Location Recommendation of Digital Signage Based on Multi-Source Information Fusion
Abstract
1. Introduction
2. Study Area
3. Data Sources and Processing
3.1. Data Sources
3.2. Data Spatial Processing
4. Methodology
- (1)
- Region Division: We first use four types of clustering algorithms to partition the study area then use the Calinski-Harabasz Index to find the parameters that optimize the area partitioning. Finally, the maximum information coefficient to define the degree of influence of the digital signage location factor on the distribution of digital signage was employed.
- (2)
- Digital signage location recommendation: First, the kernel density method was used to analyze the density of digital signage points in their surrounding neighborhoods. Next, the Euclidean distance was considered to calculate the similarity between the digital signage sample points. Finally, the first three sample points with the highest similarity to the non-imposed digital signage were selected, and the similarity of the three sample points and their nuclear density value are weighted to be averaged. Therefore, for each undistributed land area, a recommendation score between 0 and 1 is calculated, which indicates the extent to which the plot is suitable for the placement of digital signage.
- (3)
- Model verification: We verify the validity of the model using precision, recall, and F-measure.
4.1. Region Division
4.1.1. K-Means Algorithm
4.1.2. BIRCH Algorithm
4.1.3. DBSCAN Algorithm
4.1.4. SOM Algorithm
4.1.5. Calinski-Harabasz Index (CH)
4.1.6. Maximum Information Coefficient (MIC)
4.2. Digital Signage Location Recommendation
4.2.1. Kernel Density Analysis
4.2.2. Similarity Calculation
4.2.3. Digital Signage Recommended Location Calculation
4.3. Model Verification
5. Results and Analysis
5.1. Regional Division Results
5.2. Kernel Density Analysis
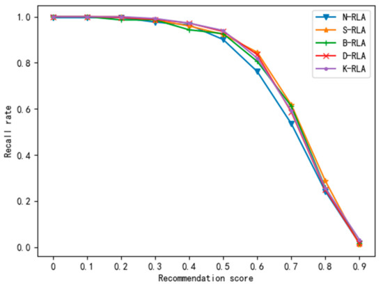
5.3. Location Recommendation Analysis
6. Discussion and Conclusions
- (1)
- In this paper, we provided a location recommendation algorithm with multi-source information fusion, which integrated the spatial features of regional divisions and geographic locations, and used it to achieve the recommendation of digital signage locations that were associated with geographical features, such as the economy and the population.
- (2)
- The precision, recall, and F-measure were considered to evaluate the validity of the model. The evaluation results show that the proposed method has higher rates of precision and recall, which clearly indicates that this method has a better recommendation effect and can further improve the recommendation quality.
- (3)
- Using different clustering algorithms to divide the study area, the division results reveal that the use of the SOM algorithm to divide the study area can significantly improve the precision and recall rate, thereby improving the location recommendation effect and further improving the recommendation quality. The recommended quality of the partitioning model using K-means and DBSCAN in the study area show a certain increase, but the effect is not obvious. While BIRCH was employed to partition the study area, the recommendation quality is poor when the recommendation score is small, and when the recommendation score threshold is large, the recommendation quality of the model increases.
- (4)
- Using this algorithm to recommend the location of Beijing City Sixth Ring for digital signage, the recommendation results indicate that the areas suitable for digital signage are mainly distributed in Wangfujing, Financial Street, Beijing West Railway Station, and the tourist attractions in the northwest direction of the Fifth Ring Road.
