Abstract
Semi-arid grassland in northern China faces degradation and desertification problems, with fertilizer application appearing to be a potential solution by improving soil fertility and plant fields or biodiversity. In this study, mineral and organic fertilizers were used in a semi-arid natural grassland in Hebei Province for three years. The plant characteristics, biomass and species diversity index were assessed and analyzed. In the years 2016 and 2017, mineral fertilizers (RC) significantly increased the total aboveground biomass and the aboveground biomass, natural height, density and coverage of Leymus chinensis compared with organic fertilizers (RO), especially at a moderate application rate (RC2). Leymus chinensis was first divided into its own group and then separated into four groups via cluster tree analysis. The importance values of Leymus chinensis showed continuous increases in mineral fertilizer treatments, but not for organic fertilizers. Margalef’s species richness indexes increased significantly (to 2.09) in the organic treatment (RO1) when compared with RC2. Thus, it was concluded that mineral fertilizers could enhance the position of Leymus chinensis in the natural grassland, while organic fertilizers could promote species biodiversity. This study also provides recommendations regarding the use of fertilizers for the purposes of increasing plant biomass and biodiversity in semi-arid grasslands of northern China.
1. Introduction
In agricultural soil, fertilizer application potentially influences soil nutrients, their availability properties and crop yields []. Organic fertilizers, such as animal manure, green manure crops, compost, crop residues and sewage sludge, were vital components of integrated nutrient management in traditional farming for making soil retain its beneficial qualities [,]. However, with the development of modern agriculture, more mineral-based fertilizers, such as nitrogen and phosphorus fertilizers, have been produced to replace organic fertilizers.
Nitrogen (N) was the dominant limiting nutrient in agricultural systems [,,]. Numerous fertilizer studies confirmed that supply of mineral nutrients, particularly N, were highly responsible for increasing crop yields [,]. It has been proven that aboveground biomass increases with N input across various ecosystems [,]. However, some studies have illustrated that irrational fertilization would cause atmospheric N deposition and pollution, and that low-nutrient systems, such as natural ecosystems, are especially sensitive to N inputs and are therefore more susceptible to N deposition []. Specifically, N deposition has been shown to affect species interaction at the trophic level [] and then change species abundance, plant community composition [], and even decrease biodiversity []. Global nitrogen (N) deposition has been identified as one of the most important factors in the current loss of biodiversity []. Additionally, more N input easily pollutes the water table in the instance of heavy rains or in sand soils. Moreover, their nitrogen use efficiency can be very low; the nitrous oxide gas which can be emitted for volatilization by their land spreading is one of the main greenhouse gases. Another important mineral nutrient for crop production is phosphate (P) [], which improves soil fertility and maintains the equilibrium of soil nutrients [,,]. As we know, P is particularly beneficial to the growth of legume species, so we suppose P could increase the diversity of a pasture mainly made up of Poaceae. High rates of P, together with N, tend to result in basin eutrophication by soil erosion due to rain or wind.
Based on the above background, we hypothesized that a combined application of N and P fertilizers might increase the aboveground plant biomass and have positive effects on biodiversity. It is well-known that organic fertilizers are beneficial to soil restoration [,]. Mineral fertilizers are quick-acting fertilizers, favoring the growth of plants through rapid, increased soil fertility, whereas organic fertilizers release nutrients at a lower rate but affect a longer time period [,,]. Therefore, we also hypothesized that organic fertilizers could replace mineral fertilizers to maintain field fertility and safeguard it from the defect of mineral fertilizers. To verify these two hypotheses, an experiment was conducted in the natural grassland, which is rich in both variability and multi-functionality, and is one of largest ecosystems in the world. Grassland can provide excellent foraging opportunities for animals, as well as many benefits to humans []. There has been an increasing concern regarding biodiversity and its role in environmental conservation of grasslands over last few decades [,]. Two major problems impacting the environment and resources of northern China is grassland degeneration and desertification []. It is our responsibility to find a way to increase foraging biomass while having no effect on species biodiversity.
