Abstract
We describe a student-centered, hands-on conservational program designed to alter adolescent environmental values and cognitive knowledge. The values (defined as sets of attitudes towards nature conservation) were measured using the 2-MEV scale (Two Major Environmental Values: Preservation, Utilization). Pre-existing knowledge levels and subsequent cognitive learning (short-, medium- and long-term) were scored on the basis of the three knowledge dimensions (system knowledge: Sys, action-related knowledge: Act and effectiveness knowledge: Eff). Two hundred and seventy-one 6th to 8th graders, unaware of the testing schedules, completed our questionnaires two weeks before (T0), immediately after (T1), six weeks after (T2) and six months (T3) after participation in our nature and wildlife conservation program module. The linear mixed effects model (LMM) was used to analyze the relationships of cognitive knowledge with Preservation and Utilization: high Preservation scores predicted high overall pre-knowledge for all three knowledge types. High Utilization scores correlated with low pre-knowledge scores for all knowledge types. For Preservation, this positive relationship remained constant at all testing schedules. Utilization and knowledge acquisition correlated negatively in both the short (six weeks) and long terms (six months). Students scoring high on Preservation knew more, learned more, and forgot less in the short term than the low scorers. Students scoring high on Utilization briefly added cognitive knowledge immediately after the intervention, though this disappeared again in the short term. Educators are advised to build upon existing values and adjust their teaching on nature conservation issues accordingly.
1. Introduction
Destruction of habitats, introduction of invasive species, increasing worldwide pollution, and over-exploitation by human activities as well as exaggerated population densities are frequent reasons for the degradation nature [1]. Acquisition of natural resources for immediate human needs often takes place at the expense of degrading environmental conditions [2]. Forests are frequently exploited for timber, fuelwood, or food [3]. This interaction may also deplete efficient carbon sinks, which for many European forest ecosystems is the case [4]. The world population is still growing exponentially, and its increasingly intensive use of land and the consequent pressure on forest ecosystems is rising steadily, depleting the biodiversity of existing forest ecosystems [2]. Young people must be made aware of their responsibility for slowing down or even stopping the preference for exploitation. Educational programs may help to support this intention.
The common umbrella for initiatives in scientific education is inquiry-based [5,6]. For example, week-long interventions within isolated and undisturbed national park environments dealing with nature conservation can produce significant knowledge which lasts for as much as six months [7]. Effective knowledge acquisition does not necessarily depend on the intervention length as even one-day educational interventions can produce positive cognitive learning effects [8,9]. High motivation scores are reported when authentic environments were provided and cognitive overload is prevented [10]. Hands-on learning in classrooms dealing with environmental issues are also likely to increase student interest, motivation, and the ability to think critically [11]. Student-oriented learning environments at learning stations with authentic objects “are perceived to be more interesting, enjoyable, and valuable than teacher-centered approaches […]” and “an introduction into the “new” learning approach leads to similar long-term learning outcomes as does the traditional approach” ([12], p. 952). Individual hands-on activity is also expected to promote meaningful learning, as this kind of activity may promote meaningful learning according to the constructivist concept that learning is learning by thinking [13].
The empirical competence model builds upon three interrelated knowledge-types: system-related, action-related, and effectiveness knowledge. Environmental values interrelate with each other and with the knowledge level [14]. Although it is complex to define the three different sections (items always need new formulation depending on the taught contents), all three types have been shown to relate to the “soft” variables of attitudes/values. This hypothesized model demonstrated the effectiveness of intervention efforts as successful in affecting cognitive learning and/or attitudes/values. The latter, whether positive or negative towards nature and the environment, are measured using the two-dimensional scale (2-MEV) of Preservation and Utilization [15]: both terms are hierarchically defined as values (higher order factors) consisting of sets of attitudes (primary factors) [16]. High scores in Preservation reflect a positive conservational preference, high scores in Utilization reflect preferences towards utilization and exploitation. People who have strong Preservation attitudes do not necessarily have weak Utilization attitudes [16]. A major advantage of the model is the orthogonality of these two higher-order values of attitude sets, permitting respondents to express support for Preservation and support for Exploitation, so that individual conflicts between protection of nature and the usage of natural resources do not exist [15,16,17]. Educational programs have repeatedly shown their potential to intervene with Preservation scores and Utilization scores as well [16,18] though this effect is not preconditioned as other studies have reported either only Utilization or only Preservation scores were increased [5,6]. In the latter (Swiss) study, the three-day program dealt with conservational options towards a regionaly endangered migratory bird species [5]. In general, long residential interventions are most likely to achieve a change in environmental values [7,19]. However, even a week-long residential program may also show no intervention effects for either dimension, although both domains correlated positively with knowledge acquisition [20].