Author Contributions
Funding
Acknowledgments
Conflicts of Interest
References
- Yarihesar, A.; Badri, S.A.; Pourtaheri, M.; Farajisabokbar, H. Study and defining the process for selecting sustainability evaluation and appraisal indicators for Rual habitats of metropolitan areas case: Tehran metropolitan. Geo. Dev. 2013, 32, 127–148. [Google Scholar]
- Garaus, M.; Wagner, U.; Manzinger, S. Happy grocery shopper: The creation of positive emotions through affective digital signage content. Technol. Forecast. Soc. Chang. 2017, 124, 295–305. [Google Scholar] [CrossRef]
- Ravnik, R.; Solina, F. Audience Measurement of Digital Signage: Quantitative Study in Real-World Environment Using Computer Vision. Interact. Comput. 2013, 25, 218–228. [Google Scholar] [CrossRef]
- Davies, N.; Langheinrich, M.; Jose, R.; Schmidt, A. Open Display Networks: A Communications Medium for the 21st Century. Computer 2012, 45, 58–64. [Google Scholar] [CrossRef]
- Krumm, J. Ubiquitous Advertising: The Killer Application for the 21st Century. IEEE Pervasive Comput. 2010, 10, 66–73. [Google Scholar] [CrossRef]
- Michelis, D.; Muller, J. The Audience Funnel: Observations of Gesture Based Interaction with Multiple Large Displays in a City Center. Int. J. Hum.-Comput. Interact. 2011, 27, 562–579. [Google Scholar] [CrossRef]
- Battiato, S.; Cavallaro, A.; Distante, C. Special issue on “Video analytics for audience measurement in retail and digital signage”. Pattern Recognit. Lett. 2016, 81, 1–2. [Google Scholar] [CrossRef]
- Ullah, F.; Sarwar, G.; Lee, H.; Ryu, W.; Lee, S. Control framework and services scenarios of provisioning N-Screen services in interactive digital signage. Tehnicki Vjesnik 2014, 21, 1321–1328. [Google Scholar]
- Kim, J.S. A Study of Contact Frequency and Consumer Preference for Digital Signage Advertisement. In Proceedings of the 1st International Mega-Conference on Green and Smart Technology (GST 2012)/International Conference on Sensor and Its Applications (SIA 2012), Jeju, South Korea, 28 November–2 December 2012; pp. 181–187. [Google Scholar]
- Yoon, S.; Kim, H. Research into the Personalized Digital Signage Display Contents Information through a Short Distance Indoor Positioning. Int. J. Smart Home 2015, 9, 171–178. [Google Scholar] [CrossRef]
- Ijaz, M.F.; Tao, W.; Rhee, J.; Kang, Y.S.; Alfian, G. Efficient Digital Signage-Based Online Store Layout: An Experimental Study. Sustainability 2016, 8, 511. [Google Scholar] [CrossRef]
- Umor, E.F. The Role of Digital Signage Advertising in Enhancing Patronage among Advertisers and Potential Consumers; the UYO city outlets in perspective. Rev. Commun. Media Stud. 2017, 1, 174–190. [Google Scholar]
- Moon, S.W.; Lee, J.W.; Lee, J.S.; Jung, H.T.; Yoon, K.S. Software-based encoder for UHD digital signage system. In Proceedings of the 16th International Conference on Advanced Communication Technology (ICACT), PyeongChang, South Korea, 16–19 February 2014; pp. 649–652. [Google Scholar]
- Hyun, W.; Huh, M.Y.; Kim, S.H.; Park, J.Y. Standardizations and considerations on P2P-based contents distribution for digital signage service. In Proceedings of the 17th IEEE International Conference on Advanced Communications Technology (ICACT), PyeonhChang, South Africa, 1–3 July 2015; pp. 509–512. [Google Scholar]
- Hossain, M.A.; Islam, A.; Le, N.T.; Lee, Y.T.; Lee, H.W.; Jang, Y.M. Performance analysis of smart digital signage system based on software-defined IoT and invisible image sensor communication. Int. J. Distrib. Sens. Netw. 2016, 12, 1–14. [Google Scholar] [CrossRef]
- Khue, T.D.; Binh, N.T.; Chang, W.; Kim, C.; Chung, S.T. Design and implementation of MEAN stack-based scalable real-time Digital Signage System. In Proceedings of the 8th International Conference of Information and Communication Technology for Embedded Systems (IC-ICTES), Chonburi, Thailand, 7–9 May 2017. [Google Scholar]