The grassland in which we conducted our experiment lies in Inner Mongolia, northern China; this is semi-arid grassland and was degenerated by intensive use and lack of effective management. Leymus chinensis (Trin.) Tzvel., a eurytopic xerophytic grass, accounts for approximately half of the biomass of the steppe []. This grass produces a high yield, has a strong tolerance to drought, high pH and low fertility [], and is usually used as hay to feed livestock. With the development of animal husbandry and industry, overgrazing, mining and other actions of humans has led to degeneration and desertization of the grassland [,]. In this paper, we added and screened mineral and organic fertilizers to the Leymus chinensis grassland, aiming to improve soil fertility and enrich biodiversity of the grassland.
2. Materials and Methods
2.1. Study Area
The experiment was conducted from 2015 to 2017 in Guyuan County, northern Hebei Province, China (Figure 1); this zone has a national observation field station at the southern margin of Inner Mongolia’s Xilingol Grassland, with a latitude of 41°45’52” N, a longitude of 115°39’51” E, and an altitude of 1400 m. The annual average temperature was 2.5 °C, and the annual mean rainfall was 400 mm, primarily distributed between July and September. This region is considered a semi-arid grassland. The major soil of this experimental field was kastanozems or meadow soil, with the organic matter content found to be approximately 2.5% and the pH value 7.0–8.5. Leymus chinensis is the dominant species in this steppe with absolute superiority; other zonal plants include some pasture plants, such as Cleistogenes squarrosa (Trin.) Keng, Melissitus ruthenicus (L.) C. W. Chang, Stipa krylovii Roshev., and Hedysarum gmelinii Ledeb., and some forbs, such as Potentilla tanacetifolia Willd. Ex Schlecht., Artemisia frigida Willd., Thalictrumsquarrosum Steph. Ex Willd., Bupleurum chinensis DC., Saposhnikovia divaricate (Trucz.) Schischk., Potentilla bifurca L., Allium senescens L., Allium tenuissimum L., Heteropappus altaicus (Willd.) Novopokr., Artemisia eriopoda Bge. and Polygonum glaucum Willd.

Figure 1.
The study site in Guyuan County, Hebei Province, China.
2.2. Experimental Design and Measurement
This experiment consisted of the following two main treatments: A mineral fertilizer application (RC) and an organic fertilizer application (RO). For the RC or RO treatment, there were three sub-treatments based on increasing application rates, which are coded as RC1, RC2, RC3 and RO1, RO2, RO3, respectively. Including the control (CK), there were a total of seven treatments in this experiment (Table 1). Each treatment had three replications, totaling 21 plots, and each plot was 15 m2 (3 × 5 m2). The mineral fertilizers were a combined application of urea (46% N) and diammonium phosphate (DAP, 18% N and 46% P2O5), while the organic fertilizer was sheep manure from a local farm. The fertilizers were dispersed on the soil surface by a strictly controlled and calibrated application.

Table 1.
Treatments of different fertilizers.
The fertilizers were applied in mid-May every year (2015–2017), and data was collected in late July of the same year. We set three sample quadrats (0.5 × 0.5 m2) in each treatment to obtain data on the species distribution over the whole plot, and then observed and graded each species and the vegetation coverage by eye, measured the species density by counting the number of individuals for each species present, and measured the plant height using a ruler. Then, we cut down the aboveground part of each species, divided them into different envelopes, and dried them in the drying oven at 65 °C for 48 h to weigh.
2.3. Statistical Analysis
The species number, number of individuals in each species, and coverage and heights of each species was recorded for each quadrat. In this paper, the following indexes were adapted to analyze plant communities according to the reported formulae [,]:
Species importance value (IV)
where RH is relative height, RC is relative coverage, RF is relative frequency, and RD is relative density.
Species α diversity index (Dma) using the Margalef’s species richness index:
where S is the number of individuals in each species and N is the number of all species.
Shannon–Wiener diversity index (H)
where Pi is the proportion of individuals of species.
Simpson’s dominance index (C)
where, again, Pi is the proportion of individuals of species.
Pielou’s equitability index (Epi)
where H is the Shannon–Wiener diversity index and S is the community species numbers.