Tight school schedules mean that one-day educational modules are more frequent, as they fit more easily into school syllabi [21]. Although one-day environmental education programs are not expected to affect attitudes or values, knowledge about attitudinal levels may provide hints for educators on how to present their programs, and who is most likely to respond positively to the program. The aim of our present study was to examine the effect of a short-term learning project on cognitive achievement in relation to existing environmental preferences in the short and long term. We had three objectives: to analyze (i) environmental values in relationship to (ii) pre-knowledge, and to examine (iii) the cognitive learning effect (overall knowledge as well as for the three knowledge types) in the short, middle, and long term. We measured environmental values and monitored knowledge levels and acquisition at four different time points: pre-knowledge (two weeks before), post-knowledge (T1: immediately after the intervention), retention knowledge (T2: six weeks after), and retention-2 knowledge (T3: six months after).
2. Methods
2.1. Sample & Procedure
Two hundred and seventy-one 6th to 8th graders (45.6% male; 56.6% female; average age = 12.86 SD = 1.081) participated in our study. Subjects came from regular classes of different schools within a predominantly rural environment of Bavaria (Germany). All schools in counties within a 50 km radius of the intervention site were informed about the program. All applications were accepted, until our envisaged sample size was reached. As far as we could learn, all participants were novices in school outreach experience. Our quasi-experimental-design (pre-post-retention-test) employed a questionnaire covering cognitive knowledge of forest ecology including environmental protection issues. This questionnaire was administered four times: first in a pre-test (T0) two weeks before the intervention using hands-on learning stations; second immediately after the intervention in a post-test (T1); third after six weeks (T2); and fourth after six months (T3).
The attitude sets were measured in the pre-test using the 2-MEV scale [22], which employs Likert scales (“strongly agree” 5, “undecided” 3, “strongly disagree” 1). This 2-MEV scale has repeatedly been independently confirmed [19,23,24,25,26,27], and provides a reliable and valid measurement tool. The Utilization item-set included items such as “Nature is always able to restore itself”, or “We need to clear forests in order to grow crops”. Preservation items were, for instance, “Humans don’t have the right to change nature as they see fit” or “Humankind will die out if we don’t live in tune with nature”: on the basis of 20 items, the two-dimensional higher order factor model quantifies preferences in environmental Preservation as well as Utilization [28]. The cognitive questionnaire dealt with the lesson topics of our intervention module, using 36 knowledge statements covering the three knowledge types: system knowledge (Sys), action-related knowledge (Act) and effectiveness knowledge (Eff) [29]. Each knowledge type was measured by 12 questions with four possible multiple-choice answers, each either correct or incorrect. The knowledge measurement used an ad-hoc questionnaire which needed construction due to its dependence on the intervention contents. An example of the first one (system knowledge): The age of a tree is visible on (A) the number of leaves, (B) the annual rings, (C) the bark’s thickness, (D) the tree’s height. For the second (action-related knowledge): If you want to reduce your CO2 impact, you (A) take the bus, (B) use carpools, (C) ask for a car ride, (D) decide to walk. For the latter (effectiveness knowledge): How much oxygen does an old oak produce daily? (A) as much as 5 humans need annually, (B) as much as 1 human needs annually, (C) as much as 100 humans need annually, (D) as much as 10 humans need annually. All knowledge measures were analysed using the Rasch model to ensure an appropriate difficulty range as well as sufficient reliability and validity scores (details are to be published elsewhere). We are aware that the Rasch model ensures adequate reliability and validity only if the questionnaire has been developed to fit the model.
2.2. Environmental Education Program (Intervention)
Our conservation program “Our forest?! Nature and wildlife conservation in the ecosystem of a temperate forest” was adapted to and followed the Bavarian school curriculum. To minimize the advisor variable, a single instructor conducted the program for each class. We followed a student-centered, inquiry-based approach based on workstations [12,30]. Eight workstations (six obligatory and two optional) dealt with the forest ecosystem, nature conservation, or individual footprints. All workstations contained active hands-on activities and authentic material requiring inquiry-based problem-solving. Working on learning stations is a cooperative approach which supports cognitive achievements [31] and affective intents [32]. The program was completed in three lesson units by groups of 3–4 persons. For each workstation, the student groups had 20 min to complete the tasks (a more detailed summery is to be published elsewhere). The obligatory workstations were labelled: Aging of trees—annual rings; Living in forest litter; Pollution of forests; Dead wood and its inhabitants; There is air in the tree; Ecological footprints. Two workstations dealt with: Knowing local trees; Bats—hunting at night.
