Abstract
Ensuring access to quality social housing is a major challenge for developing countries. The problems of standardized mass housing are well-known. However, this type of provision is ubiquitously used for its advantages when addressing pressing shortages, often resulting in significant mismatches between the attributes of the housing and the requirements of the dwellers. This multidisciplinary study explores linkages between personalized development and residential satisfaction towards informing a mass personalization approach to social housing. In specific, it presents a model that formalizes this relationship using expectancy disconfirmation theory and field information. A housing survey was conducted in four estates located in Concepción, southern Chile, and complemented with environmental performance data generated with simulation software. The analysis of the results suggests that the relationship between occupants and providers (i.e., personalization as a service) can influence the build-up of expectations, while the capacity of the dwellings to meet the requirements of different households (i.e., personalization as a product) can have a significant impact on satisfaction. These outcomes are formalized with a model that acknowledges these links at different stages of occupancy and, therefore, can be used to inform the personalized development of mass social housing.
1. Introduction
According to estimates of the United Nations Human Settlement Programme (UN-Habitat), 55% of the global population currently lives in urban areas. This number is expected to increase by close to 20% over the next 30 years. Significantly, urbanization rates are projected to be the fastest in low and middle-income countries that currently face major challenges such as urban poverty, inadequate infrastructure, inefficient transportation systems, and unsustainable energy sources. In this context, ensuring access to quality affordable housing has become a major public policy concern. Close to 28% of the world’s urban population currently lives in informal settlements, and by the year 2030, nearly 3 billion people are expected to be in need of adequate housing [1,2,3]. To confront this imminent housing crisis, new approaches are needed for housing provisions capable of meeting both the strategic goals of developing economies and the individual concerns of urban dwellers.
As explained by Okpala [4], housing strategies in developing nations have gradually evolved from privatized rental housing to the large-scale production of public complexes. Whereas private enterprise played a significant role in the early stages of the post-World War II period, mostly due to the business opportunities opened by the increased demand for dwellings, the problems that came with rapid urbanization motivated straightforward public interventions. In this sense, governments from across the developing world attempted to ensure access to housing assuming that the technical capabilities of industrialization combined with the resources of the public apparatus would enable addressing the growing housing deficits. However, the evidence demonstrates that centralized mass housing has consistently failed to reach low-income households while demotivating individual entrepreneurship, and thus becoming a burden for most countries. Centralized housing delivery disregards the needs and capabilities of the occupants, reduces the number of materials and techniques that can potentially be used in the construction process, and becomes more expensive due to larger fixed costs behind their operation [5]. In this context, Okpala [4] explained that the most innovative solutions have come from a mixed production system led by a heterogeneous group of agents that included volunteers, for-profit companies, entrepreneurs, amateurs and non-profit organizations. While formal developers in this group, such as real estate and construction companies, have made a substantial contribution by housing middle-income dwellers through different market approaches, the deficits of low-income households and the urban poor have traditionally been tackled informally through self-construction. Accordingly, it has been argued that self-help housing may become an alternative to traditional provider-centered approaches in resource-scarce contexts, mostly due to its capacity to meet the requirements of different households while acknowledging the scattered nature of a country’s building capabilities [6,7]. Some experiences, such as the open building movement [8] and the work of Habitat for Humanity [9], as well as mainstream schemes based upon progressive or incremental housing [10,11,12], adaptive or flexible types [13,14] but also participatory and/or co-design in general [15,16], demonstrate how transferring substantial parts of the decision-making process to the occupants can help to harness uncertainty in the design process, reduce construction costs, and strengthen the bond between households and their dwellings. Notably, the UN Habitat’s long-dated plea has been for thorough incorporation of self-help schemes at a policy level and straightforward involvement of the World Bank in their financing since the 1970s. Nonetheless, the impacts of such initiatives across the developing world have been limited [17,18,19].
User-centric approaches, such as self-help housing, may ensure stronger coherence between the requirements of different households and the characteristics of their residential environments. However, such initiatives have failed to scale up and generate feasible delivery alternatives to repetitive mass housing in countries facing pressing shortages. This study contributes to ongoing research exploring the potential and limitations of mass personalization as a means to reconcile quality and affordability in social housing [20,21]. In particular, this study uses a field information environmental performance assessment to structure a residential satisfaction model for predictive personalization within the constraints defined by Chilean regulations to lay the foundations for mass personalized housing approaches.
1.1. Mass Personalized Housing
Mass personalization is an approach for mass customization in which the attributes of a product or service are tailored to meet the tacit or latent needs and preferences of individuals [22,23]. While traditional mass production enables the development of cost-efficient products by relying on repetition and economies of scale, its effectiveness as a delivery strategy depends on the capacity of the products to meet universal needs that should, therefore, be present in large groups of individuals. In this context, mass customization takes advantage of the possibilities opened by information systems, such as computer-enabled design and automated manufacturing, to increase the potential variability of these products without breaching the limits of affordable production [24,25,26]. In this sense, mass customization enables a conversation between users and the means of production, often through online configurators or co-design platforms that enable a stronger coherence between the requirements of a user and the characteristics of a product. Mass personalization is, therefore, a way to understand and address the mass customization principles in which a production system is structured towards discovering alternatives that should meet the implicit requirements of a user with higher accuracy than the one that may be achieved through explicit specification [27].
A mass personalization approach to housing development may offer substantial advantages when contrasted to traditional centralized strategies based on repetition [20,28,29]. The first and most evident of these advantages is its capacity to increase the potential variability of the dwellings, and therefore to meet the specific needs and preferences of different occupants without a significant increase in costs or lead times. Rather than limiting the design and construction process to the delivery of housing capable of meeting the universal needs of an average household, mass personalization opens the possibility of addressing requirements that may be as diverse as the members of a target population. In parallel, mass personalization entails a paradigm shift for how housing is conceptualized and constructed. A product-service ecosystem is a coherent structure of interacting products and services, including the agents and ambiances involved in their design, use and production, that enables adaptability, and therefore the sustainability of a business model [30,31]. Instead of understanding housing as a static end-product, mass personalization entails approaching housing as a dynamic product-service ecosystem that, therefore, may respond to changing occupancy patterns at different stages of the housing’s life cycles.
Mass personalization can help to establish the feedback mechanisms needed to ensure this structural continuity. Hence, when introduced to housing, it can inform sustainable development approaches by responding to the changing needs and preferences of the occupants and their environment. Nonetheless, introducing the principles of mass personalization to housing is a major undertaking. It requires addressing problems such as: (a) Defining adaptable production systems capable of ensuring variability and cost-efficiency over time; (b) establishing communication systems and schemes for different agents to coordinate their operations towards mutually beneficial outcomes (i.e., value co-creation); and (c) identifying and foreseeing changes in the latent requirements of the housing occupants in order to develop solutions able to match them over time. This study focuses on the later and uses residential satisfaction as criteria to assess the capacity of a dwelling to meet different occupancy requirements and thus to inform quality housing development.
1.2. Residential Satisfaction Modeling
Along with mass-efficiency and customer co-creation, user experience design is a key dimension of the mass personalization process [27]. To unveil the latent needs and expectations of a user, mass personalization relies on interfaces and platforms to enable virtual interactions with a range of products and services through which these implicit factors can be explored and captured [22]. In parallel, the sustainability of a product-service ecosystem depends on its capacity to ensure engaging and long-lasting user experiences that enable adaptability to ambiant changes and user requirements, and therefore its continuity [30]. When extended to the realm of the built environment, user experience design should target conditions beyond human-computer interactions to include the physical and psychological factors that define a household’s state of wellbeing. These factors are systematized in the literature under the notion of residential satisfaction, explained as a household’s state of fulfillment that emerges from the differences between its expected and perceived residential conditions [32].
According to theories of housing adjustment, households constantly undergo a self-assessment process through which the attributes of their residential environment are contrasted to ideal conditions that are built and based upon social norms. When the perceived conditions do not match expectations, different adjustment behavior may be triggered including changes to the structure of the household, relocation into a different house or neighborhood or architectural modifications through retrofitting strategies such as self-construction [33,34,35]. In this sense, there is a strong connection between the notions of residential satisfaction and one of personalization. This is because the act of modifying a dwelling can be explained as a response to the mismatches between perceived attributes and expectations that may have either changed over time or were not addressed through an effective personalized design process [14,36].
There is a substantial body of research dealing with the issue of residential satisfaction. Seminal work by Weidemann and Anderson [37] categorized these works into two main streams including studies focused on residential satisfaction as a means to explain housing quality perceptions [38,39,40] and those that explored its capacity to explain and enable management of occupant behavior [13,41]. Regardless of their scope, residential satisfaction is by definition a subjective phenomenon that, therefore, may not be fully described without incorporating the perspectives and opinions of the occupants [42]. This understanding of the residential environment is present in satisfaction models explaining this phenomenon as a dynamic system of interacting physical, psychological and social factors [38]. Regardless of the strong links between these factors, there is no available model focused on predicting the impacts of housing personalization on residential quality perceptions and satisfaction. This study relies on former works on service quality modeling as a means to inform design for mass personalized housing [43,44], and the expectancy disconfirmation model in particular [45]. This is done after the capacity of these models are formalized and implemented as computational tools to inform the decision-making process, including mass customization and personalization platforms [46,47], and the ubiquitous use of the proposed model in the user satisfaction literature [43,48].
1.3. Overview of the Chilean Case
The Chilean social housing program is used here as a case study to gather empirical data towards informing the development of a forecasting model for household satisfaction in mass personalized housing. This section provides an overview of this program and discusses some of its implications on quality perceptions and personalization.