All data were processed, and the graphs were plotted by Microsoft Excel 2010. The significance of the differences between the treatments was analyzed using one-way ANOVA with SPSS statistical software for the total aboveground biomass, species diversity importance values, and Leymus chinensis aboveground biomass, natural height, density and coverage. An average method (by MEGA 5.1) was used to create a cluster tree of all species in the whole experiment, based on their importance. The level of statistical significance was set at 0.05.
3. Results
3.1. The Effect of Different Treatments on Plant Traits
Leymus chinensis, as the dominant species of the local grassland, was affected the most by the fertilizer treatments. The effect of different treatments on total aboveground biomass (stems and leaves) and the Leymus chinensis biomass in different years is shown in Table 2. Since the harvest time was varied somewhat among years, it is hard to compare the mean biomass and other indexes between different years. It can clearly be observed that in 2015, the total aboveground biomass increased significantly to 210.14 g·m−2 in RC2, whereas Leymus chinensis biomass had no significant differences for the different treatments (Table 2). However, in 2016, the total aboveground biomass increased significantly to 363.99 g·m−2 in RC2 compared with the CK and all treatments of organic fertilizer application (P < 0.05), while there was no significant difference compared with RC1 and RC3 (P > 0.05). The Leymus chinensis aboveground biomass significantly increased to 270.88 g·m−2 and, in contrast, had no significant difference compared to the other treatments (Table 2). Similar to the Leymus chinensis aboveground biomass, the height, density and coverage all significantly increased to 34.67 cm, 993.32 plant·m−2 and 69.44%, respectively, in RC2 (P < 0.05) (Table S2). In 2017, all indexed characteristics of RC2 significantly increased compared with the CK and all treatments of organic fertilizer application (P < 0.05), similar to the results of 2016 (Table 2 and Table S3). In general, the total aboveground biomass and Leymus chinensis characteristics were higher in the continuous mineral fertilizer application treatments than any other treatments in 2016 and 2017, especially for the RC2 treatment.

Table 2.
Total aboveground biomass and L. chinensis biomass in different treatments (g/m2, mean±SE, n = 3).
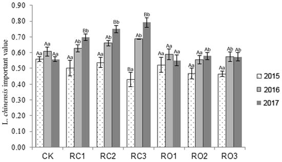
3.2. The Importance Value Index of L. chinensis in Three Years
Species importance value (IV) indicated the specific species’ position or status in a certain community; we analyzed the IVs of L. chinensis over three years (Figure 2). The values obtained showed no significant differences among the various treatments in 2015 and 2016, but in 2017, IVs in the mineral fertilizer group (RC) were higher than the organic fertilizer group (RO). Additionally, for the mineral fertilizer group, IVs increased significantly with an increase of the year, while the control and organic fertilizer group had no such change.

Figure 2.
The importance values of L. chinensis in three years (2015–2017). For each year, significant differences (P < 0.05) among the seven treatments are indicated by uppercase letters (A, B). For each treatment, significant differences (P < 0.05) over the three years are indicated by lowercase letters (a, b).
We created a cluster tree analysis by species IV for CK treatments in the year 2016 (Figure 3). As shown in the tree map, from 0.4–0.5 spaces, we divided it into the following four species groups: The first group was Leymus chinensis alone, the second group was Stipa krylovii and Artemisia frigida, the third group was Cleistogenes squarrosa, and the fourth group included all other species left, such as Cymbaria dahurica Linn, Phlomis umbrosa, and Heteropappus altaicus. As we know, Artemisia frigida is an indicator of grassland degradation, with an abundance of Artemisia frigida suggesting the grassland is in danger of degradation due to climate change and human activity [,]. With thousands of years of natural evolution, Leymus chinensis and Stipa krylovii have already become the most common species of the Inner Mongolia steppe.

Figure 3.
Species cluster tree map of importance values.
In total, the IVs of Leymus chinensis in 2016 was as high as in 2015 and 2017 for each of the treatments (data not shown). Obviously, Leymus chinensis is a major independent species in this steppe, or a dominant species. It was concluded that mineral fertilizers could enhance the role of the dominant species in the community in the grassland, but the organic fertilizers could not.
