Factors Causing Farmland Price-Value Distortion and Their Implications for Peri-Urban Growth Management
Abstract
1. Introduction
2. Research Background
2.1. Farmland and Farmhouse Development in Yilan
2.2. Farmland Price and Value
3. Research Design and Data
3.1. Definition
3.2. Research Design
3.3. Data
3.4. Results
3.4.1. Illustration of Price-Value Distortion in Yilan County
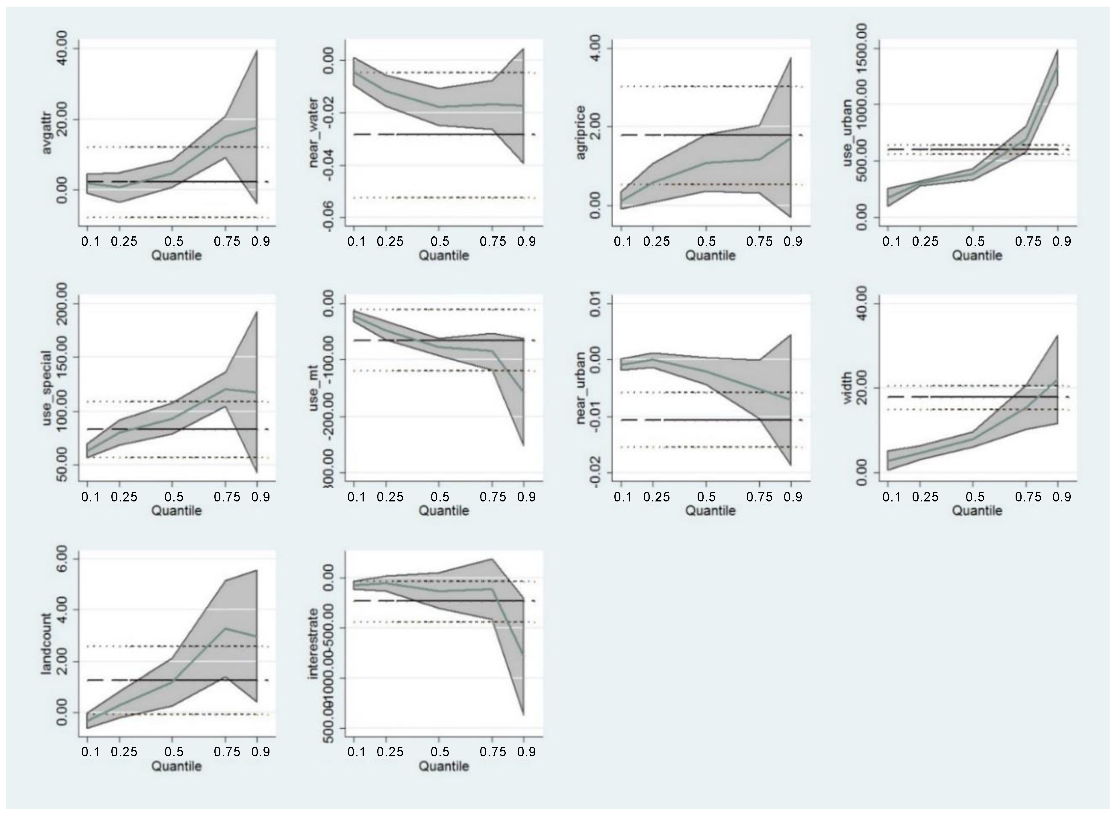
3.4.2. Ordinary Least Square (OLS) Regression and Quantile Regression (QR) Analyses for Price-Value Distortion of Farmlands in Yilan County
4. Discussion
4.1. Designating an Urban Area Tends to Increase the Price-Value Distortion of Agriculture Zones
4.2. A Better Road or Transportation System in Agricultural Zones Tends to Increase the Price-Value Distortion
4.3. Farmland Reform Policy Significantly Affects Price-Value Distortion
4.4. Cases of Various Price-Value Distortions and Their Potential Impacts on Agriculture
5. Conclusions
Author Contributions
Funding
Conflicts of Interest
References
- Gilg, A. Perceptions about land use. Land Use Policy 2009, 26, S76–S82. [Google Scholar] [CrossRef]
- Park, S.; Smardon, R.C. Worldview and social amplification of risk framework: Dioxin case in Korea. Int. J. Appl. Environ. Sci. 2011, 6, 173–191. [Google Scholar]
- Frumkin, H. Urban sprawl and public health. Public Health Rep. 2002, 117, 201–217. [Google Scholar] [CrossRef]
- Couch, C.; Petschel-Held, G. Urban Sprawl in Europe: Landscape Land Use Change and Policy; Wiley-Blackwell: London, UK, 2008. [Google Scholar]
- Chiang, Y.-C.; Tsai, F.-F.; Chang, H.-P.; Chen, C.-F.; Huang, Y.-C. Adaptive society in a changing environment: Insight into the social resilience of a rural region of Taiwan. Land Use Policy 2014, 36, 510–521. [Google Scholar] [CrossRef]
- Wang, C.-H. Analysis of Agricultural Land Change in Lanyang Plain Using a System Perspective; Chinese Cultural University: Taipei, Taiwan, 2014. (In Chinese) [Google Scholar]
- Wey, W.-M.; Hsu, J. New Urbanism and Smart Growth: Toward achieving a smart National Taipei University District. Habitat Int. 2014, 42, 164–174. [Google Scholar] [CrossRef]
- Plantinga, A.J.; Lubowski, R.N.; Stavins, R.N. The effects of potential land development on agricultural land prices. J. Urban Econ. 2002, 52, 561–581. [Google Scholar] [CrossRef]
- Hardie, I.W.; Narayan, T.A.; Gardner, B.L. The Joint Influence of Agricultural and Nonfarm Factors on Real Estate Values: An Application to the Mid-Atlantic Region. Am. J. Agric. Econ. 2001, 83, 120–132. [Google Scholar] [CrossRef]
- Kostov, P. A Spatial Quantile Regression Hedonic Model of Agricultural Land Prices. Spat. Econ. Anal. 2009, 4, 53–72. [Google Scholar] [CrossRef]
- McMillen, D. Conditionally parametric quantile regression for spatial data: An analysis of land values in early nineteenth century Chicago. Reg. Sci. Urban Econ. 2015, 55, 28–38. [Google Scholar] [CrossRef]
- Yoo, J.; Frederick, T. The varying impact of land subsidence and earth fissures on residential property values in Maricopa County—A quantile regression approach. Int. J. Urban Sci. 2017, 21, 204–216. [Google Scholar] [CrossRef]
