Next Article in Journal
Pro-Environmental Behaviour in Student Residences at Rhodes University, South Africa
Next Article in Special Issue
Analysis of the Primary Building Materials in Support of G-SEED Life Cycle Assessment in South Korea
Previous Article in Journal
Green Supplier Selection Based on Consensus Process and Integrating Prioritized Operator and Choquet Integral
Previous Article in Special Issue
Environmental Assessment of Amylase Used as Digestibility Improvement Factor for Intensive Chicken Production in Brazil
 
 
Font Type:
Arial Georgia Verdana
Font Size:
Aa Aa Aa
Line Spacing:
Column Width:
Background:
Article

From Wood to Resin—Identifying Sustainability Levers through Hotspotting Lignin Valorisation Pathways

by
Miriam Lettner
1,*,
Pia Solt
2,
Björn Rößiger
3,
Daniela Pufky-Heinrich
3,
Anna-Stiina Jääskeläinen
4,
Peter Schwarzbauer
5 and
Franziska Hesser
1
1
Wood K Plus (Kompetenzzentrum Holz GmbH), Market Analysis and Innovation Research Team, 1180 Vienna, Austria
2
Wood K Plus (Kompetenzzentrum Holz GmbH), WMT—Wood Materials Technologies, 3430 Tulln, Austria
3
Fraunhofer Center for Chemical-Biotechnological Processes CBP, 06237 Leuna, Germany
4
VTT Technical Research Centre of Finland, 02150 Espoo, Finland
5
Department of Economics and Social Sciences, Institute of Marketing and Innovation, University of Natural Resources and Life Sciences Vienna, 1180 Vienna, Austria
*
Author to whom correspondence should be addressed.
Sustainability 2018, 10(8), 2745; https://doi.org/10.3390/su10082745
Submission received: 15 June 2018 / Revised: 18 July 2018 / Accepted: 26 July 2018 / Published: 3 August 2018
(This article belongs to the Special Issue Environmental Life Cycle Assessment)

Abstract

The concept of bioeconomy supports the diversification strategies of forest-based industries to create new value chains and contribute to economic growth and sustainability. The use of side streams or by-products of the pulp and paper industry (PPI) is seen as a promising approach. In line with this, the idea of substituting fossil-based materials and products is frequently discussed. One such example is the use of lignin as a bio-based alternative for fossil-based phenols. Lignin-based products not only have to fulfil identical technical requirements as their fossil-based counterparts, they are also expected to be more sustainable. This study conducts an integrated hotspot analysis of two lignin valorisation pathways during R&D. The analysis considers the provision of technical kraft lignin as a by-product of a state-of-the-art kraft pulp mill, followed by valorisation, either via solvent fractionation or via base-catalysed depolymerisation (BCD), and the final application of the valorised lignins in phenol formaldehyde resins. As a two-step approach, first of all, the environmental hotspots (e.g., energy-intensive process steps) along the valorisation pathways are identified. Secondly, a variation analysis is carried out, which involves the identification of sustainability levers (e.g., selection of solvents). Identifying those levers at an early research stage helps to support the R&D process towards sustainable product development.

1. Introduction

In recent years, the pulp and paper industry (PPI) has manifested a growing interest in diversifying its product portfolio. One such example is the utilisation of side streams, thereby creating new value chains [1]. Diversification can be achieved through different bioeconomy strategies which support the transition from conventional pulp mills to multi-output biorefineries. According to Bugge et al. (2016) [2], there are three ideal visions of what a bioeconomy contributes: a bio-technology vision, a bio-resource vision, and a bio-ecology vision; it is worth noting that there are no strict boundaries between these visions. Considering the creation of new value chains for the PPI, the bio-resource vision emphasises the conversion of biological raw materials into value-added products, and thus focuses heavily on implementing the concept of bioeconomy in research, development and demonstration activities [2]. The key characteristics of this vision are economic growth and sustainability based on interdisciplinary and interactive science-market networks [2]. In regard to the PPI, which is typically characterised by its high capital intensity, low innovation intensity, and global markets, the main question is how to materialise the transition towards a bioeconomy [3,4]. Furthermore, a study conducted by Toppinen et al. (2017) revealed the need to establish cross-sectoral networks and the great potential of investments in sustainability as part of the PPI’s transition towards bioeconomy [5].
The PPI can play a key role within cross-sectoral collaborations aimed at developing bio-based materials to substitute for conventional products [5]. One promising approach is the use of kraft lignin, a highly cross-linked bio-aromatic macromolecule and, at 20% to 30%, the second-largest component in lignocellulosic biomass [6]. Worldwide, annually, about 50 million tonnes of kraft lignin are almost completely burned for energy generation and the recovery of pulping chemicals. Only 1% to 2% is recovered and used for material applications [7,8]. One issue which limits the material use of lignin is the requirement for constant molecular size, functionality and reactivity [9,10,11]. In recent years, the PPI has been actively developing Public-Private Partnerships (PPP) to foster bio-based innovations [5], e.g., the development of valorisation technologies for lignin, such as solvent fractionation [12] or base-catalysed depolymerisation [13]. As shown in various studies (e.g., [14,15,16,17,18]), lignin could be an interesting alternative to current fossil-based adhesives, especially as a replacement for phenol in phenol formaldehyde (PF) resins. As part of PPP, under the guise of bio-economy, the cross-sectoral collaborations and exchanges should benefit the innovation processes’ drive towards achieving economic growth and sustainability.
Although studies have shown that, in most cases, the use of wood products instead of non-wood-based materials generates lower greenhouse gas (GHG) emissions [19,20], it is important to note that the substitution effect (e.g., lignin as phenolic replacement) is strongly case-dependent [21]. Therefore, supporting sustainable product development in their early stages of research requires an accompanying sustainability assessment. Although there is a broad variety of sustainability assessment tools [22], sustainability assessment can essentially be defined as a tool to help decision-makers to identify which actions enable a society to be more sustainable [23]. With regard to sustainability assessment in early stages of research, it should be underlined that not every available sustainability assessment is suitable for each development phase [24]. One widely accepted and standardised (ISO 14040-series) method for quantifying and assessing the potential environmental impacts of a product or process is the Life Cycle Assessment (LCA). Various studies have been carried out on how to conduct LCAs or other sustainability assessments in research and development (R&D) [25,26,27,28]. LCA during product development is mostly used in two ways: either for quantifying and evaluating the environmental impacts across the entire life cycle of a product, or for assessing the consequences of potential changes in processes/products [26]. However, these two options only support decisions among existing technologies, which means that a product is modified, rather than developed. Furthermore, as stated by Clancy et al. (2010), assumptions made in sustainability assessments are often based on the knowledge and data to which LCA experts have access, instead of the knowledge and experience of experts in product development [26]. This will be encountered in the study at hand.
Conducting LCA in the early stages of technology and product development is often hampered by low data availability, limited knowledge, and continuous product modification [29,30,31]. In many cases, it is not possible to conduct a full LCA; therefore, a streamlined approach can be used [32]. Nevertheless, the early implementation of sustainability assessments is likely to support R&D, and it provides the possibility to identify environmental hotspots [29,33]. This study focuses on providing information on the potential environmental hotspots of lignin valorisation pathways at early stages of research (lab- and/or pilot-scale). The aim is to identify potential sustainability levers for sustainable lignin-based phenol formaldehyde (LPF) resins.

2. Materials and Methods

2.1. Hotspot Analysis

From research to policy-making, the major challenge is to find the levers that have the maximum effect on environmental impacts, thereby fostering eco-innovation. So-called hotspotting, or hotspot analysis, is commonly used to filter and distil information in order to identify and prioritise actions which will have the maximum impact [34]. Hotspots indicate resource-intensive life cycle stages, and thus highlight initial priorities for action [35]. These actions can be identified at different levels: impact category, life-cycle stage, process, or elementary flow [36]. While, for the LCA, it is a prerequisite to have a detailed understanding of all life-cycle stages, the hotspot analysis is designed to help identify key elements regarding potential impacts [37,38]. Hotspot analysis considers life-cycle-based information, and can thus support scientific research, structure market information, and enhance, for example, stakeholder collaborations to address key hotspots during R&D [34]. Furthermore, hotspot analysis requires the clear communication of uncertainties and should be actionable in order to support further progress. In line with this, a common feature of hotspot analysis is the presentation of results in formats accessible to even non-technical audiences [34]. For emerging technologies and products, identifying environmental hotspots and providing information for decision-makers are seen as crucial starting points for sustainable product and process development [29,33]. Studies applying environmental hotspot analysis of various production systems of established technologies or process pathways can be found in the literature (e.g., in agricultural systems [39,40,41], food systems [38,42,43,44], wastewater treatment [45,46], etc.). Besides investigating environmental aspects, approaches considering social aspects, such as sustainability hot spot analysis (SHSA), are also available in the literature [43].
Considering that the hotspot analysis presented in this study is carried out at in early-stage research, integrating social aspects is hindered by the inherent uncertainties regarding the expected results of lab trials or upscaling issues. We thus focus on the environmental hotspots on the following levels: life-cycle stage, process, and elementary flow. A hotspot analysis typically follows a life-cycle thinking approach and is often seen as a precursor to further, in-depth, sustainability analyses (e.g., LCA or Material Input per Service Unit (MIPS) analysis) [34,37]. Unlike LCA, hotspot analysis, as an action-oriented analysis, does not aim to compare products or services, but helps to identify and prioritise actions leading to sustainable development [37]. Nevertheless, in order to provide a starting point for full LCA, this hotspot analysis follows the four-phase approach (i.e., goal and scope, life-cycle inventory, impact assessment and interpretation) of LCA, as given by the ISO 14040 standard series (ISO 14040:2006).

