A New Adjustment Strategy to Relieve Inhibition during Anaerobic Codigestion of Food Waste and Cow Manure
Abstract
1. Introduction
2. Materials and Methods
2.1. Feedstock and Inoculum
2.2. Anaerobic Digestion (AD) Experiments
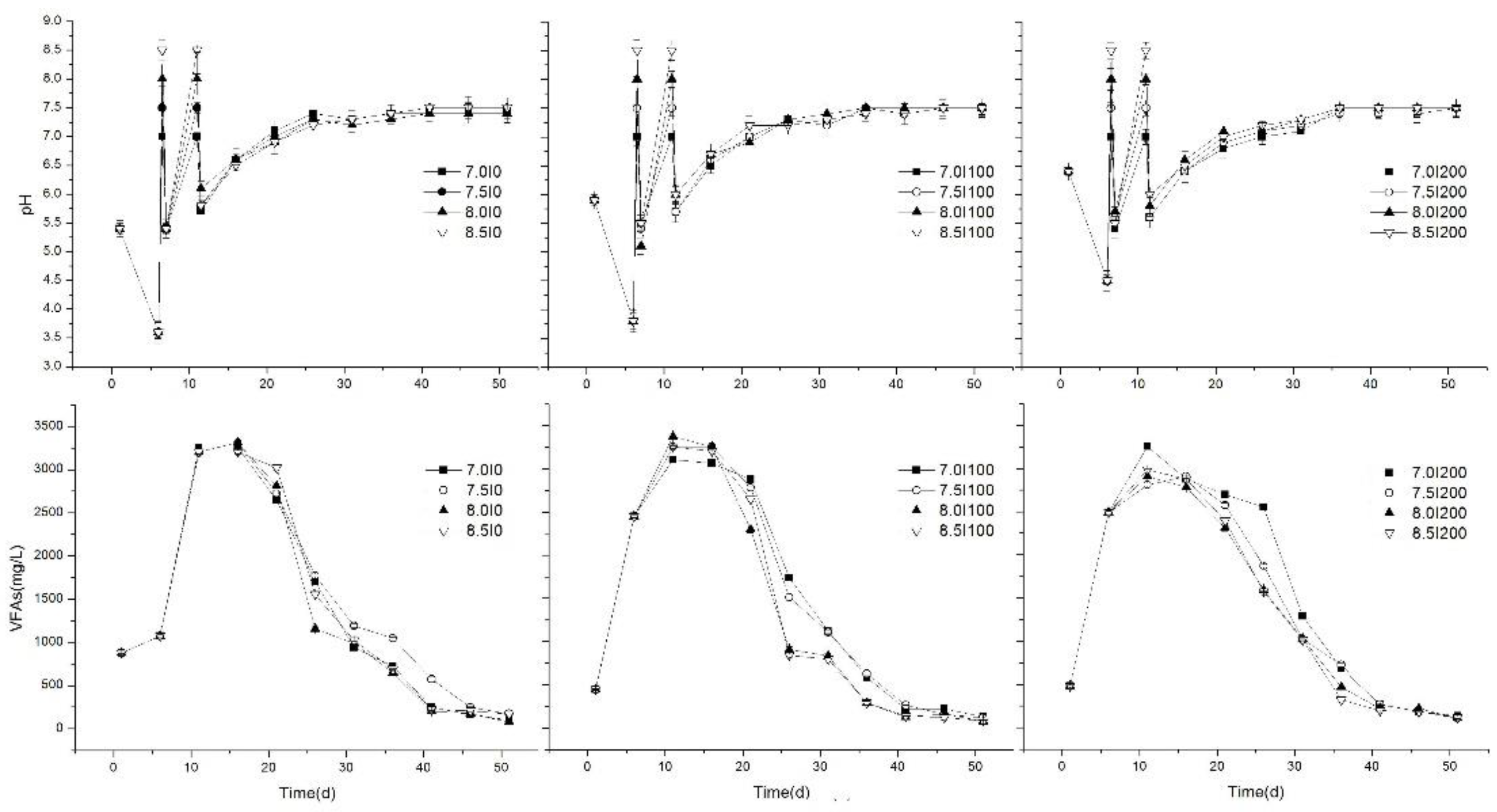
- Group A: in the initial stage, no inoculum was added. In the second stage, 200 mL inoculum was supplied. In the third stage, no inoculum was added.
- Group B: in the initial stage, 100 mL inoculum was added. In the second stage, 100 mL inoculum was supplied. In the third stage, no inoculum was added.