- Chen, Y. Optimization Design and Implementation of Multimedia Information Publishing System; Fudan University: Shanghai, China, 2013. (In Chinese) [Google Scholar]
- Lian, D.F.; Zheng, K.; Ge, Y.; Cao, L.B.; Chen, E.H.; Xie, X. GeoMF++: Scalable Location Recommendation via Joint Geographical Modeling and Matrix Factorization. ACM Trans. Inf. Syst. 2018, 36, 1–29. [Google Scholar] [CrossRef]
- Son, J.; Kim, S.B. Content-based filtering for recommendation systems using multiattribute networks. Expert Syst. Appl. 2017, 89, 404–412. [Google Scholar] [CrossRef]
- Zenebe, A.; Norcio, A.F. Representation, similarity measures and aggregation methods using fuzzy sets for content-based recommender systems. Fuzzy Sets Syst. 2009, 160, 76–94. [Google Scholar] [CrossRef]
- Ma, T.H.; Guo, L.A.; Tang, M.L.; Tian, Y.; Al-Rodhaan, M.; Al-Dhelaan, A. Collaborative Filtering Recommendation Algorithm Based on Hierarchical Structure and Time Awareness. IEICE Trans. Inf. Syst. 2016, E99, 1512–1520. [Google Scholar] [CrossRef]
- Lin, Z.J. An empirical investigation of user and system recommendations in e-commerce. Decis. Support Syst. 2014, 68, 111–124. [Google Scholar] [CrossRef]
- Herlocker, J.L.; Konstan, J.A.; Loren, J.; Terveen, G.; Riedl, T. Collaborative filtering recommender systems. ACM Trans. Inf. Syst. 2004, 22, 5–53. [Google Scholar] [CrossRef]
- Lian, D.F.; Ge, Y.; Zhang, F.Z.; Yuan, N.J.; Xie, X.; Zhou, T.; Rui, Y. Content-Aware Collaborative Filtering for Location Recommendation based on Human Mobility Data. In Proceedings of the IEEE International Conference on Data Mining (ICDM), Atlantic City, NJ, USA, 14–17 November 2015; pp. 261–270. [Google Scholar]
- Agarwal, D.; Chen, B.C. Regression-based latent factor models. In Proceedings of the 15th ACM SIGKDD International Conference on Knowledge Discovery and Data Mining, Paris, France, 28 June–1 July 2009; pp. 19–27. [Google Scholar]
- Rendle, S. Factorization Machines with libFM. ACM Trans. Intell. Syst. Technol. 2012, 3, 1–22. [Google Scholar] [CrossRef]
- Lu, Z.; Wang, H.; Mamoulis, N.; Tu, W.T.; Cheung, D.W. Personalized location recommendation by aggregating multiple recommenders in diversity. Geoinformatica 2017, 21, 1–26. [Google Scholar] [CrossRef]
- Logesh, R.; Subramaniyaswamy, V. Learning Regency and Inferring Associations in Location Based Social Network for Emotion Induced Point-of-Interest Recommendation. J. Inf. Sci. Eng. 2017, 33, 1629–1647. [Google Scholar]
- Zhou, D.Q.; Wang, X. Probabilistic Category-based Location Recommendation Utilizing Temporal Influence and Geographical Influence. In Proceedings of the IEEE International Conference on Data Science & Advanced Analytics, Shanghai, China, 30 October–1 November 2014; pp. 115–121. [Google Scholar]
- Cai, L.; Xu, J.; Liu, J.; Pei, T. Integrating spatial and temporal contexts into a factorization model for POI recommendation. Int. J. Geogr. Inf. Sci. 2018, 32, 524–546. [Google Scholar] [CrossRef]
- Feitosa, R.M.; Labidi, S.; dos Santos, A.L.; Santos, N. Social Recommendation in Location-Based Social Network using Text Mining. In Proceedings of the 4th International Conference on Intelligent Systems, Modelling and Simulation (ISMS), Bangkok, Thailand, 29–31 January 2013; pp. 67–72. [Google Scholar]
- Zhang, A.X.; Noulas, A.; Scellato, S.; Mascolo, C. Hoodsquare: Modeling and Recommending Neighborhoods in Location-based Social Networks. In Proceedings of the ASE/IEEE International Conference on Social Computing (SocialCom), Washington, DC, USA, 8–14 September 2013; pp. 69–74. [Google Scholar]
- Li, X.; Xu, G.D.; Chen, E.H.; Zong, Y. Learning recency based comparative choice towards point-of-interest recommendation. Expert Syst. Appl. 2015, 42, 4274–4283. [Google Scholar] [CrossRef]
- Karatzoglou, A.; Lamp, S.C.; Beigl, M. Matrix Factorization on Semantic Trajectories for Predicting Future Semantic Locations. In Proceedings of the 13th IEEE International Conference on Wireless and Mobile Computing, Networking and Communications (WiMob), Rome, Italy, 9–11 October 2017; pp. 724–730. [Google Scholar]