Over the past decades, Chile has made substantial efforts to ensure the provision of quality affordable housing to low-income dwellers. Its social housing policy, strongly reliant on private enterprise while financed through a combination of household savings and demand-side subsidies, is regarded as an example of successful governance for its capacity to cope with a growing demand for dwellings while reducing the accumulated deficit to a historic minimum [49,50]. However, this quantitative success is increasingly being challenged by significant qualitative problems in neighborhoods and dwellings [51,52,53]. In this context, a number of initiatives are pushing towards alternative approaches to design and development, aiming to enhance the quality of the outcomes through, e.g., active community interventions, participatory design, assisted self-construction and incremental schemes [12,54,55]. Nonetheless, this type of initiatives is yet to have a large-scale impact in the Chilean housing sector [56]. However, as argued by Hidalgo et al. [57], the current approach to housing delivery has grown in legitimacy through the appropriation of popular demands regardless of the incapability of meeting them.
Katsura and Romanik [58] explained that the Chilean Model stands over three main principles: (i) A shift in the responsibility for housing development from governments to the private sector; (ii) the provision of one-time grants to build, purchase, or complete ownership dwellings; and (iii) the definition of transparent mechanisms for selecting beneficiaries based on household income and savings. Regardless of its continuous transformation since its introduction, these three fundamental components are still present in the current Chilean social housing policy. Housing is financed through household savings and a fixed contribution by the public sector according to formulae defined by law. Then, depending on the program, these funds can be complemented with different subsidies and/or household resources. The resulting amount is then used to either build a dwelling with private developers or to purchase them in the market, while the beneficiaries are selected in open calls according to a formal allocation and scoring system that considers their social vulnerability status among other factors. In parallel, the housing developers are required to comply with tight regulatory standards defining the minimum number and size of the rooms, the admissible construction systems and materials, and performance standards among others [59,60]. Although in recent years a number of schemes targeting middle-income households for both, ownership or rental housing, as well as retrofitting works have become available, this system predominantly targets low-income households providing them with ownership housing. Accordingly, for many, it becomes a once in a lifetime opportunity to significantly improve their life quality and prospects, while the logic of the system results in housing that meets only minimum regulatory standards dismissing the needs and preferences of the occupants [21]. This explains the significant levels of personalization through informal construction found in the estates [61,62].
Chile has extensive experience dealing with the issue of personalization. Although the concept has not explicitly used within governance, since at least the 1950s, the self-help capabilities of households have been fostered through different progressive and incremental housing schemes [56,63]. In parallel, self-construction is ubiquitous in low-income housing where it is used as an informal strategy to alleviate mismatches between the needs of different households to the characteristics of standardized dwellings [64], including both major modifications such as housing extensions and balconies, and minor ones such as the subdivision of spaces and finishes [61]. However, as explained by Sugranyes [52], political reforms introduced over the past decades have substantially reduced the space for self-help action, arguably for being incompatible with the country’s macroeconomic goals and the internal logic of mass production.
In this context, since the 2000s, there has been a renewed interest in the introduction of personalization principles to housing developments. The work of several nongovernmental organizations (NGO) have gained international attention due to their innovative approaches based upon comprehensive community interventions, participatory design principles, and fostering the self-help capabilities of the dwellers (e.g., [12,54]). In parallel, social housing regulations require comprehensive social enabling plans intended to: (a) Assist the beneficiaries in the transition to their new residences; (b) allow straightforward participation in the decision-making process; and (c) strengthen community cohesion [65,66]. However, this regulation has had little impact on the quality of mainstream developments [67,68]. However, the lack of empirical knowledge regarding the potential of different approaches may limit attempts to prioritize successful initiatives or improve those that may be lagging. In this context, this study contributes towards the development of an alternative approach to housing delivery based on mass personalization that may enable user participation and informing self-help action, and therefore enhance housing quality without the need of major policy transformations.
1.4. Aims, Scope, and Limitations
As outlined above, mass personalized housing aims to automate the definition of residential alternatives able to meet latent occupant needs and preferences within the limits of affordable production. The objective of this study is limited to defining an evidence-based model to identify and foresee changes to such latent requirements using the Chilean social housing program as a case study. This is done with the statistical analysis of empirical data collected with an on-site survey and generated with simulations of energy demand, towards informing the definition of a predictive model of household satisfaction.
The aims of this study require a multidisciplinary approach to the problem of mass social housing that draws knowledge from areas, such as environmental performance assessment, architecture, planning, and policy-making, as well as sustainability and social sciences in general. In this sense, it is important to clarify that the scope of this study is on the micro-level towards addressing the problems of the household and its dwelling. The important issues related to, e.g., the location of the estates or their place in a larger geographical system, the quality of the neighborhoods and the impacts of social networks on household perceptions are not addressed here. This is justified by the focus of the study on the problem of informing the architectural and material properties of the dwellings and their capacity to meet individual household expectations. In this sense, the work focuses on informing changes, such as the construction of extensions, material retrofitting, and other common modifications found in Chilean social housing estates. Other scales of the problem, although important, are beyond the problems addressed by this study.
In this sense, another important limitation of this work is its focus on the structuring of an evidence-based model rather than on its implementation, evaluation, and/or validation. This study uses modeling as a means to systematize meaningful information obtained through the analysis of primary data sources towards establishing the foundations needed to enable introducing mass personalization principles to social housing developments. Accordingly, this study focuses only on identifying statistically significant correlates that may enable forecasting the needs and expectations of the residents, and thus inform housing attributes capable of meeting household requirements and maximum satisfaction. This implies that the study by no means intends to address the Chilean social housing problem in all of its complexity nor to offer a solution that may be feasible in the short term. Rather, it relies on the constraints and attributes of this program as a means to ground the definition of a model in this specific setting using real data coming from residents.
2. Methods
This section outlines the methods that were used to assess existing relationships between different personalization strategies and residential satisfaction in Chilean social housing, as well as their use as empirical information to propose a residential satisfaction model. The following is divided into three parts. Section 2.1 presents a resident satisfaction survey intended to explore linkages between personalization, satisfaction, and different household factors including the cases, their location and climate, and the statistical analysis techniques used to assess the outcomes. Then, Section 2.2 describes the methods and variables used to quantify the impacts of different housing modifications on the environmental performance of the dwellings using building energy simulation software. Lastly, Section 2.3 presents expectancy disconfirmation theory as a means to generate a satisfaction model for predictive personalization based on the outcomes (Figure 1).
Figure 1.
Proposed data gathering, analysis, and modeling methods and their structural relation.
2.1. Housing Survey
A residential survey was conducted on four case study housing estates covering mid-rise apartments, terraced, and semi-detached houses. Two of these estates were developed by a non-profit NGO that actively engaged in participatory design activities and encouraged self-help action, while the other by a for-profit real estate and construction (REC) company that focused on maximizing revenues while meeting the minimum requirements defined by regulation. The name of these companies is not included in this paper for confidentiality purposes. Only ownership housing estates that were recently built in the moment of the survey were included in the analysis (i.e., 1 to 5 years old) which aimed to access information regarding the activities that were conducted before occupancy as well as the motivations that may have driven self-construction at early stages of occupancy. The survey focused on assessing correlates between different personalization strategies, residential satisfaction, and demographic factors. This section covers the cases (Section 2.1.1), the criteria used to define the sample size and information gathering procedures (Section 2.1.2), the main modules and variables of the survey (Section 2.1.3), and the statistical techniques used to analyze the outcomes (Section 2.1.4).
2.1.1. Case Study Housing Estates
The housing survey was conducted in Concepción, the largest metropolitan area of central-southern Chile with a population of 992,589 and a density of 1318 inhabitants/km2. This city is characterized by its temperate maritime climate with warm summers and mild winters, and the mean temperatures between 17 °C and 8 °C respectively for 70% of the mean relative humidity. Concepción is one of the largest urban areas of Chile and was selected for the study both for the number of social housing present in this area and former studies suggesting significant problems in terms of residential quality and satisfaction [69,70]. Significantly, in the year 2010, the Concepción region underwent a magnitude 8.8 earthquake that resulted in an increased demand for social housing and substantial reconstruction efforts [71,72]. Some of the homeowners surveyed in this study were affected by this event, motivating them to access housing services. Nonetheless, the present work did not address the impacts of this earthquake on satisfaction as all the units surveyed were built after the year 2010 and the questionnaires focused on assessing changes that therefore occurred after this event.
The first two housing estates included in the survey were developed by a non-profit NGO that relies on active, community intervention, participatory design, and incremental housing strategies as a means to inform the development of its projects. The nature of this NGO is clear in its motto, which is to overcome poverty and informality through different activities focused on generating social awareness and political advocacy to promote social change. In this context, this NGO is well known for using donations and volunteer work to build temporary shelters for people living informally, while conducting comprehensive community interventions. The first of the NGO cases included in the survey was the TR housing estate. This is the first stage of a 64-unit complex located on the periphery of the city of Concepción. The development consists of 32 terraced two-story units of a single architectural type mirrored over one axis and with five different possible orientations. The second NGO case included in the survey was the JPUS housing estate, a mid-rise housing block located in the urban center of Concepción with a total of 64 apartments (Figure 2). Table 1 describes the main construction materials and envelope components of the dwellings, all of which meet current regulatory standards and are of common use in the Chilean building industry.
Figure 2.
TR (left) and JPUS (right) case study housing estates by the nongovernmental organizations (NGO) developer.
Table 1.
The main construction materials and envelope characteristics of the NGO housing cases.
In parallel, two further housing estates were included in the analysis. These were developed by a mid-sized for-profit private REC company with almost 60 years of experience in the construction industry. This included public procurements across Chile and more than 15,000 dwellings delivered since 1994. The orientation of this REC company is also clear in its motto, which is to achieve a leading role in the real estate market of social housing across various Chilean regions, using technology and organizational capabilities to deliver value to its customers. Businesswise, this company works under the rationale defined by current Chilean social housing regulations, i.e., as a for-profit company it is involved in the projects as a means to obtain revenue and sustain its team and operations. The housing estates of the REC company included in the survey are two different stages of a single mass housing complex of 446-units (Figure 3). The first housing estate, namely the SDH1, consists of 44 identical two-story semi-detached houses, mirrored along a single axis for a total of two possible orientations. The second case included in the survey, namely the SDH2 estate, consists of six mid-rise five-story apartment buildings for a total of 104 dwellings. All the apartments have similar architectural designs that consist of a single apartment type mirrored along two possible axes and then placed facing four possible orientations. All the apartments have a common glazed lobby with lock access and staircases as vertical circulation. Table 2 summarizes the construction materials and envelope components of these cases, all meeting current standards.
