Banding of Fertilizer Improves Phosphorus Acquisition and Yield of Zero Tillage Maize by Concentrating Phosphorus in Surface Soil
Abstract
1. Introduction
- The effects of P placement and tillage methods on the stratification of available and total P over a 3-year period;
- The P placement methods that optimize P uptake and yield by maize with zero tillage; and
- The effects of tillage practices on RMD, SOM, total N, and soil physical properties.
2. Materials and Methods
2.1. Climate
2.2. Description of Experimental Site
2.3. Properties of the Initial Soil
2.4. Treatments and Design
2.5. Crop and Cropping Season
2.6. Crop Harvesting and Data Collection
2.7. Collection of Soil Samples and Determination of Different Soil Properties
2.8. Determination of N and P in Maize Shoot and Calculation of Uptake
2.9. Land Preparation, Seed Sowing/Transplanting, Fertilizer Application and Intercultural Operations
2.10. Roots Analyses
2.11. P Budgeting
2.12. Statistical Analysis
3. Results
3.1. Effect of Tillage Practices and P Placement Methods on Soil Physical Properties
Effects on Soil Bulk Density (BD), Plant Available Water Content (PAWC), and Porosity
3.2. Root Mass Density of Maize
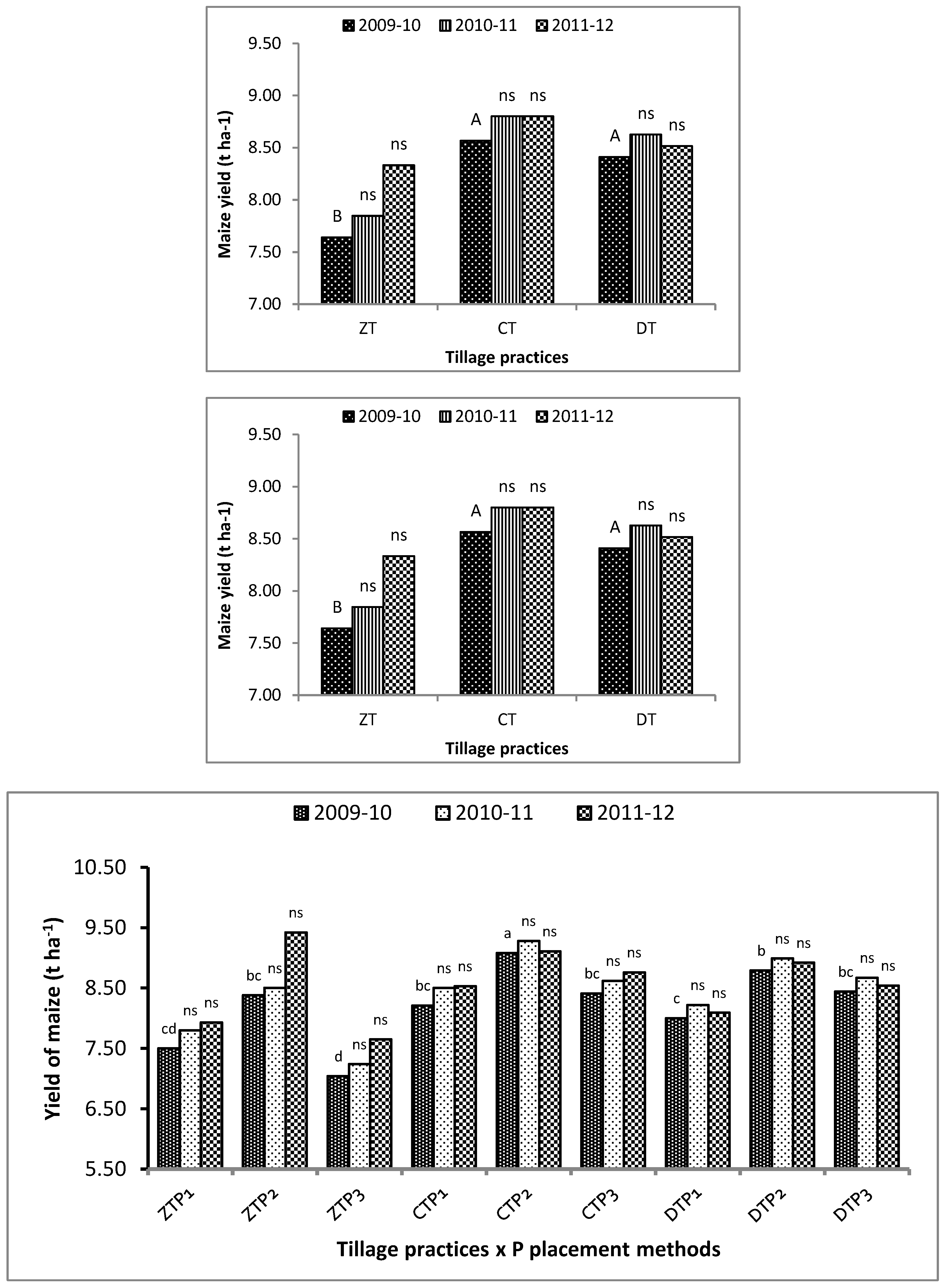
3.3. Maize Yield
3.4. Available and Total Phosphorus in Soil
3.5. Organic C (OC) and Total N Status in Soil
3.6. Maize above Ground Biomass and N and P Uptake by Maize above Ground Biomass
3.7. Apparent P Budget
4. Discussion
5. Conclusions
Supplementary Materials
Author Contributions
Funding
Acknowledgments
Conflicts of Interest
Abbreviations
| AEZ | agro-ecological zone | 
| ANOVA | Analysis of Variance | 
| BARC | Bangladesh Agricultural Research Council | 
| BARI | Bangladesh Agricultural Research Institute | 
| DAE | Days after emergence | 
| DAS | Days after sowing | 
| EC | Emulsifiable concentrate | 
| ICARDA | International Center for Agricultural Research in the Dry Areas | 
| NT | No-tillage | 
| PAWC | Plant available water content | 
| RH | Relative Humidity | 
| RT | Reduced tillage | 
| USDA | United States Department of Agriculture | 
References
- Laxmi, V.; Erenstein, O.; Gupta, R.K. Impact of Zero Tillage in India’s Rice-Wheat Systems; CIMMYT: Mexico City, Mexico, 2007. [Google Scholar]
- Gathala, M.K.; Timsina, J.; Islam, S.; Rahman, M.; Hossain, I.; Harun-ar-Rashid, G.A.K.; Krupnik, T.J.; Tiwari, T.P.; McDonald, A. Conservation agriculture based tillage and crop establishment options can maintain farmers’ yields and increase profits in South Asia’s rice–maize systems: evidence from Bangladesh. Field Crop. Res. 2015, 172, 85–98. [Google Scholar] [CrossRef]
- Zugec, I. The effect of reduced soil tillage on maize (Zea mays L.) grain yield in Eastern Croatia (Yugoslavia). Soil Tillage Res. 2003, 7, 19–28. [Google Scholar] [CrossRef]
- West, T.D.; Griffith, D.R.; Steinhardt, G.C.; Kladivko, E.J.; Parsons, S.D. Effect of tillage and rotation on agronomic performance of corn and soybean: twenty years study on dark silty clay loam soil. J. Prod. Agric. 1996, 9, 241–248. [Google Scholar] [CrossRef]
- Canarache, A.; Dumitru, E. No–till and minimum tillage in Romania. In No–Till Farming Systems; Goddard, T., Zoebisch, M., Gan, Y., Ellis, W., Watson, A., Sombatpanit, S., Eds.; World Association of Soil and Water Conservation (WASWC): Bangkok, Thailand, 2008; pp. 331–345. [Google Scholar]
- Jat, M.L.; Gathala, M.K.; Ladha, J.K.; Saharawat, Y.S.; Jat, A.S.; Vipin Kumar Sharma, S.K.; Kumar, V.; Gupta, R.K. Evaluation of precision land leveling and double zero-till systems in the rice–wheat rotation: water use, productivity, profitability and soil physical properties. Soil Tillage Res. 2009, 105, 112–121. [Google Scholar] [CrossRef]
- Saharawat, Y.S.; Singh, B.; Malik, R.K.; Ladha, J.K.; Gathala, M.; Jat, M.L.; Kumar, V. Evaluation of alternative tillage and crop establishment methods in a rice–wheat rotation in North Western IGP. Field Crops Res. 2010, 116, 260–267. [Google Scholar] [CrossRef]
- Jat, M.L.; Gathala, M.K.; Saharawat, Y.S.; Terawal, J.P.; Gupta, R.; Singh, Y. Double no-till and permanent raised beds in maize-wheat rotation of north-western Indo-Gangetic plains of India: Effects on crop yields, water productivity, profitability and soil physical properties. Field Crops Res. 2013, 149, 291–299. [Google Scholar] [CrossRef]