2.2. Goal and Scope

According to Baumann and Tillman (2004), in theory, the required choices and assumptions for an LCA are already set in the goal and scope definition. In practice, LCA is an iterative process, and specifications made at the beginning might need to be changed during the subsequent LCA phases [47]. The goal of the study is to identify and prioritise actions that lead to the sustainable development of LPF resins during R&D. The hotspot analysis follows a cradle-to-gate approach, starting at the production of pulpwood, considering the production of pulp, the separation of lignin, as well as the valorisation of lignin, up to the provision of LPF resins. This study considers two different valorisation processes: solvent fractionation [48] and base-catalysed depolymerisation (BCD) [13]. Additionally, non-valorised kraft lignin is considered for the preparation of LPF resins.
Because the relation between the masses of the considered products and the functions of those products is not clear at this early development stage, the hotspot analysis refers to the provision of 1 t LPF resins, containing either valorised or non-valorised lignin. There are two types of valorised lignin considered: fractionated lignin obtained from solvent fractionation and BCD lignin obtained from the BCD process. All calculations were carried out using MS Excel. For this study, mass-based allocation is applied, because the functional substitution of phenol with lignin is still questionable (i.e., lower technical performance), and, thus, the system expansion does not fit when assessing the valorisation pathways. Allocation by means of economic value is not seen as suitable, because the market price of lignin is unclear. In order to identify the sustainability levers for each valorisation pathway, this study provides different scenarios, further referred to as “cases”.

2.3. Life-Cycle Inventory

In line with life-cycle thinking, the applied hotspot analysis follows a cradle-to-gate approach. The system under study is divided into a background and foreground system. It is assumed that the awareness of environmental hotspots within the background system is useful for providing information, whereas the identification of hotspots occurring in the foreground system can be used directly to support the R&D process. Another difference between the two systems is that the background system typically consists of mature technologies and processes, and thus secondary data (e.g., LCI databases) are used for the assessment, whereas the foreground system is based on primary data. In general, data collection is often considered the most time-consuming stage of an LCA [47]. As the hotspot analysis was conducted during R&D, the data inventory was carried out as a cumulative and iterative process. Background data are based on the literature and on the ecoinvent 3.2 and ProBas databases. Primary data were obtained during lab-scale and pilot-scale research of the valorisation technologies and during product preparation. In the case of primary data collection, in addition to numerical data, descriptive data were also collected, such as any potential upscaling-effects and chemical recovery issues. The system under study is shown in Figure 1.
The background system in this study consists of two systems: S1 Forestry and S2 Pulp Mill. The background system can be further divided into different process steps, such as silvicultural and logging operations within S1 Forestry, and the fibre and recovery line and lignin recovery within S2 Pulp Mill. S1 Forestry involves the procurement of spruce and pine wood in the forest and its transport to the pulp mill. S2 Pulp Mill consists of the production of kraft lignin as a by-product of pulp production, using a state-of-the-art kraft pulp mill. The reference flow between the background and the foreground systems is the provision of kraft lignin for further processing. The foreground system consists of the two valorisation systems—Solvent Fractionation and BCD—as well as the preparation of the LPF resins. Any other possible exchanges between the background and the foreground system, such as energy, are excluded in this study.

2.4. Impact Assessment

This phase consists of assigning the inventory data to their specific impact category (ISO 14040:2006). Considering hotspot analysis is a simplified or streamlined approach to LCA, it is appropriate to use proxy indicators, such as the cumulative non-renewable energy use (NREU) [49,50,51]. In addition to the fossil energy use, the global warming potential (GWP) within a time horizon of 100 years is assessed. The GWP is seen as a key issue when assessing the environmental impact of wood products [52,53,54]. The assessment treats the biogenic carbon as neutral. It is important that in-depth analysis should also include a broader sustainability assessment, for example, by additionally considering the water footprint as an important aspect of obtaining wood, pulp and wood-based products [55,56,57].

2.5. Interpretation

The last phase of LCA, interpretation combines the findings from the inventory analysis and impact assessment and derives the results in line with the goal and scope definition (ISO 14040:2006). This phase also involves testing the robustness of the data and results, for example, through a completeness check, uncertainty analysis, or data quality assessment [47]. In this study, interpretation is an integrated part of the assessment and is carried out as variation analysis by considering the effect of alternative cases [47]. After variation analysis, it might be necessary to extend the goal or scope of the study. One possible approach to variation analysis takes into account the large differences in energy generation between different countries [47,58]. While for the hotspot analysis, we assumed an energy mix containing >50% fossil-energy (UCTE electricity mix, Probas), within the variation analysis, we show the consequences of changing the energy mix towards a >50% non-fossil energy (Swedish electricity mix, Probas).

3. Results

The interpretation of results is a particularly critical part of LCA at early stages of research. Therefore, the applied hotspot analysis was carried out as a two-step-approach, in order to (a) improve transparency, and (b) provide the possibility of adapting each system independently, if necessary. In the first step, hereafter referred to as “hotspotting”, the main contributors to the impact categories of background systems, (S1 Forestry and S2 Pulp Mill) were identified, followed by a similar identification for the foreground systems (S3 Valorisation and S4 Product). In the second step, the variation analysis was carried out by providing different cases in order to show the influence of hotspots on the total environmental impact (i.e., sustainability levers). A sustainability lever is further defined as an action that has an impact on the identified hotspot, and, thus, an impact on the considered impact category. Therefore, the variation analysis focuses on the foreground system, which is typically under the control of the decision-makers in the R&D process. The assessment of S1 and S2 as mature systems is based on secondary data. The assessment of S3 and S4 was carried out in line with the R&D advancements, based on primary data from lab- and pilot-scale investigations.

3.1. Hotspotting the Background System

Although studies are available on the environmental impacts of cultivating and procuring wood and of producing pulp (e.g., [59,60,61,62,63,64,65,66,67]); data availability is limited on the environmental impacts of obtaining lignin and it is heavily case-dependent (e.g., [68,69]). Therefore, for this study, a simplified kraft pulp mill model was built based on the Best Available Techniques (BAT) Reference Document for the Production of Pulp, Paper and Board [70]. It is assumed that the pulp mill is located in Northern Europe, utilising spruce and pine. In terms of forest operations, the study by Gonzalez-Garcia et al. (2009) [59] is well suited to the presented model.
The model considers an annual input of 1.5 million tonnes of pulpwood, an annual production of 600,000 tonnes of pulp, and a lignin separation rate of 15%. As shown in Figure 1, the pulp mill is divided into the fibre line, the recovery line and the lignin recovery process. As a multi-output process, this system is typically challenged by the required allocation procedures. Following a mass-based allocation, a total of 10.5% of the GWP and NREU from the fibre and recovery line, as well as 100% of the lignin recovery, are assigned to the lignin. The production of one tonne of pulp requires energy in the form of heat and power. The heat demand is 5.5 GJ/t in the fibre and 5.5 GJ/t in the recovery line; the power demand is 464 kWh/t within the fibre and 147 kWh/t in the recovery line. Additionally, heat is generated within the pulp mill by the combustion of black liquor and bark. The pulp mill is considered to be energy self-sufficient, with an energy surplus of 694 kWh/t (52.1% conversion ratio from heat to power). The assessment of the pulp mill also considers the use of auxiliary fuels in the lime kiln. In this model, natural gas use is assumed to be 1.3 GJ/t pulp. An NREU of 1443 MJ/t pulp is calculated by considering the fibre and recovery line. Moreover, the energy required for the separation of lignin has to be taken into account. The considered LignoBoost process for lignin recovery requires heat (31.5 MJ/kg extracted lignin) and power (0.01 kWh/kg extracted) [71]. The model assumes that the energy demand of the LignoBoost process can be covered by the energy surplus of the pulp mill. Following a mass-based allocation, the total NREU for one tonne of kraft lignin is calculated to be 6788 MJ/t.
The assessment of the GWP considers the use of natural gas in the lime kiln, the main chemical inputs, and the direct emissions (CO2, CH4 and N2O) of the pulp mill. Due the typically high recovery rate of the cooking chemicals (>99%), these chemicals were excluded from the assessment. The total GWP is calculated to be 238 kg CO2-eq/t pulp, considering the fibre and the recovery line. Additionally, the required inputs of CO2, H2SO4 and NaOH for the LignoBoost are considered. In our model, there is a CO2 capture of the CO2 emissions from the pulp mill for the LignoBoost process, thus reducing the direct CO2 emissions of the pulp mill. The total GWP is calculated to be 570 kg CO2-eq/t lignin. Based on the model, the potential hotspots and related environmental impacts of the background system are given in Table 1.