- Chen, W.-B.; Lee, C.-L.; Chang, C.-R.; Wang, C.-H. An analysis of agricultural land change factors and spatial planning policies review for Lan-Yang Plain: The system approach. J. Taiwan Land Res. 2016, 19, 1–35. [Google Scholar]
- Huang, W.-S. The Farmland Price under Urbanization Pressure—A Case Study of I-Lan County; Department of Real Estate & Built Environment, College of Public Affairs, National Taipei University: Taipei, Taiwan, 2008. [Google Scholar]
- MA Synthesis. Ecosystems and Human Well-Being: Synthesis Report; Island Press: Washington, DC, USA, 2005. [Google Scholar]
- Stewart, P.A.; Libby, L.W. Determinants of Farmland Value: The Case of DeKalb County, Illinois. Rev. Agric. Econ. 1998, 20, 80–95. [Google Scholar] [CrossRef]
- Zhang, W.; Ricketts, T.H.; Kremen, C.; Carney, K.; Swinton, S.M. Ecosystem services and dis-services to agriculture. Ecol. Econ. 2007, 64, 253–260. [Google Scholar] [CrossRef]
- Bergstrom, J.C. Postproductivism and changing rural land use values and preferences. In Land Use Problems and Conflicts: Causes, Consequence and Solutions; Goetz, S.J., Shortle, J.S., Bergstrom, J.C., Eds.; Routledge: London, UK, 2005; pp. 64–76. [Google Scholar]
- De Groot, R.; Hein, L. Concept and valuation of landscape functions at diff erent scales. In Multifunctional Land Use: Meeting Future Demands for Landscape Goods and Services; Mander, Ü., Helming, K., Wiggering, H., Eds.; Springer: Berlin, Germany, 2007; pp. 15–36. [Google Scholar]
- Kong, F.; Yin, H.; Nakagoshi, N. Using GIS and landscape metrics in the hedonic price modeling of the amenity value of urban green space: A case study in Jinan City, China. Landsc. Urban Plann. 2007, 79, 240–252. [Google Scholar] [CrossRef]
- Lee, C.-L.; Lee, C.-H. Economic Assessments of Ecosystem Service Impacts of Agricultural Land-use Change (in chinese). Taiwa. Agric. Econ. Rev. 2012, 17, 111–144. [Google Scholar]
- Dehring, C.A.; Lind, M.S. Residential Land-Use Controls and Land Values: Zoning and Covenant Interactions. Land Econ. 2007, 83, 445–457. [Google Scholar] [CrossRef]
- Delbecq, B.A.; Kuethe, T.H.; Borchers, A.M. Identifying the Extent of the Urban Fringe and its Impact on Agricultural Land Values. Land Econ. 2014, 90, 587–600. [Google Scholar] [CrossRef]
- Faux, J.; Perry, G.M. Estimating Irrigation Water Value Using Hedonic Price Analysis: A Case Study in Malheur County, Oregon. Land Econ. 1999, 75, 440–452. [Google Scholar] [CrossRef]
- Beaton, W.P. The Impact of Regional Land-Use Controls on Property Values: The Case of the New Jersey Pinelands. Land Econ. 1991, 67, 172–194. [Google Scholar] [CrossRef]
- Wu, T.-C.; Lin, F.-T.; Lin, S.-T.; Hsu, Y.-L. Changes in Farmhouse Distribution Pattern and Factors Affecting Farmhouse Change in Yilan (in chinese). J. City Plan. 2013, 40, 31–57. [Google Scholar]
- Choumert, J.; Phélinas, P. Determinants of agricultural land values in Argentina. Ecol. Econ. 2015, 110, 134–140. [Google Scholar] [CrossRef]
- Henneberry, D.M.; Barrows, R.L. Capitalization of Exclusive Agricultural Zoning into Farmland Prices. Land Econ. 1990, 66, 249–258. [Google Scholar] [CrossRef]
- Papadimitriou, F. The Algorithmic Complexity of Landscapes. Landsc. Res. 2012, 37, 591–611. [Google Scholar] [CrossRef]