- Saharawat, Y.S.; Ladha, J.K.; Pathak, H.; Gathala, M.; Chaudhary, N.; Jat, M.L. Simulation of resource-conserving technologies on productivity, income and greenhouse gas (GHG) emission in rice–wheat system. J. Soil Sci. Environ. Manag. 2012, 3, 9–22. [Google Scholar]
- Ladha, J.K.; Yadvinder-Singh; Erenstein, O.; Hardy, B. (Eds.) Integrated Crop and Resource Management in the Rice–Wheat Systems of South Asia; International Rice Research Institute: Los Banos, Philippines, 2009; p. 395. [Google Scholar]
- Hussain, I.; Olson, K.R.; Ebelhar, S.A. Impacts of tillage and no–till on production of maize and soybean on an eroded Illinois silt loam soil. Soil Tillage Res. 1999, 52, 37–49. [Google Scholar] [CrossRef]
- Ahmed, R. Structure, dynamics and related policy issues of fertilizer subsidy in Bangladesh. Amader Shomoy, 17 November 2007; 3. [Google Scholar]
- Schröder, J.J.; Smit, A.L.; Cordell, D.; Rosemarin, A. Improved phosphorus use efficiency in agriculture: A key requirement for its sustainable use. Chemosphere 2011, 84, 822–831. [Google Scholar]
- Mallikarjuna, G.; Sudhir, K.; Srikanth, K.; Srinivasamurthy, C.A. Phosphorus fixation capacity and its relationship with the soil characteristics in laterite soils of Karnataka. J. Indian Soc. Soil Sci. 2003, 51, 23–25. [Google Scholar]
- Ma, W.; Ma, L.; Li, J.; Wang, F.; Sisák, I.; Zhang, F. Phosphorus flows and use efficiencies in production and consumption of wheat, rice, and maize in China. Chemosphere 2011, 84, 814–821. [Google Scholar] [CrossRef] [PubMed]
- Aldrich, S.R.; Walter, O.S.; Robert, G.H. Modern Corn Production, 3rd ed.; A & L Publications, Inc.: Champaign, IL, USA, 1986. [Google Scholar]
- Römer, W.; Schilling, G. Phosphorus requirements of the wheat plant in various stages of its life cycle. Plant Soil 1986, 91, 221–277. [Google Scholar] [CrossRef]
- Alley, M.M.; Martz, M.E.; Davis, P.H.; Hammons, J.L. Nitrogen and Phosphorus Fertilization of Corn; Virginia Cooperative Extension Publication; College of Agriculture and Life Sciences, Virginia Polytechnic Institute and State University: Blacksburg, VA, USA, 2009; pp. 1–5. [Google Scholar]
- Ali, M.Y.; Waddington, S.R.; Timsina, J.; Hodson, D.; Dixon, J. Maize–rice cropping systems in Bangladesh: Status and research needs. J. Agric. Sci. Technol. 2009, 3, 35–53. [Google Scholar]
- Barbieri, P.A.; Sainz Rozas, H.R.; Covacevich, F.; Echeverría, H.E. Phosphorus placement effects on phosphorous recovery efficiency and grain yield of wheat under no-tillage in the humid pampas of Argentina. Int. J. Agron. 2014, 12. [Google Scholar] [CrossRef]
- Nkebiwe, P.M.; Weinmann, M.; Bar-Tal, A.; Muller, T. Fertilizer placement to improve crop nutrient acquisition and yield: A review and meta-analysis. Field Crops Res. 2016, 196, 389–401. [Google Scholar] [CrossRef]
- Rosa, A.T.; Ruiz Diaz, D.A. Fertilizer placement and tillage interaction in corn and soybean production. Kans. Agric. Exp. Stn. Res. Rep. 2015, 13. [Google Scholar] [CrossRef]
- Heenan, D.P.; Chan, K.Y.; Knight, P.G. Long-term impact of rotation, tillage and stubble management on the loss of soil organic carbon and nitrogen from a Chromic Luvisol. Soil Tillage Res. 2004, 76, 59–68. [Google Scholar] [CrossRef]
- Bunemann, E.K.; Heenan, D.P.; Marschner, P.; McNeill, A.M. Long-term effects of crop rotation, stubble management and tillage on soil phosphorus dynamics. Aust. J. Soil Res. 2006, 44, 611–618. [Google Scholar] [CrossRef]
- Chivenge, P.P.; Murwira, H.H.; Giller, K.E.; Mapfumo, P.; Six, J. Long-term impact of reduced tillage and residue management on soil carbon stabilization: implications for conservation agriculture on contrasting soils. Soil Tillage Res. 2007, 94, 328–337. [Google Scholar] [CrossRef]
- Grove, J.H.; Ward, R.C.; Weil, R.R. Nutrient stratification in no-till soils. Leading Edge 2007, 6, 374–381. [Google Scholar]
- Selles, F.; Kochhann, R.A.; Denardin, J.E.; Zentner, R.P.; Faganello, A. Distribution of phosphorus fractions in a Brazilian Oxisol under different tillage systems. Soil Tillage Res. 1997, 44, 23–34. [Google Scholar] [CrossRef]