Figure 3.
SDH1 (left) and SDH2 (right) case study housing estates developed by the real estate and construction (REC).
Table 2.
The main construction materials and envelope characteristics of the REC housing cases.
2.1.2. Sample Size and Procedures
After defining the cases, the participants were randomly selected, and the sample size was determined with a confidence of 99% and 15% interval for each housing estate for 130 cases in total (Table 3). The residential survey was conducted on-site by the first author of this paper. Only heads of households were approached to answer a questionnaire voluntarily, and the results were anonymized before the analysis. In parallel, a total of 97 of the 130 surveyed cases were registered using photographs and sketches. This information was later used to assess the extent and workmanship quality of the modifications to inform the building energy simulations described in Section 2.2.
Table 3.
General characteristics and sample size of the surveyed population.
2.1.3. Modules and Variables
Given the scope of the survey, the questions were gathered under three main modules, i.e., (i) demographic characteristics, (ii) expectations and satisfaction, and (iii) modifications to the housing. The demographic characteristics module gathered information regarding the size and structure of the households, number of family nuclei, age segments (i.e., 0 to 5 as child, 6 to 17 as young, 18 to 35 as young adult, 36 to 59 as adult, and 60+ as elder), gender, relationship to the head of household, former residential conditions (i.e., non-renter, informal dweller, renter, or other), educational level (i.e., less than primary, primary, secondary, or tertiary education), mean autonomous household income decile, and occupation (i.e., housekeeping, employee, self-employed, informal worker, unemployed, unoccupied, pensioner, or student). Further variables such as housing types, surface areas, type of developer, and housing complex were gathered and coded in parallel.
The expectations and satisfaction module ranked current and past levels of fulfillment of the survey participants with general characteristics of their dwellings, where 1 was considered as very low, 2 as low, 3 as neutral, 4 as good, and 5 as very good. This scale was used to assess the number of bedrooms, the potential for extensions, the potential for internal modifications, the lot size, the kitchen size, the finishing works, the bathroom location, and the dwelling size (i.e., architectural variables); and, the humidity levels, natural light, ventilation, safety, acoustic and visual privacy, as well as both winter and summer temperatures (i.e., environmental variables). The interviewees were asked to rank by memory the expectations they had regarding both general architectural and environmental conditions before occupancy. This is a limitation of the study due to the impacts of time on memory and current satisfaction levels on the motivations behind the responses. Nonetheless, as a consequence of the time limitations of the project, various measurements were set in place to avoid misleading responses [73]. These include: (a) Using a short 5-point scale; (b) closed questions; and (c) simple labeling of alternatives to simplify and constrain the rationalization process, as well as a description of the scope and aims of these questions by the interviewer immediately before gathering the data.
Then, the modifications module assessed any modifications to the dwellings including size (i.e., surface area) and materials for extensions (i.e., wood, masonry or concrete), finishing works (i.e., paint, paint with primer, ceramic tiling, paper, vinyl, carpet, wood tiling, and wood panels), date of construction, builder (i.e., self-construction, informal or formal contractor) and end-use. The participants were also asked to identify the residential modifications they considered to be the most important and the motivations that led them to build them to guide a photographic survey that was used to collect detailed information on qualitative aspects of these modifications. This information was later sorted, and only permanent to semi-permanent modifications were included in the analysis to exclude, e.g., furniture or ephemeral decorations.
2.1.4. Statistical Analysis
The Spearman’s rank order correlation (Rho) coefficient was used to identify relationships of statistical significance between ranked variables, where rs = 0.00 to 0.19 was considered negligible, rs = 0.20 to 0.29 as weak, rs = 0.30 to 0.39 as moderate, rs = 0.40 to 0.59 as strong, and rs = 0.60 to 1.00 as very strong correlations. After this initial assessment, the analysis focused on determining the statistical significance of differences in expectations and residential satisfaction among groups using the Kruskal-Wallis H test. The type of dwelling, housing developer, and general household characteristics were used as segmenting variables. Only statistically significant results are reported in this paper. All the analyses were conducted using the IBM SPSS Statistics v22 software package (IBM, Armonk, NY, USA).
2.2. Building Energy Simulation
The photographic survey described in Section 2.1.2 was used to identify the most frequent modifications conducted on each dwelling according to their type. These were later modeled and their annual accumulated hours of discomfort, as well as total energy demand for space heating (kWh), were contrasted to benchmark unmodified dwellings. To constrain the analyses to the impacts that personalization may have on thermal performance and disregard other factors, all possible orientations for a single unit were simulated whilst non-architectural conditions such as the size of the household, internal gains or occupancy schedules were kept unmodified across cases.
Whereas the benchmark dwellings were modeled using official architectural plans and technical documentation provided by the developers, the geometry, orientation and construction materials of the modifications were estimated based upon sketches and photographic information. Figure A1, Figure A2, Figure A3 and Figure A4 in Appendix A summarize the modifications included in the analysis. All the dwellings were simulated using a standard 4.77-member household [21]. The thermal performance of the dwellings was assessed by simulating daily hours of discomfort over a standard year (Predicted Mean Vote in [74]) while the total demand for space heating and cooling energy was assessed using a single HVAC system with set point and set back temperatures and heating schedules defined after field observations (Table 4). All the simulations were conducted using the DesignBuilder Engineering Pro v5 software.
Table 4.
Benchmark factors included in the building energy simulations.
2.3. Household Satisfaction Modelling
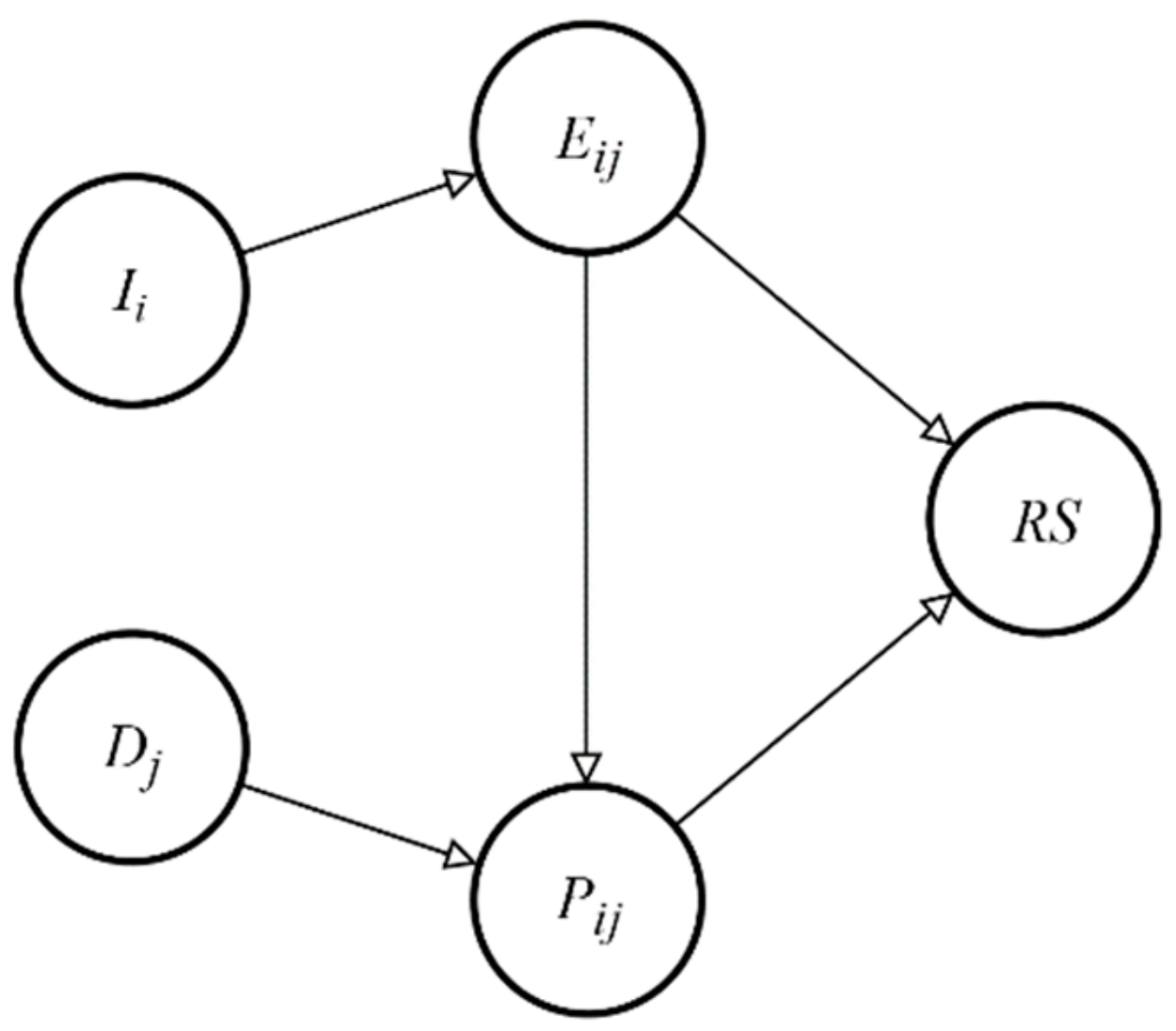
Expectancy disconfirmation theory states that user satisfaction can be explained as a function of the expected and perceived performance. When accessing a product or service, users often anticipate a certain level of performance and form expectations that are later contrasted to the performance they perceive. Then, if the resulting performance is greater or equal to the one expected (i.e., positive disconfirmation), it is assumed to result in satisfaction, while if the performance is lower (i.e., negative disconfirmation), it is assumed to result in dissatisfaction or lower satisfaction levels (Figure 4). Although expectancy disconfirmation theory was originally devised in marketing research to explain post-purchase customer intentions, this model has extensively been used in sociology [75], psychology [76], public policy [77], and information systems [78] as well as in other areas of research to explain and formalize the interacting conditions behind user satisfaction. This model is used in this study as a framework to understand and formalize the impacts of the attributes of the residential environment on household satisfaction.