2.3. Data Analysis
All analyses were carried out using R version 3.1.2 (The R Foundation for Statistical Computing, 2014). We selected the mean knowledge score per student (obtained from the 36 knowledge items) as our target variable. Analyses used a linear mixed effects model (LMM) via the function lmer in the R package lme4 [33]. We included all four schedules (T0, T1, T2, and T3), mean values of Preservation and Utilization, sex, and knowledge type as fixed factors, and school and pupil identity as random effects to account for repeated measurements or possible differences among schools. The knowledge increase between schedules was also modelled as linear mixed effects using the function lmer. Mean knowledge per student at T1, T2, T3, and T4 was the dependent variable, mean values of Preservation and Utilization were factors, and sex and school were random factors. Also we selected the mean knowledge per student at T0, T1, T2, and T3 as a baseline (by using an offset term) to test knowledge increase directly. Obtained p-values were adjusted for multiple testing according to [34].
3. Results
Major Environmental Values. Environmental preferences yielded a mean for Preservation (PRE) of 3.69 (SD = 0.70; min = 1; max = 5) and for Utilization (UTL) 3.35 (SD = 0.62; min = 1; max = 5). The female Preservation score was 3.71 (SD 0.68; min = 1; max = 5), the male 3.68 (SD 0.74; min = 1; max = 5); for Utilization, females scored 3.42 (SD 0.55; min = 1; max = 5) and males 3.44 (SD 0.69; min = 1; max = 5). For both environmental values, no significant gender effect was present (PRE p = 0.74; UTL p = 0.77). Cronbach’s alpha was Preservation alpha = 0.76 and Utilization alpha = 0.63.
Knowledge acquisition. Overall knowledge questions in the pre-test yielded a mean of 0.51 (SD = 0.11) correct answers. After the intervention knowledge increased highly significantly (p < 0.001) in the post-test to a mean of 0.60 (SD = 0.15). Knowledge in the mid and long term also increased significantly and remained stable (p < 0.001; retention test-I yielded a mean of 0.56 ± 0.19; retention test-II a mean of 0.55 ± 0.20).
Interrelation between overall knowledge and environmental values. All four testing schedules (T0, T1, T2, and T3) showed that a high overall knowledge score correlated positively with Preservation (p < 0.001). For Utilization we found a significant negative relation (p < 0.001) for T0, no relation (p = 0.28) at T1 and significantly increasing negative relations for T2 (p = 0.02) and T3 (p = 0.00) (Table 1).
Table 1.
Interrelation between overall knowledge and environmental values (2-MEV), separated into Preservation and Utilization at each test point (linear mixed effects model (LMM)).
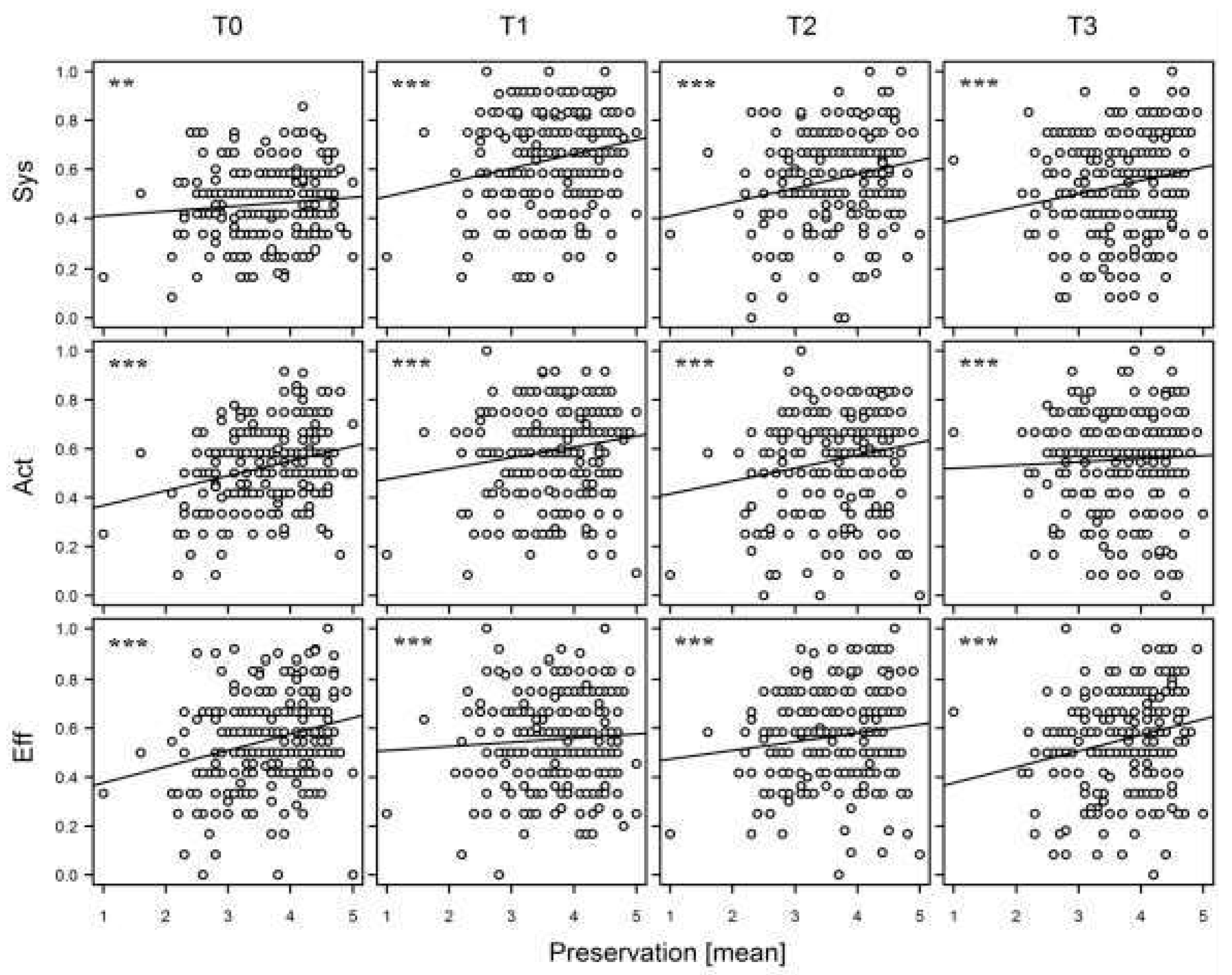
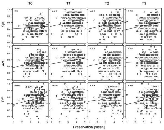