- Muukkonen, P.; Hartikainen, H.; Lahti, K.; Sarkela, A.; Puustinen, M.; Alakukku, L. Influence of no-tillage on the distribution and availability of phosphorus in Finnish clay soils. Agric. Ecosyst. Environ. 2007, 120, 299–306. [Google Scholar] [CrossRef]
- Wright, C.J.; Coleman, D.C. The effects of disturbance events on labile phosphorus fractions and total organic phosphorus in the southern Appalachians. Soil Sci. 1999, 164, 391–402. [Google Scholar] [CrossRef]
- Mallarino, A.P.; Bordoli, J.M.; Borges, R. Phosphorus and potassium placement effects on early growth and nutrient uptake of no-till corn and relationships with grain yield. Agron. J. 1999, 91, 37–45. [Google Scholar] [CrossRef]
- Vu, D.T.; Tang, C.; Armstrong, R.D. Tillage system affects phosphorus form and depth distribution in three contrasting Victorian soils. Aust. J. Soil Res. 2009, 47, 33–45. [Google Scholar] [CrossRef]
- Redel, Y.D.; Escudey, M.; Alvear, M.; Conrad, J.; Borie, F. Effects of tillage and crop rotation on chemical phosphorus forms and some related biological activities in a Chilean ultisol. Soil Use Manag. 2011, 27, 221–228. [Google Scholar] [CrossRef]
- Wang, J.B.; Chen, Z.H.; Chen, L.J.; Zhu, A.N.; Wu, N.J. Surface soil phosphorus and phosphatase activities affected by tillage and crop residue input amounts. Plant Soil Environ. 2011, 57, 251–257. [Google Scholar] [CrossRef]
- Andraski, T.W.; Bundy, L.G.; Kilian, K.C. Manure history and long-term tillage effects on soil properties and phosphorus losses in runoff. J. Environ. Qual. 2003, 32, 1782–1789. [Google Scholar] [CrossRef] [PubMed]
- Selles, F.; Grant, C.A.; Johnston, A.M. Conservation tillage effects on soil phosphorus distribution. Better Crops Int. 2002, 86, 4–6. [Google Scholar]
- Alam, M.K. Impact of Tillage Practices and Phosphorus Placement Methods on Soil Properties and Yield of Maize; A Report in Annual Research Report of Soil Science and Research Division; Bangladesh Agricultural Research Institute: Gazipur, Bangladesh, 2012; pp. 33–44. [Google Scholar]
- Lynch, J.P.; Ochoa, I.E.; Blair, M.W. QTL analysis of adventitious root formation in common bean under contrasting phosphorus availability. Crop Sci. 2006, 46, 1609–1621. [Google Scholar]
- Bates, T.R.; Lynch, J.P. Stimulation of root hair elongation in Arabidopsis thaliana by low phosphorus availability. Plant Cell Environ. 1996, 19, 529–538. [Google Scholar] [CrossRef]
- Ma, Z.; Bielenberg, D.G.; Brown, K.M.; Lynch, J.P. Regulation of root hair density by phosphorus availability in Arabidopsis thaliana. Plant Cell Environ. 2001, 24, 459–467. [Google Scholar] [CrossRef]
- Lynch, J.P.; Brown, K.M. Topsoil foraging: an architectural adaptation of plants to low phosphorus availability. Plant Soil 2001, 237, 225–237. [Google Scholar] [CrossRef]
- Lynch, J.P. Root architecture and nutrition acquisition. In ‘Nutrient acquisition by plants: An ecological perspective. Ecol. Stud. 2005, 181, 147–184. [Google Scholar]
- White, P.J.; Hammond, J.P. Phosphorus nutrition of terrestrial plants. In The Ecophysiology of Plant—Phosphorus Interactions; White, P.J., Hammond, J.P., Eds.; Springer: Dordrecht, The Netherlands, 2008; pp. 51–81. [Google Scholar]
- Schortemeyer, M.; Feil, B.; Stamp, P. Root morphology and nitrogen uptake of maize simultaneously supplied with ammonium and nitrate in a split-root system. Ann. Bot. 1993, 72, 107–115. [Google Scholar] [CrossRef]
- Postma, J.A.; Dathe, A.; Lynch, J. The optimal lateral root branching density for maize depends on nitrogen and phosphorus availability. Plant Physiol. 2014, 166, 590–602. [Google Scholar] [CrossRef] [PubMed]
- Zhu, J.; Kaeppler, S.M.; Lynch, J.P. Mapping of QTLs for lateral root branching and length in maize (Zea mays L.) under differential phosphorus supply. Theor. Appl. Genet. 2005, 111, 688–695. [Google Scholar] [CrossRef] [PubMed]
- Zhu, J.M.; Kaeppler, S.M.; Lynch, J.P. Topsoil foraging and phosphorus acquisition efficiency in maize (Zea mays L.). Func. Plant Biol. 2005, 32, 749–762. [Google Scholar] [CrossRef]
