The Cause and Evolution of Urban Street Vitality under the Time Dimension: Nine Cases of Streets in Nanjing City, China
Abstract
1. Introduction
- (1)
- Propose a framework to quantify the impact of select factors on urban street vitality under different time dimensions.
- (2)
- Apply street form (e.g., street density, continuity, height–width ratio), street business type (e.g., street function mixture, density, permeation rate), and street accessibility (e.g., street location, transportation, walkability, etc.) to comprehensively analyze urban street vitality.
- (3)
- Propose a ranking method and conduct a multi-factor analysis of street vitality to compare the impact of each factor to guide urban planning, public space design, and street vitality construction.
- (4)
- Provide significant insights for street vitality and studies regarding urban sustainable development.
2. Methodology
2.1. Overview of Methodology
2.2. Assessment of Factors
2.3. Case Study of Nine Streets
3. Results
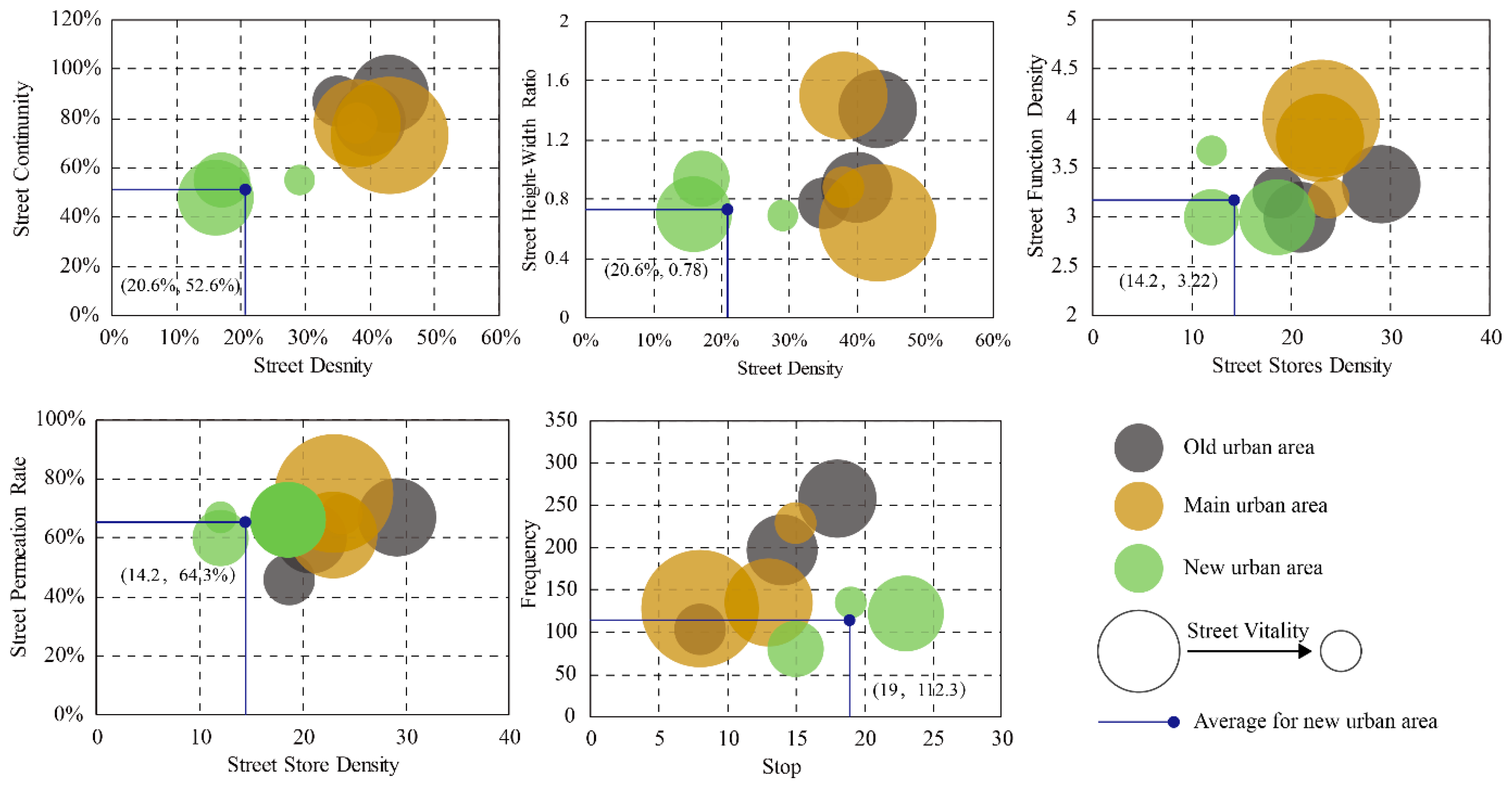
3.1. Comparative Analysis of Street Forms
3.2. Comparative Analysis of Street Business Types
3.3. Analysis of Street Accessibility
3.4. Analysis of Street Vitality
4. Discussion and Limitations
- (1)
- The expression of street vitality is not only directly related to the number of active people, but also the amount of time during which people linger on the street. However, it is very difficult to comprehensively describe and record the lingering time of the population activity. We only used the number of people to express the degree of street vitality at the time of our investigation, which will inevitably result in some differences of assessing street vitality.