Interrelation between knowledge types and environmental values. The highly significant positive relation between Preservation scores and all three knowledge types remained constant at all testing points (all p < 0.001, except T0 Sys p = 0.01) (Figure 1). In contrast, we found significant negative relationships between knowledge and Utilization. For T0 there were negative relations between Utilization and all three knowledge types, highly significant for Act p < 0.001, for Sys p = 0.00 and significant for Eff p = 0.01. After intervention in the post-test, there were no significant correlations relation between Utilization and Sys (p = 0.27) or Act (p = 0.81), only Eff showing a negative relation with p = 0.02. For middle- and long-term knowledge we found an increasing negative relation from T2 p < 0.02 to T3 p < 0.01 for all three selected knowledge types (Figure 2).
Figure 1.
Interrelation between knowledge types (Sys system knowledge, Act action-related knowledge and Eff effectiveness knowledge) and Preservation (of the 2-MEV scale). Knowledge was at all testing points (T0, T1, T2, and T3) significantly positively related to both values (all p < 0.01) (linear mixed effects model (LMM)).
Figure 2.
Interrelation between knowledge types (Sys system knowledge, Act action-related knowledge and Eff effectiveness knowledge) and Utilization (of the 2-MEV). Knowledge in all types was significantly negatively related to Utilization at nearly all testing points T0, T1, T2, and T3 (all p < 0.02, no relation in T1 Sys and Act p > 0.27) (linear mixed effects model (LMM)).
Interrelation between knowledge acquisition and environmental values. The overall knowledge increase pre- to post-test (T0–T1) was independent of Preservation or Utilization (p = 0.31). From post-test (T1) to retention-test (T2), the overall knowledge decrease was highly significant related to high Utilization with p < 0.001. For middle- and long-term knowledge increase no relation between overall knowledge and Preservation (p = 1.00) or Utilization (p > 0.86) was found (Table 2). System knowledge increase in the short term was highly significant related (p = 0.03) to a higher Preservation score but not to a Utilization score (p = 1.00). For Act we found no relations (PRE p = 1.00 and UTL p = 1.00) and for Eff we found no significance, but a high positive influence of high Utilization scores with z = 2.3 (p = 0.08). From post- (T1) to retention-test (T2) a decrease of knowledge was detected for Sys (z = −1.86; p = 0.06), Act (z = −2.01; p = 0.04) and Eff (z = −2.15; p = 0.03) depending on a high Utilization score. The mid-term knowledge achievement was positively related to a high Preservation score for Sys (z = 2.10; p = 0.14) and negatively for Eff (z = −2.56; p = 0.04). For long-term knowledge acquisition we observed a significant negative relation only between Act and a Preservation score with p = 0.05 (Table 3).