- Reymond, M.; Svistoonoff, S.; Loudet, O.; Nussaume, L.; Desnos, T. Identification of QTL controlling root growth response to phosphate starvation in Arabidopsis thaliana. Plant Cell Environ. 2006, 29, 115–125. [Google Scholar] [CrossRef] [PubMed]
- Lynch, J.; Brown, K. Whole plant adaptations to low phosphorus availability. In Plant–Environment Interactions, 3rd ed.; Huang, B., Ed.; Taylor and Francis: New York, NY, USA, 2006. [Google Scholar]
- Ge, Z.; Rubio, G.; Lynch, J.P. The importance of root gravitropism for inter-root competition and phosphorus acquisition efficiency: results from a geometric simulation model. Plant Soil 2000, 218, 159–171. [Google Scholar] [CrossRef] [PubMed]
- Hossen, M.S.; Mano, M.; Miyata, A.; Baten, M.A.; Hiyama, T. Seasonality of ecosystem respiration in a double-cropping paddy field in Bangladesh. Biogeosci. Discuss. 2011, 8, 8693–8721. [Google Scholar] [CrossRef]
- Alam, M.K.; Salahin, N.; Islam, M.M.; Hasanuzzaman, M. Effect of tillage practices on soil properties and crop productivity of wheat–mungbean–rice cropping system under subtropical climatic conditions. Sci. World J. 2014, 2014. [Google Scholar] [CrossRef] [PubMed]
- Jackson, M.L. Soil Chemical Analysis; Prentice Hall of India Pvt. Ltd.: New Delhi, India, 1973. [Google Scholar]
- Page, A.L.; Miller, R.H.; Kuny, D.R. Methods of Soil Analysis. Part 2, 2nd ed.; American Society of Agronomy: Madison, WI, USA; Soil Science Society of America: Madison, WI, USA, 1989; pp. 403–430. [Google Scholar]
- Olsen, S.R.; Cole, C.U.; Watanable, F.S.; Deun, L.A. Estimation of Available p in Soil Extraction with Sodium Bicarbonate; US Agricultural Circle: Washington, DC, USA, 1954; p. 929. [Google Scholar]
- Olsen, S.R.; Dean, L.D. Phosphorus. In Methods of Soil Analysis, Part 2; Black, C.A., Ed.; Number 9 in Agronomy Series; American Society of Agronomy: Madison, WI, USA, 1965; pp. 1035–1049. [Google Scholar]
- Taylor, M.D. Determination of total phosphorus in soil using simple Kjeldahl digestion. Commun. Soil Sci. Plant Anal. 2000, 31, 2665–2670. [Google Scholar] [CrossRef]
- Black, C.A. Method of Soil Analysis Part–I and II; American Society of Agronomy: Madison, WI, USA, 1965; p. 770. [Google Scholar]
- Karim, Z.; Rahman, S.M.; Ali, M.I.; Karim, A.J.M.S. Soil Bulk Density. A Manual for Determination of Soil Physical Parameters; Soils and Irrigation Division, BARC: Mumbai, India, 1988. [Google Scholar]
- Jones, J.B., Jr.; Case, V.W. Sampling, handling and analyzing plant tissue samples. In Soil Testing and Plant Analysis, 3rd ed.; Westermaan, W.S., Ed.; SSSA Book Series; Soil Science Society of America: Madison, WI, USA, 1990; pp. 389–427. [Google Scholar]
- Watson, M.E.; Issac, R.A. Analytical instruments for soil and plant analysis. In Soil Testing and Plant Analysis, 3rd ed.; Westermaan, W.L., Ed.; SSSA Book Series 3; Soil Science Society of America: Madison, WI, USA, 1990; pp. 691–740. [Google Scholar]
- Schuurman, J.J.; Goodewaagen, M.A.J. Methods for the Examination of Root Systems and Roots, 2nd ed.; Centre of Agricultural Publishing and Documentation: Wageningen, The Netherlands, 1971. [Google Scholar]
- Barley, K.P. The configuration of the root system in relation to nutrient uptake. Adv. Agron. 1970, 22, 159–201. [Google Scholar]
- Steel, R.G.D.; Torrie, J.H. Principles and Procedures of Statistics; McGraw-Hill Book Company, Inc.: New York, NY, USA, 1960. [Google Scholar]
- Costa, S.E.V.G.A.; Souza, E.D.; Anghinoni, I.; Flores, J.P.C.; Vieira, F.C.B.; Martins, A.P.; Ferreira, E.V.O. Patterns in phosphorus and corn root distribution and yield in long–term tillage systems with fertilizer application. Soil Tillage Res. 2010, 109, 41–49. [Google Scholar] [CrossRef]
- Fernández, F.G.; White, C. No–till and strip–till corn production with broadcast and subsurface–band phosphorus and potassium. Agron. J. 2012, 104, 996–1005. [Google Scholar] [CrossRef]
- Da Costa, C.H.M.; Crusciol, C.A.C. Long-term effects of lime and phosphogypsum application on tropical no-till soybean–oat–sorghum rotation and soil chemical properties. Eur. J. Agron. 2016, 74, 119–132. [Google Scholar] [CrossRef]
- Adee, E.; Hansel, F.D.; Ruiz Diaz, D.A.; Janssen, K. Corn response as affected by planting distance from the center of strip-till fertilized rows. Front. Plant Sci. 2016, 7, 1232–1241. [Google Scholar] [CrossRef] [PubMed]
