: PMV and PPD measurement through datalogger and questionnaire. Build. Environ. 2013, 68, 202–214. [Google Scholar] [CrossRef]
- De Giuli, V.; Da Pos, O.; De Carli, M. Indoor environmental quality and pupil perception in Italian primary schools. Build. Environ. 2012, 56, 335–345. [Google Scholar] [CrossRef]
- De Giuli, V.; Zecchin, R.; Corain, L.; Salmaso, L. Measured and perceived environmental comfort: Field monitoring in an Italian school. Appl. Ergon. 2014, 45, 1035–1047. [Google Scholar] [CrossRef]
- Teli, D.; Jentsch, M.F.; James, P.A. Naturally ventilated classrooms: An assessment of existing comfort models for predicting the thermal sensation and preference of primary school children. Energy Build. 2012, 53, 166–182. [Google Scholar] [CrossRef]
- Teli, D.; James, P.A.B.; Jentsch, M.F. Thermal comfort in naturally ventilated primary school classrooms. Build. Res. Inf. 2013, 41, 301–316. [Google Scholar] [CrossRef]
- Hyunjun, Y.; Insick, N.; Jinman, K.; Jinho, Y.; Kyoungho, L.; Jongryeul, S. A field study of thermal comfort for kindergarten children in Korea: An assessment of existing models and preferences of children. Build Environ. 2014, 75, 182–189. [Google Scholar]
- Fanger, P.O.; Toftum, J. Extension of the PMV model to non-air-conditioned buildings in warm climates. Energy Build. 2002, 34, 533–536. [Google Scholar] [CrossRef]
- D’Ambrosio, F.R.; Olesen, B.W.; Palella, B.I.; Povl, O. Fanger’s impact ten years later. Energy Build. 2017, 152, 243–249. [Google Scholar] [CrossRef]
- Alfano, F.R.D.; Palella, B.I.; Riccio, G.; Toftum, J. Fifty years of Fanger’s equation: Is there anything to discover yet? Int. J. Ind. Ergon. 2018, 66, 157–160. [Google Scholar] [CrossRef]
- D’Ambrosio Alfano, F.R.; Ianniello, E.; Palella, B.I. PMV-PPD and acceptability in naturally ventilated schools. Build Environ. 2013, 67, 129–137. [Google Scholar] [CrossRef]
- ASHRAE. Thermal Environmental Conditions for Human Occupancy; ASHRAE Standard 55-2017; American Society of Heating, Refrigerating and Air Conditioning Engineers: Atlanta, GA, USA, 2017. [Google Scholar]
- Ministerio de Fomento del Gobierno de España. Código Técnico de la Edificación. 2006. Available online: http://www.codigotecnico.org (accessed on 20 August 2015.).
- Consejería de Innovación, Ciencia y Empresa de la Junta de Andalucía. Orden VIV/1744/2008 de 9 de junio, por la que se aprueba la “Zonificación Climática de Andalucía por Municipios para su uso en el Código Técnico de la Edificación en su sección de Ahorro de Energía apartado de Limitación de Demanda Energética (CTE-HE1)”. Boletín Oficial de la Junta de Andalucía 2008, 254, 4216. [Google Scholar]
- De La Flor, F.J.S.; Domínguez, S.Á.; Félix, J.L.M.; Falcón, R.G. Climatic zoning and its application to Spanish building energy performance regulations. Energy Build. 2008, 40, 1984–1990. [Google Scholar] [CrossRef]
- Kottek, M.; Grieser, J.; Beck, C.; Rudolf, B.; Rubel, F. World Map of the Köppen-Geiger climate classification updated. Meteorol. Z. 2006, 15, 259–263. [Google Scholar] [CrossRef]