Table 2.
Interrelation between overall knowledge and environmental values (2-MEV) (LMM).
Table 3.
Interrelation between knowledge types (Sys system knowledge, Act action-related knowledge and Eff effectiveness knowledge) and environmental values (2-MEV) (linear mixed effects model (LMM)).
4. Discussion
The message is clear, as Preservation not only correlates positively with the pre-knowledge level, it also supported the learning level and prevented the loss of acquired knowledge in the short-term scale. In detail, we discovered some interesting correlations between environmental values and knowledge acquisition: A high Preservation value meant a high overall pre-knowledge level, this being true for all three knowledge types in the pre-test, post-test, and nearly all knowledge-types in both retention-tests (after six weeks and six months). This is important, because one could say that a person with high environmental knowledge, no matter in which knowledge type, also scores higher in conservation and in the protection of the environment: knowing more about the environment goes hand in hand with pro-environmental attitudes. The pre- to the post-test Sys yielded a significant positive correlation with Preservation, meaning students with a high Preservation value achieved a significantly higher system knowledge level (p = 0.01) in the short-term and therefore gained more new knowledge. This result is supported by Reference [35] as well as by Reference [20], whose results showed that high Preservation resulted in a higher value in the post- and in the retention knowledge test. Participants with these values successfully learned more in Sys. These results are in line with the literature, where a significant correlation between knowledge and Preservation [5,18] is commonly reported. The same is true for the study of Reference [36]. We could demonstrate only an increase for Sys, the other knowledge types, Act and Eff, seem to be independent of Preservation. Utilization had a significantly negative effect on scores in overall knowledge and in all knowledge types for pre-knowledge and both retention knowledge testing points. This agrees with Reference [26] who reported a negative correlation between Utilization and knowledge. However, other studies find no such negative correlation [5,37]. In our study, this relation between high Utilization score and high knowledge levels was no longer found in the post-knowledge for system- and action-related knowledge (p < 0.27): students with high Utilization scores had a short-term learning effect due to the intervention. Interestingly, this high Utilization score contributed to a significant loss of knowledge in the short term especially for the two knowledge types action-related and effectiveness knowledge. One reason might be that students with high Utilization scores may have showed less interest in nature conservation issues and hence forgot their newly acquired knowledge and/or could not integrate it in the middle or long term. However, an earlier study reported that knowledge levels may influence Utilization attitude-sets [26]. On the one hand, students with a high Utilization score forgot more than those with a lower one, but on the other learned significantly and retained substantial parts of their newly acquired environmental knowledge, which may lead to a future change in attitude. Here more detailed and especially longitudinal research is needed.
The three-environmental-knowledge-model [14] points out the effect of environmental values to knowledge types. Because knowledge and environmental values are requirements for achieving individual pro-environmental behavior [14,38], these factors can contribute substantially to environmental education. System knowledge has been shown to have the lowest effect on environmental values, where action-related as well as effectiveness knowledge are more important to influence those values [14]. Our results showed high pre-knowledge to be significantly related to high Preservation scores, while low pre-knowledge is related significantly to high Utilization scores. A high score in Preservation signals a positive preference in conservation efforts: all three forms of knowledge produce positive ecological behavior [14]. Nevertheless, only the knowledge increase of Sys is correlated with a high Preservation value, while high Sys tends to result in high Act and Eff knowledge and a deeper understanding [14]. Action-related and effectiveness knowledge seem to produce a positive effect on pro-environmental values (PRE). High scoring utilizers apparently learn to overcome their preferences in education programs, but unfortunately only in the short-term.
No gender differences in environmental values were found. The lack of a gender effect for Preservation and Utilization is in line with References [39] and [40]. However, this pattern is often not found as female participants score higher in Preservation and lower in Utilization, indicating that females have a stronger pro-environmental value [18,40,41]. The study of Reference [42] also reported no gender differences for the same age groups as in our study. Perhaps younger students have a higher connectedness with nature than older ones [9,43] and tend to show higher social desirability levels [44,45].