- Cui, G.; Luo, J.; Wang, X. Personalized travel route recommendation using collaborative filtering based on GPS trajectories. Int. J. Digit. Earth 2018, 11, 284–307. [Google Scholar] [CrossRef]
- Wang, F.; Meng, X.W.; Zhang, Y.J. An Adaptive User Preferences Elicitation Scheme for Location Recommendation. Chin. J. Electron. 2016, 25, 943–949. [Google Scholar] [CrossRef]
- Xin, M.J.; Zhang, Y.H.; Li, S.X.; Zhou, L.Y.; Li, W.M. A Location-Context Awareness Mobile Services Collaborative Recommendation Algorithm Based on User Behavior Prediction. Int. J. Web. Serv. Res. 2017, 14, 45–66. [Google Scholar] [CrossRef]
- Bao, J.; Zheng, Y.; Wilkie, D.; Mokbel, M. Recommendations in location-based social networks: A survey. Geoinformatica 2015, 19, 525–565. [Google Scholar] [CrossRef]
- Levandoski, J.J.; Sarwat, M.; Eldawy, A.; Mokbel, M.F. LARS: A Location-Aware Recommender System. In Proceedings of the 28th IEEE International Conference on Data Engineering (ICDE), Washington, DC, USA, 1–5 April 2012; pp. 450–461. [Google Scholar]
- Hu, B.; Ester, M. Social Topic Modeling for Point-of-Interest Recommendation in Location-Based Social Networks. In Proceedings of the 14th IEEE International Conference on Data Mining (IEEE ICDM), Shenzhen, China, 14–17 December 2014; pp. 845–850. [Google Scholar]
- Kefalas, P.; Symeonidis, P.; Manolopoulos, Y. A Graph-Based Taxonomy of Recommendation Algorithms and Systems in LBSNs. IEEE Trans. Knowl. Data Eng. 2016, 28, 604–622. [Google Scholar] [CrossRef]
- Melita, R.C. Open Space Evaluation Methodology and Three Dimensional Evaluation Model as a Base for Sustainable Development Tracking. Sustainability 2015, 7, 13690–13712. [Google Scholar]
- Dennis, C.; Brakus, J.J.; Gupta, S.; Alamanos, E. The effect of digital signage on shoppers’ behavior: The role of the evoked experience. J. Bus. Res. 2014, 67, 2250–2257. [Google Scholar] [CrossRef]
- Roggeveen, A.L.; Nordfält, J.; Grewal, D. Do digital displays enhance sales? Role of retail format and message content. J. Retail. 2016, 92, 122–131. [Google Scholar] [CrossRef]
- Mikalef, P.; Pateli, A. Information technology-enabled dynamic capabilities and their indirect effect on competitive performance: Findings from PLS-SEM and fsQCA. J. Bus. Res. 2017, 70, 1–16. [Google Scholar] [CrossRef]
- Beijing Municipal Bureau of Statistics. Beijing Statistical Yearbook 2013; China Statistics Press: Beijing, China, 2013. (In Chinese) [Google Scholar]
- Xu, R.; Wunsch, D. Survey of clustering algorithms. IEEE Trans. Neural Netw. 2005, 16, 645–678. [Google Scholar] [CrossRef] [PubMed]
- Ferrari, D.C.; de Castro, L.N. Clustering algorithm selection by meta-learning systems: A new distance-based problem characterization and ranking combination methods. Inf. Sci. 2015, 301, 181–194. [Google Scholar] [CrossRef]
- Hartigan, J.A.; Wong, M.A. Algorithm AS 136: A K-Means Clustering Algorithm. J. R. Stat. Soc. 1979, 28, 100–108. [Google Scholar] [CrossRef]
- Huang, J.Z.X.; Ng, M.K.; Rong, H.Q.; Li, Z.C. Automated variable weighting in k-means type clustering. IEEE Trans. Pattern Anal. Mach. 2005, 27, 657–668. [Google Scholar] [CrossRef] [PubMed]
- Prasad, P.K.; Rangan, C.P. Privacy preserving BIRCH algorithm for clustering over arbitrarily partitioned Databases. In Proceedings of the 3rd International Conference on Advanced Data Mining and Applications, Harbin, China, 6–8 August 2007. [Google Scholar]
- Dong, J.; Wang, F.; Yuan, B. Accelerating BIRCH for Clustering Large Scale Streaming Data Using CUDA Dynamic Parallelism. In Proceedings of the 14th International Conference on Intelligent Data Engineering and Automated Learning (IDEAL), Hefei, China, 20–23 October 2013; pp. 409–416. [Google Scholar]