- Junta de Andalucía. Orden de 24 de enero de 2003 de la Consejería de Educación y Ciencia de la Junta de Andalucía por la que se aprueban las “Normas de diseño y constructivas para los edificios de uso docente”. Boletín Oficial de la Junta de Andalucía 2003, 43, 4669. [Google Scholar]
- Gobierno de España. Resolución 18258/2009, de 16 de noviembre, por la que se aprueba el “Convenio para la aplicación del proyecto Escuela 2.0 con la Consejería de Educación de la Comunidad Autónoma de Andalucía”, de 2 de noviembre. Boletín Oficial del Estado 2009, 276, 97448. [Google Scholar]
- Gobierno de España. Real Decreto 1826/2009, de 11 de diciembre, por el que se modifica el Reglamento de Instalaciones Térmicas en los Edificios, aprobado por el Real Decreto 1027/2007. Boletín Oficial del Estado 2009, 298, 104924–104927. [Google Scholar]
- ISO. Ergonomics of the Thermal Environment—Vocabulary and Symbols; ISO 13731:2001; International Standardization Organization: Geneva, Switzerland, 2001. [Google Scholar]
- Campano, M.A.; Sendra, J.J.; Domínguez, S.; Domínguez-Amarillo, S. Analysis of Thermal Emissions from Radiators in Classrooms in Mediterranean Climates. Procedia Eng. 2011, 21, 106–113. [Google Scholar] [CrossRef]
- ISO. Ergonomics of the Thermal Environment—Instruments for Measuring Physical Quantities; ISO 7726:1998; International Standardization Organization: Geneva, Switzerland, 1998. [Google Scholar]
- American Society of Heating, Refrigerating and Air Conditioning Engineers, 2017 ASHRAE Handbook-Fundamentals; ASHRAE Handbook Committee: Atlanta, GA, USA, 2017.
- ISO. Ergonomics of the Physical Environment—Subjective Judgement Scales for Assessing Physical Environments; ISO 10551:1995; International Organization for Standardization: Geneva, Switzerland, 1995. [Google Scholar]
- ISO. Ergonomics of Thermal Environments—Strategy of Evaluation of the Risk for the Prevention of Constraints or Discomfort under Thermal Working Conditions; ISO 15265:2004; International Organization for Standardization: Geneva, Switzerland, 2004. [Google Scholar]
- ISO. Ergonomics of the Thermal Environment e Analytical Determination and Interpretation of Heat Stress Using Calculation of the Predicted Heat Strain; ISO 7933:2004; International Organization for Standardization: Geneva, Switzerland, 2004. [Google Scholar]
- ISO. Ergonomics of the Thermal Environment—Analytical Determination and Interpretation of Thermal Comfort Using Calculation of the PMV and PPD Indices and Local Thermal Comfort Criteria; ISO 7730:2005; International Organization for Standardization: Geneva, Switzerland, 2005. [Google Scholar]
- ISO. Ergonomics of the Thermal Environment—Determination and Interpretation of Cold Stress When Using Required Clothing Insulation (IREQ) and Local Cooling Effects; ISO 11079:2009; International Organization for Standardization: Geneva, Switzerland, 2009. [Google Scholar]