3.3. Species Proportion of Plant Community
The presence of different species in a plant community shows biodiversity. We divided the plant species into five groups according to the cluster analysis: Leymus chinensis, Stipa krylovii, Artemisia frigida, Cleistogenes squarrosa, and others. We also measured the proportional biomass of different species in the community (Figure 4), with the results revealing that the proportion of Leymus chinensis increased significantly in RC treatments, especially in RC2. Accordingly, the proportion of Artemisia frigida and Cleistogenes squarrosa decreased, and Cleistogenes squarrosa reached a low of 0.01 in RC2 and RC3 in 2017 (Figure 4c). The proportion of Stipa krylovii increased with an increase of mineral fertilizer contents in 2015 and 2017 (Figure 4a,c). Thus, it can be concluded that mineral fertilizer improved Leymus chinensis and Stipa krylovii, but restrained the growth of Cleistogenes squarrosa. On the other hand, organic fertilizer was found to restrain the growth of Leymus chinensis, but enhance other plant species. In 2016, organic fertilizer obviously increased the proportion of Artemisia frigida and other species (Figure 4b), but returned to the distribution of 2015 in the following year (Figure 4c). This may mean that organic fertilizer tended to maintain a stable biodiversity balance. Overall, mineral fertilizer application enhanced the growth of the dominant species, Leymus chinensis, while organic fertilizer application improved more species, thereby maintaining biodiversity of the grassland.

Figure 4.
Effects of fertilizers on proportional plant biomass for the preponderant species in the grassland in (a) 2015, (b) 2016, and (c) 2017.
3.4. Changes of Species Biodiversity During Different Years
We analyzed species abundance in the community using four species diversity indexes: Margalef’s species richness index, the Shannon–Wiener diversity index, Simpson’s dominance index and Pielou’s evenness index. As shown in Figure 5a, changes in the community richness index (Dma) were different for the three years studied. The decline was more significant in RC3 (1.16) than in RO2 (2.09) for the second year (P < 0.05), and the RC treatments were sharply declined compared with the CK and RO treatments in the third year. No significant differences in the various RO treatments were observed in the three years. Margalef’s richness index showed a decreased tendency in RC treatments with an increase in the year, and a stable level in RO treatment. Similar tendencies were also observed in the Shannon–Wiener diversity index, Simpson’s dominance index and Pielou’s evenness index (Figure 5b–d). A minimum value in RC3 and a maximum in RO2 were more apparent during the three years. From these findings, it may be suggested that RC treatments can decrease biodiversity, while RO treatments can stabilize or enhance biodiversity in temperate grasslands.

Figure 5.
The biodiversity index over three years (2015–2017). (a) Margalef’s richness index; (b) the Shannon–Wiener diversity index; (c) Simpson’s dominance index; and (d) Pielou’s equitability index.
In Figure 5, significant differences (P < 0.05) in the seven treatments are indicated by uppercase letters (A, B, C) for each year. For each treatment, significant differences (P < 0.05) in the three years are indicated by lowercase letters (a, b, c).
4. Discussion
We hypothesized that application of N and P fertilizers could have a beneficial effect on both biomass and biodiversity, and we wanted to elucidate the effect of organic fertilizers vs. mineral fertilizers over three years of treatment. In fact, the results of this experiment were different from our hypotheses.
Our study showed that the total aboveground biomass had a significant increase for the intermediate rate of mineral fertilizer treatment (RC2) in 2015 compared to the control. In addition, the total aboveground biomass and all indexes of Leymus chinensis increased significantly compared to the control and organic treatments with mineral fertilizer application, particularly at the intermediate rate (RC2), for the years 2016 and 2017. These results indicate that some species were possibly more sensitive to mineral fertilizer application than Leymus chinensis in the grassland, which might include Potentilla tanacetifolia, Thalictrum petaloideum, and Saposhnikovia divaricate (Figure 3); however, relatively long-term and continuous research is likely required to substantiate which species are more sensitive to mineral fertilizers. The results were similar to previous studies conducted in the same steppe []. Our results also substantiated that a moderate rate of mineral fertilizer was an optimum choice for increasing the aboveground biomass of L. chinensis.