- Group C: in the initial stage, 200 mL inoculum was added. In the second stage and the third stage, no inoculum was supplied. Detailed information on the experimental design is shown in Table 3.
2.3. Kinetic Model
2.4. Analytical Methods
2.5. Statistical Analyses
3. Results and Discussion
3.1. Biogas Production and Methane Content
3.1.1. Effect of Initial Inoculum Addition on Biogas and Methane Production
3.1.2. Effects of Inoculum Supplement and pH Adjustment on Biogas/Methane Production
3.1.3. Effect of Supernatant Liquid Replacement on Biogas/Methane Production
3.2. Variations of pH and Volatile Fatty Acids (VFAs)
3.2.1. Effect of Initial Inoculum Addition on pH and VFAs
3.2.2. Effects of Inoculum Supply and pH Adjustment on pH and VFAs
3.2.3. Effect of Supernatant Liquid Replacement on pH and VFAs
3.3. Removal Rate of Volatile Solid (VS) and Soluble Chemical Oxygen Demand (COD)
3.4. Total Biogas and Methane Production
3.5. Lag Phase and Digestion Period
4. Conclusions
Author Contributions
Funding
Acknowledgments
Conflicts of Interest
References
- Mehariya, S.; Patel, A.K.; Obulisamy, P.K.; Punniyakotti, E.; Wong, J.W.C. Co-digestion of food waste and sewage sludge for methane production: Current status and perspective. Bioresour. Technol. 2018, 265, 519–531. [Google Scholar] [CrossRef] [PubMed]
- Ren, Y.; Yu, M.; Wu, C.; Wang, Q.; Gao, M.; Huang, Q.; Liu, Y. A comprehensive review on food waste anaerobic digestion: Research updates and tendencies. Bioresour. Technol. 2018, 247, 1069–1076. [Google Scholar] [CrossRef] [PubMed]
- Arelli, V.; Begum, S.; Anupoju, G.R.; Kuruti, K.; Shailaja, S. Dry anaerobic co-digestion of food waste and cattle manure: Impact of total solids, substrate ratio and thermal pre treatment on methane yield and quality of biomanure. Bioresour. Technol. 2018, 253, 273–280. [Google Scholar] [CrossRef] [PubMed]
- Zhang, C.; Su, H.; Baeyens, J.; Tan, T. Reviewing the anaerobic digestion of food waste for biogas production. Renew. Sustain. Energy Rev. 2014, 38, 383–392. [Google Scholar] [CrossRef]
- Li, Y.; Zhang, R.; Liu, X.; Chen, C.; Xiao, X.; Feng, L.; He, Y.; Liu, G. Evaluating Methane Production from Anaerobic Mono- and Codigestion of Kitchen Waste, Corn Stover, and Chicken Manure. Energy Fuels 2013, 27, 2085–2091. [Google Scholar] [CrossRef]
- Cassendra, P.; Li, Y.; Chew, T.; Ji, J.; Chin, S.; Wai, S. The characterisation and treatment of food waste for improvement of biogas production during anaerobic digestion—A review. J. Clean. Prod. 2018, 172, 1545–1558. [Google Scholar]
- Mézes, L.; Bai, A.; Nagy, D.; Cinka, I.; Gabnai, Z. Optimization of Raw Material Composition in an Agricultural Biogas Plant. Trends Renew. Energy 2017, 3, 61–75. [Google Scholar] [CrossRef]
- Zhai, N.; Zhang, T.; Yin, D.; Yang, G.; Wang, X.; Ren, G.; Feng, Y. Effect of initial pH on anaerobic co-digestion of kitchen waste and cow manure. Waste Manag. 2015, 38, 126–131. [Google Scholar] [CrossRef]
- Ye, J.; Li, D.; Sun, Y.; Wang, G.; Yuan, Z.; Zhen, F.; Wang, Y. Improved biogas production from rice straw by co-digestion with kitchen waste and pig manure. Waste Manag. 2013, 33, 2653–2658. [Google Scholar] [CrossRef] [PubMed]
- Zhang, L.; Lee, Y.-W.; Jahng, D. Anaerobic co-digestion of food waste and piggery wastewater: Focusing on the role of trace elements. Bioresour. Technol. 2011, 102, 5048–5059. [Google Scholar] [CrossRef]