- Havenith, G.; Holmér, I.; Parsons, K. Personals factors in thermal comfort assessment: Clothing properties and metabolic heat reduction. Energy Build. 2002, 34, 581–591. [Google Scholar] [CrossRef]
- ISO. Ergonomics of the Thermal Environment e Determination of Metabolic Rate; ISO 8996:2004; International Organization for Standardization: Geneva, Switzerland, 2004. [Google Scholar]
- ISO. Ergonomics of the Thermal Environment e Estimation of the Thermal Insulation and Evaporative Resistance of a Clothing Ensemble; ISO 9920:2007; International Organization for Standardization: Geneva, Switzerland, 2007. [Google Scholar]
- D’Ambrosio Alfano, F.R.; Palella, B.I.; Riccio, G.; Malchaire, J. On the Effect of Thermophysical Properties of Clothing on the Heat Strain Predicted by PHS Model. Ann. Occup. Hyg. 2016, 60, 231–251. [Google Scholar] [CrossRef]
- D’Ambrosio Alfano, F.R.; Palella, B.I.; Riccio, G. Notes on the implementation of the IREQ model for the assessment of extreme cold environments. Ergonomics 2013, 56, 707–724. [Google Scholar] [CrossRef]
- Guedes, M.C.; Matias, L.; Santos, C.P. Thermal comfort criteria and building design: Field work in Portugal. Renew. Energy 2009, 34, 2357–2361. [Google Scholar] [CrossRef]
- Matias, L. Desenvolvimento de um Modelo Adaptativo Para Definição das Condições de Conforto Térmico em Portugal. Ph.D. Thesis, Universidade técnica de Lisboa, Lisboa, Portugal, 2010. [Google Scholar]
- McCartney, K.J.; Nicol, J.F. Developing an adaptive control algorithm for Europe. Energy Build. 2002, 34, 623–635. [Google Scholar] [CrossRef]
- Nicol, J.F.; Humphreys, M.A. Derivation of the adaptive equations for thermal comfort in free-running buildings in European standard EN15251. Build Environ. 2010, 45, 11–17. [Google Scholar] [CrossRef]
- Campano, M.A. Confort Térmico y Eficiencia Energética en Espacios con Alta Carga Interna Climatizados: Aplicación a Espacios Docentes no Universitarios en Andalucía. Ph.D. Thesis, Universidad de Sevilla, Sevilla, Spain, 2015. [Google Scholar]
- CEN. Thermal Performance of Buildings. Qualitative Detection of Thermal Irregularities in Building Envelopes. Infrared Method; Standard EN 13187:1998; Comité Européen de Normalisation: Brussels, Belgium, 1998. [Google Scholar]
- Humphreys, M. Classroom temperature, clothing and thermal comfort—A study of secondary school children in summertime. Build. Serv. Eng. 1973, 41, 191–202. [Google Scholar]
- De Dear, R.; Kim, J.; Candido, C.; Deuble, M. Adaptive thermal comfort in Australian school classrooms. Build. Res. Inf. 2015, 43, 383–398. [Google Scholar] [CrossRef]
- Haddad, S.; King, S.; Osmond, P. Enhancing thermal comfort in school buildings. In Proceedings of the 10th International Conference on Healthy Buildings, Brisbane, Australia, 8–12 July 2012. [Google Scholar]
- Teli, D.; Jentsch, M.F.; James, P.A. The role of a building’s thermal properties on pupils’ thermal comfort in junior school classrooms as determined in field studies. Build. Environ. 2014, 82, 640–654. [Google Scholar] [CrossRef]