The importance value reflects the role of a species and its status in the community, and it may also indicate the dominant position of a species in the community [,]. It is known that Leymus chinensis is an absolute dominant species in the steppe of northern China. Our results indicate that the importance value of Leymus chinensis was higher in 2016 and 2017 than 2015 for the mineral treatments, but there were no significant differences for the organic treatments (Figure 2). Additionally, through the proportional biomass analysis of different species in the community (Figure 4), the results indicate that the mineral fertilizer could not only improve Leymus chinensis yields, but also enhance the role of the dominant species in the community; the structure of the community did not change significantly in the organic treatments, although they could improve aboveground biomass. However, this area was mowed grassland, and farmers needed to obtain forage grass to feed animals around this area. Therefore, people were eager to raise a productive amount of Leymus chinensis. As a consequence, the plant structure is prone to simplification and eventual instability of the community. This is a controversial issue concerning the Leymus chinensis steppe. Researchers should pay particular attention to this issue and take appropriate measures depending on the functions of this grassland.
The Margalef index reflects species abundance in the community. This index is how a large number of species and their extent of abundance in a community are determined [], and it is a method widely used to compare species diversity []. The Shannon–Wiener diversity index, Simpson’s dominance index and Pielou’s equitability index are also recognized as classic indicators of biodiversity. Over the past decade, ecological literature has observed that species diversity could increase yield stability []. Our results pointed to a tremendous difference in the Margalef index and other indexes for the different treatments over the three-year study period. Sustainable mineral fertilizers in the second and third year (2016 and 2017) showed a decline in richness index compared with the first year (2015). According to a previous study, this could be explained by nitrogen (N) supply, as N addition was found to reduce the compositional stability of grasslands []. In comparison, the richness index of sustainable organic fertilizer application in the second and third year were apparently higher than mineral fertilizers and even gained a maximum of 2.09 in the RO2 treatment (Figure 5a). Furthermore, organic fertilizer appeared to restrain the growth of L. chinensis, but enhance other plant species (Figure 4)—minor dominance of L. chinensis can greatly increase biodiversity in the plant population. These findings indicate that organic fertilizers contribute towards the richness of species in the sustainable development of grasslands.
In summary, for mowed grassland, mineral fertilizers may be a quick method for increasing Leymus chinensis aboveground biomass, but these fertilizers could also change grassland diversity and alter community structure, thereby destroying the ecological balance. Consequently, we do not suggest the use of mineral fertilizers on grasslands for a long periods of time. If a fertilizer is required, it would be better to use organic fertilizers to ensure sustainable development or the intermittent and interannual application of mineral fertilizers.
5. Conclusions
We hypothesized that the combined application of N and P fertilizers could enhance plant aboveground biomass and even increase community diversity, and that organic fertilizers substituted for mineral fertilizers could contribute to an increase in aboveground biomass and have a positive effect on plant community diversity. In fact, during the three-year study period, the results of this experiment showed that the combined application of sustainable N and P fertilizers over the course of three years could increase the total aboveground biomass and the aboveground biomass, density, coverage and height of L. chinensis. Furthermore, this treatment led to a decline in species richness. The moderate application rate of sustainable organic fertilizer over three years resulted in a rise of species richness, with no significant improvement in yields.
In summary, the grassland had the ability to recover by itself, even though this recovery was very slow. For the Inner Mongolia grassland, mineral fertilizers increase L. chinensis proportion of plant community and enhance the growth of the dominant species, but these fertilizers could also decrease grassland biodiversity, while organic fertilizer application could improve and maintain biodiversity of the grassland. So we should use mineral fertilizers or organic fertilizers in the grassland depending on the purpose of the grassland, which used to product the forage or graze, or ecological function.
Supplementary Materials
The following are available online at https://www.mdpi.com/2071-1050/11/10/2854/s1, Table S1. The effect of different treatments on L. chinensis species characteristics in 2015. Table S2. The effect of different treatments on L. chinensis species characteristics in 2016. Table S3. The effect of different treatments on L. chinensis species characteristics in 2017.
Author Contributions
Data curation, Z.T.; Formal analysis, G.Q.; Funding acquisition, X.L.; Methodology, F.H.; Project administration, L.W.; Resources, F.H.; Supervision, X.L.; Writing original draft, G.Q.; Writing review & editing, Z.T.