3.2. Hotspotting the Foreground System

The foreground system contains the two valorisation technologies: Solvent fractionation and BCD. Non-valorised lignin will be considered as part of S4 Products in order to provide a comparison. In contrast to the background system, the foreground system is based on primary data from lab-scale and pilot-scale trials.

3.2.1. Hotspotting the Valorisation of Lignin

The first valorisation considered is the solvent fractionation of kraft lignin. Applications of lignin are often hampered by the material’s heterogeneity [9,72]. In order to realise the potential of lignin, solvent fractionation is seen as one potential technique to provide constant molecular size, functionality, and reactivity [73,74,75]. The lignin is added to aqueous acetone (60%-vol.) and mixed at room temperature. This is followed by filtration to recover the insoluble lignin (INS) fraction, which is then dried under vacuum (40 °C). Water is added to the lignin-containing filtrate and mixed to a solvent concentration of 50%-vol. The second fraction is then filtrated and dried as precipitated lignin (PREC) fractionation. The third fraction, the soluble lignin (SOL), is then recovered from the second filtrate through evaporation (40 °C) under vacuum [12]. Further details on the procedure and technical data for obtaining fractionated lignin as considered in this study are described in detail by Jääskeläinen et al. (2017) [12]. The hotspot analysis of the solvent fractionation assumes a lignin feed of 50,000 t of dry matter (from S2). Furthermore, a recovery rate of 97.3% of the used solvents is assumed, leading to a solvent make-up of 0.13 t/t lignin and a water input of 1.95 t/t lignin. The energy demands are assumed to be 0.5 MWh/t lignin and 1.55 t steam/t lignin. The inventory for the solvent fractionation can be found in Table 2.
The second valorisation considered is the BCD. The purpose of this promising technology is to transfer lignin catalytically into valuable products. During this process, the lignin is cleaved into BCD oil (phenolic monomers and dimers), BCD oligomers (phenolic oligomers), and BCD by-products (organic acids, alcohols and gases) [76]. The process is carried out in a dilute alkaline solution at temperatures of between 250 and 350 °C, at high pressures (150–300 bar), and with a short residence time (5–15 min.). In order to avoid re-polymerisation, the BCD is preferably performed in a continuous flow tube reactor [76]. A detailed description of the BCD process considered in this study can be found in Rößiger et al. (2017) [13]. The inventory data of the BCD can be found in Table 3. A total input of 750 t kraft lignin from S2 was assumed. The BCD provides two types of valorised lignin: the BCD oil, with an assumed output of 108 t, and the BCD oligomers (dried), with an assumed output of 289 t. The hotspotting considered the recovery of the used solvent (methyl isobutyl ketone MIBK) and the used water. While the recovery of the solvent was applied in the pilot-scale trials, water recovery was not, so the electricity demand was therefore estimated. The recovery rate of the MIBK is assumed to be 96.5%.
The results from the hotspot analysis can be found in Figure 2; the total GWP and NREU for the fractionated and BCD lignin are presented in Table 4. In both cases, the required energy inputs contribute greatly to the GWP and the NREU of the valorised lignin. In both cases, the solvents (acetone and MIBK) contribute to the environmental impact, especially in terms of the NREU. Although the hotspot analysis for the solvent fractionation and the BCD appear to be comparable, when analysing the GWP and NREU, as shown in Table 4, it can be seen that the BCD lignin showed almost 10 times higher NREU per t valorised lignin and 12 times higher GWP than the fractionated lignin. The GWP and the NREU of the BCD lignin are strongly influenced by the high amounts of electricity assumed. The estimated water recovery within the BCD accounts for almost 60% of the total environmental impact. Nevertheless, considering the value chain from kraft lignin to valorised lignin in terms of the solvent fractionation, the NREU of the lignin increased by 360%, and, in terms of the GWP, by 260%. Comparing the valorised lignin with its conventional counterpart, fractionated lignin, a 2.8 times lower NREU and a 1.3 times lower GWP than phenol is shown. On the other hand, the BCD lignin shows a 9 times higher GWP and a 3.6 times higher NREU than conventional phenol. As stated above, due to different scales and performance, the comparison is only based on masses.

3.2.2. Hotspotting the Preparation of the LPF Resins

For the hotspot analysis, four different valorisation pathways, shown in Table 5, are further considered; in addition to the fractionated (LPF 1) and the BCD lignin (LPF 2 and LPF 3), non-valorised lignin (LPF 4) is also considered. In terms of the BCD lignin, as well as the 50% substitution of phenol, LPF 3 shows that 70% of the phenol was substituted with BCD lignin. Technical data and detailed inventories, as well as a description of the properties of the obtained LPF resins, can be found in Solt et al. (2018) [16]. The hotspot analysis was carried out for the preparation of 300 g LPF resins with a solid content of 44% The input (formaldehyde, phenol, water, NaOH, lignin) is used for the resin synthesis according to an industrially applied recipe for Prefere Resins Oy (Hamina, Finland). Compared to fractionated lignins and the non-valorised lignin, it is assumed that the BCD lignin requires 25% less energy input because of its shorter curing time. The results from the hotspot analysis are shown in Figure 2.
The hotspot analysis, as presented in Table 6, revealed that for all four valorisation pathways, both the production of the material inputs and the required energy can contribute greatly to the total GWP and NREU. Considering LPF 2 and LPF 3, both containing BCD lignin, more than 60% of the environmental impact of 1 t LPF resin is caused by the lignin itself. This is mainly attributed to the high energy inputs required for the BCD itself. Considering the fractionated lignin in LPF 1 and the non-valorised lignin in LPF 4, in both cases, the electricity input required for the preparation of the resins contributes significantly to the environmental impact.
Based on a mass comparison considering the cases LPF 1, LPF 2 and LPF 4, the LPF resins show lower environmental impacts compared with conventional PF resins. In terms of BCD lignin, LPF 3 shows a slightly higher GWP than the conventional resins, which can be traced back to the valorisation technology and the related high energy input. In further investigations, the technical performance of the LPF resins should be considered. Solt et al. (2018) [16], for instance, showed that LPF resins containing BCD lignin can even perform better in terms of tensile shear strength than conventional ones. Furthermore, as shown in Figure 2, the hotspot analysis reveals that the NREU and GWP are also influenced by the use of formaldehyde as an additional fossil component of LPF resins.

3.3. Variation Analysis

As stated in the Materials and Methods section, the variation analysis is carried out by considering various cases. By revealing the effects of processing adaptations, and also the bandwidths thereof, the hotspot analysis supports the subsequent R&D process towards sustainable product development. The variation analysis is aimed at identifying potential sustainability levers, which have an impact on the identified hotspot, and thus have an impact on the environmental performance of LPF resins.