Finally, for education purposes, promoting knowledge acquisition and strengthening existing positive pro-environmental values are frequent aims [46,47], although for students with low environmental values that may be more difficult to achieve. Even though many studies focus on knowledge increase through environmental education programs [12], little is known about the influence of environmental attitudes playing a decisive role in achieving higher knowledge levels. Our results are a first step towards closing this gap, though more research is needed to understand the influence the various factors have on the increase of environmental knowledge [48,49]. We again point to the need for longer than half-day or full-day interventions to reach students with low pro-environmental values.
5. Conclusions
The identification of environmental values and cognitive knowledge acquisition in a short-, middle-, and long-term perspective apparently helps to optimize knowledge transfer [20,46]. In particular, environmental knowledge about nature conservation seems to be supported by environmental values; high environmental knowledge scores and pro-environmental attitudes go hand in hand, while low knowledge seems to relate to a more exploitative attitude towards nature. Further research is needed to clarify why high pre-knowledge in environmental topics or the pro-environmental attitudes pre-exist. Nevertheless, all students learned independently of individual attitude levels, which by itself already is a very positive outcome.
Author Contributions
Both authors completed cooperatively the conceptualization and the writing of the present study as well, while the first author under the supervision of the second has developed and implemented the intervention.
Funding
This study was supported by Open Discover Space (European Union CIP PSP Grant Agreement No. 297229). This publication was funded by the German Research Foundation (DFG) and the University of Bayreuth in the funding program Open Access Publishing. This article reflects only the authors’ views and neither the European Union nor the University of Bayreuth are liable for any use that might be made of information contained herein.
Acknowledgments
The Bavarian Ministry of Education (StUK) gave official permission for collecting all data for this study. Special thanks go to teachers and students involved in this study for their cooperation. We also thank Michael Wiseman for discussing earlier stages of our paper.
Conflicts of Interest
The authors declare no conflict of interest.
References
- Díaz, S.; Fargione, J.; Chapin, F.S.; Tilman, D. Biodiversity Loss Threatens Human Well-Being. PLoS Biol. 2006, 4, e277. [Google Scholar] [CrossRef] [PubMed]
- Foley, J.A.; DeFries, R.; Asner, G.P.; Barford, C.; Bonan, G.; Carpenter, S.R.; Chapin, F.S.; Coe, M.T.; Daily, G.C.; Gibbs, H.K.; et al. Global Consequences of Land Use. Science 2005, 309, 570–574. [Google Scholar] [CrossRef] [PubMed]
- Boucher, Y.; Arseneault, D.; Sirois, L.; Blais, L. Logging pattern and landscape changes over the last century at the boreal and deciduous forest transition in Eastern Canada. Landsc. Ecol. 2008, 24, 171–184. [Google Scholar] [CrossRef]
- Valentini, R.; Matteucci, G.; Dolman, A.J.; Schulze, E.-D.; Rebmann, C.; Moors, E.J.; Granier, A.; Gross, P.; Jensen, N.O.; Pilegaard, K.; et al. Respiration as the determinant of carbon balance in European forests. Nature 2000, 404, 861–865. [Google Scholar] [CrossRef] [PubMed]
- Bogner, F.X. Empirical evaluation of an educational conservation programme introduced in Swiss secondary schools. Int. J. Sci. Educ. 1999, 21, 1169–1185. [Google Scholar] [CrossRef]
- Bogner, F.X.; Wiseman, M. Environmental Perception: Factor Profiles of Extreme Groups. Eur. Psychol. 2002, 7, 225–237. [Google Scholar] [CrossRef]
- Bogner, F.X. The influence of short-term outdoor ecology education on long-term variables of environmental perspective. J. Environ. Educ. 1998, 29, 17–29. [Google Scholar] [CrossRef]
- Sellmann, D.; Bogner, F.X. Climate change education: Quantitatively assessing the impact of a botanical garden as an informal learning environment. Environ. Educ. Res. 2012, 19, 415–429. [Google Scholar] [CrossRef]