- Koenker, R.; Bassett, G. Regression Quantiles. Econometrica 1978, 46, 33–50. [Google Scholar] [CrossRef]
- Koenker, R.; Hallock, K.F. Quantile Regression. J. Econ. Perspect. 2001, 15, 143–156. [Google Scholar] [CrossRef]
- Williamson, I.; Enemark, S.; Wallace, J.; Rajabifard, A. Land Administration for Sustainable Development; Esri Press: California, CA, USA, 2010. [Google Scholar]
- Holland, J.H. Studying Complex Adaptive Systems. J. Syst. Sci. Complex. 2006, 19, 1–8. [Google Scholar] [CrossRef]












| Variable | Definition and Data Description | Data Source |
|---|---|---|
| Price | Real transaction price of farmland (NT$/m2) (transaction price of farmland from 2012 to 2015 is adjusted by consumer price index to have a common comparative base in 2016) | Actual real estate transaction cases, Ministry of the Interior (August 2012–September 2016) |
| Value | Production value of farmland (NT$/m2/year) (average production value of crops per year is calculated from the original database based on the location for each farmland transaction) | Agricultural, Forestry, Fishery and Husbandry Census, Directorate General of Budget, Accounting and Statistics (2016) |
| Price_value | Price-value distortion (ratio of the real transaction price to production value, %) | (Same as above) |
| Avgattr | Soil conditions (0 is the poorest, 4 is the best) | NGIS Ecological Resources Database |
| near_water | Distance to the nearest canal (m) | Platform for the National Land Use Inventory |
| Agriprice | Annual crop prices variation (%) | Statistical database of Yilan County; Agricultural Statistics Yearbook, Council of Agriculture |
| use_urban | Agricultural zone in urban area (1 yes, 0 no) | Actual information of real estate transaction case, Ministry of the Interior |
| use_regular | General agricultural zone in non-urban area? (1 yes, 0 no) | (Same as above) |
| use_special | Special agricultural zone in non-urban area? (1 yes, 0 no) | (Same as above) |
| use_mt | Sloping and conservation zone in non-urban area? (1 yes, 0 no) | (Same as above) |
| near_urban | Distance to the nearest urban area (m) | Layers of use in urban planning, Construction and Planning Agency, Ministry of the Interior |
| Width | The width of the nearest road (m) | Taiwan Electronic Map, Ministry of the Interior |
| Landcount | Complexity of land counts (1, 2, 3, etc.) (many approaches could be used to define complexity of land. To simplify the problem, as well as to cope with the real situation of Yilan, the complexity of farmland ownership was applied in this research instead of common landscape metrics, Shannon index, or landscape complexity [29].) | Agricultural cadastral maps, Yilan County |
| Interestrate | Mortgage rate (%) | Deposit and loan rate of five leading domestic banks, Central Bank |
| Variable | Mean | SD | Maximum | Minimum |
|---|---|---|---|---|
| Price_value | 306.14 | 360.11 | 5223.48 | 0.19 |
| Avgattr | 3.16 | 1.27 | 4 | 0 |
| near_water | 258.94 | 507.44 | 4921.98 | 0 |
| Agriprice | 2.73 | 7.22 | 29.84 | −50.34 |
| use_urban | 0.08 | 0.28 | 1 | 0 |
| use_regular | 0.16 | 0.37 | 1 | 0 |
| use_special | 0.68 | 0.47 | 1 | 0 |
| use_mt | 0.08 | 0.27 | 1 | 0 |
| near_urban | 2047.44 | 2200.73 | 38,770.77 | 0 |
