Remanufacturing Decisions with WTP Discrepancy and Uncertain Quality of Product Returns
Abstract
1. Introduction
2. Literature Review
3. Research Questions and Hypotheses
3.1. Research Questions
3.2. Symbol Descriptions and Model Hypotheses
- (1)
- The product only can be recycled and remanufactured once, and similar products include photocopiers, computers, and mobile phones, as examples [23].
- (2)
- Although the quality of waste products varies from one piece to another, the quality of the remanufactured products is the same after being processed by remanufacturing technology. That is, the wholesale and retail prices of remanufactured products are undifferentiated, while there is a difference in the cost of the remanufacturing processes.
- (3)
- With sufficient productivity, the manufacturer is able to satisfy the market and the retailer’s demand.
- (4)
- Only the waste product, where the cost of the remanufacturing processes is less than that of manufacturing new products, can be recycled, so that remanufacturing is profitable. In addition, the production cost is less than the wholesale price, namely . In other words, for , the minimum quality coefficient is and .
- (5)
- The new products that were sold in the previous period and recycled in the present periods can be used for remanufacturing, and hence .
- (6)
- The manufacturer, the retailer, and the consumer aim to maximize their respective profits. In the supply chain, the manufacturer is the leader of game, while the retailer is the follower.
3.3. Demand Function
3.4. Cost Function in the Remanufacturing Process
3.5. The Function of Recycling Prices
3.6. The Function of Recycling Rates
3.7. The Function of Recycling Cost of Waste Products
4. Modeling and Solutions
4.1. Retail Prices of New and Remanufactured Products Determined by Retailers
4.2. The Wholesale Price Determined by the Manufacturer for New and Remanufactured Products
5. Analyses of Examples
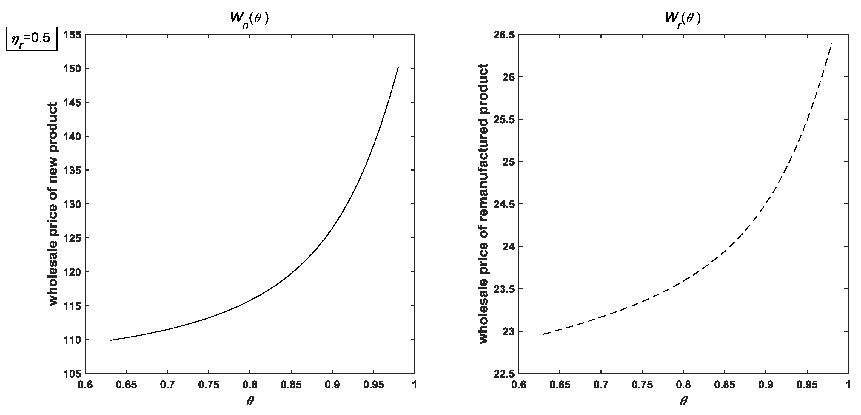
5.1. Impact of on the Decisions of Supply Chain Members
5.1.1. Impact of on the Manufacturer’s Decisions
5.1.2. Impact of on the Retailer’s Decisions
5.2. Impact of on the Supply Chain Members’ Decisions
5.2.1. Impact of on the Manufacturer’s Decisions
5.2.2. Impact of on the Retailer’s Decision
5.2.3. Impact of on Profits
6. Conclusions
Author Contributions
Funding
Acknowledgments
Conflicts of Interest
Appendix A
Appendix B
- (1)
- First of all, it is assumed that the first-order partial derivative of decision variable of the target function is 0, the extremum of the decision variable is derived.
- (2)
- Below is the proof that is the maximum point of the target function.