- Buah, S.; Polito, T.A.; Killorn, R. No-tillage corn response to placement of fertilizer nitrogen, phosphorus, and potassium. Commun. Soil Sci. Plant Anal. 2000, 31, 3121–3133. [Google Scholar] [CrossRef]
- Jones, C.; Chen, C.; Allison, E.; Neill, K. Tillage effects on phosphorus availability. In Proceedings of the Western Nutrient Management Conference, Salt Lake City, UT, USA, 8–9 March 2007; Volume 7, p. 13. [Google Scholar]
- Hansel, F.D.; Ruiz Diaz, D.A.; Amado, T.J.C.; Rosso, L.H.M. Deep banding increases phosphorus removal by soybean grown under no-tillage production systems. Agron. J. 2017, 109, 1091–1098. [Google Scholar] [CrossRef]
- Hansel, F.D.; Telmo, J.C.; Amado, D.A.; Diaz, R.; Rosso, L.H.M.; Nicoloso, F.T.; Schorr, M. Phosphorus fertilizer placement and tillage affect soybean root growth and drought tolerance. Agron. J. 2017, 109, 2936–2944. [Google Scholar] [CrossRef]
- Ohno, T.; Erich, M.S. Inhibitory effects of crop residue-derived organic ligands on phosphate adsorption kinetics. J. Environ. Qual. 1997, 26, 889–895. [Google Scholar] [CrossRef]
- Selles, F.; McConkey, B.G.; Campbell, C.A. Distribution and forms of P under cultivator– and Minimum–tillage for continuous– and fallow–wheat cropping systems in the semi–arid Canadian prairies. Soil Tillage Res. 1999, 41, 147–159. [Google Scholar]
- Eltz, F.L.F.; Peixoto, R.T.G.; Jaster, F. Effects of soil tillage systems in an Oxisol physical and chemical characteristics. Rev. Bras. Cienc. Solo 1989, 12, 259–267. [Google Scholar]
- Cowie, B.A.; Hastie, M.; Hunt, S.B.; Asghar, M.; Lack, D.W. Surface Soil Nutrient Distribution Following Minimum Tillage and Traditional Tillage Management. Available online: www.regional.org.au/au/asa/1996/contributed/160cowie.htm (accessed on 2 August 2014).
- Howard, D.D.; Essington, E.E.; Tyler, D.D. Vertical phosphorus and potassium stratification in no-till cotton soil. Agron. J. 1999, 91, 266–269. [Google Scholar] [CrossRef]
- Fernández, F.G.; Schaefer, D. Assessment of soil phosphorus and potassium following RTK-guided broadcast and deep-band placement in strip-till and no-till. Soil Sci. Soc. Am. J. 2012, 76, 1090–1099. [Google Scholar] [CrossRef]
- Parker, M.M.; van Lear, D.H. Soil heterogeneity and root distribution of mature loblolly pine stands in Piedmont soils. Soil Sci. Soc. Am. J. 1996, 60, 1920–1925. [Google Scholar] [CrossRef]
- Taylor, H.M. Managing root systems for efficient water use: An overview. In Limitations to Efficient Water Use in Crop Production; Taylor, H.M., Jordan, W.R., Sinclair, T.R., Eds.; American Society of Agronomy, Inc.: Madison, MI, USA; Crop Science Society of America, Inc.: Madison, MI, USA; Soil Science Society of America, Inc.: Madison, MI, USA, 1983; pp. 87–113. [Google Scholar]
- FRG Fertilizer Recommendation Guide; Bangladesh Agricultural Research Council (BARC): Dhaka, Bangladesh, 2012; p. 274.
- FAO. FAO Conservation of Natural Resources for Sustainable Agriculture: Training Modules; FAO Land and Water Digital Media Series CD-ROM 27; FAO: Rome, Italy, 2004. [Google Scholar]
- Rusinamhodzi, L.; Corbeels, M.; van Wijk, M.; Rufino, M.C.; Nyamangara, J.; Giller, K.E. A meta-analysis of long-term effects of conservation agriculture on maize grain yield under rain-fed conditions. Agron. Sustain. Dev. 2011, 31, 657–763. [Google Scholar] [CrossRef]
- Smith, R.G.; Barbercheck, M.E.; Mortensen, D.A.; Hyde, J.; Hulting, A.G. Yield and net returns during the transition to organic feed grain production. Agron. J. 2011, 103, 51–59. [Google Scholar] [CrossRef]
- Hulugalle, N.R.; McCorkell, B.E.; Weaver, T.B.; Finlay, L.A.; Gleeson, J. Soil properties in furrows of an irrigated Vertisol sown with continuous cotton (Gossypium hirsutum L.). Soil Tillage Res. 2007, 97, 162–171. [Google Scholar] [CrossRef]
- Ӧzpınar, S.; Çay, A. Effects of minimum and conventional tillage systems on soil properties and yield of winter wheat (Triticum aestivum L.) in clay–loam in the Canakkale Region. Turk. J. Agric. For. 2005, 29, 9–18. [Google Scholar]