3.3.1. Sustainability Levers in the Foreground System S3 Valorisation

The variation analysis considers the effect of a change of energy from a mainly fossil-driven (UCTE) to a mainly non-fossil-driven (Swedish) electricity mix on the potential environmental impacts of valorised lignin and LPF resins. The cases considering the Swedish energy input are hereafter indicated by the letter “e”. In terms of the solvent fractionation, a change of the energy source was assumed in Case SFe, as shown in Table 7. The effect of this on the LPF resins is discussed in more detail in Section 3.3.2.
By changing the energy source, the NREU and the GWP of fractionated lignin can be reduced by about 5% and 15%, respectively. Compared to fossil-based phenols, this would result in the environmental impacts being reduced by almost 60%. It should be highlighted that this study only considers the lignin itself as a connection point between the background and the foreground systems. For future research, it would be interesting to study the (partial) use of the pulp mill’s energy surplus as an energy source for the solvent fractionation.
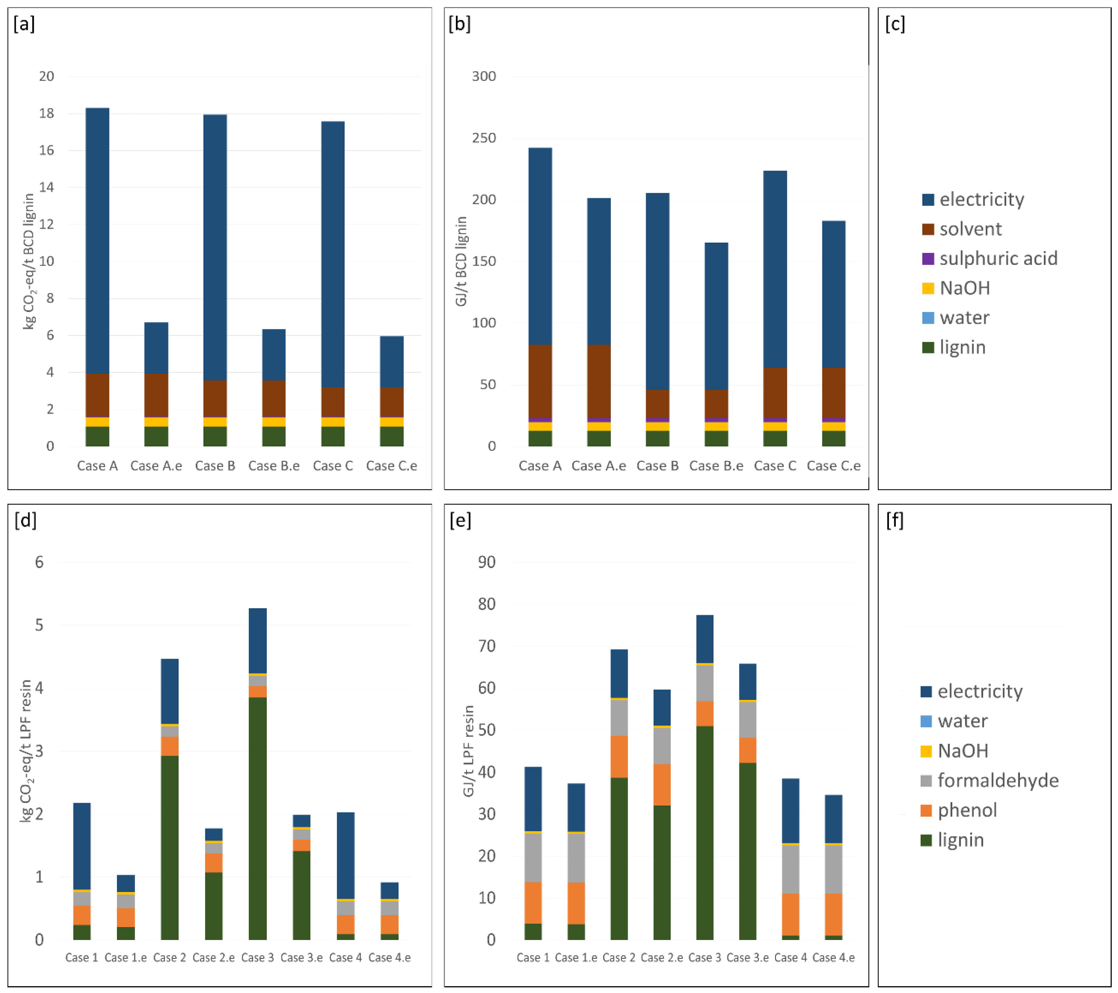
With regard to BCD lignin, the hotspotting revealed that the energy demand for the water recovery is the main contributor to the total GWP and NREU. The cases considered as part of the variation analysis are described in Table 8. In addition to the change of the energy source, a change of the solvent was also assumed. Besides MIBK, DCM or EtOAc could also be used as the solvent for extracting different phenolic monomers or oligomers from acidified/filtered BCD reactor water [76,77]. These results are further shown in Figure 3.
For both valorisation technologies, the environmental impacts are heavily influenced by the reduction in energy input and/or the change of energy sources. In the case of the BCD, we were able to observe that the assumptions made in the variation analysis significantly influence the results, especially in terms of the GWP. As shown in Figure 3a, a change of solvents (Cases A, B and C) would only have a small influence on the GWP. While a change of the solvent itself does not seem to be a sustainability lever, the recovery rate might be. Related technical changes, e.g., higher energy demand for the recovery process, need to be considered in further in-depth analyses. Due to the change of the energy source for the electricity required in the process, the GWP of 1 t BCD lignin could be reduced by almost 70%.

3.3.2. Sustainability Levers in the Foreground System S4 Product

In terms of LPR resins, a change of energy sources was considered for the cases described in Table 9.
As shown in Figure 3, in all cases, due to the change of energy source towards a lower fossil-based energy mix, the GWP of the LPF resins could be reduced. Just how important the consideration of energy source is can be seen when comparing the best case of BCD lignin (Case 2e and Case 3e) with the worst case of fractionated lignin (Case 1). While, during the hotspot analysis, it was shown that the LPF 1 performs better in terms of environmental impacts, through variation analysis, it is now possible to show that the BCD lignin-based LPF resins can perform better, depending on the energy source. A reduction of GWP by almost 60% is obtained when comparing Case 2e with Case 2 and Case 3e with Case 3. In terms of Case 1, considering the fractionated lignin, the GWP can be further reduced by 50% and is thus comparable with the best case of non-valorised LPF resins (Case 4). Assuming that the performance of fractionated lignin is better than that of the non-valorised lignin, it can be concluded that under the given assumptions, although the valorisation increases the environmental impacts of lignin, the LPF resins perform better compared to their conventional counterparts (PF resins). Table 10 summarises the NREU and GWP for all valorisation pathways based on the different cases in comparison with conventional LPF resins.

4. Discussion and Conclusions

This study applies a hotspot analysis as environmental assessment during the R&D of lignin-based phenol formaldehyde (LPF) resins. The hotspot analysis follows a life-cycle-based approach, from cradle (forestry) to factory gate (preparation of LPF resins). The applied hotspot analysis is based on a two-step approach: Firstly, the valorisation pathways are assessed to find the biggest contributor (i.e., hotspot) of the considered impact categories’ global warming potential (GWP) and non-renewable energy use (NREU). In the next step, potential sustainability levers are identified as part of the variation analysis. The information derived from the hotspot analysis can be directly integrated into the ongoing R&D to support sustainable process and product development.
Conducting sustainability assessment during R&D is rendered challenging by low data availability, limited knowledge, and continuous product modification [29,30,31]. Potential up-scaling effects, in particular, can significantly influence the results of such assessments [78]. This issue, as well as others, was taken into account as early as the data collection stage for the LCA by considering processes that are not carried out in lab- or pilot-scale trials, but will be carried out in industrial-scale applications, such as the considered recovery processes. Additionally, potential modifications, like a change of solvents, were considered. Nevertheless, it should be noted that at this scale of assessment, the comparison is based on masses, rather than the function of the product. Therefore, the comparison between LPF and PF resins should be seen as a starting point for further investigations, keeping in mind that the different scales and functions should be considered as soon as reliable information is available. The presented streamlined assessment considered the provision of one t LPF resins for further applications, such as adhesives for plywood. Further assessments should consider the effects of a change from conventional to LPF resins in further processing (e.g., panel production). Additionally, the end-of-life phase of panels containing LPF resins should be integrated in a full LCA.
Under the given assumptions, the assessment of one t kraft lignin revealed that lignin can be seen as favourable in terms of GWP and NREU compared with fossil-oil-based phenols. There are two main challenges identified when assessing lignin, the first of which is the allocation within the pulp mill. In this study, a mass-based allocation was considered to be most suitable, as the direct substitution of phenol by lignin is questionable (i.e., it has a lower technical performance), and thus the system expansion does not fit when assessing the valorisation pathways. Culbertson et al. (2016) [69], for instance, conducted a life-cycle assessment for a pulp mill with an annual production of 440,000 t pulp, also applying a mass-based allocation, leading to 550 to 702 kg CO2-eq/t lignin. Although the assumptions of the literature case differ from the case presented in this study, the results are comparable to the results derived from the conducted hotspot analysis (570 kg CO2-eq). In any case, it is worth highlighting that the applied allocation method significantly influences the results [79]. Considering the emerging markets of lignin [80], applying allocation based on economic aspects might be of interest for future in-depth analysis. Additionally, as briefly described for the background system, the separation of lignin for material use directly influences the energy balance of the pulp mill. As lignin is currently mostly used to provide energy for pulp mills, the extraction of lignin from black liquor influences the eco-efficiency of a kraft pulp mill [81]. In this study, a 15% extraction of lignin was considered, assuming that the pulp mill was still energy self-sufficient. Additionally, integrating the potential trade-offs regarding the energy-balance in terms of environmental and economic aspects was beyond the scope of this study. Still, when discussing the use of lignin for material applications, potential stakeholders should be aware of not only the economic, but also the environmental trade-offs within the pulp mills linked to lignin separation [81].
Considering that technical lignin has a lower reactivity to formaldehyde than phenol does, this study further considers two possible valorisation technologies and their effects on the environmental performance of lignin. For both technologies, by considering the different cases, it was possible to show the sustainability window of opportunity for further process and product development. In order to benefit from the potential of lignin as a substitute for fossil-based materials such as phenol, in addition to the technological and economic aspects of valorisation, related environmental aspects should be considered. The presented hotspot analysis revealed that special attention should be paid to the high amounts of energy needed for the required valorisation technologies. This issue should not only be considered because of the related environmental aspects, but it might also be of great interest when discussing the economic feasibility of using lignin. As briefly described in the results, one opportunity for further improving the environmental performance of valorised lignin is the use of the steam and the energy surplus from the pulp mill. In the variation analysis, it was possible to show the bandwidths of LPF resins in comparison with conventional PF resins. The streamlined assessment showed that solely assuming that a bio-based product is automatically more sustainable than a fossil-based one can lead to incorrect expectations. Especially in the context of the emerging knowledge-based bioeconomy, an awareness of these issues can help steer the strategic orientation towards achieving sustainability goals. It is thus of the utmost importance to accompany R&D processes with sustainability assessment to systematically enhance environmental performance in line with the technical performance of the developed bio-based products.