Figure 4.
The relationship between different components of the expectancy disconfirmation model.
In particular, the proposed model extends Seth et al.’s [43] formalization of the expectancy disconfirmation service quality model described as:
where is the overall service quality; is the number of attributes; is the performance perception of stimulus regarding to attribute ; and is the expectation regarding service quality for attribute that is the relevant norm for stimulus .
3. Results and Discussion
As explained above, the main objective of this study is to develop a residential satisfaction model for predictive personalization in social housing. This section presents the results of the resident satisfaction survey and thermal performance evaluation (Section 3.1, Section 3.2 and Section 3.3) before describing their use as empirical means to devise such a model (Section 3.4).
3.1. Residential Satisfaction Survey
This section presents the main results of the residential satisfaction survey in three parts, including a review of the demographic characteristics of the occupants and existing modifications to the physical characteristics of the residential environment (Section 3.1.1), and the relationships between these variables to both residential satisfaction and expectations (Section 3.1.2). The section ends with a statistical analysis to identify existing correlates between these factors (Section 3.1.3).
3.1.1. Demographics and Housing Modifications
Figure 5 summarizes the main demographic characteristics of the surveyed households. Most of the dwellers were in the 18 to 35 age (n = 137) range, followed by people in the 6 to 17 (n = 109) and 36 to 59 (n = 107) ranges. More than half of the participants were females (n = 57). Most of the heads of household had only primary education while close to one-third had completed their secondary education. In terms of household size, most of the households had four members (32.39%), followed households of three (26.06%), two (14.08%) and four (13.38%) members (mean 3.86). Regarding the main occupation of the surveyed households, in most of the cases, the heads of household worked in housekeeping (28.40%), as employees (27.70%) or were self-employed (22.60%).
Figure 5.
Demographic characteristics of the households included in the residential survey.
As suggested by the literature and despite being recently built, most of the cases were personalized. At the time of the survey, only 12.5% of the cases were unmodified while 32.2% were highly modified [11,52]. As illustrated in Figure 6, most of the housing modifications found were self-built (77%) and diverse in terms of the extent and craftmanship levels. Most of the changes to the housing were built within the year prior to the survey (52.5%), while close to one-third were between 2 years (32.5%) and 15.0% earlier.
Figure 6.
The differences in personalization extent and craftsmanship found in some of the survey cases.
Figure 7 summarizes the most frequent internal and external modifications found in this field survey. Most of the modifications found were built in the interior of the housing, where changes to the walls (75.13%) and floor (68.13%) finishes, and the addition of kitchen furniture (55.87%) were the most frequent. The modifications to the exterior of the housing, in contrast, were less frequent, with changes to the doors (19.19%), the addition of garden fences (18.60%) and external rain coverings (17.44%) as the most frequent. These differences may come from to the fact that interiors are often delivered unfinished in social housing, while the technical challenges and direct benefits associated to their materialization may be higher to the ones related to the exteriors.
Figure 7.
Summary of the most frequent external (left, grey) and internal (right, orange) modifications to the housing.
3.1.2. Expectations and Residential Satisfaction
Figure 8 and Table 5 summarize the mean expectations and satisfaction levels of the survey participants. The mean satisfaction and expectations levels with the architectural characteristics of the housing were high with 3.81 and 3.87 respectively, while the mean satisfaction levels with the environmental quality of the residential environment were lower with 3.26 in total and expectations at 3.71. In the architectural quality group, the variable with the highest score was bathroom location (BL) with satisfaction and expectation levels of 4.51 and 4.67 respectively, while the lowest was kitchen size (KS) with a mean satisfaction level of 2.81 and expectations of 2.78. In the environmental quality group, the variables showing highest satisfaction levels were natural light (NL) with 4.31 while the lowest was winter temperatures (TW) with 2.12. In this same group, expectation levels with summer temperatures (TS) were the highest with 4.83, while visual privacy (VP) was the lowest ranked variable with 3.42.
Figure 8.
The mean expectation (orange) and satisfaction (grey) levels with general architectural (left) and environmental (right) conditions.
Table 5.
The mean expectation and satisfaction levels with architectural and environmental conditions.
When the results are analyzed in detail, it is possible to appreciate a significant gap between expectations and satisfaction levels in the group of environmental quality variables, and no significant differences in the architectural quality group. While the mean difference between expectations and satisfaction in the architectural quality group was 5.00% (Min. 0.40%–Max. 11.20%), this difference in the environmental quality group was 23.36% in average (Min. 1.50%–Max. 48.57%). In parallel, in the environmental quality group, the variables that received the lowest score were also the ones that showed the largest gaps between expectations versus satisfaction levels with 48.57% (2.12 versus 4.55) for winter temperatures (TW), 45.63% (2.55 versus 4.83) for summer temperatures (TS) and 36.40% (2.00 versus 3.82) for moisture (M). These results suggest that high expectations may influence satisfaction levels in the environmental quality group, as explored in the next section.
3.1.3. Correlations and Comparative Assessment
Table 6 summarizes statistically significant Spearman correlations linking household demographics and satisfaction with housing modifications. These results evidence clear relationships between the demographics of the heads of household and the presence of housing modifications, and between these modifications and residential satisfaction. When exploring links between household demographics and modifications to the residential environment, the age of the head of household was strongly correlated to the presence of extensions and moderately correlated to the construction of external fences and shed in the exteriors. The income of the household and the occupation of the head of household were also moderately correlated to finishing works in floors and construction of external pavements respectively. In parallel, when exploring links between satisfaction and different housing modifications, satisfaction with the number of bedrooms in the house, acoustic privacy and lot size were very strongly correlated to the size of the extensions. The satisfaction levels with the potential of the house to be modified was also strongly correlated with the size of the extensions, while satisfaction with the natural light of the dwellings was moderately correlated to the presence of external roofs. No significant correlations were found between modifications and satisfaction levels in terms of the size of the dwellings. Nonetheless, demographic variables, such as the number of occupants and nuclei were correlated to satisfaction with the dwelling size (rs = −0.291, n = 108, p = 0.002 and rs = 0.223, n = 108, p = 0.018 respectively), while number of occupants and income were correlated to satisfaction with the number of bedrooms (rs = −0.525, n = 108, p < 0.001 and rs = −0.231, n = 104, p = 0.018 respectively). These results suggest that only major modifications to the dwellings, such as extensions and changes to the layout, may have a significant impact on residential satisfaction, while the effects of minor modifications such as finishing works were negligible.
Table 6.
Selected correlation analysis results, linking demographics, and satisfaction with housing modifications.
After identifying the most significant correlates linking household demographics, residential satisfaction, and housing modifications, the analysis focused on exploring the impacts of different grouping factors on household expectations and satisfaction. In this sense, the Kruskal-Wallis H test evidenced significant differences in satisfaction levels when the cases were segmented by housing and developer types (Figure 9 and Table 7).
Figure 9.
The mean satisfaction levels with environmental (right column) and architectural (left column) conditions segmented by housing (upper row) and developer (lower row) types.
Table 7.
Satisfaction levels with architectural and environmental conditions segmented by housing (house versus apartment) and developer (NGO versus REC) types.
As shown in Table 8, when the type of housing was used as a segmenting variable (i.e., apartment versus house), the analysis evidenced significant differences between groups in satisfaction levels with the housing size, modification potential, the kitchen size, the bathroom location, moisture, visual privacy, safety and winter temperatures. Then, when the results were segmented by the developer type (i.e., REC versus NGO), the analysis evidenced significant differences in satisfaction levels with the number of bedrooms, modification potential, the bathroom location and acoustic privacy of the housing. These results suggest that the type of housing can have a strong impact on residential satisfaction but, more important, that the type of relationship between occupants and developers can influence individual perceptions regarding the quality of the residential environment.
Table 8.
The differences in residential satisfaction when segmented by housing and developer types.
3.2. Thermal Performance Evaluation
As shown in Section 3.1, thermal performance is a key defining factor for residential satisfaction in the cases under analysis. This section presents the results of a series of simulations focused on quantifying the impacts of different housing modifications on this factor (see Appendix A for more details of these modifications). Accordingly, it evaluates the impacts of the changes on accumulated hours of thermal discomfort (Section 3.2.1) and energy demand for space heating (Section 3.2.2) to then close with a comparative assessment (Section 3.2.3).
3.2.1. Discomfort Hours
Table 9 summarizes the impacts of the different housing modifications on accumulated hours of thermal discomfort across cases. Whereas the benchmark dwellings accumulated an average between 2715.5 and 2932.9 h of thermal discomfort depending on the project, modifications to the JPUS project showed the largest increase in performance with −908.6 h of thermal discomfort and the JPUS project the largest decrease with +1067.4 h.
Table 9.
The annual addition of thermal discomfort hours per modification and orientation.