References
- Guide, V.D.R., Jr.; Harrison, H.P.; Van Wassenhove, L.N. The Challenge of Closed-loop Supply Chains. Interfaces 2003, 33, 3–6. [Google Scholar] [CrossRef]
- Sun, X. Study on Development Path of Third-party Logistics in Low Carbon Supply Chain. Environ. Sci. Manag. 2018, 43, 1–4. [Google Scholar]
- Govindan, K.; Paam, P.; Abtahi, A.R. A Fuzzy Multi-Objective Optimization Model for Sustainable Reverse Logistics network design. Ecol. Indic. 2016, 67, 753–768. [Google Scholar] [CrossRef]
- Cheng, J.; Li, B.; Gong, B.; Cheng, M.; Xu, L. The Optimal Power Structure of Environmental Protection Responsibilities Transfer in Remanufacturing Supply Chain. J. Clean. Prod. 2016, 97, 1–12. [Google Scholar] [CrossRef]
- Guide, V.D.R., Jr.; Li, J. The Potential for Cannibalization of New Products Sales by Remanufactured Products. Decis. Sci. 2010, 41, 547–572. [Google Scholar] [CrossRef]
- Nie, J.; Zhong, L. A Research on the Remanufacturing Models with Green Customers. Ind. Eng. J. 2018, 21, 9–18. [Google Scholar]
- Abbey, J.D.; Blackburn, J.D. Optimal Pricing for New and Remanufactured Products. J. Oper. Manag. 2015, 36, 130–146. [Google Scholar] [CrossRef]
- Ferrer, G.; Swaminathan, J.M. Managing New and Remanufactured Products. Manag. Sci. 2006, 52, 15–26. [Google Scholar] [CrossRef]
- Debo, L.G.; Toktay, B.L.; van Wassenhove, L.N. Market Segmentation and Product Technology Selection for Remanufacturable Products. Manag. Sci. 2005, 51, 1193–1205. [Google Scholar] [CrossRef]
- Ferguson, M.; Toktay, B. The Effect of Competition on Recovery Strategies. Prod. Oper. Manag. 2006, 15, 351–368. [Google Scholar] [CrossRef]
- Ferrera, G.; Swaminathan, J.M. Managing New and Differentiated Remanufactured Products. Eur. J. Oper. Res. 2010, 203, 370–379. [Google Scholar] [CrossRef]
- Wu, Y.; Xiong, Z. Production Strategies of the Original Equipment Manufacturer and Independent Operator under the Condition of Competition. Syst. Eng. Theory Pract. 2014, 34, 291–303. (In Chinese) [Google Scholar]
- Zhang, J.; Huo, J.; Zhang, Y. Coordination Strategy Designing in Closed loop Supply Chain Based on Pricing Game. J. Ind. Eng. Eng. Manag. 2009, 23, 119–124. (In Chinese) [Google Scholar]
- Hazen, B.T.; Boone, C.A.; Wang, Y. Perceived Quality of Remanufactured Products: Construct and Measure Development. J. Clean. Prod. 2017, 142, 716–726. [Google Scholar] [CrossRef]
- Shulman, J.D.; Coughlan, A.T.; Savaskan, C.R. Optimal Reverse Channel Structure for Consumer Product Returns. Informs 2010, 29, 1071–1085. [Google Scholar] [CrossRef]
- Feng, Y.; Zhang, Y. A System Dynamics Model for Evolutionary Game of Recycling Quality Inspection between the Manufacturer and Retailer. Logist. Eng. Manag. 2018, 40, 119–124. [Google Scholar]
- Wei, J.; Zhao, J. Pricing Decisions with Retail Competition in a Fuzzy Closed-loop Supply Chain. Expert Syst. Appl. 2011, 38, 11209–11216. [Google Scholar] [CrossRef]
- Guide, V.D.R., Jr.; van Wassenhove, L.N. Closed-loop Supply Chains: Practice and Potential. Interfaces 2003, 33, 1–2. [Google Scholar] [CrossRef]
- Denizel, M.; Ferguson, M.; Souza, G.C. Multiperiod Remanufacturing Planning with Uncertain Quality of Inputs. IEEE Trans. Eng. Manag. 2010, 57, 394–404. [Google Scholar] [CrossRef]
- Robotis, A.; Boyaci, T.; Verter, V. Investing in Reusability of Products of Uncertain Remanufacturing Cost: The Role of Inspection Capabilities. Int. J. Prod. Econ. 2012, 140, 385–395. [Google Scholar] [CrossRef]
- Guo, J.; Ya, G. Optimal Strategies for Manufacturing/Remanufacturing System with the Consideration of Recycled Products. Comput. Ind. Eng. 2015, 89, 226–234. [Google Scholar] [CrossRef]
- Bhattacharya, R.; Kaur, A. Allocation of External Returns of Different Quality Grades to Multiple Stages of a Closed Loop Supply Chain. J. Manuf. Syst. 2015, 37, 692–702. [Google Scholar] [CrossRef]
- Savaskan, R.C.; Bhattacharya, S.; Van Wassenhove, L.N. Closed-Loop Supply Chain Models with Product Remanufacturing. Manag. Sci. 2004, 50, 239–252. [Google Scholar] [CrossRef]