Author Contributions

M.L., F.H. and P.B. conceived and designed the research process; M.L. and F.H. analysed the data and conducted the hotspot analysis; A.-S.J. provided data and information related to the solvent fractionation process. She also revised the manuscript in the parts related to this process. B.R. and D.P.-H. provided data and information related to the BCD process. They also revised the manuscript in the parts related to this process. P.S. provided data and information related to the preparation of the resins. She also revised the manuscript in the parts related to this process.

Funding

This work was partially funded by the SmartLi project under Horizon 2020/BBI-JU, the Austrian research promotion agency (FFG) under the scope of the COMET programme (wood comet 844608), BMVIT and the IEA Bioenergy Task 42— Biorefinery for future Bioeconomy.

Conflicts of Interest

Authors declare no conflict of interest.

References

  1. Mayr, M.; Eckhart, R.; Sumerskiy, L.; Potthast, A.; Rosenau, T.; Schöggl, J.-P.; Posch, A.; Timmel, T. Flippr—An industrial research project in Austria. Tappi J. 2015, 14, 209–213. [Google Scholar]
  2. Bugge, M.M.; Hansen, T.; Klitkou, A. What is the bioeconomy? A review of the literature. Sustainability 2016, 8, 691. [Google Scholar] [CrossRef]
  3. Pätäri, S.; Kyläheiko, K.; Sandström, J. Opening up new strategic options in the pulp and paper industry: Case biorefineries. For. Policy Econ. 2011, 13, 456–464. [Google Scholar] [CrossRef]
  4. Hetemäki, L.; Hoen, H.; Schwarzbauer, P. Conclusions and policy implications. In Future of the European Forest Based Sector: Structural Changes towards Bioeconomy; What Science Can Tell Us; Hetemäki, L., Ed.; EFI: Joensuu, Finland, 2014; Volume 6, pp. 95–108. [Google Scholar]
  5. Toppinen, A.; Patari, S.; Tuppura, A.; Jantunen, A. The European pulp and paper industry in transition to a bio-economy: A Delphi study. Futures 2017, 88, 1–14. [Google Scholar] [CrossRef]
  6. Ragauskas, A.J.; Beckham, G.T.; Biddy, M.J.; Chandra, R.; Chen, F.; Davis, M.F.; Davison, B.H.; Dixon, R.A.; Gilna, P.; Keller, M.; et al. Lignin valorization: Improving lignin processing in the biorefinery. Science 2014, 344, 1246843. [Google Scholar] [CrossRef] [PubMed]
  7. Gellerstedt, G.; Tomani, P.; Axegård, P.; Backlund, B. CHAPTER 8 Lignin Recovery and Lignin-Based Products. In Integrated Forest Biorefineries: Challenges and Opportunities; The Royal Society of Chemistry: London, UK, 2013; pp. 180–210. [Google Scholar]
  8. Gandini, A.; Belgacem, M.N. Chapter 11—Lignins as Components of Macromolecular Materials. In Monomers, Polymers and Composites from Renewable Resources; Elsevier: Amsterdam, The Netherlands, 2008; pp. 243–271. [Google Scholar]
  9. Gellerstedt, G. Softwood kraft lignin: Raw material for the future. Ind. Crops Prod. 2015, 77, 845–854. [Google Scholar] [CrossRef]
  10. Norberg, I.; Nordström, Y.; Drougge, R.; Gellerstedt, G.; Sjöholm, E. A new method for stabilizing softwood kraft lignin fibers for carbon fiber production. J. Appl. Polym. Sci. 2013, 128, 3824–3830. [Google Scholar] [CrossRef]
  11. Teng, N.-Y.; Dallmeyer, I.; Kadla, J.F. Effect of Softwood Kraft Lignin Fractionation on the Dispersion of Multiwalled Carbon Nanotubes. Ind. Eng. Chem. Res. 2013, 52, 6311–6317. [Google Scholar] [CrossRef]
  12. Jääskeläinen, A.S.; Liitiä, T.; Mikkelson, A.; Tamminen, T. Aqueous organic solvent fractionation as means to improve lignin homogeneity and purity. Ind. Crops Prod. 2017, 103 (Suppl. C), 51–58. [Google Scholar] [CrossRef]
  13. Rößiger, B.; Röver, R.; Unkelbach, G.; Pufky-Heinrich, D. Production of Bio-Phenols for Industrial Application: Scale-Up of the Base-Catalyzed Depolymerization of Lignin. Green Sustain. Chem. 2017, 7, 193–202. [Google Scholar] [CrossRef]
  14. Calve, L.R.; Shields, J.A.; Blanchette, L.; Frechet, J.M.J. A practical lignin-based adhesive for waferboard/OSB. For. Prod. J. 1988, 38, 15–20. [Google Scholar]
  15. Ghorbani, M.; Liebner, F.; van Herwijnen, H.W.G.; Solt, P.; Konnerth, J. Ligneous resole adhesives for exterior-grade plywood. Eur. J. Wood Prod. 2018, 76, 251–258. [Google Scholar] [CrossRef]
  16. Solt, P.; Jääskeläinen, A.S.; Lingenfelter, P.; Konnerth, J.; Van Herwijnen, H.W.G. Impact of molecular weight of kraft-lignin on adhesives performance of lignin based phenol formaldehyde resins. For. Prod. J. 2018, in press. [Google Scholar]
  17. Kalami, S.; Arefmanesh, M.; Master, E.; Nejad, M. Replacing 100% of phenol in phenolic adhesive formulations with lignin. J. Appl. Polym. Sci. 2017, 134. [Google Scholar] [CrossRef]
  18. Olivares, M.; Aceituno, H.; Neiman, G.; Rivera, E.; Sellers, T. Lignin-modified phenolic adhesives for bonding radiata pine plywood. For. Prod. J. 1995, 45, 63–67. [Google Scholar]
  19. Sathre, R.; O’Connor, J. Meta-analysis of greenhouse gas displacement factors of wood product substitution. Environ. Sci. Policy 2010, 13, 104–114. [Google Scholar] [CrossRef]
  20. Sathre, R.; O’Connor, J. A Synthesis of Research on Wood Products and Greenhouse Gas Impacts, 1st ed.; Technical Reports; FPInnovations: Vancouver, BC, Canada, 2008. [Google Scholar]
  21. Lindner, M.; Hanewinkel, M.; Nabuurs, G. How can a forest-based bioeconomy contribute to climate change adaptation and mitigation. In What Science Can Tell Us—Towards a Sustainable European Forest-Based Bioeconomy—Assessment and the Way Forward; Winkel, G., Ed.; EFI: Joensuu, Finland, 2017. [Google Scholar]
  22. Ness, B.; Urbel-Piirsalu, E.; Anderberg, S.; Olsson, L. Categorising tools for sustainability assessment. Ecol. Econ. 2007, 60, 498–508. [Google Scholar] [CrossRef]
  23. Devuyst, D.; Hens, L.; De Lannoy, W. How Green Is the City? Sustainability Assessment and the Management of Urban Environments; Columbia University Press: New York, NY, USA, 2001. [Google Scholar]
  24. Chebaeva, N.; Lettner, M.; Stern, T. Guiding sustainability assessment in public-private research projects by introducing the concept of Sustainability Assessment Levels. 2018; submitted manuscript. [Google Scholar]
  25. Askham, C.; Gade, A.L.; Hanssen, O.J. Combining REACH, environmental and economic performance indicators for strategic sustainable product development. J. Clean. Prod. 2012, 35, 71–78. [Google Scholar] [CrossRef]
  26. Clancy, G.; Fröling, M.; Peters, G.; Svanström, M. Environmental challenges when developing renewable materials to replace non-renewable materials—guidance from LCA studies. In Proceedings of the 9th International Conference on Ecobalance, Tokyo, Japan, 9–12 November 2010. [Google Scholar]
  27. Fleischer, G.; Gerner, K.; Kunst, H.; Lichtenvort, K.; Rebitzer, G. A semi-quantitative method for the impact assessment of emissions within a simplified life cycle assessment. Int. J. Life Cycle Assess. 2001, 6, 149. [Google Scholar] [CrossRef]
  28. Hesser, F.; Wohner, B.; Meints, T.; Stern, T.; Windsperger, A. Integration of LCA in R&D by applying the concept of payback period: Case study of a modified multilayer wood parquet. Int. J. Life Cycle Assess. 2017, 22, 307–316. [Google Scholar]
  29. Hetherington, A.C.; Borrion, A.L.; Griffiths, O.G.; McManus, M.C. Use of LCA as a development tool within early research: Challenges and issues across different sectors. Int. J. Life Cycle Assess. 2013, 19, 130–143. [Google Scholar] [CrossRef]
  30. Hospido, A.; Davis, J.; Berlin, J.; Sonesson, U. A review of methodological issues affecting LCA of novel food products. Int. J. Life Cycle Assess. 2009, 15, 44–52. [Google Scholar] [CrossRef]
  31. Kunnari, E.; Valkama, J.; Keskinen, M.; Mansikkamäki, P. Environmental evaluation of new technology: Printed electronics case study. J. Clean. Prod. 2009, 17, 791–799. [Google Scholar] [CrossRef]
  32. Todd, J.A.; Curran, M.A. Streamlined Life-Cycle Assessment: A Final Report from the SETAC North America Streamline LCA Workgroup; SETAC: Pensacola, FL, USA, 1999. [Google Scholar]
  33. Sandin, G.; Clancy, G.; Heimersson, S.; Peters, G.M.; Svanström, M.; ten Hoeve, M. Making the most of LCA in technical inter-organisational R&D projects. J. Clean. Prod. 2014, 70, 97–104. [Google Scholar]
  34. Life Cycle Initiative. Hotspots Analysis: Mapping in Existing Methodologies, Tools and Guidance and Initial Recommendations for the Development of Global Guidance. 2014. Available online: http://www.lifecycleinitiative.org/wp-content/uploads/2014/12/UNEP-Hotspots-Mapping-Project-Final-Report-Phase-1.pdf (accessed on 6 July 2018).
  35. Wallbaum, H.; Kummer, N. Entwicklung Einer Hot Spot-Analyse zur Identifizierung der Resourcenintensitäten in Produktketten und Ihre Exemplarische Anwendung; GmbH: Wuppertal, Germany, 2006. [Google Scholar]
  36. Zampori, L.; Saouter, E.; Castellani, V.; Schau, E.; Cristobal, J.; Sala, S. Guide for Interpreting Life Cycle Assessment Result; Publications Office of the European Union: Luxembourg, 2016. [Google Scholar]