- Gwenzi, W.; Gotosa, J.; Chakanetsa, S.; Mutema, Z. Effects of tillage systems on soil organic carbon dynamics, structural stability and crop yields in irrigated wheat (Triticum aestivum L.)–cotton (Gosspium hirsutum L.) rotation in semi–arid Zimbabwe. Nutr. Cycl. Agroecosyst. 2009, 83, 211–221. [Google Scholar] [CrossRef]
- Beare, M.H.; Pohland, B.R.; Wright, D.H.; Coleman, D.C. Residue placement and fungicide effects on fungal communities in conventional and no–tillage soils. Soil Sci. Soc. Am. J. 1993, 57, 392–399. [Google Scholar] [CrossRef]
- Thomas, G.A.; Dalal, R.C.; Standley, J. No–till effects on organic matter, pH, cation exchange capacity and nutrient distribution in a luvisol in the semi–arid subtropics. Soil Tillage Res. 2007, 94, 295–304. [Google Scholar] [CrossRef]
- Costa, S.E.V.G.A.; Souza, E.D.; Anghinoni, I.; Flores, J.P.C.; Cao, E.G.; Holzschuh, M.J. Phosphorus and root distribution and corn growth related to longterm tillage systems and fertilizer placement. Rev. Bras. Cienc. Solo 2009, 33, 1237–1247. [Google Scholar] [CrossRef]
- Zhang, Z.; Qiang, H.; McHugh, A.D.; He, J.; Li, H.; Wang, Q.; Lu, Z. Effect of conservation farming practices on soil organic matter and stratification in a mono-cropping system of Northern China. Soil Tillage Res. 2016, 156, 173–181. [Google Scholar] [CrossRef]
- Acquaah, G. Principles of Crop Production: Theory, Techniques, and Technology; Pearson Education, Inc.: Upper Saddle River, NJ, USA, 2002. [Google Scholar]
- Dao, T.H.; Stiegler, J.H.; Banks, J.C.; Boerngen, L.B.; Adams, B. Post-contrast use effects on soil carbon and nitrogen in conservation reserve grasslands. Agron. J. 2002, 94, 146–152. [Google Scholar] [CrossRef]
- Balesdent, J.; Chenu, C.; Balabane, M. Relationship of soil organic matter dynamics to physical protection and tillage. Soil Tillage Res. 2000, 53, 215–230. [Google Scholar] [CrossRef]
- Hudson, B.D. Soil organic matter and available water capacity. J. Soil Water Conserv. 1994, 49, 189–194. [Google Scholar]
- Doran, J.W.; Elliott, E.T.; Paustain, K. Soil microbial activity, nitrogen cycling, and long–term changes in organic carbon pools as related to fallow tillage management. Soil Tillage Res. 1998, 49, 3–18. [Google Scholar] [CrossRef]
- Fernández–Ugalde, A.J. Water infiltration and soil structure related to organic matter and its stratification with depth. Soil Tillage Res. 2002, 66, 197–205. [Google Scholar]
- Fernández, U.O.; Virto, I.; Bescansa, P.; Imaz, M.J.; Enrique, A.; Karlen, D.L. No–tillage improvement of soil physical quality in calcareous, degradation–prone, semiarid soils. Soil Tillage Res. 2009, 106, 29–35. [Google Scholar] [CrossRef]
- Taser, O.F.; Metinoglu, F. Physical and mechanical properties of a clayey soil as affected by tillage systems for wheat growth. Acta Agric. Scand. Sect. B–Soil Plant 2005, 55, 186–191. [Google Scholar] [CrossRef]
- Muńoz, A.; Lopez–Pineiro, A.; Ramirez, M. Soil quality attributes of conservation management regimes in a semi–arid region of South Western Spain. Soil Tillage Res. 2007, 95, 255–265. [Google Scholar] [CrossRef]
- De Vita, P.; Di Paolo, E.; vm Fecondo, G.; Di Fonzo, N.; Pisante, M. No–tillage and conventional tillage effects on durum wheat yield, grain quality and soil moisture content in Southern Italy. Soil Tillage Res. 2007, 92, 69–78. [Google Scholar] [CrossRef]
- Olsen, S.R.; Kemper, W.D.; Sshalik, J.C.V. Self-diffusion coefficient of phosphorus in soil measured by transient and steady-state methods. Soil Sci. Soc. Am. Proc. 1965, 29, 154–158. [Google Scholar] [CrossRef]
- Randall, G.W.; Vetsch, J.A.; Murrell, T.S. Corn response to phosphorus placement under various tillage practices. Better Crops 2001, 85, 12–15. [Google Scholar]
- Borges, R.; Mallarino, B.B. Deep banding phosphorus and potassium fertilizer for corn managed with ridge tillage. Soil Sci. Soc. Am. J. 2001, 65, 376–384. [Google Scholar] [CrossRef]
- Deubel, A.; Hofmann, B.; Orzessek, D. Long-term effects of tillage on stratification and plant availability of phosphate and potassium in a loess chernozem. Soil Tillage Res. 2011, 117, 85–92. [Google Scholar] [CrossRef]
 ) and harvesting dates (
) and harvesting dates ( ).
).
   ) and harvesting dates (
) and harvesting dates ( ).
).