Regarding the impacts of the different modifications in thermal performance of the housing, changes in envelope materials, glazing of open apertures and greenhouse-type extensions resulted in the most significant changes. Nonetheless, these impacts depended on the specific orientation of the building as well as the geometric characteristics of the modifications. In the TR project, the addition of a 2-story extension (Mod D) was related to the largest increase in discomfort hours while the addition of an extension with polycarbonate roof (Mod B) resulted in the largest improvement. In the JPUS project, the removal of bedroom walls combined with the glazing of the balcony apertures (Mod A) resulted in the largest increase in discomfort hours, while glazing of balconies and other apertures (Mod B) resulted in the largest comfort improvement. In the SDH1 project, the removal of kitchen and bedroom partitions (Mod C) and changes in the internal layers on envelope walls (Mod D) resulted in the largest increase in thermal discomfort respectively. Lastly, in the SDH2 project, a timber frame extension with translucent roofing (Mod C) resulted in the largest increase in thermal discomfort hours, while the addition of lightweight translucent backyard covers (Mod D) resulted in the most significant improvement.
3.2.2. Space Heating
Table 10 summarizes the impacts of the different housing modifications on accumulated hours of thermal discomfort across cases. While the mean demand of energy for space heating in the unmodified benchmark housing ranged between 7351.3 and 12,722.5 kWh, the modifications to the SDH1 project showed the largest decrease in performance with a reduction of +2251.7 kWh of thermal discomfort and the SDH2 project showed the largest increase with −9700.5 kWh.
Table 10.
The annual addition of energy demand for space heating per modification and orientation.
Regarding the impacts of housing modifications in energy loadings, the results were closely related but different from the ones with accumulated hours of thermal discomfort. An increase in thermal discomfort was directly linked to higher demand for HVAC energy. However, in the absence of artificial cooling, overheating resulted in a reduction of this demand in the surveyed cases. In the TR project, Mod D was again the one that resulted in the strongest decrease in performance. However, Mod E (i.e., a change in envelope materials) provided the largest improvements. In the JPUS project, Mod A resulted in the strongest reduction of energy demand due to overheating, while again changes to envelope materials (Mod C) resulted in the largest improvements. In the SDH1 project, the results were like the ones of thermal discomfort with Mod C and Mod D providing the worst and best results, respectively. Lastly, in the SDH2 project, changes Mod C and Mod D again were the ones that resulted in the strongest decrease and increase in performance, respectively.
3.2.3. General Assessment
Figure 10 summarizes the main impacts of different modifications on the thermal performance of the simulated cases. While the mean impacts of the modifications on the demand of energy for space heating were low, with a reduction of −3.0%, the dispersion of the results was high, ranging between −76.1% and +28.4%. Similarly, the dispersion of the results in the case of added hours of thermal discomfort was high, ranging between +36.4% and −31.4% for an average of +16.1% of increase in thermal discomfort.
Figure 10.
The mean impacts of the housing modifications to energy demand for space heating and accumulated discomfort hours for an average year across cases.
These results imply that although the average annual demand for space heating was reduced by −506.4 kWh, in some cases, the demand increased by +2251.7 kWh, whereas in others, it decreased by −9700.5 kWh. Similarly, although the annual thermal discomfort increased by +117.4 h, in the extreme cases, this factor decreased by −908.6 h, whereas in others, it increased by +1067.4 h. Overall, this implies that the way in which a housing is modified can have a significant impact on the thermal performance of the housing, and this impact can be either positive or negative depending on the case.
3.3. Case Study Outcomes
The results presented above suggest that personalization can significantly impact housing quality and satisfaction. The act of modifying a dwelling is often a response to household needs that are not addressed by the dwellings in their original state, suggesting that self-construction may enable the occupants to gain control over their residential environment. Furthermore, expectations developed before occupancy can have a strong impact on satisfaction, suggesting that purposeful management of this factor, as done by some developers, may be critical for the success of the housing delivery process. Significantly, as suggested by the literature [69,79], the thermal performance of the housing was found to be a key factor impacting household satisfaction. The survey showed that the build-up of expectations impacted occupant perceptions regarding the environmental quality of the dwellings. However, the simulation results evidenced that personalization can impact thermal performance and thus quality perceptions. Overall, this suggests that a close relation between occupants and developers (i.e., personalization as a service) and a proper fit between their needs and the attributes of the housing (i.e., personalization as a product) can have a significant impact of satisfaction, where thermal performance is a key intervening factor.
Although recently built, close to three quarters of the cases were modified at the moment of the survey and one third were significantly altered, confirming the ubiquitous nature of this phenomenon in social housing as a means to accommodate household needs and aspirations [4,11,18,70]. The correlations between household profiles and the nature of the changes conducted provide useful insights on the links between personalization needs and satisfaction levels. Overall, the survey suggests that major architectural modifications can be a consequence of substantial mismatches between basic needs of a household and the characteristics of their residential environment, while non-structural modifications may be related to economic factors, hence incidental preferences. When assessing the architectural properties of their dwellings, the size of the household significantly impacted satisfaction with both the dwelling size and the number of bedrooms. In contrast, satisfaction with minor factors, such as built-in furniture and finishing works, was mostly correlated to household income. This implies that when the residential environment is unable to accommodate basic household needs, such as providing enough space to conduct daily activities according to minimum expectations, this can result in substantial modification efforts that are materialized regardless of the economic capabilities of the households. In contrast, cosmetic changes to accommodate second-order preferences were conducted when the economic capacity of the occupants made them possible without substantial sacrifices or effort. These results are consistent with general theories of housing adjustment [33,35] and may extend them by establishing links between different residential requirements, household profiles, housing modifications, and satisfaction levels.
In parallel, as suggested by the literature [32,51], the survey evidenced a strong connection between residential satisfaction levels and the initial expectations of the dwellers. Satisfaction levels were consistently lower than declared expectations, implying that contrasts between expected residential conditions before moving into the dwellings and their actual attributes had an impact on the occupants’ quality perceptions. Notably, when these results are analyzed in depth, it is clear that seemly unrelated factors, such as different approaches to housing provision by the developers, had a strong influence on the outcomes. As shown by statistical analysis after grouping by developer type, higher levels of engagement in participatory activities enabled by the developers, e.g., may have resulted in higher satisfaction levels. This can be directly linked to the focus of these activities on issues, such as enabling future occupants to better understand the conditions of their future residences and therefore constraint expectations or, indirectly, to their capacity to establish personal bonds between developers and future occupants. This is further confirmed by grouping the variable type. In the environmental variables group, e.g., the mean expectations scores as well as the gap between expectations and satisfaction levels were higher than in the architectural variables group, resulting in lower satisfaction levels. This may be related to the contrasting nature of the two types of variables. Whereas tangible conditions related to the architecture of the housing can be learned from plans or models and therefore anticipated, their indoor environmental quality is difficult to foresee and is often assumed by occupants to comply with minimum performance standards. These results provide further evidence on the impacts of information on the build-up of expectations and their relationship with satisfaction levels, as proposed by the expectancy disconfirmation model [43,44,48]. However, it also relates them with general theories of residential satisfaction by linking these factors with conditions pertaining to the residential environment [37,38].
Building energy simulations demonstrate that design decisions leading to housing modifications can have a strong impact on quality perceptions. Overall, the results confirm that the thermal performance of the housing was poor, as suggested in the literature (e.g., [80,81,82]). In parallel, as shown by former works (e.g., [83,84,85]), the placement, material, and shape of the modifications can have a substantial impact of the performance of the housing after it has been modified. Interestingly, the modifications can have performance impacts that may be difficult to foresee by the occupants. Internal lining products added to the walls, such as timber sheets, installed for aesthetic purposes, tended to reduce the cooling energy demand for its impacts on the thermal transmittance and airtightness of walls, while external roofs could have both positive or negative impacts according to their location and materiality due to their impacts as sun shading devises. This implies that, without proper support, self-help actions intended to improve the quality of the housing can have unforeseeable consequences and have negative impacts on household satisfaction, thus the key role of this factor as part of the personalization process.
3.4. Residential Satisfaction Modeling
This section presents a residential satisfaction model intended to inform predictive personalization in social housing. The model is built upon the outcomes of the residential satisfaction survey and thermal performance assessment of the case study developments described above. Section 3.4.1 defines a descriptive model that explains residential satisfaction as a function of household expectations and perceptions of the residential environment. This model is later extended to incorporate forecasts as a means to inform housing development using residential satisfaction as guiding principle through predictive personalization (Section 3.4.2). This section ends with a discussion on the potential and limitations of the proposed model as a means to inform housing mass personalization, and the potential role of thermal performance as an intervening factor.
3.4.1. Descriptive Model
As discussed in Section 1.2, theories of housing adjustment [33,34] propose that households constantly evaluate their residential environment based upon culturally derived norms that explain different adjustment behavior. The results discussed above evidence that in Chilean social housing, these mismatches often motivate households to modify physical characteristics of their residential environment through different self-help actions aimed at reducing existing gaps between perceived and expected residential conditions. In parallel, although households may gain control over their current residential conditions by actively modifying their dwellings, the type of relationship they establish with developers before occupancy can significantly impact expectations, and thus overall levels of satisfaction (Section 3.3). In this context, expectancy disconfirmation theory [45,86] can be used to formalize this relationship whilst acknowledging the key role of personalization and its potential impact on the performance of the dwellings.