- (2)
- We selected streets built in different time periods to make our investigation objective. Subject to the time span of 30 years, the investigation data of some street environment factors were inevitably insufficient. More cases are needed for a comparative analysis. However, the number of streets we have selected and their representativeness are worthy of discussion.
- (3)
- In recent years, various types of online consumption, e-commerce, app take-out, and so on have evolved to meet most of life’s demands, thus reducing the amount of time people spend physically shopping. Therefore, we should consider the impacts of various virtual environments on street vitality in the future.
5. Conclusions
Author Contributions
Funding
Conflicts of Interest
References
- Cafuta, M.R. Open Space Evaluation Methodology and Three Dimensional Evaluation Model as a Base for Sustainable Development Tracking. Sustainability 2015, 7, 13690–13712. [Google Scholar] [CrossRef]
- Zhu, Y.; Ding, J.; Zhu, Q.; Cheng, Y.; Ma, Q.; Ji, X. The impact of green open space on community attachment-a case study of three communities in Beijing. Sustainability 2017, 9, 560. [Google Scholar] [CrossRef]
- Kim, S.; An, K. Exploring psychological and aesthetic approaches of bio-retention facilities in the urban open space. Sustainability 2017, 9, 2067. [Google Scholar] [CrossRef]
- Montgomery, J. Making a city: Urbanity, vitality and urban design. J. Urban Des. 1998, 3, 93–116. [Google Scholar] [CrossRef]
- Kevin, L. The Image of the City; The MIT Press: Cambridge, MA, USA, 1960; ISBN 0-262-62001-4. [Google Scholar]
- Jacobs, J. The Death and Life of Great American Cities; Random House: New York, NY, USA, 1961. [Google Scholar]
- Gehl, J. Life Between Buildings: Using Public Space; Island Press: Washington, DC, USA, 1987; ISBN 978-1597268271. [Google Scholar]
- Whyte, W.H. The Social Life of Small Urban Spaces; Conservation Foundation: New York, NY, USA, 1980; ISBN 0-9706324-1-X. [Google Scholar]
- Alexander, C. A city is not a tree. Arch. Forum 1965, 122, 58–62. [Google Scholar]
- Jacobs, A.B. Great Streets; The MIT Press: Cambridge, MA, USA, 1993; ISBN 9780262100489. [Google Scholar]
- Ewing, R.; Cervero, R. Travel and the Built Environment: A Synthesis. Transp. Res. Rec. J. Transp. Res. Board 2001, 1780, 87–114. [Google Scholar] [CrossRef]
- Shan, H. American new urbanism. Architect 2003, 3, 4–19. [Google Scholar]
- Fitch, D.T.; Rhemtulla, M.; Handy, S.L. The relation of the road environment and bicycling attitudes to usual travel mode to school in teenagers. Transp. Res. Part A Policy Pract. 2018. [Google Scholar] [CrossRef]
- Cervero, R.; Kockelman, K. Travel demand and the 3Ds: Density, diversity, and design. Transp. Res. Part D Transp. Environ. 1997, 2, 199–219. [Google Scholar] [CrossRef]
- Ikioda, F. The impact of road construction on market and street trading in Lagos. J. Transp. Geogr. 2016, 55, 175–181. [Google Scholar] [CrossRef]
- Galanis, A.; Botzoris, G.; Eliou, N. Pedestrian road safety in relation to urban road type and traffic flow. Transp. Res. Procedia 2017, 24, 220–227. [Google Scholar] [CrossRef]