Funding
This work was supported by the National Key Research and Development Program of China (2016YFC0500608 and 2017YFD0502104), the Fundamental Research Funds for Central Not-profit Scientific Institution (2016ywf-yb-9) and the earmarked fund for China Agriculture Research System (CARS-34).
Acknowledgments
We would like to thank Wan Xiufu, Bi Shuyi, Li Yue, Li Zhenyi, Ma Jiaqiang and Miao Lihong for providing assistance in the acquisition of the field data.
Conflicts of Interest
The authors declare no conflict of interest.
References
- Qin, H.; Lu, K.P.; Strong, P.J.; Xu, Q.F.; Wu, Q.F.; Xu, Z.X.; Xu, J.; Wang, H.L. Long-term fertilizer application effects on the soil, root arbuscular mycorrhizal fungi and community composition in rotation agriculture. Appl. Soil Ecol. 2015, 89, 35–43. [Google Scholar] [CrossRef]
- Frossard, E.; Bünemann, E.; Jansa, J.; Oberson, A.; Feller, C. Concepts and practices of nutrient management in agro-ecosystems: Can we draw lessons from history to design future sustainable agricultural production systems? Bodenkultur 2009, 60, 43–60. [Google Scholar]
- Watson, C.A.; Atkinson, D.; Gosling, P.; Jackson, L.R.; Rayns, F.W. Managing soil fertility in organic farming systems. Soil Use Manag. 2002, 18, 239–247. [Google Scholar] [CrossRef]
- Vitousek, P.M.; Hattenschwiler, S.; Olander, L.; Allison, S. Nitrogen and nature. Ambio 2002, 31, 97–101. [Google Scholar] [CrossRef]
- Ma, W.; Li, J.; Ma, L.; Wang, F.; Sisak, I.; Cushman, G.; Zhang, F. Nitrogen flow and use efficiency in production and utilization of wheat, rice, and maize in China. Agric. Syst. 2008, 99, 53–63. [Google Scholar] [CrossRef]
- Robertson, G.P.; Vitousek, P.M. Nitrogen in Agriculture: Balancing the Cost of an Essential Resource. Annu. Rev. Environ. Resour. 2009, 34, 97–125. [Google Scholar] [CrossRef]
- Khan, N.A. Response of mustard to ethrel spray and basal and foliar application of nitrogen. J. Agron. Crop Sci. -Z. Fur Acker Und Pflanzenbau 1996, 176, 331–334. [Google Scholar] [CrossRef]
- Guo, J.H.; Liu, X.J.; Zhang, Y.; Shen, J.L.; Han, W.X.; Zhang, W.F.; Christie, P.; Goulding, K.W.T.; Vitousek, P.M.; Zhang, F.S. Significant Acidification in Major Chinese Croplands. Science 2010, 327, 1008–1010. [Google Scholar] [CrossRef] [PubMed]
- Liu, W.X.; Jiang, L.; Hu, S.J.; Li, L.H.; Liu, L.L.; Wan, S.Q. Decoupling of soil microbes and plants with increasing anthropogenic nitrogen inputs in a temperate steppe. Soil Biol. Biochem. 2014, 72, 116–122. [Google Scholar] [CrossRef]
- Liu, L.L.; Greaver, T.L. A global perspective on belowground carbon dynamics under nitrogen enrichment. Ecol. Lett. 2010, 13, 819–828. [Google Scholar] [CrossRef]
- Millett, J.; Foot, G.W.; Svensson, B.M. Nitrogen deposition and prey nitrogen uptake control the nutrition of the carnivorous plant Drosera rotundifolia. Sci. Total Environ. 2015, 512, 631–636. [Google Scholar] [CrossRef]
- Tylianakis, J.M.; Didham, R.K.; Bascompte, J.; Wardle, D.A. Global change and species interactions in terrestrial ecosystems. Ecol. Lett. 2008, 11, 1351–1363. [Google Scholar] [CrossRef]
- Payne, R.J.; Dise, N.B.; Stevens, C.J.; Gowing, D.J.; Partners, B. Impact of nitrogen deposition at the species level. Proc. Natl. Acad. Sci. USA 2013, 110, 984–987. [Google Scholar] [CrossRef]