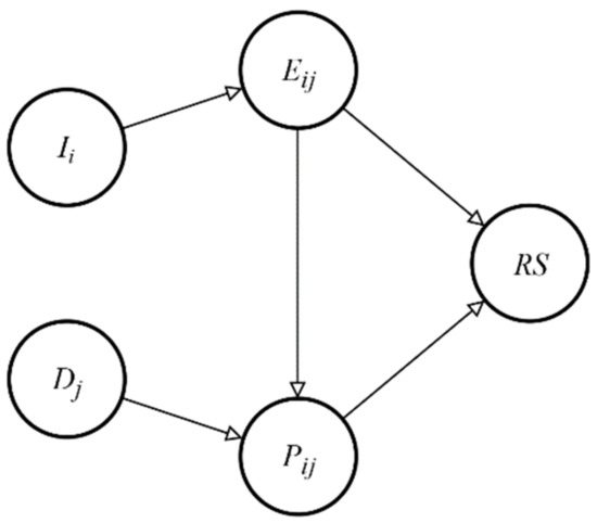
In Chilean social housing, personalization may have a twofold impact on residential satisfaction. Firstly, a personalized relationship between users and developers before occupancy can have a significant impact on the build-up of dwellers’ expectations regarding their future residential conditions, and therefore on their resulting satisfaction levels. Nonetheless, such a personalized relationship does not necessarily imply greater residential satisfaction because, as suggested by the analyses (Section 3.3), when developers do not control expectations, the results may be the opposite. In this context, qualitative factors surrounding the information given to the households may be critical for their potential capacity to grasp concepts of significant technical complexity [87]. Secondly, personalization in the form of active interventions to the physical environment (i.e., extensions, layout changes, exterior works, etc.) can have a strong impact on residential satisfaction when household requirements are not reflected by the attributes of the housing. However, such interventions can also have negative impacts on satisfaction, e.g., when the housing changes affect variables, such as the thermal performance of the housing (Section 3.2). In this sense, the impacts of personalization on residential satisfaction can be modeled by adapting Seth et al.’s [43] formalism of expectancy disconfirmation as:
where is the overall level of residential satisfaction; is the attributes of the residential environment; is the performance perception of user on the residential attribute at time ; represents the impacts of the dwelling on residential attribute at time ; is the expected performance by user on the residential attribute at time ; and is the information impacts on user at time .
Although this model is not intended to be a comprehensive account of the complex multi-dimensional phenomena surrounding residential satisfaction, it synthesizes the observed impacts of different personalization strategies on satisfaction as a dynamic system of relationships that is both grounded on data and instrumental for mass personalization. As shown in Figure 11, this model explains residential satisfaction as a result of a household’s expectations and performance perceptions, which in parallel, are impacted by the: (i) Information that may be available at any moment in time regarding the dwelling’s attributes; and by the (ii) impact of housing on performance. In this sense, this model can be used as a framework to assess the impacts of different personalization strategies on expectations and performance, and thus on the perceived quality of the residential environment.
Figure 11.
The relational structure of the proposed residential satisfaction model.
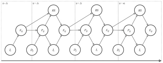
Furthermore, this model can be used to explain how such a system of interrelationships evolves over time, and thus to assess how changes in the requirements and expectations of the households may prompt further personalization responses. Figure 12 depicts residential satisfaction as an evolving system (from to ) where changes in the perceived performance of a dwelling impact information, and thereafter, the build-up of expectations regarding future residential conditions as well as current residential satisfaction levels. In this context, both stakeholder relationships (i.e., personalization as a service) and modifications to the built environment (i.e., personalization as a product) can have a strong impact on information and performance, hence on the perceived quality of the residential environment.
Figure 12.
Spatial-temporal feedback relationships (left to right) linking the different components of the residential satisfaction model throughout a dwelling’s life cycle.
3.4.2. Towards Predictive Personalization
Beyond explaining residential satisfaction in relation to different personalization strategies over the housing’s life cycle, a key feature of the proposed model is it defines a general framework that can be extended to inform housing mass personalization. As discussed in Section 1.1, in order to effectively meet individual household requirements, mass personalization should address tacit household requirements and occupancy patterns that change over the dwelling’s life cycle [28]. In this context, Figure 13 illustrates the addition of the forecasted conditions variable to the proposed residential satisfaction model. This enables increasing the accuracy of the information that may be provided to the user regarding the impacts of housing attributes on the quality of the residential environment before, e.g., conducting adaptive modifications during occupancy or when designing a dwelling before occupancy .
Figure 13.
Incorporation of forecasted conditions () into the residential satisfaction model.
The introduction of forecasted conditions to this model is a fundamental step towards enabling its utilization in mass personalized housing development. The possibilities opened by this variable are at least twofold. On the one hand, introducing feedback mechanisms to this model enables its utilization as part of the production systems that may be capable of better understanding the potential impacts of design decisions on residential quality perceptions. This can be done before their construction and, therefore, help to reduce mismatches between housing attributes and the needs and expectations of the occupants. Using the lessons learnt from the Chilean case, one of such cases may be, e.g., the risk of thermal performance problems when planning housing extensions. A mass personalization system capable of foreseeing the impacts of extensions on the thermal requirements of a specific household may enable users to select the best alternative, and therefore enhance their satisfaction levels during occupancy. The same applies to other design decisions and housing retrofits, where predictive personalization should be informed by both the characteristics of the residential environment and the profile of the dwellers (i.e., household size, income, etc.). On the other hand, the capacity of these feedback mechanisms to enable occupants to better understand the impacts of design decisions on qualitative dimensions of the residential environment may help to constrain expectations, and therefore enhance future satisfaction levels. This is a significant issue because, as discussed in Section 3.3., a larger gap between expectations and residential quality perceptions is associated with an increase in dissatisfaction. Using the same example described above, after exploring different extension alternatives, a household can have a deeper understanding of both the implications of its decisions and the potential magnitude of their impacts on the thermal performance of the dwellings. This, as suggested by the survey outcomes and captured by the proposed model, should enhance residential satisfaction levels.
4. Conclusions
This study evaluates the impacts of different personalization strategies on residential satisfaction and proposes a model that formalizes some of its intervening factors as a dynamic structure aimed at addressing changing occupancy patterns throughout the dwelling’s life cycle. This model uses expectancy disconfirmation theory as a framework to explain residential satisfaction as a measure of the difference between expected and perceived residential conditions where personalization, either as a product or as a service, can have a strong impact both before and during occupancy.
As evidenced by the survey results, a personalized relationship between stakeholders can have a strong impact on the expectations of the households before occupancy, whereas personalization through active self-construction can be an effective strategy for households aiming to gain control over their resulting residential conditions. In this context, the thermal performance of housing was shown to be a significant source of dissatisfaction among occupants. In parallel, the simulation results demonstrate that personalization through self-help action can impact the environmental performance of the dwellings, either positively or negatively, and thereafter influence the capacity of the occupants to achieve expected residential conditions. Significantly, households may rightfully assume that their dwellings can have adequate or at least comply to minimum standards of thermal performance (i.e., implicit factor behind the quality of the residential environment), explaining the strong impacts of this variable on residential satisfaction when failing to meet expectations. In this context, personalization may influence the perceived quality of the residential environment, either through its impact on the build-up of expectations or on the actual performance of the dwellings. Accordingly, predictive personalization may potentially enhance the quality of the residential environment through informing decision-making before conducting such adaptive modifications and by providing accurate information that may help to constrain household expectations.
The proposed model, built upon field information findings, provides a means to structure, weight, and measure these factors. Significantly, the model is aimed at informing the development of mass personalized housing. Hence, it should be understood as one component of a larger comprehensive product-service ecosystem. Developing the components and structure of this ecosystem is beyond the scope of this study, and therefore is one of the main areas of future research derived from this model.
It has been argued that mass personalization systems should be structured from the bottom-up by a core infrastructure, hard products, and soft characteristics to be personalized. In parallel, assessing the impacts of different personalization strategies on a dynamic residential environment is a problem that involves multiple interacting factors and levels of uncertainty that may prevent meaningful analysis without a concrete scenario setting. However, learning from self-help and participatory housing research, it is understood that enabling thorough feedback mechanisms and direct household involvement into the housing delivery process may overcome some of these limitations. In order to achieve this, a complete mass personalization model should be conceptualized, implemented, and tested towards fully assessing the potential and limitations of predictive personalization. Accordingly, they are the focus of further research derived from the model structured in this paper.
Author Contributions
Conceptualization, V.B.; methodology, V.B.; software, V.B.; validation, V.B.; formal analysis, V.B.; investigation, V.B.; resources, V.B.; data curation, V.B.; writing—original draft preparation, V.B.; writing—review and editing, V.B. and W.B.; visualization, V.B.; supervision, W.B.; project administration, V.B. and W.B.; funding acquisition, V.B. and W.B.
Funding
This research was funded by the National Commission for Science and Technological Research (CONICYT) of Chile under the FONDECYT Postdoctoral Fellowship program (project number 3170502).
Acknowledgments
The authors acknowledge the support provided by CEDEUS under the research grant CONICYT/FONDAP 15110020. Preliminary results of the study presented in this paper were published in conference proceedings (see [87,88]). The authors acknowledge the support and advice of Thomas Kvan, A/Masa Noguchi and Rodrigo García in this study.
Conflicts of Interest
The authors declare no conflict of interest.
Appendix A
Figure A1.
Benchmark house, orientations, and different modification alternatives included in the environmental performance assessment of the TR estate [88] (green = addition).
Figure A1.
Benchmark house, orientations, and different modification alternatives included in the environmental performance assessment of the TR estate [88] (green = addition).

Figure A2.
Benchmark house, orientations, and different modification alternatives included in the environmental performance assessment of the JPUS estate [88] (green = addition; orange = removal).
Figure A2.
Benchmark house, orientations, and different modification alternatives included in the environmental performance assessment of the JPUS estate [88] (green = addition; orange = removal).

Figure A3.
Benchmark house, orientations, and different modification alternatives included in the environmental performance assessment of the SDH1 estate [88] (green = addition; orange = removal).
Figure A3.
Benchmark house, orientations, and different modification alternatives included in the environmental performance assessment of the SDH1 estate [88] (green = addition; orange = removal).

Figure A4.
Benchmark house, orientations, and different modification alternatives included in the environmental performance assessment of the SDH2 estate [88] (green = addition; orange = removal).
Figure A4.
Benchmark house, orientations, and different modification alternatives included in the environmental performance assessment of the SDH2 estate [88] (green = addition; orange = removal).