- Ajeng, C.; Gim, T.H.T. Analyzing on-street parking duration and demand in a Metropolitan City of a developing country: A case study of Yogyakarta City, Indonesia. Sustainability 2018, 10, 591. [Google Scholar] [CrossRef]
- Park, J.-H.; Kim, J.; Yoon, D.K.; Cho, G.-H. The influence of Korea’s green parking project on the thermal environment of a residential street. Habitat Int. 2016, 56, 181–190. [Google Scholar] [CrossRef]
- Kang, C.-D. The S+5Ds: Spatial access to pedestrian environments and walking in Seoul, Korea. Cities 2018, 77, 130–141. [Google Scholar] [CrossRef]
- Peiravian, F.; Derrible, S.; Ijaz, F. Development and application of the Pedestrian Environment Index (PEI). J. Transp. Geogr. 2014, 39, 73–84. [Google Scholar] [CrossRef]
- Jung, H.; Lee, S.; Kim, H.S.; Lee, J.S. Does improving the physical street environment create satisfactory and active streets? Evidence from Seoul’s Design Street Project. Transp. Res. Part D Transp. Environ. 2017, 50, 269–279. [Google Scholar] [CrossRef]
- Park, C.Y.; Lee, D.K.; Krayenhoff, E.S.; Heo, H.K.; Ahn, S.; Asawa, T.; Murakami, A.; Kim, H.G. A multilayer mean radiant temperature model for pedestrians in a street canyon with trees. Build. Environ. 2018, 141, 298–309. [Google Scholar] [CrossRef]
- Sung, H.G.; Go, D.H.; Choi, C.G. Evidence of Jacobs’s street life in the great Seoul city: Identifying the association of physical environment with walking activity on streets. Cities 2013, 35, 164–173. [Google Scholar] [CrossRef]
- Lee, Y.-C.; Chang, T.-J.; Hsieh, C.-I. A numerical study of the temperature reduction by water spray systems within urban street Canyons. Sustainability 2018, 10, 1190. [Google Scholar] [CrossRef]
- Lee, S.; Moon, H.; Choi, Y.; Yoon, D.K. Analyzing Thermal Characteristics of Urban Streets Using a Thermal Imaging Camera: A Case Study on Commercial Streets in Seoul, Korea. Sustainability 2018, 10, 519. [Google Scholar] [CrossRef]
- Wojnicki, I. Empirical Study of How Traffic Intensity Detector Parameters Influence Dynamic Street Lighting Energy Consumption: A Case Study in Krakow, Poland. Sustainability 2018, 10, 1221. [Google Scholar] [CrossRef]
- Wang, X.; Yao, J.; Yu, S.; Miao, C.; Chen, W.; He, X. Street trees in a Chinese forest city: Structure, benefits and costs. Sustainability 2018, 10, 674. [Google Scholar] [CrossRef]
- Shirvani, H. The Urban Design Process; Van Nostrand Reinhold: New York, NY, USA, 2007; ISBN 10: 0442280645; ISBN 13: 9780442280642. [Google Scholar]
- Xu, N.; Wang, J. Research on urban public space based on daily life perspective: Case studies of three groups of urban public space in Nanjing old city. Arch. J. 2008, 8, 45–48. [Google Scholar]
- Katz, P. The New Urbanism: Toward an Architecture of Community; McGraw-Hill Education: New York, NY, USA, 1993; ISBN 978-0070338890. [Google Scholar]
- Mahmoudi, M.; Ahmad, F.; Abbasi, B. Livable streets: The effects of physical problems on the quality and livability of Kuala Lumpur streets. Cities 2015, 43, 104–114. [Google Scholar] [CrossRef]