- Shen, J.; Hao, X.P.; Liang, Z.Y.; Liu, Y.; Wang, W.G.; Shao, L. Real-time Superpixel Segmentation by DBSCAN Clustering Algorithm. IEEE Trans. Image Process. 2016, 25, 5933–5942. [Google Scholar] [CrossRef] [PubMed]
- Vatanen, T.; Osmala, M.; Raiko, T.; Lagus, K.; Sysi-Aho, M.; Oresic, M.; Honkela, T.; Landesmaki, H. Self-organization and missing values in SOM and GTM. Neurocomputing 2015, 147, 60–70. [Google Scholar] [CrossRef]
- Cottrell, M.; Fort, J.C.; Pagès, G. Theoretical aspects of the SOM algorithm. Neurocomputing 2007, 21, 119–138. [Google Scholar] [CrossRef]
- De Amorim, R.C.; Hennig, C. Recovering the number of clusters in data sets with noise features using feature rescaling factors. Inf. Sci. 2015, 324, 126–145. [Google Scholar] [CrossRef]
- Zhang, Y.H.; Hu, Q.P.; Zhang, W.S.; Liu, J. A Novel Bayesian Network Structure Learning Algorithm based on Maximal Information Coefficient. In Proceedings of the IEEE 5th International Conference on Advanced Computational Intelligence (ICACI), Nanjing, China, 18–20 October 2012; pp. 862–867. [Google Scholar]
- Elgammal, A.; Duraiswami, R.; Harwood, D.; Davis, L.S. Background and foreground modeling using nonparametric kernel density estimation for visual surveillance. Proc. IEEE 2002, 90, 1151–1163. [Google Scholar] [CrossRef]
- Lele, S.; Richtsmeier, J.T. Euclidean distance matrix analysis: A coordinate-free approach for comparing biological shapes using landmark data. Am. J. Phys. Anthropol. 1991, 86, 415–427. [Google Scholar] [CrossRef] [PubMed]
- Liu, N.H. Comparison of content-based music recommendation using different distance estimation methods. Appl. Intell. 2013, 38, 160–174. [Google Scholar] [CrossRef]
- Li, D.; Lv, Q.; Xie, X.; Shang, L.; Xia, H.H.; Lu, T.; Gu, N. Interest-based real-time content recommendation in online social communities. Knowl.-Based Syst. 2012, 28, 1–12. [Google Scholar] [CrossRef]
- Huang, Y.J.; Powers, R.; Montelione, G.T. Protein NMR recall, precision, and F-measure scores (RPF scores): Structure quality assessment measures based on information retrieval statistics. J. Am. Chem. Soc. 2005, 127, 1665–1674. [Google Scholar] [CrossRef] [PubMed]
- Mofidi, C.M.; Alijanpour, A.; Barani, H.; Motamedi, J.; Azadi, H.; Van Passel, S. Economic sustainability assessment in semi-steppe rangelands. Sci. Total Environ. 2018, 637, 112–119. [Google Scholar] [CrossRef] [PubMed]












| Clustering Algorithm | Parameter | Defaults |
|---|---|---|
| BIRCH | branching_factor | 50 |
| threshold | 0.5 | |
| DBSCAN | eps | 0.5 |
| min_samples | 5 | |
| K-means | K | None |
| SOM | neurons | None |
| rate | None |
| Algorithm | Precision Rate | Recall Rate |
|---|---|---|
| S-RLA | 0.7797 | 0.8456 |
| D-RLA | 0.7704 | 0.8353 |
| K-RLA | 0.7678 | 0.8200 |
| B-RLA | 0.7262 | 0.8059 |
| N-RLA | 0.7413 | 0.7619 |
© 2018 by the authors. Licensee MDPI, Basel, Switzerland. This article is an open access article distributed under the terms and conditions of the Creative Commons Attribution (CC BY) license (http://creativecommons.org/licenses/by/4.0/).
Share and Cite
Xie, X.; Zhang, X.; Fu, J.; Jiang, D.; Yu, C.; Jin, M. Location Recommendation of Digital Signage Based on Multi-Source Information Fusion. Sustainability 2018, 10, 2357. https://doi.org/10.3390/su10072357
Xie X, Zhang X, Fu J, Jiang D, Yu C, Jin M. Location Recommendation of Digital Signage Based on Multi-Source Information Fusion. Sustainability. 2018; 10(7):2357. https://doi.org/10.3390/su10072357
Chicago/Turabian StyleXie, Xiaolan, Xun Zhang, Jingying Fu, Dong Jiang, Chongchong Yu, and Min Jin. 2018. "Location Recommendation of Digital Signage Based on Multi-Source Information Fusion" Sustainability 10, no. 7: 2357. https://doi.org/10.3390/su10072357
APA StyleXie, X., Zhang, X., Fu, J., Jiang, D., Yu, C., & Jin, M. (2018). Location Recommendation of Digital Signage Based on Multi-Source Information Fusion. Sustainability, 10(7), 2357. https://doi.org/10.3390/su10072357