- Bulmus, S.C.; Zhu, S.X.; Teunter, R. Competition for Cores in Remanufacturing Bulmus. Eur. J. Oper. Res. 2014, 233, 105–113. [Google Scholar] [CrossRef]
- Yuan, K.; Ma, S.; He, B. Study on Pricing Mechanism of Cores for Remanufacture Considering Returned Quality. Modul. Mach. Tool Autom. Manuf. Tech. 2015, 12, 152–155. (In Chinese) [Google Scholar]
- Klausner, M.; Hendrickson, C.T. Reverse-Logistics Strategy for Product Take-Back. Interfaces 2000, 30, 156–165. [Google Scholar] [CrossRef]
- Guo, J.; Li, B.; Ni, M. The Selection of Take-Back Model of Remanufacturing Closed-Loop Supply Chain Based on WTP Differentiation. Chin. J. Manag. 2015, 12, 142–147. (In Chinese) [Google Scholar]
- Huang, Z.; Guo, J.; Gu, B. Optimal Operation Strategy of the Closed-Loop System by Considering Recycling Product Quality and Price Level. Ind. Eng. Manag. 2014, 19, 36–41. (In Chinese) [Google Scholar]









| Variables | Definitions |
|---|---|
| Unit production cost of new products | |
| Unit material replacement cost refers to the cost of new components when parts cannot be repaired in the remanufacturing process | |
| Human cost caused by alternative materials in the process of remanufacturing of products, , | |
| The cost caused by the same links in the remanufacturing process such as disassembly, detection, cleaning, and packaging, which is a fixed constant | |
| The quality coefficient of product returns, , ; a rise in means that the quality of returns is higher. | |
| The minimum quality coefficient of product returns | |
| The unit cost of remanufacturing process when the quality coefficient of product returns is , | |
| The price subsidy which manufacture offers the end users who return waste products when the quality coefficient of product returns is | |
| The unit cost mean value of remanufacturing process with uncertain quality of product returns | |
| The profit rate gained by manufacture when one unit of remanufactured product is sold to the retailer | |
| The recycling rate when the price of product returns is with the quality coefficient | |
| The mean value of recycling rate with uncertain quality of product returns | |
| The unit wholesale price of new products | |
| The unit wholesale price of remanufactured products | |
| The unit retail price of new products | |
| The unit retail price of remanufactured products | |
| The market demand of new products | |
| The market demand of remanufactured products | |
| The coefficient of consumer preference for remanufactured products, , |
| Decision Variables | Optimal Decisions |
| . | |
| Parameters | Values | Units | Symbols | Calculated Values |
|---|---|---|---|---|
| A | 200 | Sets | 0.4531 | |
| 18 | Yuan/set | 12.4 | ||
| 0.2 | / | 0.2226 | ||
| 7 | Yuan/set | 1.8489 | ||
| 0.6 | / | 17.0982 |
| Decision Variables | Optimal Decisions | Forms |
|---|---|---|
are not correlated with ) | ||
© 2018 by the authors. Licensee MDPI, Basel, Switzerland. This article is an open access article distributed under the terms and conditions of the Creative Commons Attribution (CC BY) license (http://creativecommons.org/licenses/by/4.0/).
Share and Cite
Shu, T.; Xu, J.; Chen, S.; Wang, S.; Lai, K.K. Remanufacturing Decisions with WTP Discrepancy and Uncertain Quality of Product Returns. Sustainability 2018, 10, 2123. https://doi.org/10.3390/su10072123
Shu T, Xu J, Chen S, Wang S, Lai KK. Remanufacturing Decisions with WTP Discrepancy and Uncertain Quality of Product Returns. Sustainability. 2018; 10(7):2123. https://doi.org/10.3390/su10072123
Chicago/Turabian StyleShu, Tong, Jiajia Xu, Shou Chen, Shouyang Wang, and Kin Keung Lai. 2018. "Remanufacturing Decisions with WTP Discrepancy and Uncertain Quality of Product Returns" Sustainability 10, no. 7: 2123. https://doi.org/10.3390/su10072123
APA StyleShu, T., Xu, J., Chen, S., Wang, S., & Lai, K. K. (2018). Remanufacturing Decisions with WTP Discrepancy and Uncertain Quality of Product Returns. Sustainability, 10(7), 2123. https://doi.org/10.3390/su10072123