  37. United Nations Environment Programme. Hotspots Analysis: An overarching Methodological Framework and Guidance for Product and Sector Level Application. 2017. Available online: http://curc3r.org/wp-content/uploads/2017/08/Hotspots-Publication.pdf (accessed on 6 July 2018).
  38. Castellani, V.; Sala, S.; Benini, L. Hotspots analysis and critical interpretation of food life cycle assessment studies for selecting eco-innovation options and for policy support. J. Clean. Prod. 2017, 140, 556–568. [Google Scholar] [CrossRef]
  39. Piringer, G.; Bauer, A.; Gronauer, A.; Saylor, M.; Stampfel, A.; Kral, I. Environmental hot spot analysis in agricultural life-cycle assessments—Three case studies. J. Central Eur. Agric. 2016, 17, 477–492. [Google Scholar] [CrossRef]
  40. Taki, M.; Soheili-Fard, F.; Rohani, A.; Chen, G.; Yildizhan, H. Life cycle assessment to compare the environmental impacts of different wheat production systems. J. Clean. Prod. 2018, 197, 195–207. [Google Scholar] [CrossRef]
  41. Corona, A.; Parajuli, R.; Ambye-Jensen, M.; Hauschild, M.Z.; Birkved, M. Environmental screening of potential biomass for green biorefinery conversion. J. Clean. Prod. 2018, 189, 344–357. [Google Scholar] [CrossRef]
  42. Beretta, C.; Stucki, M.; Hellweg, S. Environmental Impacts and Hotspots of Food Losses: Value Chain Analysis of Swiss Food Consumption. Environ. Sci. Technol. 2017, 51, 11165–11173. [Google Scholar] [CrossRef] [PubMed]
  43. Bienge, K.; Geibler, J.v.; Lettenmeier, M.; Biermann, B.; Adria, O.; Kuhndt, M. Sustainability Hot Spot Analysis: A Streamlined Life Cycle Assessment towards Sustainable Food Chains; BOKU—University of Natural Resources and Applied Life Sciences: Vienna, Austria, 2010; pp. 1822–1832. [Google Scholar]
  44. Pelton, R.E.O.; Smith, T.M. Hotspot Scenario Analysis. J. Ind. Ecol. 2015, 19, 427–440. [Google Scholar] [CrossRef]
  45. Gourdet, C.; Girault, R.; Berthault, S.; Richard, M.; Tosoni, J.; Pradel, M. In quest of environmental hotspots of sewage sludge treatment combining anaerobic digestion and mechanical dewatering: A life cycle assessment approach. J. Clean. Prod. 2017, 143, 1123–1136. [Google Scholar] [CrossRef]
  46. Woon, K.S.; Lo, I.M.C. Analyzing environmental hotspots of proposed landfill extension and advanced incineration facility in Hong Kong using life cycle assessment. J. Clean. Prod. 2014, 75, 64–74. [Google Scholar] [CrossRef]
  47. Baumann, H.; Tillman, A.M. The Hitch Hiker’s Guide to LCA: An Orientation in Life Cycle Assessment Methodology and Application; Studentliterattur: Lund, Sweden, 2004. [Google Scholar]
  48. Jääskeläinen, A.S.; Willberg-Keyrilainen, P.; Liitia, T.; Tamminen, T. Carbohydrate-free and highly soluble softwood kraft lignin fractions by aqueous acetone evaporation fractionation. Nord. Pulp Pap. Res. J. 2017, 32, 485–492. [Google Scholar] [CrossRef]
  49. Scipioni, A.; Niero, M.; Mazzi, A.; Manzardo, A.; Piubello, S. Significance of the use of non-renewable fossil CED as proxy indicator for screening LCA in the beverage packaging sector. Int. J. Life Cycle Assess. 2013, 18, 673–682. [Google Scholar] [CrossRef]
  50. Niero, M.; Di Felice, F.; Ren, J.; Manzardo, A.; Scipioni, A. How can a life cycle inventory parametric model streamline life cycle assessment in the wooden pallet sector? Int. J. Life Cycle Assess. 2014, 19, 901–918. [Google Scholar] [CrossRef]
  51. Huijbregts, M.A.J.; Rombouts, L.J.A.; Hellweg, S.; Frischknecht, R.; Hendriks, A.J.; van de Meent, D.; Ragas, A.M.J.; Reijnders, L.; Struijs, J. Is Cumulative Fossil Energy Demand a Useful Indicator for the Environmental Performance of Products? Environ. Sci. Technol. 2006, 40, 641–648. [Google Scholar] [CrossRef] [PubMed]
  52. Hesser, F. Environmental advantage by choice: Ex-ante LCA for a new Kraft pulp fibre reinforced polypropylene composite in comparison to reference materials. Compos. Part B Eng. 2015, 79, 197–203. [Google Scholar] [CrossRef]
  53. González-García, S.; Gasol, C.M.; Lozano, R.G.; Moreira, M.T.; Gabarrell, X.; Rieradevall i Pons, J.; Feijoo, G. Assessing the global warming potential of wooden products from the furniture sector to improve their ecodesign. Sci. Total Environ. 2011, 410–411, 16–25. [Google Scholar] [CrossRef] [PubMed]
  54. Roes, A.L.; Patel, M.K. Ex-ante environmental assessments of novel technologies—Improved caprolactam catalysis and hydrogen storage. J. Clean. Prod. 2011, 19, 1659–1667. [Google Scholar] [CrossRef]
  55. Schyns, J.F.; Booij, M.J.; Hoekstra, A.Y. The water footprint of wood for lumber, pulp, paper, fuel and firewood. Adv. Water Resour. 2017, 107, 490–501. [Google Scholar] [CrossRef]
  56. Launiainen, S.; Futter, M.N.; Ellison, D.; Clarke, N.; Finér, L.; Högbom, L.; Laurén, A.; Ring, E. Is the Water Footprint an Appropriate Tool for Forestry and Forest Products: The Fennoscandian Case. AMBIO 2014, 43, 244–256. [Google Scholar] [CrossRef] [PubMed]
  57. Sutterlüty, A.; Hesser, F.; Schwarzbauer, P.; Schuster, K.C.; Windsperger, A.; Stern, T. A Delphi Approach to Understanding Varying Expert Viewpoints in Sustainability Communication: The Case of Water Footprints of Bio-Based Fiber Resources. J. Ind. Ecol. 2017, 21, 412–442. [Google Scholar] [CrossRef]
  58. Arvidsson, P. LCA-Rapport Tvättmedel (LCA Report on Detergents); Akzo Nobel Surface Chemistry: Stenungsund, Sweden, 1995. [Google Scholar]
  59. González-García, S.; Berg, S.; Feijoo, G.; Moreira, M.T. Environmental impacts of forest production and supply of pulpwood: Spanish and Swedish case studies. Int. J. Life Cycle Assess. 2009, 14, 340–353. [Google Scholar] [CrossRef]
  60. Schwaiger, H.; Zimmer, B. A comparison of fuel consumption and greenhouse gas emissions from forest operations in Europe. In Energy, Carbon and Other Material Flows in the Life Cycle Assessment of Forestry and Forest Products—Achievements of the Working Group 1 of the COST Action E9; Karjalainen, T., Zimmer, B., Berg, S., Welling, J., Schwaiger, H., Finér, L., Cortijo, P., Eds.; European Forest Institute: Joensuu, Finland, 2011. [Google Scholar]
  61. Berg, S. The Environmental Load of Fossil Fuels in Swedish Forestry—An Inventory for a LCA; Frühwald, A., Solberg, B., Eds.; European Forest Institute: Joensuu, Finland, 1995; pp. 53–65. [Google Scholar]
  62. Berg, S.; Karjalainen, T. Comparison of greenhouse gas emissions from forest operations in Finland and Sweden. Forestry 2003, 76, 271–284. [Google Scholar] [CrossRef]
  63. Berg, S.; Lindholm, E.-L. Energy use and environmental impacts of forest operations in Sweden. J. Clean. Prod. 2005, 13, 33–42. [Google Scholar] [CrossRef]
  64. González-García, S.; Moreira, M.T.; Dias, A.C.; Mola-Yudego, B. Cradle-to-gate Life Cycle Assessment of forest operations in Europe: Environmental and energy profiles. J. Clean. Prod. 2014, 66, 188–198. [Google Scholar] [CrossRef]
  65. Zhang, F.; Johnson, D.M.; Wang, J.; Yu, C. Cost, energy use and GHG emissions for forest biomass harvesting operations. Energy 2016, 114, 1053–1062. [Google Scholar] [CrossRef]
  66. Dias, A.C.; Arroja, L. Environmental impacts of eucalypt and maritime pine wood production in Portugal. J. Clean. Prod. 2012, 37, 368–376. [Google Scholar] [CrossRef]
  67. González-García, S.; Hospido, A.; Agnemo, R.; Svensson, P.; Selling, E.; Moreira, M.T.; Feijoo, G. Environmental Life Cycle Assessment of a Swedish Dissolving Pulp Mill Integrated Biorefinery. J. Ind. Ecol. 2011, 15, 568–583. [Google Scholar] [CrossRef]
  68. Bernier, E.; Lavigne, C.; Robidoux, P.Y. Life cycle assessment of kraft lignin for polymer applications. Int. J. Life Cycle Assess. 2013, 18, 520–528. [Google Scholar] [CrossRef]
  69. Culbertson, C.; Treasure, T.; Venditti, R.; Jameel, H.; Gonzalez, R. Life cycle assessment of lignin extraction in a softwood kraft pulp mill. Nord. Pulp Pap. Res. J. 2016, 31, 30–40. [Google Scholar] [CrossRef]
  70. Suhr, M.; Klein, G.; Kourti, I.; Gonzalo, M.; Santonja, G.; Roudier, S.; Sancho, L. Best Available Techniques (BAT) Reference Document for the Production of Pulp, Paper and Board; European Commission, Joint Research Centre: Brussels, Belgium, 2015. [Google Scholar]
  71. Manninen, K. Effect of Forest-Based Biofuels Production on Carbon Footprint, Case: Integrated LWC Paper Mill. Master’s Thesis, Lappeenranta University of Technology, Lappeenranta, Finland, 2010. [Google Scholar]
  72. Chatterjee, S.; Saito, T. Lignin-Derived Advanced Carbon Materials. ChemSusChem 2015, 8, 3941–3958. [Google Scholar] [CrossRef] [PubMed]
  73. Sadeghifar, H.; Argyropoulos, D.S. Macroscopic Behavior of Kraft Lignin Fractions: Melt Stability Considerations for Lignin-Polyethylene Blends. ACS Sustain. Chem. Eng. 2016, 4, 5160–5166. [Google Scholar] [CrossRef]