- Zhao, M.-X.; Ruan, W.-Q. Biogas performance from co-digestion of Taihu algae and kitchen wastes. Energy Convers. Manag. 2013, 75, 21–24. [Google Scholar] [CrossRef]
- Kim, J.K.; Oh, B.R.; Chun, Y.N.; Kim, S.W. Effects of temperature and hydraulic retention time on anaerobic digestion of food waste. J. Biosci. Bioeng. 2006, 102, 328–332. [Google Scholar] [CrossRef]
- Li, Y.; Jin, Y.; Li, H.; Borrion, A.; Yu, Z.; Li, J. Kinetic studies on organic degradation and its impacts on improving methane production during anaerobic digestion of food waste. Appl. Energy 2018, 213, 136–147. [Google Scholar] [CrossRef]
- Hagos, K.; Zong, J.; Li, D.; Liu, C.; Lu, X. Anaerobic co-digestion process for biogas production: Progress, challenges and perspectives. Renew. Sustain. Energy Rev. 2017, 76, 1485–1496. [Google Scholar] [CrossRef]
- Obulisamy, P.K.; Chakraborty, D.; Selvam, A.; Wong, J.W.C. Anaerobic co-digestion of food waste and chemically enhanced primary-treated sludge under mesophilic and thermophilic conditions. Environ. Technol. 2016, 37, 3200–3207. [Google Scholar] [CrossRef] [PubMed]
- Siddique, M.N.I.; Wahid, Z.A. Achievements and perspectives of anaerobic co-digestion: A review. J. Clean. Prod. 2018, 194, 359–371. [Google Scholar] [CrossRef]
- Lu, X.; Jin, W.; Xue, S.; Wang, X. Effects of waste sources on performance of anaerobic co-digestion of complex organic wastes: Taking food waste as an example. Sci. Rep. 2017, 7, 15702. [Google Scholar] [CrossRef]
- Kusch, S.; Schumacher, B.; Oechsner, H.; Schafer, W. Methane yield of oat husks. Biomass Bioenergy 2011, 35, 2627–2633. [Google Scholar] [CrossRef]
- Mao, C.; Wang, X.; Xi, J.; Feng, Y.; Ren, G. Linkage of kinetic parameters with process parameters and operational conditions during anaerobic digestion. Energy 2017, 135, 352–360. [Google Scholar] [CrossRef]
- Liao, X.; Zhu, S.; Zhong, D.; Zhu, J.; Liao, L. Anaerobic co-digestion of food waste and landfill leachate in single-phase batch reactors. Waste Manag. 2014, 34, 2278–2284. [Google Scholar] [CrossRef] [PubMed]
- Wang, X.; Lu, X.; Li, F.; Yang, G. Effects of temperature and carbon-nitrogen (C/N) ratio on the performance of anaerobic co-digestion of dairy manure, chicken manure and rice straw: Focusing on ammonia inhibition. PLoS ONE 2014, 9, e97265. [Google Scholar] [CrossRef]
- Zhang, T.; Mao, C.; Zhai, N.; Wang, X.; Yang, G. Influence of initial pH on thermophilic anaerobic co-digestion of swine manure and maize stalk. Waste Manag. 2015, 35, 119–126. [Google Scholar] [CrossRef]
- Li, Y.; Jin, Y.; Borrion, A.; Li, J. Influence of feed/inoculum ratios and waste cooking oil content on the mesophilic anaerobic digestion of food waste. Waste Manag. 2018, 73, 156–164. [Google Scholar] [CrossRef]
- Yin, D.; Liu, W.; Zhai, N.; Wang, Y.; Ren, C.; Yang, G. Regional differentiation of rural household biogas development and related driving factors in China. Renew. Sustain. Energy Rev. 2017, 67, 1008–1018. [Google Scholar] [CrossRef]
- Zhou, J.; Zhang, R.; Liu, F.; Yong, X.; Wu, X.; Zheng, T.; Jiang, M.; Jia, H. Biogas production and microbial community shift through neutral pH control during the anaerobic digestion of pig manure. Bioresour. Technol 2016, 217, 44–49. [Google Scholar] [CrossRef]