| Initial Soil Properties | Values | |
|---|---|---|
| Particle size distribution | Sand (g kg−1) | 350 | 
| Silt (g kg−1) | 340 | |
| Clay (g kg−1) | 310 | |
| Soil pH | 7.3 | |
| Moisture content at FC (g kg−1) | 280 | |
| Bulk density (g cm−3) | 0–6 cm soil depth | 1.54 | 
| 07–12 cm soil depth | 1.56 | |
| 13–18 cm soil depth | 1.58 | |
| 19–30 cm soil depth | 1.58 | |
| Soil porosity (%) | 0–6 cm soil depth | 38 | 
| 07–12 cm soil depth | 37 | |
| 13–18 cm soil depth | 37 | |
| 19–30 cm soil depth | 36 | |
| Extractable P (mg kg−1) | 0–6 cm soil depth | 11 | 
| 07–12 cm soil depth | 9 | |
| 13–18 cm soil depth | 8 | |
| 19–30 cm soil depth | 8 | |
| Soil organic matter (g kg−1) | 13.5 | |
| Total N (g kg−1) | 0.49 | |
| Treatments | Residue Retention (t ha−1) | |||||
|---|---|---|---|---|---|---|
| Maize | Chili | Mungbean | ||||
| 2008–2009 | 2009–2010 | 2010–2011 | 2009 | 2010 | 2011 | |
| ZTP1 | 2.78 | 2.94 | 2.98 | 2.7 | 7.23 | 7.64 | 
| ZTP2 | 3.34 | 2.55 | 3.43 | 3.1 | 7.79 | 8.23 | 
| ZTP3 | 2.74 | 2.77 | 2.90 | 2.7 | 7.42 | 7.83 | 
| CTP1 | 3.16 | 3.15 | 3.16 | 2.5 | 6.78 | 7.16 | 
| CTP2 | 3.42 | 3.38 | 3.33 | 2.7 | 6.83 | 7.20 | 
| CTP3 | 3.27 | 3.19 | 3.23 | 2.6 | 6.82 | 7.19 | 
| DTP1 | 3.23 | 3.07 | 3.03 | 2.6 | 5.96 | 6.30 | 
| DTP2 | 3.25 | 3.30 | 3.28 | 2.7 | 6.35 | 6.71 | 
| DTP3 | 3.19 | 3.20 | 3.16 | 2.7 | 6.37 | 6.73 | 
| SE (±) | 0.12 | 0.11 | 0.11 | 0.1 | 0.21 | 0.22 | 
| Treatments/Parameters/Depths | Bulk Density (g cm−3) | PAWC (cm) | Porosity (%) | ||||||
|---|---|---|---|---|---|---|---|---|---|
| 0–6 cm | 7–12 cm | 13–18 cm | 0–6 cm | 7–12 cm | 13–18 cm | 0–6 cm | 7–12 cm | 13–18 cm | |
| ZT | 1.43 | 1.50 | 1.54 | 1.70 | 1.43 | 1.38 | 44.41 | 41.95 | 40.29 | 
| CT | 1.48 | 1.45 | 1.51 | 1.36 | 1.55 | 1.52 | 39.57 | 43.05 | 39.93 | 
| DT | 1.49 | 1.47 | 1.48 | 1.06 | 1.40 | 1.49 | 40.20 | 42.50 | 40.53 | 
| SE (±) | 0.03 | 0.02 | 0.01 | 0.01 | 0.06 | 0.04 | 2.8 | 0.45 | 0.41 | 
| P1 | 1.47 | 1.48 | 1.51 | 1.35 | 1.45 | 1.45 | 40.98 | 42.28 | 39.71 | 
| P2 | 1.46 | 1.47 | 1.51 | 1.38 | 1.46 | 1.46 | 41.66 | 42.63 | 40.36 | 
| P3 | 1.46 | 1.47 | 1.50 | 1.40 | 1.47 | 1.47 | 41.53 | 42.59 | 40.68 | 
| SE (±) | 0.004 | 0.01 | 0.005 | 0.006 | 0.01 | 0.01 | 0.29 | 0.22 | 0.24 | 
| ZTP1 | 1.42 | 1.51 | 1.55 | 1.70 | 1.42 | 1.39 | 43.69 | 41.80 | 39.64 | 
| ZTP2 | 1.42 | 1.50 | 1.55 | 1.72 | 1.43 | 1.38 | 45.18 | 42.06 | 40.47 | 
| ZTP3 | 1.44 | 1.48 | 1.53 | 1.69 | 1.43 | 1.36 | 44.35 | 42.00 | 40.75 | 
| CTP1 | 1.48 | 1.46 | 1.51 | 1.36 | 1.53 | 1.48 | 39.34 | 42.91 | 39.35 | 
| CTP2 | 1.48 | 1.45 | 1.51 | 1.33 | 1.55 | 1.52 | 39.68 | 43.15 | 40.14 | 
| CTP3 | 1.47 | 1.45 | 1.50 | 1.40 | 1.56 | 1.55 | 39.69 | 43.08 | 40.31 | 
| DTP1 | 1.50 | 1.48 | 1.48 | 0.99 | 1.39 | 1.48 | 39.91 | 42.13 | 40.14 | 
| DTP2 | 1.48 | 1.47 | 1.47 | 1.10 | 1.41 | 1.49 | 40.13 | 42.69 | 40.48 | 
| DTP3 | 1.48 | 1.47 | 1.48 | 1.10 | 1.41 | 1.50 | 40.55 | 42.69 | 40.97 | 
| SE(±) | 0.007 | 0.02 | 0.008 | 0.06 | 0.14 | 0.15 | 0.61 | 0.66 | 0.65 | 
| CV (%) | 4.70 | 4.77 | 4.50 | 4.66 | 8.48 | 5.68 | 5.93 | 6.11 | 7.29 | 
| Error D.F. | 12 | 12 | 12 | 12 | 12 | 12 | 12 | 12 | 12 | 
| Parameters/Years | Soil Organic Matter Status (%) | Total N Status (%) | ||||||
|---|---|---|---|---|---|---|---|---|
| Initial (0–10 cm) | 0–6 cm | 7–12 cm | 13–18 cm | Initial (0–6 cm) | 0–6 cm | 7–12 cm | 13–18 cm | |
| ZT | 0.78 | 1.15 | 0.84 | 0.80 | 0.049 | 0.08 | 0.061 | 0.04 | 
| CT | 0.78 | 0.91 | 0.98 | 0.82 | 0.049 | 0.06 | 0.061 | 0.045 | 
| DT | 0.78 | 0.85 | 0.83 | 0.85 | 0.049 | 0.06 | 0.055 | 0.053 | 
| SE (±) | - | 0.02 | 0.03 | 0.03 | - | 0.01 | 0.002 | 0.002 | 
| P1 | 0.77 | 0.97 | 0.90 | 0.83 | 0.049 | 0.069 | 0.061 | 0.046 | 
| P2 | 0.78 | 0.99 | 0.88 | 0.83 | 0.049 | 0.068 | 0.059 | 0.046 | 