- Ewing, R.; Clemente, O. Measuring Urban Design: Metrics for Livable Places; Island Press/Center for Resource Economics: Washington, DC, USA, 2013; ISBN 978-1-61091-209-9. [Google Scholar]
- Long, Y.; Ye, Y. Human-scale urban form: Measurements, performances, and urban planning & design interventions. South Arch. 2016, 5, 41–47. [Google Scholar]
- Harvey, C.; Aultman-Hall, L.; Hurley, S.E.; Troy, A. Effects of skeletal streetscape design on perceived safety. Landsc. Urban Plan. 2015, 142, 18–28. [Google Scholar] [CrossRef]
- Hou, Q.; Qu, S.; Fang, Y. The method of building traditional street vitality based on D/H. In Proceedings of the China Urban Planning Annual Congress: Sustainable Development and Reasonable Planning, Dongguan, China, 17–20 November 2017. [Google Scholar]
- Zarin, S.Z.; Niroomand, M.; Heidari, A.A. Physical and Social Aspects of Vitality Case Study: Traditional Street and Modern Street in Tehran. Procedia Soc. Behav. Sci. 2015, 170, 659–668. [Google Scholar] [CrossRef]
- Sung, H.; Lee, S. Residential built environment and walking activity: Empirical evidence of Jane Jacobs’ urban vitality. Transp. Res. Part D Transp. Environ. 2015, 41, 318–329. [Google Scholar] [CrossRef]
- Keeton, R. Rising in the East: Contemporary New Towns in Asia; SUN Architecture: San Francisco, CA, USA, 2011; ISBN 9789461056832. [Google Scholar]
- Yu, Y.; Zhuang, Y. A Hypothesis of Urban Morphogenesis and Urban Vitality in Newly Built-up Areas: Analyses Based on Street Accessibility, Building Density and Functional Mixture. Urban Plan. Int. 2018. [Google Scholar] [CrossRef]
- North Potomac Yard Small Area Plan Process, 2010 Information and Background Materials Regarding the 2010 North Potomac Yard Planning Process; Department of Planning and Zone: Alexandria, VA, USA, 2010.












| Street Name | 0–200 m | 200–500 m | 500–800 m | 800–1200 m | 1200–1500 m | |||||
|---|---|---|---|---|---|---|---|---|---|---|
| NRA | NBF | NRA | NBF | NRA | NBF | NRA | NBF | NRA | NBF | |
| Old urban area | ||||||||||
| Hongmiao | 8 | 2 | 5 | 6 | 29 | 6 | 43 | 15 | 21 | 9 |
| Chengxian | 5 | 1 | 20 | 3 | 26 | 4 | 39 | 7 | 33 | 2 |
| Qingdao | 5 | 0 | 13 | 0 | 18 | 6 | 42 | 13 | 47 | 8 |
| Main urban area | ||||||||||
| Wufu | 6 | 0 | 16 | 0 | 21 | 1 | 36 | 1 | 38 | 7 |
| Pipa | 4 | 1 | 13 | 8 | 47 | 9 | 64 | 4 | 109 | 9 |
| Xiuhua | 11 | 0 | 15 | 2 | 35 | 2 | 45 | 4 | 41 | 4 |
| New urban area | ||||||||||
| Songhuajiang | 3 | 0 | 1 | 1 | 8 | 1 | 23 | 1 | 24 | 5 |
| Fuchunjiang | 4 | 0 | 3 | 2 | 7 | 3 | 15 | 2 | 6 | 0 |
| Xin’anjiang | 4 | 1 | 4 | 0 | 8 | 0 | 4 | 3 | 11 | 2 |
| Street Name | Bus Stops | Frequency (hour) | Metro Stations | Frequency (hour) | Total Stops | Avg. Frequency |
|---|---|---|---|---|---|---|
| Old urban area | ||||||
| Hongmiao | 14 | 437 | 4 | 80 | 18 | 258.5 |
| Chengxian | 12 | 354 | 2 | 40 | 14 | 197 |
| Qingdao | 5 | 148 | 3 | 60 | 8 | 104 |
| Main urban area | ||||||
| Wufu | 12 | 251 | 1 | 20 | 13 | 135.5 |
| Pipa | 5 | 196 | 3 | 60 | 8 | 128 |