- Zhang, R.; El-Mashad, H.M.; Hartman, K.; Wang, F.; Liu, G.; Choate, C.; Gamble, P. Characterization of food waste as feedstock for anaerobic digestion. Bioresour. Technol. 2007, 98, 929–935. [Google Scholar] [CrossRef] [PubMed]
- Li, L.; Peng, X.; Wang, X.; Wu, D. Anaerobic digestion of food waste: A review focusing on process stability. Bioresour. Technol. 2018, 248 Pt A, 20–28. [Google Scholar] [CrossRef]
- Capson-Tojo, G.; Moscoviz, R.; Ruiz, D.; Santa-Catalina, G.; Trably, E.; Rouez, M.; Crest, M.; Steyer, J.P.; Bernet, N.; Delgenes, J.P.; et al. Addition of granular activated carbon and trace elements to favor volatile fatty acid consumption during anaerobic digestion of food waste. Bioresour. Technol. 2018, 260, 157–168. [Google Scholar] [CrossRef]
- Yang, Y.Q.; Shen, D.S.; Li, N.; Xu, D.; Long, Y.Y.; Lu, X.Y. Co-digestion of kitchen waste and fruit-vegetable waste by two-phase anaerobic digestion. Environ. Sci. Pollut. Res. Int. 2013, 20, 2162–2171. [Google Scholar] [CrossRef] [PubMed]
- González-Fernández, C.; García-Encina, P.A. Impact of substrate to inoculum ratio in anaerobic digestion of swine slurry. Biomass Bioenergy 2009, 33, 1065–1069. [Google Scholar] [CrossRef]
- Lee, D.H.; Behera, S.K.; Kim, J.W.; Park, H.S. Methane production potential of leachate generated from Korean food waste recycling facilities: A lab-scale study. Waste Manag. 2009, 29, 876–882. [Google Scholar] [CrossRef]
- Zhong, W.; Zhang, Z.; Luo, Y.; Qiao, W.; Xiao, M.; Zhang, M. Biogas productivity by co-digesting Taihu blue algae with corn straw as an external carbon source. Bioresour. Technol. 2012, 114, 281–286. [Google Scholar] [CrossRef] [PubMed]
- Yuan, X.; Shi, X.; Zhang, D.; Qiu, Y.; Guo, R.; Wang, L. Biogas production and microcystin biodegradation in anaerobic digestion of blue algae. Energy Environ. Sci. 2011, 4, 1511. [Google Scholar] [CrossRef]
- Misi, S.N.; Forster, C.F. Batch Co-Digestion of Two-Component Mixtures of Agro-Wastes. Process Saf. Environ. Prot. 2001, 79, 365–371. [Google Scholar] [CrossRef]
- Wang, Y.; Zang, B.; Li, G.; Liu, Y. Evaluation the anaerobic hydrolysis acidification stage of kitchen waste by pH regulation. Waste Manag. 2016, 53, 62–67. [Google Scholar] [CrossRef]
- Elreedy, A.; Fujii, M.; Tawfik, A. Factors affecting on hythane bio-generation via anaerobic digestion of mono-ethylene glycol contaminated wastewater: Inoculum-to-substrate ratio, nitrogen-to-phosphorus ratio and pH. Bioresour. Technol. 2017, 223, 10–19. [Google Scholar] [CrossRef] [PubMed]
- Montañés, R.; Pérez, M.; Solera, R. Anaerobic mesophilic co-digestion of sewage sludge and sugar beet pulp lixiviation in batch reactors: Effect of pH control. Chem. Eng. J. 2014, 255, 492–499. [Google Scholar] [CrossRef]




| Substrate | Operational Conditions | Biogas/Methane Yield |
|---|---|---|
| FW+CM a | One stage model, dry AD, total solid (TS), substrate ratio, 55 °C pretreatment | Methane yield of 0.43 m3 CH4/kg volatile solid (VS) reduced (TS 30%+pretreatment) [3] |
| FW | One stage model, monodigestion under 37 °C | Specific methane yield of 683 mL g−1VSadded [5] |
| FW+PM b+RS c | Two stage model, codigestion with a mixture ratio 0.4:1.6:1, 37 °C | Biogas yield of 674.4 L/kg VS [10] |
| FW | Three stage model, monodigestion, HRT d of 12 days, thermophilic (55 °C) | Methane yield of 223 LCH4/kg sCODdegraded [10] |