- Schweiker, M.; Fuchs, X.; Becker, S.; Shukuya, M.; Dovjak, M.; Hawighorst, M.; Kolarik, J. Challenging the assumptions for thermal sensation scales. Build. Res. Inf. 2017, 45, 572–589. [Google Scholar] [CrossRef]
- Yau, Y.H.; Chew, B.T. A review on predicted mean vote and adaptive thermal comfort models. Build. Serv. Eng. Res. Technol. 2014, 35, 23–35. [Google Scholar] [CrossRef]
- Humphreys, M.A.; Nicol, J.F. The validity of ISO-PMV for predicting comfort votes in every-day thermal environments. Energy Build. 2002, 34, 667–684. [Google Scholar] [CrossRef]
- Jones, B.W. Capabilities and limitations of thermal models for use in thermal comfort standards. Energy Build. 2002, 34, 653–659. [Google Scholar] [CrossRef]
- Domínguez-Amarillo, S. Building Envelopes and Social Housing in Southern Europe Energy Assessment of the Residential Social Stock of the City of Seville Under the Climate Change Scenario. Ph.D. Thesis, Universidad de Sevilla, Sevilla, Spain, 2016. [Google Scholar]
- Fernández-Aguera, J.; Sendra, J.J.; Suárez, R. Correlation between airtightness and IAQ in subsidized Dwellings units in Spain. In Proceedings of the 36th AIVC 5th TightVent & 3rd Venticool Conference, Madrid, Spain, 23–24 September 2015. [Google Scholar]
- Sendra, J.J.; Domínguez-Amarillo, S.; Bustamante, P.; León, A.L. Energy intervention in the residential sector in the south of Spain: Current challenges. Inf. Constr. 2013, 65, 457–464. [Google Scholar] [CrossRef]
- Dominguez-Amarillo, S.; Fernández-Agüera, J.; Sendra, J.J.; Arroyo, J. Methodology for the analysis of energy and water performance in social housing: Its application in the case of Malaga, Proceedings of Obsolescence and Renovation. In Proceedings of the 20th Century Housing in the New Millenium, Seville, Spain, 14–15 December 2015. [Google Scholar]
- Domínguez-Amarillo, S.; Fernández-Agüera, J.; Sendra, J.J.; Roaf, S. Rethinking User Behaviour Comfort Patterns in the South of Spain—What Users Really Do. Sustainability 2018, 10, 4448. [Google Scholar] [CrossRef]













| Köppen Climate Zone | Climate Subzone | Construction Year | Municipality (Province) | Educational Institution Type | Classes under Study | Number of Surveys | Seasons | |
|---|---|---|---|---|---|---|---|---|
| (Spanish CTE) | ||||||||
| Winter | Summer | |||||||
| BSk | A | 4 | 2008 | Almería (Almería) | Primary School | 4 | 89 | Midseasons |
| 2009 | Almería (Almería) | Primary School | 4 | 0 | Midseasons | |||
| Csa | B | 4 | 2010 | Aljaraque (Huelva) | Secondary school | 10 | 185 | Winter and midseasons |
| 1987 | Dos Hermanas (Seville) | Secondary school | 5 | 228 | Winter and midseasons | |||
| 2010 | Dos Hermanas (Seville) | Primary School | 6 | 40 | Winter | |||
| Csa | C | 3 | 2009 | Churriana de la Vega (Granada) | Secondary school | 7 | 304 | Winter and midseasons |
| 2010 | Cullar Vega (Granada) | Primary School | 3 | 0 | Winter | |||
| 1973 | Guadix (Granada) | Secondary school | 3 | 58 | Winter | |||
| Csa | C | 4 | 2008 | Jaén (Jaén) | Primary School | 4 | 73 | Winter |
| Total | 46 | 977 | ||||||