  74. Ropponen, J.; Räsänen, L.; Rovio, S.; Ohra-aho, T.; Liitiä, T.; Mikkonen, H.; van de Pas, D.; Tamminen, T. Solvent extraction as a means of preparing homogeneous lignin fractions. Holzforschung 2011. [Google Scholar] [CrossRef]
  75. Duval, A.; Vilaplana, F.; Crestini, C.; Lawoko, M. Solvent screening for the fractionation of industrial kraft lignin. Holzforschung 2016, 70, 11–20. [Google Scholar] [CrossRef]
  76. Rößiger, B.; Unkelbach, G.; Pufky-Heinrich, D. Base-Catalyzed Depolymerization of Lignin: History, Challenges and Perspectives. In Lignin-Trends and Applications; InTech: Rijeka, Croatia, 2018. [Google Scholar]
  77. Unkelbach, G.; Schmiedl, D.; Graf, J.; Schweppe, R. Untersuchung der hydrothermalen Spaltung von Lignin/Produktabtrennung. Chemie Ingenieur Technik 2008, 80, 1269–1270. [Google Scholar] [CrossRef]
  78. Caduff, M.; Huijbregts, M.A.J.; Koehler, A.; Althaus, H.J.; Hellweg, S. Scaling relationships in life cycle assessment. J. Ind. Ecol. 2014, 18, 393–406. [Google Scholar] [CrossRef]
  79. Sandin, G.; Røyne, F.; Berlin, J.; Peters, G.M.; Svanström, M. Allocation in LCAs of biorefinery products: Implications for results and decision-making. J. Clean. Prod. 2015, 93, 213–221. [Google Scholar] [CrossRef]
  80. Gosselink, R.J.A. Lignin as Renewable Aromatic Resource for the Chemical Industry; Mini-Symposium Wagening UR Lignin Platform: Wagening, The Netherlands, 2011. [Google Scholar]
  81. Bonell, E.J.; Lettner, M.; Hesser, F.; Schwarzbauer, P. Scenario-based eco-efficiency analysis of lignin valorisation pathways. 2018; submitted manuscript. [Google Scholar]
Figure 1. System boundaries from cradle (S1 Forestry) to gate (S4 Product).
Figure 1. System boundaries from cradle (S1 Forestry) to gate (S4 Product).
Sustainability 10 02745 g001
Figure 2. Results from the hotspot analysis: (a) GWP of solvent fractionation and BCD; (b) NREU of solvent fractionation and BCD; (c) legend for (a,b); (d) GWP of different lignin-based phenol formaldehyde (LPF 1–LPF 4) resins; (e) NREU of different lignin-based phenol formaldehyde (LPF 1–LPF 4) resins; (f) legend for (d,e).
Figure 2. Results from the hotspot analysis: (a) GWP of solvent fractionation and BCD; (b) NREU of solvent fractionation and BCD; (c) legend for (a,b); (d) GWP of different lignin-based phenol formaldehyde (LPF 1–LPF 4) resins; (e) NREU of different lignin-based phenol formaldehyde (LPF 1–LPF 4) resins; (f) legend for (d,e).
Sustainability 10 02745 g002
Figure 3. Results from the variation analysis: (a) GWP of different cases for BCD; (b) NREU of different cases for BCD; (c) legend for (a,b); (d) GWP of different cases for lignin-based phenol formaldehyde resins; (e) NREU of different cases for lignin-based phenol formaldehyde resins; (f) legend for (d,e).
Figure 3. Results from the variation analysis: (a) GWP of different cases for BCD; (b) NREU of different cases for BCD; (c) legend for (a,b); (d) GWP of different cases for lignin-based phenol formaldehyde resins; (e) NREU of different cases for lignin-based phenol formaldehyde resins; (f) legend for (d,e).
Sustainability 10 02745 g003
Table 1. The NREU and GWP of 1 m3 pulpwood and 1 t kraft lignin.
Table 1. The NREU and GWP of 1 m3 pulpwood and 1 t kraft lignin.
SystemS1 ForestryS1 Forestry & S2 Pulp Mill
Reference flow1 m3 pulpwood1 t kraft lignin
Potential hotspotsTransport systems & distancesPulp mill (direct emissions & auxiliary fuels)
NREU295 MJ/m3 pulpwood6788 MJ/t kraft lignin
GWP7 kg CO2-eq/m3 pulpwood570 kg CO2-eq/t kraft lignin
Table 2. Inventory of solvent fractionation for the valorisation of kraft lignin.
Table 2. Inventory of solvent fractionation for the valorisation of kraft lignin.
InputQuantity NREUGWPDataset for Impact Assessment (Reference)
Lignin50,000 t6.789 × 103 MJ/t5.70 × 102 kg CO2-eq/tOwn calculation (S1 & S2)
Solvent make-up (Acetone)6500 t6.49 × 104 MJ/t2.23 × 103 kg CO2-eq/tAcetone production, liquid, RER (Ecoinvent)
Water97,500 t5.81 × 100 MJ/t4.02 × 10−1 kg CO2-eq/tXtra Trinkwasser DE 2000 (Probas)
Steam77,500 t3.98 × 103 MJ/t2.38 × 102 kg CO2-eq/tSteam production, in chemical industry, RER (Ecoinvent)
Electricity25,000 MWh5.70 × 103 MJ/MWh5.10 × 102 kg CO2-eq/MWhUCTE-Strommix (Probas)
Table 3. Inventory of base-catalysed depolymerisation for the valorisation of kraft lignin.
Table 3. Inventory of base-catalysed depolymerisation for the valorisation of kraft lignin.
InputQuantityNREUGWPDataset for Impact Assessment (Reference)
Lignin750 t6.79 × 103 MJ/t5.70 × 102 kg CO2-eq/tOwn calculation (S1 & S2)
NaOH375 t7.27 × 103 MJ/t5.10 × 102 kg CO2-eq/tChem-anorgNaOH-mix-DE-2000 (Probas)
Water16,715 t5.81 × 100 MJ/t4.02 × 10−1 kg CO2-eq/tXtra Trinkwasser DE 2000 (Probas)
Sulphuric acid200 t6.75 × 103 MJ/t1.05 × 102 kg CO2-eq/tSulphuric acid production, RER (Ecoinvent)
Solvent make-up (MIBK) 228 t1.03 × 105 MJ/t4.04 × 103 kg CO2-eq/t4-methyl-2-pentanone production, RER (synonym: methyl isobutyl ketone) (Ecoinvent)
Electricity (water recovery)11,001 MWh (7924 MWh)5.70 × 103 MJ/MWh5.10 × 102 kg CO2-eq/MWhUCTE-Strommix (Probas)
Table 4. NREU and GWP of 1 t valorised lignin and 1 t conventional phenol.
Table 4. NREU and GWP of 1 t valorised lignin and 1 t conventional phenol.
ValorisationSolvent FractionationBCDPhenolDataset for Impact Assessment (Reference)
Reference flow1 t fractionated lignin1 t BCD lignin1 t phenol
NREU (MJ/t)24,417 242,535 67,000 Chem-OrgPhenol-DE-2010/mass (ProBas)
GWP (kg CO2-eq/t)150118,3312002Chem-OrgPhenol-DE-2010/mass (ProBas)
Table 5. Cases considered in the hotspot analysis for LPF resins.
Table 5. Cases considered in the hotspot analysis for LPF resins.
CaseDescription
LPF 1Use of fractionated lignin, 50% substitution of phenol
LPF 2Use of BCD lignin, 50% substitution of phenol
LPF 3Use of BCD lignin, 70% substitution of phenol
LPF 4Use of non-valorised lignin, 50% substitution of phenol
Table 6. NREU and GWP for 1 t LPF resins in comparison with conventional PF resins.
Table 6. NREU and GWP for 1 t LPF resins in comparison with conventional PF resins.
CaseLPF 1LPF 2LPF 3LPF 4PF ResinsDataset for Impact Assessment (Reference)
ValorisationSolvent fractionationBDCBCDnon
Reference flow1 t LPF resin1 t LPF resin1 t LPF resin1 t LPF resin1 t PF resin
Substitution of phenol in resins50%50%70%50%
NREU (MJ/t)40,24669,174 77,448 38,510120,000Phenolic resin production, RER (Ecoinvent)
GWP (kg CO2-eq/t)21004456 526820004577Phenolic resin production, RER (Ecoinvent)
Table 7. Cases for identifying sustainability levers for solvent fractionation.
Table 7. Cases for identifying sustainability levers for solvent fractionation.
Valorisation CaseEnergy-MixNREUGWPDataset for Impact Assessment (Reference)
Case SFUCTE5.70 × 103 MJ/MWh5.10 × 102 kg CO2-eq/MWhUCTE-Strommix (Probas)
Case SF.eSweden4.30 × 103 MJ/MWh1.00 × 102 kg CO2-eq/MWhEl-KW-Park-SE-2000 (ProBas)
Table 8. Cases for identifying sustainability levers within the BCD.
Table 8. Cases for identifying sustainability levers within the BCD.
Valorisation CaseSolventNREUGWPDataset for Impact Assessment (Reference)
Case AMIBK1.03 × 105 MJ/t4.04 × 103 kg CO2-eq/t4-methyl-2-pentanone production, RER (synonym: methyl isobutyl ketone) (Ecoinvent)
Case A.eMIBK1.03 × 105 MJ/t4.04 × 103 kg CO2-eq/t4-methyl-2-pentanone production, RER (synonym: methyl isobutyl ketone) (Ecoinvent)
Case BDCM4.00 × 104 MJ/t3.39 × 103 kg CO2-eq/tdichloromethane production RER (Ecoinvent)
Case B.eDCM4.00 × 104 MJ/t3.39 × 103 kg CO2-eq/tdichloromethane production RER (Ecoinvent)
Case CEtoAc7.10 × 104 MJ/t2.75 × 103 kg CO2-eq/tethyl acetate production RER (Ecoinvent)
Case C.eEtoAc7.10 × 104 MJ/t2.75 × 103 kg CO2-eq/tethyl acetate production RER (Ecoinvent)
Table 9. Cases for the identification of sustainability levers within S4 Products.
Table 9. Cases for the identification of sustainability levers within S4 Products.
CaseValorisation TechnologyValorisation Case (Table 7)Substitution of Phenol in Resins Energy Mix
Case 1Solvent fractionationCase SF50%UCTE
Case 1.eSolvent fractionationCase SF.e50%Sweden
Case 2.BCDCase A50%UCTE
Case 2.eBCDCase A.150%Sweden
Case 3BCDCase A70%UCTE
Case 3.eBCDCase A.170%Sweden
Case 4None-50%UCTE
Case 4.eNone-50%Sweden
Table 10. NREU and GWP of different cases for 1 t LPF resins in comparison with conventional PF resins.
Table 10. NREU and GWP of different cases for 1 t LPF resins in comparison with conventional PF resins.
Case 1Case 1.eCase 2Case 2.eCase 3Case 3.eCase 4Case 4.ePF resinsDataset for Impact Assessment (Reference)
ValorisationSolvent fractionationSolvent fractionationBDCBDCBCDBCDnonnon
Reference flow1 t LPF1 t LPF1 t LPF1 t LPF1 t LPF1 t LPF1 t LPF1 t LPF1 t PF
Substitution50%50%50%50%70%70%50%50%
NREU (MJ/t)40,24637,30069,17459,60077,44865,80038,5103460120,000Phenolic resin production, RER (ecoinvent)
GWP (kg CO2-eq/t)21001030445611755268199020009104577Phenolic resin production, RER (ecoinvent)