| Xiuhua | 14 | 447 | 1 | 10 | 15 | 228.5 |
| New urban area | ||||||
| Songhuajiang | 17 | 230 | 2 | 40 | 19 | 135 |
| Fuchunjiang | 14 | 140 | 1 | 20 | 15 | 80 |
| Xin’anjiang | 22 | 224 | 1 | 20 | 23 | 122 |
| Street Name | Meticulous Design | Small Space | Rich Elevation | Advertise-Ment | Markers | Publicity Window | Greenery | Light-Ing | Pave-ment | Seat | Telephone Booth | News-Stand | Dustbin | Public Toilet | Bicycle Parking | Street Square | Open Space | Ranking |
|---|---|---|---|---|---|---|---|---|---|---|---|---|---|---|---|---|---|---|
| Old urban area | ||||||||||||||||||
| Hongmiao | √ | √ | √ | √ | √ | √ | 6 | |||||||||||
| Chengxian | √ | √ | √ | √ | √ | √ | √ | √ | √ | √ | √ | 3 | ||||||
| Qingdao | √ | √ | √ | √ | 7 | |||||||||||||
| Main urban area | ||||||||||||||||||
| Wufu | √ | √ | √ | √ | √ | √ | √ | √ | 4 | |||||||||
| Pipa | √ | √ | √ | √ | √ | √ | √ | √ | √ | √ | √ | √ | √ | √ | 1 | |||
| Xiuhua | √ | √ | √ | 8 | ||||||||||||||
| New urban area | ||||||||||||||||||
| Songhuajiang | √ | √ | √ | √ | √ | √ | √ | √ | 5 | |||||||||
| Fuchunjiang | √ | √ | √ | √ | √ | √ | √ | √ | √ | √ | √ | √ | √ | 2 | ||||
| Xin’anjiang | √ | √ | √ | √ | √ | √ | √ | √ | √ | √ | √ | √ | √ | √ | 1 | |||
| Street | Morning (08:00–09:00) | Afternoon (13:00–14:00) | Evening (19:00–20:00) | Average | Total |
|---|---|---|---|---|---|
| Old urban area | |||||
| Hongmiao | 197 | 213 | 258 | 223 | 668 |
| Chengxian | 163 | 245 | 201 | 203 | 609 |
| Qingdao | 106 | 162 | 172 | 147 | 440 |
| Main urban area | |||||
| Wufu | 245 | 262 | 243 | 250 | 750 |
| Pipa | 266 | 351 | 392 | 336 | 1009 |
| Xiuhua | 114 | 82 | 159 | 118 | 355 |
| New urban area | |||||
| Songhuajiang | 88 | 85 | 93 | 89 | 266 |
| Fuchunjiang | 141 | 148 | 190 | 160 | 479 |
| Xin’anjiang | 206 | 259 | 184 | 216.33 | 649 |
© 2018 by the authors. Licensee MDPI, Basel, Switzerland. This article is an open access article distributed under the terms and conditions of the Creative Commons Attribution (CC BY) license (http://creativecommons.org/licenses/by/4.0/).
Share and Cite
Xu, X.; Xu, X.; Guan, P.; Ren, Y.; Wang, W.; Xu, N. The Cause and Evolution of Urban Street Vitality under the Time Dimension: Nine Cases of Streets in Nanjing City, China. Sustainability 2018, 10, 2797. https://doi.org/10.3390/su10082797
Xu X, Xu X, Guan P, Ren Y, Wang W, Xu N. The Cause and Evolution of Urban Street Vitality under the Time Dimension: Nine Cases of Streets in Nanjing City, China. Sustainability. 2018; 10(8):2797. https://doi.org/10.3390/su10082797
Chicago/Turabian StyleXu, Xiaodong, Xinhan Xu, Peng Guan, Yu Ren, Wei Wang, and Ning Xu. 2018. "The Cause and Evolution of Urban Street Vitality under the Time Dimension: Nine Cases of Streets in Nanjing City, China" Sustainability 10, no. 8: 2797. https://doi.org/10.3390/su10082797
APA StyleXu, X., Xu, X., Guan, P., Ren, Y., Wang, W., & Xu, N. (2018). The Cause and Evolution of Urban Street Vitality under the Time Dimension: Nine Cases of Streets in Nanjing City, China. Sustainability, 10(8), 2797. https://doi.org/10.3390/su10082797