References
- UN Habitat. World Urbanization Prospects 2018; UN-DESA: New York, NY, USA, 2018. [Google Scholar]
- UN Habitat. World Urbanization Prospects: The 2014 Revision, Highlights; Department of Economic and Social Affairs, United Nations: New York, NY, USA, 2014. [Google Scholar]
- Golubchikov, O.; Badyina, A. Sustainable Housing for Sustainable Cities: A Policy Framework for Developing Countries; UNON: Nairobi, Kenya, 2012. [Google Scholar]
- Okpala, D.C.I. Housing production systems and technologies in developing countries: A review of the experiences and possible future trends/prospects. Habitat Int. 1992, 16, 9–32. [Google Scholar] [CrossRef]
- Turner, J.F.C.; Roberts, B. The Self-Help Society. In The Exploding Cities; Wilsher, P., Righter, R., Eds.; Andre Deutch Ltd.: London, UK, 1975. [Google Scholar]
- Davis, S. The Architecture of Affordable Housing; University of California Press: Berkeley, CA, USA, 1995. [Google Scholar]
- Tipple, G. Housing extensions as sustainable development. Habitat Int. 1996, 20, 367–376. [Google Scholar] [CrossRef]
- Habraken, N.J. Supports: An Alternative to Mass Housing; The Architectural Press: London, UK, 1972. [Google Scholar]
- Hays, R.A. Habitat for humanity: Building social capital through faith based service. J. Urban Aff. 2002, 24, 247–269. [Google Scholar] [CrossRef]
- Haramoto, E.; Chiang, P.; Sepúlveda, R.; Kliwadenko, I. Vivienda Social: Tipología de Desarrollo Progresivo; Instituto de la Vivienda, Universidad de Chile/Centro de Estudios de la Vivienda, Universidad Central: Santiago, Chile, 1987. [Google Scholar]
- Greene, M.; Rojas, E. Incremental construction: A strategy to facilitate access to housing. Environ. Urban. 2008, 20, 89–108. [Google Scholar] [CrossRef]
- Aravena, A.; Iacobelli, A. Incremental Housing and Participatory Design Manual; Hatje Cantz: Ostfildern, Germany, 2012. [Google Scholar]
- Priemus, H. Flexible housing: Fundamentals and background. Open H. Int. 1993, 18, 19–26. [Google Scholar]
- Friedman, A. The Adaptable House: Designing Homes for Change; McGraw Hill Professional: New York, NY, USA, 2002. [Google Scholar]
- Jones, P.B.; Petrescu, D.; Till, J. (Eds.) Architecture and Participation; Routledge: London, UK, 2005. [Google Scholar]
- Simonsen, J.; Robertson, T. (Eds.) Routledge International Handbook of Participatory Design; Routledge: New York, NY, USA, 2013. [Google Scholar]
- Bamberger, M. The role of self-help housing in low-cost shelter programmes for the Third World. Built Environ. 1982, 8, 95–107. [Google Scholar]
- Bredenoord, J.; Lindert, P.V. Pro-poor housing policies: Rethinking the potential of assisted self-help housing. Habitat Int. 2010, 34, 278–287. [Google Scholar] [CrossRef]
- UN Habitat. Financing Urban Shelter: Global Report in Human Settlements 2005; Earthscan: Nairobi, Kenya, 2005. [Google Scholar]
- Bunster, V.; Noguchi, M.; Kvan, T. Mass Personalisation. In ZEMCH: Toward the Delivery of Zero Energy Mass Custom Homes; Noguchi, M., Ed.; Springer: New York, NY, USA, 2016; pp. 121–149. [Google Scholar]
- Bunster, V.; Noguchi, M. Profiling space heating behavior in Chilean social housing: Towards personalization of energy efficiency measures. Sustainability 2015, 7, 7973–7996. [Google Scholar] [CrossRef]
- Tseng, M.M.; Jiao, R.J.; Wanga, C. Design for mass personalization. CIRP Ann. Manuf. Technol. 2010, 59, 175–178. [Google Scholar] [CrossRef]
- Kumar, A. From mass customization to mass personalization: A strategic transformation. Int. J. Flex. Manuf. Syst. 2008, 19, 533–547. [Google Scholar] [CrossRef]
- Tseng, M.M.; Jiao, J.; Merchant, M.E. Design for mass customization. CIRP Ann. Manuf. Technol. 1996, 45, 153–156. [Google Scholar] [CrossRef]
- Piller, F.T.; Tseng, M.M. (Eds.) Handbook of Research in Mass Customization and Personalization; World Scientific: Singapore, 2009; Volume 2. [Google Scholar]
- Pine, B.J., II. Mass Customization: The New Frontier in Business Competition; Harvard Business School Press: Boston, MA, USA, 1993. [Google Scholar]
- Zhou, F.; Ji, Y.; Jiao, R.J. Affective and cognitive design for mass personalization: Status and prospect. J. Intell. Manuf. 2013, 24, 1047–1069. [Google Scholar] [CrossRef]
- Noguchi, M.; Hadjri, K. Mass custom design for sustainable housing development. In Handbook of Research in Mass Customizacion and Personalization; Piller, F.T., Tseng, M.M., Eds.; World Scientific Publishing: London, UK, 2010; Volume 2, pp. 892–910. [Google Scholar]
- Di Sivo, M.; Angelucci, F. Mass customization process for the Social Housing. Potentiality, critical points, research lines. Techne 2012, 4, 132. [Google Scholar]
- Zhou, F.; Xu, Q.; Jiao, R.J. Fundamentals of product ecosystem design for user experience. Res. Eng. Des. 2011, 22, 43–61. [Google Scholar] [CrossRef]
- Zhou, F.; Jiao, R.J.; Xu, Q.; Takahashi, K. User experience modeling and simulation for product ecosystem design based on fuzzy reasoning petri nets. IEEE Trans. Syst. Manand Cybern. Part A Syst. Hum. 2012, 42, 201–212. [Google Scholar] [CrossRef]
- Lu, M. Determinants of residential satisfaction: Ordered logit vs. regression models. Growth Chang. 1999, 30, 264–287. [Google Scholar] [CrossRef]
- Morris, E.W.; Winter, M. A theory of family housing adjustment. J. Marriage Fam. 1975, 37, 79–88. [Google Scholar] [CrossRef]
- Morris, E.W.; Crull, S.R.; Winter, M. Housing norms, housing satisfaction and the propensity to move. J. Marriage Fam. 1976, 38, 309–320. [Google Scholar] [CrossRef]
- Galster, G.C.; Hesser, G.W. Residential satisfaction: Compositional and contextual correlates. Environ. Behav. 1981, 13, 735–758. [Google Scholar] [CrossRef]
- Abu Ghazzeh, T.M. Environmental messages in multiple-family housing: Territory and personalization. Landsc. Res. 2000, 25, 97–115. [Google Scholar] [CrossRef]
- Weidemann, S.; Anderson, J.R. A conceptual framework for residential satisfaction. In Home Environments; Springer: New York, NY, USA, 1985; pp. 153–182. [Google Scholar]
- Amérigo, M.; Aragonés, J.I. A theoretical and methodological approach to the study of residential satisfaction. J. Environ. Psychol. 1997, 17, 47–57. [Google Scholar] [CrossRef]
- Parkes, A.; Kearns, A.; Atkinson, R. What makes people dissatisfied with their neighbourhoods? Urban Stud. 2002, 39, 2413–2438. [Google Scholar] [CrossRef]
- Forte, F.; Russo, Y. Evaluation of user satisfaction in public residential housing—A case study in the outskirts of Naples, Italy. IOP Conf. Ser. Mater. Sci. Eng. 2017, 245, 052063. [Google Scholar]
- Galster, G. Identifying the correlates of dwelling satisfaction: An empirical critique. Environ. Behav. 1987, 19, 539–568. [Google Scholar] [CrossRef]
- UN Habitat. The Habitat Agenda: Chapter IV: B. Adequate shelter for all. In UN Documents: Gathering a Body of Global Agreements; Education, N.C.O., Ed.; United Nations: Istambul, Turkey, 1996. [Google Scholar]
- Seth, N.; Deshmukh, S.G.; Vrat, P. Service quality models: A review. Int. J. Qual. Reliab. Manag. 2005, 22, 913–949. [Google Scholar] [CrossRef]
- Ghobadian, A.; Speller, S.; Jones, M. Service quality: Concepts and models. Int. J. Qual. Reliab. Manag. 1994, 11, 43–66. [Google Scholar] [CrossRef]
- Oliver, R.L. Effect of expectation and disconfirmation on postexposure product evaluations: An alternative interpretation. J. Appl. Psychol. 1977, 62, 480–486. [Google Scholar] [CrossRef]
- Bharati, P.; Chaudhary, A. Product customization on the web: An empirical study of factors impacting choiceboard user satisfaction. Inf. Resour. Manag. J. 2006, 19, 69–81. [Google Scholar] [CrossRef]
- Liang, T.-P.; Lai, H.J.; Ku, Y.C. Personalized content recommendation and user satisfaction: Theoretical synthesis and empirical findings. J. Manag. Inf. Syst. 2006, 23, 45–70. [Google Scholar] [CrossRef]
- Grimmelikhuijsen, S.; Porumbescu, G.A. Reconsidering the expectancy disconfirmation model. Three experimental replications. Public Manag. Rev. 2017, 19, 1272–1292. [Google Scholar] [CrossRef]
- Held, G. Políticas de Viviendas de Interés Social Orientadas Al Mercado: Experiencias Recientes Con Subsidios a La Demanda En CHILE, Costa Rica y Colombia; CEPAL: Santiago, Chile, 2000. [Google Scholar]
- Chamorro, C. Política habitacional en Chile: Historia, resultados y desafíos. In Work Documents; Chilean Construction Chamber: Santiago, Chile, 2013. [Google Scholar]
- Haramoto, E.; Jirón, P.; Tapia, R.; Sepúlveda, R.; Sepúlveda, O.; Zapata, I.; Rugiero, A.; Izaurieta, R. Sistema Medición Satisfacción Beneficiarios Vivienda Básica: Síntesis del Informe de Consultoría INVI-FAU-UCH; Instituto de la Vivienda; Facultad de Arquitectura y Urbanismo, Universidad de Chile: Santiago, Chile, 2002. [Google Scholar]
- Sugranyes, A. La política habitacional en Chile, 1980–2000: Un éxito liberal para dar techo a los pobres. In Los Con Techo: Un Desafío Para La Política de Vivienda Social; Rodríguez, A., Sungranyes, A., Eds.; Ediciones SUR: Santiago, Chile, 2005. [Google Scholar]
- Arriagada, C.; Sepúlveda, D. Satisfacción Residencial en la Vivienda Básica SERVIU: La Perspectiva del Ciclo Familiar; Ministerio de Vivienda y Urbanismo: Santiago, Chile, 2001; Volume 311.