- Kossack, A.; Bogner, F.X. How does a one-day environmental education programme support individual connectedness with nature? J. Biol. Educ. 2012, 46, 180–187. [Google Scholar] [CrossRef]
- Scharfenberg, F.J.; Bogner, F.X. Instructional efficiency of changing cognitive load in an out-of-school laboratory. Int. J. Sci. Educ. 2010, 32, 829–844. [Google Scholar] [CrossRef]
- Bogner, F.X. The influence of a residential outdoor education programme to pupil’s environmental perception. Eur. J. Psychol. Educ. 2002, 17, 19–34. [Google Scholar] [CrossRef]
- Sturm, H.; Bogner, F.X. Student-oriented versus Teacher-centred: The effect of learning at workstations about birds and bird flight on cognitive achievement and motivation. Int. J. Sci. Educ. 2008, 30, 941–995. [Google Scholar] [CrossRef]
- Mayer, R.E. Should there be a three strikes rule against pure discovery learning? Am. Psychol. 2004, 59, 14–19. [Google Scholar] [CrossRef] [PubMed]
- Kaiser, F.G.; Roczen, N.; Bogner, F.X. Competence formation in environmental education: Advancing ecology-specific rather than general abilities. Umweltpsychologie 2008, 12, 56–70. [Google Scholar]
- Bogner, F.X.; Wiseman, M. Toward measuring adolescent environmental perception. Eur. Psychol. 1999, 4, 139–151. [Google Scholar] [CrossRef]
- Bogner, F.X.; Wiseman, M. Adolescents’ attitude towards nature and environment: Quantifying the 2-MEV model. Environmentalist 2006, 26, 247–254. [Google Scholar] [CrossRef]
- Bogner, F.X.; Brengelmann, J.; Wiseman, M. Risk-taking and environmental perception. Environmentalist 2000, 20, 49–62. [Google Scholar] [CrossRef]
- Bogner, F.X.; Wiseman, M. Outdoor ecology education and pupil’s environmental perception in preservation and utilization. Sci. Educ. Int. 2004, 15, 27–48. [Google Scholar]
- Johnson, B.; Manoli, C. Using Bogner and Wiseman’s Model of Ecological Values to measure the impact of an earth education program on children’s environmental perceptions. Environ. Educ. Res. 2008, 14, 115–127. [Google Scholar] [CrossRef]
- Dieser, O.; Bogner, F.X. How individual environmental values influence knowledge acquisition of adolescents within a week-long outreach biodiversity module. J. Glob. Res. Educ. Soc. Sci. 2017, 9, 213–224. [Google Scholar]
- Sellmann, D.; Bogner, F.X. Effects of a 1-day environmental education intervention on environmental attitudes and connectedness with nature. Eur. J. Psychol. Educ. 2013, 28, 1077–1086. [Google Scholar] [CrossRef]
- Kibbe, A.; Bogner, F.X.; Kaiser, F.G. Exploitative vs. appreciate use of nature—Two interpretations of utilization and their relevance of environmental education. Stud. Educ. Eval. 2013, 41, 106–112. [Google Scholar] [CrossRef]
- Milfont, T.L.; Duckitt, J. The structure of environmental attitudes: A first- and second-order confirmatory factor analysis. J. Environ. Psychol. 2004, 24, 289–303. [Google Scholar] [CrossRef]
- Johnson, B.; Manoli, C.C. The 2-MEV scale in the United States: A measure of children’s environmental attitudes based on the theory of ecological attitude. J. Environ. Educ. 2010, 42, 84–97. [Google Scholar] [CrossRef]
- Boeve-de Pauw, J.; Van Petegem, P. A cross-national perspective on youth environmental attitudes. Environmentalist 2010, 30, 133–144. [Google Scholar] [CrossRef]
- Boeve-de Pauw, J.; Van Petegem, P. The Effect of Flemish Eco-Schools on Student Environmental Knowledge, Attitudes and Affect. Int. J. Sci. Educ. 2011, 33, 1513–1538. [Google Scholar] [CrossRef]
- Borchers, C.; Boesch, C.; Riedel, J.; Guilahoux, H.; Quattara, D.; Randler, C. Environmental education in Cote d’Ivoire/West Africa: Extra-curricular primary school teaching shows positive impact on environmental knowledge and attitudes. Int. J. Sci. Educ. 2013, 34, 240–259. [Google Scholar] [CrossRef]
- Wiseman, M.; Bogner, F.X. A Higher Order Model of Ecological Values and Its Relationship to Personality. Personal. Individ. Differ. 2003, 34, 783–794. [Google Scholar] [CrossRef]
- Kaiser, F.G.; Frick, J. Entwicklung eines Messinstruments zur Erfassung von Umweltwissen auf der Basis des MRCML-Modells [Development of an environmental knowledge measure: Application of the MRCML-Model]. Diagnostica 2002, 48, 181–189. [Google Scholar] [CrossRef]