- Stevens, C.J.; Dise, N.B.; Mountford, J.O.; Gowing, D.J. Impact of nitrogen deposition on the species richness of grasslands. Science 2004, 303, 1876–1879. [Google Scholar] [CrossRef]
- Xu, Z.; Wan, S.; Ren, H.; Han, X.; Li, M.-H.; Cheng, W.; Jiang, Y. Effects of Water and Nitrogen Addition on Species Turnover in Temperate Grasslands in Northern China. PLoS ONE 2012, 7, e39762. [Google Scholar] [CrossRef]
- Hartley, T.N.; Macdonald, A.J.; McGrath, S.P.; Zhao, F.-J. Historical arsenic contamination of soil due to long-term phosphate fertiliser applications. Environ. Pollut. 2013, 180, 259–264. [Google Scholar] [CrossRef]
- Selim, E.M.; El-Neklawy, A.S.; Soad, M.E.A. Beneficial effects of humic substances ferrtigation on soil fertility to potato grown on sandy soil. Aust. J. Basic Appl. Sci. 2009, 3, 4351–4358. [Google Scholar]
- Demirsoy, L.; Demirsoy, H.; Balci, G. Different growing conditions affect nutritient content, fruit yield and growth in strawberry. Pak. J. Bot. 2012, 44, 125–129. [Google Scholar]
- Mehrunisa, M.; Jamro, G.M.; Noor-un-Nisa, M.; Memon, K.S.; Akhtar, M.S. Micronutrient availability assessment of tomato grown in Taluka Badin, Sindh. Pak. J. Bot. 2012, 44, 649–654. [Google Scholar]
- Tejada, M.; Gonzalez, J.L.; Garcia-Martinez, A.M.; Parrado, J. Application of a green manure and green manure composted with beet vinasse on soil restoration: Effects on soil properties. Bioresour. Technol. 2008, 99, 4949–4957. [Google Scholar] [CrossRef]
- Tejada, M.; Gonzalez, J.L. Influence of two organic amendments on the soil physical properties, soil losses, sediments and runoff water quality. Geoderma 2008, 145, 325–334. [Google Scholar] [CrossRef]
- Guo, L.; Wu, G.; Li, Y.; Li, C.; Liu, W.; Meng, J.; Liu, H.; Yu, X.; Jiang, G. Effects of cattle manure compost combined with mineral fertilizer on topsoil organic matter, bulk density and earthworm activity in a wheat-maize rotation system in Eastern China. Soil Tillage Res. 2016, 156, 140–147. [Google Scholar] [CrossRef]
- Gong, W.; Yan, X.Y.; Wang, J.Y. The effect of mineral fertilizer application on carbon input and export in soil-A pot experiment with wheat using natural C-13 abundance method. Geoderma 2012, 189, 170–175. [Google Scholar] [CrossRef]
- Yang, Z.C.; Zhao, N.; Huang, F.; Lv, Y. Long-term effects of different organic and inorganic fertilizer treatments on soil organic carbon sequestration and crop yields on the North China Plain. Soil Tillage Res. 2015, 146, 47–52. [Google Scholar] [CrossRef]
- Kramberger, B.; Podvrsnik, M.; Gselman, A.; Sustar, V.; Kristl, J.; Mursec, M.; Lesnik, M.; Skorjanc, D. The effects of cutting frequencies at equal fertiliser rates on bio-diverse permanent grassland: Soil organic C and apparent N budget. Agric. Ecosyst. Environ. 2015, 212, 13–20. [Google Scholar] [CrossRef]
- Hopkins, A.; Holz, B. Grassland for agriculture and nature conservation: Production, quality and multi-functionality. Agron. Res. 2006, 4, 3–20. [Google Scholar]
- Kampmann, D.; Herzog, F.; Jeanneret, P.; Konold, W.; Peter, M.; Walter, T.; Wildi, O.; Luescher, A. Mountain grassland biodiversity: Impact of site conditions versus management type. J. Nat. Conserv. 2008, 16, 12–25. [Google Scholar] [CrossRef]