Share and Cite

MDPI and ACS Style

Lettner, M.; Solt, P.; Rößiger, B.; Pufky-Heinrich, D.; Jääskeläinen, A.-S.; Schwarzbauer, P.; Hesser, F. From Wood to Resin—Identifying Sustainability Levers through Hotspotting Lignin Valorisation Pathways. Sustainability 2018, 10, 2745. https://doi.org/10.3390/su10082745

AMA Style

Lettner M, Solt P, Rößiger B, Pufky-Heinrich D, Jääskeläinen A-S, Schwarzbauer P, Hesser F. From Wood to Resin—Identifying Sustainability Levers through Hotspotting Lignin Valorisation Pathways. Sustainability. 2018; 10(8):2745. https://doi.org/10.3390/su10082745

Chicago/Turabian Style

Lettner, Miriam, Pia Solt, Björn Rößiger, Daniela Pufky-Heinrich, Anna-Stiina Jääskeläinen, Peter Schwarzbauer, and Franziska Hesser. 2018. "From Wood to Resin—Identifying Sustainability Levers through Hotspotting Lignin Valorisation Pathways" Sustainability 10, no. 8: 2745. https://doi.org/10.3390/su10082745

APA Style

Lettner, M., Solt, P., Rößiger, B., Pufky-Heinrich, D., Jääskeläinen, A.-S., Schwarzbauer, P., & Hesser, F. (2018). From Wood to Resin—Identifying Sustainability Levers through Hotspotting Lignin Valorisation Pathways. Sustainability, 10(8), 2745. https://doi.org/10.3390/su10082745

Note that from the first issue of 2016, this journal uses article numbers instead of page numbers. See further details here.

Article Metrics

Back to TopTop