| Composition | Transmittance U (W/(m2K)) | Thickness (cm) | |
|---|---|---|---|
| Facade (predating CTE) | Cement mortar (1.5 cm); 6 inch perforated metric brick (11.5 cm); air chamber without ventilation (5 cm); simple hollow brick wall (5 cm); plaster cladding (1.5 cm). | 1.42 | 24.5 |
| Facade (with CTE) | Cement mortar (1.5 cm); 6 inch perforated metric brick (11.5 cm); air chamber without ventilation (3 cm); Mineral wood (4 cm); 2× laminated plasterboard (1 cm). | 0.50 | 22.0 |
| Parameter | Units | Sensor | Uncertainty |
|---|---|---|---|
| Air temperature (Ta) | °C | Testo 0635.1535 (PT100) | ±0.3 °C |
| Surface temperature (ts) | °C | Testo 0602.0393 (Thermocouple type K) | ±0.3 °C |
| Mean radiant temperature (tr) | °C | Testo 0602.0743 (Globe probe with Thermocouple type K) | ±0.3 °C |
| Globe temperature (tg) | °C | Testo 0602 0743 | ±1.5 °C |
| Relative humidity (RH) | % | Testo 0635.1535 (Capacitive) | ±2% |
| Air velocity (Va) | m/s | Testo 0635.1535 (Hot wire) | ±0.03 m/s |
| Data acquisition system | - | Data Logger Testo 435-2 | - |
| Thermography | °C | FLIR thermacam b4 | ±2.0 °C |
| Parameter Type A | 1-1 | 1-2 | 2-1 | 2-2 | 3-1 | 3-2 | 4-1 | 4-2 | 5-1 | 5-2 | 6-1 | 6-2 | Out |
| Air temperature (°C) | 19.9 | 20.0 | 20.0 | 20.0 | 19.6 | 19.7 | 19.8 | 19.7 | 19.2 | 19.1 | 19.5 | 19.5 | 6.4 |
| Globe temperature (°C) | 20.2 | - | 20.2 | - | 20.0 | - | 19.9 | - | 20.8 | - | 20.2 | - | - |
| Relative humidity (%) | 57.0 | 57.3 | 58.2 | 58.7 | 58.5 | 58.2 | 58.2 | 58.9 | 58.5 | 59.0 | 58.5 | 59.1 | 81.4 |
| Air velocity (m/s) | 0.0 | 0.0 | 0.0 | 0.0 | 0.1 | 0.0 | 0.0 | 0.0 | 0.0 | 0.0 | 0.0 | 0.0 | 0.1 |
| Parameter Type B | 1 | 2 | 3 | 4 | 5 | 6 | 7 | 8 | 9 | Floor | Ceiling | ||
| Mean radiant temperature (°C) at 0.6 m (B-1) | 16.4 | 17.2 | 17.3 | 16.7 | 17.0 | 18.1 | 14.5 | 15.9 | 15.8 | 15.7 | 15.8 | ||
| Mean radiant temperature (°C) at 1.7 m (B-2) | 17.2 | 17.6 | 19.0 | 17.4 | 16.5 | 17.5 | 16.0 | 16.5 | 16.5 | - | - | ||
| Students | Students per Classroom | Percentage | |
|---|---|---|---|
| Students surveyed | 977 | 21.2 | - |
| Male students surveyed | 504 | 10.9 | (51.6%) |
| Female students surveyed | 473 | 10.3 | (48.4%) |
| Fanger method | Predicted Mean Vote | PMV | [5,21,39] |
| Predicted Percentage of Dissatisfied | PPD | ||
| Local discomfort | Local thermal discomfort due to draught rate | DR | [39] |
| Required clothing insulation (IREQ) | Maintaining thermal equilibrium with high physiological response | (IREQminimum) | [40,41,42,43,44,45] |
| Maintaining thermal equilibrium without physiological response | (IREQneutral) | ||
| Adaptive comfort index | ASHRAE ATC indicator | [25] | |
| Matias’ ATC indicator, optimized for the climate of the Iberian Peninsula. | [46,47] |
| (°C) | Ta (°C) | (°C) | Va (m/s) | to (°C) | RH (%) | |
|---|---|---|---|---|---|---|
| AND_MIDSEASONS_NO COOLING | 16.9 (σ = 4.3) | 22.1 (σ = 3.7) | 20.5 (σ = 4.6) | 0.00 (σ = 0.00) | 21.3 (σ = 4) | 43.2 (σ = 7.6) |