| P3 | 0.78 | 0.95 | 0.87 | 0.81 | 0.049 | 0.068 | 0.057 | 0.047 | 
| SE (±) | - | 0.02 | 0.01 | 0.02 | - | 0.01 | 0.001 | 0.001 | 
| ZTP1 | 0.78 | 1.14 | 0.87 | 0.81 | 0.049 | 0.085 | 0.063 | 0.041 | 
| ZTP2 | 0.78 | 1.20 | 0.83 | 0.81 | 0.049 | 0.083 | 0.060 | 0.040 | 
| ZTP3 | 0.77 | 1.09 | 0.84 | 0.79 | 0.049 | 0.083 | 0.059 | 0.040 | 
| CTP1 | 0.78 | 0.92 | 0.97 | 0.84 | 0.049 | 0.063 | 0.062 | 0.045 | 
| CTP2 | 0.77 | 0.93 | 0.99 | 0.81 | 0.049 | 0.063 | 0.061 | 0.045 | 
| CTP3 | 0.79 | 0.88 | 0.96 | 0.80 | 0.049 | 0.064 | 0.060 | 0.046 | 
| DTP1 | 0.78 | 0.86 | 0.86 | 0.84 | 0.049 | 0.058 | 0.058 | 0.053 | 
| DTP2 | 0.78 | 0.84 | 0.83 | 0.86 | 0.049 | 0.059 | 0.056 | 0.052 | 
| DTP3 | 0.79 | 0.84 | 0.81 | 0.84 | 0.049 | 0.057 | 0.052 | 0.054 | 
| SE (±) | – | 0.07 | 0.05 | 0.05 | – | 0.002 | 0.002 | 0.001 | 
| CV (%) | – | 6.5 | 5.4 | 4.6 | – | 6.8 | 5.2 | 4.8 | 
| Error D.F. | – | 12 | 12 | 12 | – | 12 | 12 | 12 | 
| Treatments | Biomass Yield (t ha−1) | Uptake (kg ha−1) | ||||
|---|---|---|---|---|---|---|
| 35 DAE | Silking Stage | 35 DAE | Silking Stage | |||
| N | P | N | P | |||
| ZT | 0.72 | 7.69 | 10.22 | 1.07 | 103.83 | 12.79 | 
| CT | 0.65 | 7.94 | 8.47 | 0.90 | 98.69 | 12.09 | 
| DT | 0.64 | 7.74 | 8.82 | 0.90 | 100.81 | 11.93 | 
| SE (±) | 0.005 | 0.44 | 0.05 | 0.02 | 5.1 | 0.5 | 
| P1 | 0.64 | 7.57 | 7.56 | 0.89 | 89.79 | 11.25 | 
| P2 | 0.71 | 8.20 | 10.66 | 1.08 | 114.39 | 14.01 | 
| P3 | 0.67 | 7.59 | 9.30 | 0.90 | 99.15 | 11.54 | 
| SE (±) | 0.02 | 0.1 | 0.6 | 0.06 | 3.6 | 0.34 | 
| ZTP1 | 0.72 | 7.75 | 9.9 | 1.0 | 106.3 | 12.9 | 
| ZTP2 | 0.74 | 7.81 | 11.6 | 1.3 | 124.5 | 15.4 | 
| ZTP3 | 0.66 | 7.80 | 9.1 | 0.9 | 88.7 | 10.1 | 
| CTP1 | 0.66 | 7.86 | 6.3 | 0.9 | 87.2 | 10.8 | 
| CTP2 | 0.68 | 8.10 | 10.1 | 1.0 | 108.2 | 13.2 | 
| CTP3 | 0.59 | 7.73 | 9.0 | 0.9 | 103.8 | 12.3 | 
| DTP1 | 0.65 | 7.60 | 6.4 | 0.8 | 89.9 | 10.1 | 
| DTP2 | 0.69 | 7.98 | 10.3 | 1.0 | 104.5 | 13.4 | 
| DTP3 | 0.59 | 7.08 | 9.8 | 0.9 | 106.0 | 12.3 | 
| SE (±) | 0.02 | 0.20 | 0.73 | 0.07 | 5.87 | 0.58 | 
| CV (%) | 6.04 | 5.82 | 6.4 | 5.4 | 6.9 | 4.8 | 
| Error D.F. | 12 | 12 | 12 | 12 | 12 | 12 | 
© 2018 by the authors. Licensee MDPI, Basel, Switzerland. This article is an open access article distributed under the terms and conditions of the Creative Commons Attribution (CC BY) license (http://creativecommons.org/licenses/by/4.0/).
Share and Cite
Alam, M.K.; Bell, R.W.; Salahin, N.; Pathan, S.; Mondol, A.T.M.A.I.; Alam, M.J.; Rashid, M.H.; Paul, P.L.C.; Hossain, M.I.; Shil, N.C. Banding of Fertilizer Improves Phosphorus Acquisition and Yield of Zero Tillage Maize by Concentrating Phosphorus in Surface Soil. Sustainability 2018, 10, 3234. https://doi.org/10.3390/su10093234
Alam MK, Bell RW, Salahin N, Pathan S, Mondol ATMAI, Alam MJ, Rashid MH, Paul PLC, Hossain MI, Shil NC. Banding of Fertilizer Improves Phosphorus Acquisition and Yield of Zero Tillage Maize by Concentrating Phosphorus in Surface Soil. Sustainability. 2018; 10(9):3234. https://doi.org/10.3390/su10093234
Chicago/Turabian StyleAlam, Md. Khairul, Richard W. Bell, Nazmus Salahin, Shahab Pathan, A.T.M.A.I. Mondol, M.J. Alam, M.H. Rashid, P.L.C. Paul, M.I. Hossain, and N.C. Shil. 2018. "Banding of Fertilizer Improves Phosphorus Acquisition and Yield of Zero Tillage Maize by Concentrating Phosphorus in Surface Soil" Sustainability 10, no. 9: 3234. https://doi.org/10.3390/su10093234
APA StyleAlam, M. K., Bell, R. W., Salahin, N., Pathan, S., Mondol, A. T. M. A. I., Alam, M. J., Rashid, M. H., Paul, P. L. C., Hossain, M. I., & Shil, N. C. (2018). Banding of Fertilizer Improves Phosphorus Acquisition and Yield of Zero Tillage Maize by Concentrating Phosphorus in Surface Soil. Sustainability, 10(9), 3234. https://doi.org/10.3390/su10093234
 
        




 
       