- Li, B. The rangeland degradation in North China and its preventive strategy. Sci. Agric. Sin. 1997, 30, 1–9. [Google Scholar]
- YaJing, B.A.O.; ZhengHai, L.I.; XingGuo, H.A.N.; GuoDong, H.A.N.; YanKai, Z. The caloric content of plant species and its role in a Leymus chinensis steppe community of Inner Mongolia, China. Acta Ecol. Sin. 2007, 27, 4443–4451. [Google Scholar] [CrossRef]
- Wang, Z.W.; Li, L.H.; Han, X.G.; Ming, D. Do rhizome severing and shoot defoliation affect clonal growth of Leymus chinensis at ramet population level? Acta Oecologica-Int. J. Ecol. 2004, 26, 255–260. [Google Scholar] [CrossRef]
- Wu, E.; Li, C.; Zhang, Y.; Wang, C.; Yun, J. Effect of grassland degradation on arbuscular mycorrhizal symbiosis of Leymus chinensis (Trin.) Tzvel. in typical steppe. Acta Agrestia Sin. 2009, 17, 731–734. [Google Scholar]
- Zhang, H. Analysis on causal factors for degradation and desertification of Hulunbeier grassland. Pratacultural Sci. 2007, 24, 9–13. [Google Scholar]
- Magurran, A.E. Measuring richness and evenness. Trends Ecol. Evol. 1998, 13, 165–166. [Google Scholar] [CrossRef]
- Whittaker, R.J.; Willis, K.J.; Field, R. Scale and species richness: Towards a general, hierarchical theory of species diversity. J. Biogeogr. 2001, 28, 453–470. [Google Scholar] [CrossRef]
- Hao, F.; Chen, Y.; Gao, J.; Lu, G.; Tian, M. Identification of hyperspectra characteristic bands of grassland degradation indicator plant species in Bashang Region of Hebei Province. J. Ecol. Rural Environ. 2016, 32, 1024–1029. [Google Scholar]
- Zhao, C.; Zheng, D. Inner Mongolia Artemisia frigida degraded rangeland and restoration strategies. Acta Prataculturae Sin. 2004, 13, 9–14. [Google Scholar]
- Dong, X.; Hao, M.; Guo, S.; Shi, X.; Ma, T.; Liu, P.; Liu, G. Fertilization effects on hay yield and quality of Leymus chinensis. Pratacultural Sci. 2014, 31, 1935–1942. [Google Scholar]
- Ji, Y. Primary study on fertilizer application to alpine rangeland in Qinghai, China. Pratacultural Sci. 2002, 19, 14–18. [Google Scholar]
- Wen-Ye, C.; Deng-Chen, Q.I.; Guang-Yu, L.I.; Qiang, W.E.I.; Fang, W.; Fei-Da, S.U.N.; Zhen-Heng, L.I.U.; Li, Z.H.U. Study on Degraded Grassland Niche Characteristics and Productivity of Alpine Meadow at Maqu in South of Gansu Province. J. Nat. Resour. 2010, 25, 80–90. [Google Scholar]
- Vance-Chalcraft, H.D.; Willig, M.R.; Cox, S.B.; Lugo, A.E.; Scatena, F.N. Relationship Between Aboveground Biomass and Multiple Measures of Biodiversity in Subtropical Forest of Puerto Rico. Biotropica 2010, 42, 290–299. [Google Scholar] [CrossRef]
- Poole, C.F.; Morgan, E.D. Anomalies in the gas-liquid chromatography of cholesterol heptafluorobutyrate. J. Chromatogr. 1974, 90, 380–381. [Google Scholar] [CrossRef]
- Finger, R.; Buchmann, N. An ecological economic assessment of risk-reducing effects of species diversity in managed grasslands. Ecol. Econ. 2015, 110, 89–97. [Google Scholar] [CrossRef]
© 2019 by the authors. Licensee MDPI, Basel, Switzerland. This article is an open access article distributed under the terms and conditions of the Creative Commons Attribution (CC BY) license (http://creativecommons.org/licenses/by/4.0/).