| FW+CM | One stage model, initial pH 7.5, 35 °C | Methane yield of 8579 mL [9] |
| FW+PM | Semicontinuous model, codigestion, 37 °C | Methane yield of 0.396 m3/kg VSadded [11] |
| FW+TA e | One stage model, codigestion, C:N 15:1, 55 °C | Biogas yield of 388.6 mL/g TS [12] |
| FW | One stage model, monodigestion, feed to inoculum ratio of 1:2, 37 °C | Methane yield of 627 mL/g VS [13] |
| TS (%) a | VS (%) a | pH | C (%) b | N (%) b | C:N | |
|---|---|---|---|---|---|---|
| FW | 29.55 ± 2.77 | 94.48 ± 0.08 | 5.3± 0.05 | 44.41 ± 3.12 | 1.43 ± 0.16 | 31.10 ± 1.35 |
| CM | 22.16 ± 1.50 | 54.08 ± 3.46 | 7.3 ± 0.02 | 36.25 ± 2.98 | 1.58 ± 0.23 | 22.96 ± 0.66 |
| Inoculum | 5.29 ± 0.45 | 46.73 ± 1.03 | 7.8 ± 0.11 | 23.38 ± 0.54 | 1.68 ± 0.09 | 13.92 ± 0.22 |
| Stages | Operational Conditions | Group A | Group B | Group C | Temperature (°C) |
|---|---|---|---|---|---|
| The initial stage (on days 1–5) | FW | 108.3 g | 108.3 g | 108.3 g | 45 °C |
| CM | 108.3 g | 108.3 g | 108.3 g | ||
| Water | 283.4 mL | 283.4 mL | 283.4 mL | ||
| Initial Inoculum | 0 mL | 100 mL | 200 mL | ||
| The second stage (on days 6–10) | Inoculum supplied | 200 mL | 100 mL | 0 mL | 35 °C |
| pH adjustment | 7.0, 7.5, 8.0, 8.5 | ||||
| The third stage (on days 11–50) | Supernatant liquid replacement | 200 mL fresh inoculum replaced 200 mL supernatant liquid if no biogas was produced | |||
| VS Degradation Rate (%) | |||
| Group A | Group B | Group C | |
| pH 7.0 | 38.49 ± 0.53 (AB) | 41.98 ± 1.6 6 (B) | 36.82 ± 1.24 (B) |
| pH 7.5 | 36.65 ± 0.08 (B) | 42.58 ± 2.02 (B) | 40.67 ± 2.29 (AB) |
| pH 8.0 | 41.20 ± 1.81 (A) | 45.12 ± 0.24 (AB) | 42.25 ± 0.83 (A) |
| pH 8.5 | 38.12 ± 1.43 (AB) | 49.61 ± 2.11 (A) | 43.84 ± 1.26 (A) |
| Soluble COD Degradation Rate (%) | |||
| Group A | Group B | Group C | |
| pH 7.0 | 88.58 ± 0.55 (B) | 93.59 ± 0.67 (A) | 97.18 ± 0.29 (A) |
| pH 7.5 | 87.34 ± 0.69 (B) | 94.16 ± 0.58 (A) | 95.43 ± 0.58 (AB) |
| pH 8.0 | 99.13 ± 0.15 (A) | 91.35 ± 0.92 (A) | 98.12 ± 0.73 (A) |
| pH 8.5 | 95.09 ± 0.64 (A) | 75.25 ± 0.79 (B) | 93.91 ± 0.66 (B) |
© 2019 by the authors. Licensee MDPI, Basel, Switzerland. This article is an open access article distributed under the terms and conditions of the Creative Commons Attribution (CC BY) license (http://creativecommons.org/licenses/by/4.0/).
Share and Cite
Ren, G.; Mao, C.; Zhai, N.; Wang, B.; Liu, Z.; Wang, X.; Yang, G. A New Adjustment Strategy to Relieve Inhibition during Anaerobic Codigestion of Food Waste and Cow Manure. Sustainability 2019, 11, 2819. https://doi.org/10.3390/su11102819
Ren G, Mao C, Zhai N, Wang B, Liu Z, Wang X, Yang G. A New Adjustment Strategy to Relieve Inhibition during Anaerobic Codigestion of Food Waste and Cow Manure. Sustainability. 2019; 11(10):2819. https://doi.org/10.3390/su11102819
Chicago/Turabian StyleRen, Guangxin, Chunlan Mao, Ningning Zhai, Boran Wang, Zhichao Liu, Xiaojiao Wang, and Gaihe Yang. 2019. "A New Adjustment Strategy to Relieve Inhibition during Anaerobic Codigestion of Food Waste and Cow Manure" Sustainability 11, no. 10: 2819. https://doi.org/10.3390/su11102819
APA StyleRen, G., Mao, C., Zhai, N., Wang, B., Liu, Z., Wang, X., & Yang, G. (2019). A New Adjustment Strategy to Relieve Inhibition during Anaerobic Codigestion of Food Waste and Cow Manure. Sustainability, 11(10), 2819. https://doi.org/10.3390/su11102819