| 3_MIDSEASONS _NO COOLING | 16.4 (σ = 0.0) | 23.2 (σ = 1.6) | 22.0 (σ = 5.5) | 0.00 (σ = 0.00) | 22.6 (σ = 3.5) | 40.6 (σ = 7.6) |
| 4_MIDSEASONS _NO COOLING | 17.0 (σ = 4.8) | 21.9 (σ = 4.0) | 20.2 (σ = 4.4) | 0.00 (σ = 0.01) | 21.0 (σ = 4.1) | 43.8 (σ = 7.6) |
| AND_WINTER_NO HEATING | 9.2 (σ = 1.6) | 20.2 (σ = 2.1) | 18.2 (σ = 3.4) | 0.04 (σ = 0.01) | 19.2 (σ = 2.6) | 51.5 (σ = 5.2) |
| AND_WINTER_RAD | 9.0 (σ = 1.4) | 20.6 (σ = 1.6) | 20.3 (σ = 2.0) | 0.03 (σ = 0.01) | 20.5 (σ = 1.3) | 51.4 (σ = 4.9) |
| B_WINTER_NO HEATING | 10.3 (σ = 0.4) | 20.3 (σ = 2.2) | 18.2 (σ = 2.8) | 0.05 (σ = 0.01) | 19.2 (σ = 2.3) | 52.8 (σ = 5.5) |
| B_WINTER_RAD | 10.2 (σ = 0.4) | 20.1 (σ = 1.9) | 20.2 (σ = 2.2) | 0.03 (σ = 0.01) | 20.1 (σ = 1.5) | 51.9 (σ = 5.1) |
| C_WINTER_NO HEATING | 7.9 (σ = 1.5) | 20.0 (σ = 2) | 18.2 (σ = 4.1) | 0.04 (σ = 0.01) | 19.1 (σ = 3.0) | 50.0 (σ = 4.7) |
| C_WINTER_HW RAD | 7.9 (σ = 1.1) | 21.2 (σ = 0.9) | 20.4 (σ = 2.0) | 0.03 (σ = 0.01) | 20.8 (σ = 1.0) | 51.0 (σ = 4.8) |
| Operative Temperature (°C) | Clothing Insulation Value (clo) | IREQmin (clo) | IREQneu (clo) | |
|---|---|---|---|---|
| Annual | 21.8 (σ = 1.9) | 0.86 (σ = 0.21) | 0.49 | 0.85 |
| Winter | 21.5 (σ = 1.3) | 0.90 (σ = 0.19) | 0.52 | 0.89 |
| Midseasons | 22.7 (σ = 2.7) | 0.78 (σ = 0.23) | 0.40 | 0.76 |
| Clothing Insulation (clo) | TSV (−3 to +3) | TPV (−3 to +3) | PMV (−3 to +3) | |
|---|---|---|---|---|
| Annual | 0.86 clo | 0.34 | −0.01 | 0.07 |
| Winter | 0.90 clo | 0.32 | 0.06 | 0.00 |
| Midseasons | 0.78 clo | 0.38 | −0.20 | 0.24 |
| PDacc | PPD | PDacc,d’Ambrosio | PDMATIAS | PDASHRAE | |||
|---|---|---|---|---|---|---|---|
| (95%) | (85%) | (85%) | |||||
| Annual | 18.0% | 12.5% | 6.7% | 16.6% | 22.7% | 9.2% | 41.1% |
| Winter | 19.6% | 13.9% | 6.3% | 16.2% | 22.0% | 9.8% | 52.9% |
| Midseasons | 16.9% | 8.6% | 7.8% | 17.5% | 24.4% | 7.7% | 10.1% |
© 2019 by the authors. Licensee MDPI, Basel, Switzerland. This article is an open access article distributed under the terms and conditions of the Creative Commons Attribution (CC BY) license (http://creativecommons.org/licenses/by/4.0/).
Share and Cite
Campano, M.Á.; Domínguez-Amarillo, S.; Fernández-Agüera, J.; Sendra, J.J. Thermal Perception in Mild Climate: Adaptive Thermal Models for Schools. Sustainability 2019, 11, 3948. https://doi.org/10.3390/su11143948
Campano MÁ, Domínguez-Amarillo S, Fernández-Agüera J, Sendra JJ. Thermal Perception in Mild Climate: Adaptive Thermal Models for Schools. Sustainability. 2019; 11(14):3948. https://doi.org/10.3390/su11143948
Chicago/Turabian StyleCampano, Miguel Ángel, Samuel Domínguez-Amarillo, Jesica Fernández-Agüera, and Juan José Sendra. 2019. "Thermal Perception in Mild Climate: Adaptive Thermal Models for Schools" Sustainability 11, no. 14: 3948. https://doi.org/10.3390/su11143948
APA StyleCampano, M. Á., Domínguez-Amarillo, S., Fernández-Agüera, J., & Sendra, J. J. (2019). Thermal Perception in Mild Climate: Adaptive Thermal Models for Schools. Sustainability, 11(14), 3948. https://doi.org/10.3390/su11143948