- Gerstner, S.; Bogner, F.X. Cognitive achievement and motivation in hands-on and teacher-centred science classes: Does an additional hands-on consolidation phase optimize cognitive learning at work stations? Int. J. Sci. Educ. 2010, 32, 849–870. [Google Scholar] [CrossRef]
- Lord, T. 101 reasons for using cooperative learning in biology teaching. Am. Biol. Teach. 2001, 63, 30–38. [Google Scholar] [CrossRef]
- Fröhlich, G.; Sellmann, D.; Bogner, F.X. The Influence of Situational Emotions on the Intention for Sustainable Consumer Behaviour in a Student-Centred Intervention. Environ. Educ. Res. 2013, 19, 747–764. [Google Scholar] [CrossRef]
- Bolker, M.B.; Brooks, M.E.; Clark, C.J.; Geange, S.W.; Poulsen, J.R.; Stevens, M.H.; White, J.S. Generalized linear mixed models: A practical guide for ecology and evolution. Trends Ecol. Evol. 2009, 24, 1–9. [Google Scholar] [CrossRef] [PubMed]
- Benjamini, Y.; Hochberg, Y. Controlling the false discovery rate: A practical and powerful approach to multiple testing. J. Res. Stat. Sociol. 1995, 57, 289–300. [Google Scholar]
- Fremerey, C.; Bogner, F.X. Cognitive learning in authentic environments in relation to green attitude preferences. Stud. Educ. Eval. 2015, 44, 9–15. [Google Scholar] [CrossRef]
- Schneller, A.J.; Johnson, B.; Bogner, F.X. Measuring children’s environmental attitudes and values in northwest Mexico: Validating a modified version of measures to test the Model of Ecological Values (2-MEV). Environ. Educ. Res. 2014, 21, 61–75. [Google Scholar] [CrossRef]
- Sattler, S.; Bogner, F.X. Short-and long-term outreach at the zoo: Cognitive learning about marine ecological and conservational issues. Environ. Educ. Res. 2015, 23, 252–268. [Google Scholar] [CrossRef]
- Stern, P.C.; Dietz, T.; Guagnano, G.A. The new ecological paradigm in social psychological context. Environ. Behav. 1995, 27, 723–743. [Google Scholar] [CrossRef]
- Arcury, T.; Christianson, E. Rural and urban differences in environmental knowledge and action. J. Environ. Educ. 1993, 25, 19–25. [Google Scholar] [CrossRef]
- Zelezny, L.C.; Chua, P.P.; Aldrich, C. New ways of thinking about environmentalism: Elaborating on gender differences in environmentalism. J. Soc. Issues 2000, 56, 443–457. [Google Scholar] [CrossRef]
- Wiseman, M.; Wilson, G.; Bogner, F.X. Environmental values and authoritarianism. Psychol. Res. 2012, 2, 25–31. [Google Scholar]
- Liefländer, A.K.; Bogner, F.X. The effects of children’s age and sex on acquiring pro-environmental attitudes through environmental education. J. Environ. Educ. 2014, 45, 105–117. [Google Scholar] [CrossRef]
- Liefländer, A.K.; Fröhlich, G.; Bogner, F.X.; Schultz, P.W. Promoting connectedness with nature through environmental education. Environ. Educ. Res. 2012, 19, 370–384. [Google Scholar] [CrossRef]
- Boehnke, K.; Silbereisen, R.K.; Reynolds, C.; Richmond, B. What I think and feel: German experience with the revised form of the Children’s Manifest Anxiety Scale. Personal. Individ. Differ. (PAID) 1986, 7, 553–560. [Google Scholar] [CrossRef]
- Oerke, B.; Bogner, F.X. Social desirability, environmental attitudes, and general ecological behaviour in children. Int. J. Sci. Educ. 2011, 35, 713–730. [Google Scholar] [CrossRef]
- Fancovicova, J.; Prokop, P. Plants have a chance: Outdoor educational programme alter students’ knowledge and attitudes towards plants. Environ. Educ. Res. 2011, 17, 537–551. [Google Scholar] [CrossRef]
- Schönfelder, M.L.; Bogner, F.X. Two ways of acquiring environmental knowledge: By encountering living animals at a beehive and by observing bees via digital tools. Int. J. Sci. Educ. 2017, 39, 723–741. [Google Scholar] [CrossRef]
- Oerke, B.; Bogner, F.X. Gender, age and subject matter: Impact on teachers’ ecological values. Environmentalist 2010, 30, 111–122. [Google Scholar] [CrossRef]
- Herrington, J.; Oliver, R. An Instructional Design Framework for Authentic Learning Environments. Educ. Technol. Res. Dev. 2000, 48, 23–48. [Google Scholar] [CrossRef]
© 2018 by the authors. Licensee MDPI, Basel, Switzerland. This article is an open access article distributed under the terms and conditions of the Creative Commons Attribution (CC BY) license (http://creativecommons.org/licenses/by/4.0/).