| Width | 5.77 | 3.24 | 40 | 1 |
| Landcount | 8.74 | 6.66 | 75 | 1 |
| Interestrate | 1.37 | 0.04 | 1.38 | 1.12 |
| Variable | OLS | QR (θ) | ||||
|---|---|---|---|---|---|---|
| 0.1 | 0.25 | 0.5 | 0.75 | 0.9 | ||
| constant | 430.334 *** | 10.264 ** | 119.658 * | 266.637 *** | 249.612 | 1291.145 *** |
| (3.02) | (3.11) | (1.88) | (3.13) | (1.29) | (3.31) | |
| avgattr | 2.196 | 1.807 | 0.736 | 4.619 * | 15.066 *** | 17.748 |
| (0.43) | (1.38) | (0.46) | (1.73) | (3.98) | (1.47) | |
| near_water | −0.0284 ** | −0.004 | −0.012 *** | −0.018 *** | −0.017 *** | −0.017 * |
| (−2.33) | (−1.44) | (−3.50) | (−4.17) | (−3.79) | (−1.73) | |
| agriprice | 1.779 *** | 0.125 | 0.577 *** | 1.080 *** | 1.170 *** | 1.719 |
| (2.79) | (0.87) | (2.1) | (3.81) | (2.54) | (1.45) | |
| use_urban | 600.541 *** | 176.976 *** | 298.907 *** | 382.246 *** | 690.964 *** | 1335.272 *** |
| (29.82) | (4.20) | (18.49) | (12.20) | (9.47) | (16.13) | |
| use_special | 82.934 ** | 63.083 *** | 79.733 *** | 92.831 *** | 120.048 *** | 117.442 *** |
| (6.34) | (18.25) | (16.82) | (14.00) | (13.54) | (3.57) | |
| use_mt | −64.989 ** | −23.172 *** | −48.019 *** | −77.340 *** | −84.817 *** | −157.409 *** |
| (−2.37) | (−4.52) | (−7.48) | (−7.55) | (−4.91) | (−3.33) | |
| near_urban | −0.011 *** | −0.001 | −0.000107 | −0.002 * | −0.005 ** | −0.007 |
| (−4.33) | (−1.30) | (−0.02) | (−1.56) | (−2.03) | (−1.34) | |
| Width | 17.831 *** | 2.900 *** | 4.733 *** | 7.828 *** | 15.472 *** | 22.099 *** |
| (12.62) | (3.31) | (6.38) | (6.76) | (7.12) | (5.00) | |
| landcount | 1.243 * | −0.329 | 0.299 | 1.173 ** | 3.271 *** | 2.968 *** |
| (1.84) | (−1.46) | (1.15) | (2.39) | (3.51) | (2.84) | |
| interestrate | −235.224 ** | −71.725 ** | −54.222 | −130.992 * | −111.256 | −784.926 *** |
| (−2.28) | (−2.44) | (−1.18) | (−2.17) | (−0.81) | (−2.81) | |
| Adj./Pseudo R−Squared | 0.283 | 0.1674 | 0.1664 | 0.1652 | 0.1902 | 0.2658 |
| F statistic | 183.99 *** | |||||
| VIF | 1.57 | |||||
© 2018 by the authors. Licensee MDPI, Basel, Switzerland. This article is an open access article distributed under the terms and conditions of the Creative Commons Attribution (CC BY) license (http://creativecommons.org/licenses/by/4.0/).
Share and Cite
Chen, Y.-H.; Lee, C.-L.; Chen, G.-R.; Wang, C.-H.; Chen, Y.-H. Factors Causing Farmland Price-Value Distortion and Their Implications for Peri-Urban Growth Management. Sustainability 2018, 10, 2701. https://doi.org/10.3390/su10082701
Chen Y-H, Lee C-L, Chen G-R, Wang C-H, Chen Y-H. Factors Causing Farmland Price-Value Distortion and Their Implications for Peri-Urban Growth Management. Sustainability. 2018; 10(8):2701. https://doi.org/10.3390/su10082701
Chicago/Turabian StyleChen, Yu-Hui, Chun-Lin Lee, Guan-Rui Chen, Chiung-Hsin Wang, and Ya-Hui Chen. 2018. "Factors Causing Farmland Price-Value Distortion and Their Implications for Peri-Urban Growth Management" Sustainability 10, no. 8: 2701. https://doi.org/10.3390/su10082701
APA StyleChen, Y.-H., Lee, C.-L., Chen, G.-R., Wang, C.-H., & Chen, Y.-H. (2018). Factors Causing Farmland Price-Value Distortion and Their Implications for Peri-Urban Growth Management. Sustainability, 10(8), 2701. https://doi.org/10.3390/su10082701