- Atria, J. Social capital and volunteering: The keys for solidary financing for social housing. The Un Techo para Chile Foundation case. Rev. INVI 2007, 22, 13–30. [Google Scholar]
- Naranjo, C.; Purcell, J. The qualitative dimension in the application system for the solidarity housing fund I. Psicoperspectivas 2010, 9, 181–202. [Google Scholar]
- Hidalgo, R. La Vivienda Social en Chile y la Construcción del Espacio Urbano en el Santiago del Siglo XX; Pontificia Universidad Católica de Chile: Santiago, Chile, 2005. [Google Scholar]
- Hidalgo, R.; Peterson, V.C.; Santana, D. La espacialidad neoliberal de la producción de vivienda social en las áreas metropolitanas de Valparaíso y Santiago (1990–2014): Hacia la construcción idelógica de un rostro humano? Cad. Metrópole 2017, 19, 513–535. [Google Scholar]
- Katsura, H.M.; Romanik, C.T. Ensuring Access to Essential Services: Demand-Side Housing Subsidies; World Bank: Washington, DC, USA, 2002. [Google Scholar]
- Government of Chile. Ordenanza General de Urbanismo y Construcciones; D.S. No.47; Diario Oficial de la República de Chile: Santiago, Chile, 1992.
- Government of Chile. Reglamento del Programa Fondo Solidario de Elección de Vivienda; D.S. No.49; Ministerio de Vivienda y Urbanismo: Santiago, Chile, 2011; pp. 1–58. [Google Scholar]
- Muñoz, T.L. Evolución del espacio doméstico en ‘blocks’ de vivienda social: Autoconstrucción y vulnerabilidad en conjuntos de vivienda básica. Rev. CIS 2011, 15, 3–26. [Google Scholar]
- Kellet, P.; Haramoto, E.; Toro, A. Dweller-initiated changes and transformations of social housing: Theory and practice in the Chilean context. Open House Int. 1993, 18, 3–10. [Google Scholar]
- García, R.; Donath, D.; González, F. Growth patterns in incremental self-build housing in Chile. Open House Int. 2009, 34, 18–25. [Google Scholar]
- Kellett, P.; Toro, A.; Haramoto, E. Cambios iniciados por los habitantes y transformaciones en la vivienda social: Teoría y práctica en el contexto chileno. Bol. INVI 1994, 21, 3–16. [Google Scholar]
- Arriagada, C.; Moreno, J.C. Atlas de la Evolución del Déficit Habitacional en Chile 1992–2002; Departamento de Estudios, Ministerio de Vivienda y Urbanismo: Santiago, Chile, 2006. [Google Scholar]
- Ministerio de Vivienda y Urbanismo. Manual Para el Diseño y Ejecución de Planes de Habilitación Social, Fondo Solidario de Vivienda; Habitacional, D.A., Ed.; Gobierno de Chile: Santiago, Chile, 2008. [Google Scholar]
- De Federico, I. Plan de habilitación social: Los usuarios opinan. Rev. CIS 2006, 8, 28–39. [Google Scholar]
- Saborido, M.; Miranda, M.; Zamorano, H. Informe Final de Evaluación Programa de Asistencia Técnica y Social; Ministerio de Vivienda y Urbanismo, Secretaría de Vivienda y Urbanismo: Santiago, Chile, 2010.
- Rubio Bellido, C.; Pérez Fargallo, A.; Pulido Arcas, J.A.; Trebilcock, M. Application of adaptive comfort behaviors in Chilean social housing standards under the influence of climate change. In Building Simulation; Tsinghua University Press: Beijing, China, 2017; pp. 933–947. [Google Scholar]
- Pérez Fargallo, A.; Rubio Bellido, C.; Pulido Arcas, J.A.; Trebilcock, M. Development policy in social housing allocation: Fuel poverty potential risk index. Indoor Built Environ. 2017, 26, 980–998. [Google Scholar] [CrossRef]
- Comerio, M.C. Housing recovery lessons from Chile. J. Am. Plan. Assoc. 2014, 80, 340–350. [Google Scholar] [CrossRef]
- Platt, S. Reconstruction in Chile Post 2010 Earthquake; Cambridge Architectural Research Ltd.: Cambridge, UK, 2012. [Google Scholar]
- Krosnick, J.A.; Presser, S. Question and questionnaire design. In Handbook of Survey Research, 2nd ed.; Wright, J.D., Marsden, P.V., Eds.; Elsevier: San Diego, CA, USA, 2010; pp. 263–314. [Google Scholar]
- ASHRAE. Thermal environmental conditions for human occupancy. In ANSI/ASHRAE Standard 55-1992; Heating, A.S.O., Ed.; ERDAS Inc.: Atlanta, GA, USA, 2010. [Google Scholar]
- Burgoon, J.K.; Bonito, J.A.; Lowry, P.B.; Humpherys, S.L.; Moody, G.D.; Gaskin, J.E.; Giboney, J.S. Application of expectancy violations theory to communication with and judgments about embodied agents during a decision-making task. Int. J. Hum. Comput. Stud. 2016, 91, 24–36. [Google Scholar] [CrossRef]
- Hackel, L.S.; Ruble, D.N. Changes in the marital relationship after the first baby is born: Predicting the impact of expectancy disconfirmation. J. Personal. Soc. Psychol. 1992, 62, 944–957. [Google Scholar] [CrossRef]
- Van Rijn, H.; Johnson, A.; Taatgen, N. Cognitive user modelling. In Handbook of Human Factors in Web Design, 2nd ed.; Vu, K.P.L., Proctor, R.W., Eds.; CRC Press: Boca Raton, FL, USA, 2011; pp. 527–542. [Google Scholar]
- Brown, S.A.; Venkatesh, V.; Goyal, S. Expectation confirmation in information systems research: A test of competing models. MIS Q. 2014, 38, 729–756. [Google Scholar] [CrossRef]
- Jirón, P.; Toro, A.; Caquimbo, S.; Goldsack, L.; Martínez, L.; Colonelli, P.; Hormazábal, N.; Sarmiento, P. Bienestar Habitacional: Guía de Diseño Para un Hábitat Residencial Sustentable; Andros Impresores: Santiago, Chile, 2004. [Google Scholar]
- Bustamante, W.; Rozas, Y.; Cepeda, R.; Encinas, F.; Martínez, P. Guía de Diseño Para la Eficiencia Energética en la Vivienda Social; Ministerio de Vivienda y Urbanismo; Grafhika Copy Center Ltda.: Santiago, Chile, 2009.
- Escorcia, O.; García, R.; Trebilcock, M.; Celis, F.; Bruscato, U. Envelope improvements for energy efficiency of homes in the south-central Chile. Inf. Constr. 2012, 64, 563–574. [Google Scholar] [CrossRef]
- Celis, F.; Diaz, M.; Echeverría, E.; García, R.; Escorcia, O.; Trebilcock, M. Incidence of architectural configuration on energy efficiency of dwellings in the centre-south of Chile. In Proceedings of the PLEA 2012-28th Conference, Opportunities, Limits & Needs Towards an Environmentally Responsible Architecture, Lima, Perú, 7–9 November 2012. [Google Scholar]
- Acevedo, F.; Arrieta, B.; González, C.; González, F.; Jorquera, C.; Mora, M.E.; Soto, N. Evaluación de la Satisfacción Residencial de Los Beneficiarios del Fondo Solidario de Vivienda (FSV); Pontificia Universidad Católica de Chile: Santiago, Chile, 2007. [Google Scholar]
- Andrade, M.; Aguirre, C.; Mora, M.E. Antecedentes para una evaluación de la satisfacción residencial de los beneficiarios del fondo solidario de vivienda (FSV). Rev. Constr. 2007, 6, 42–51. [Google Scholar]
- Andrade, M.; Aguirre, C.; Mora, M.E.; Pizarro, J. Evaluación de la satisfacción residencial de beneficiarios del fondo solidario de vivienda (FSV). Rev. CIS 2008, 11, 52–59. [Google Scholar]
- Oliver, R.L.; Burke, R.R. Expectation processes in satisfaction formation: A field study. J. Serv. Res. 1999, 1, 196–214. [Google Scholar] [CrossRef]
- Bunster, V.; Bustamante, W.; García, R.; Noguchi, M.; Kvan, T. Exploring the impacts of personalisation on thermal efficiency of Chilean social housing. In Proceedings of the 6th International Conference on Zero Energy Mass Custom Housing (ZEMCH 2018), Melbourne, Australia, 29 January–1 February 2018; pp. 595–612. [Google Scholar]
- Bunster, V.; Noguchi, M.; García, R.; Kvan, T. Personalisation strategies and residential satisfaction in Chilean social housing. In Proceedings of the ZEMCH 2015, Zero Energy Mass Custom Home International Conference and Technical Seminars, Bari and Lecce, Italy, 22–25 September 2015. [Google Scholar]
© 2019 by the authors. Licensee MDPI, Basel, Switzerland. This article is an open access article distributed under the terms and conditions of the Creative Commons Attribution (CC BY) license (http://creativecommons.org/licenses/by/4.0/).












