An Admission Control Mechanism for 5G LWA
Abstract
1. Introduction
2. Related Work
- We propose an algorithm to activate the optimal number of LWA UEs, accounting for the accommodating capacity of the WLAN network, as well as guaranteeing QoS for LWA UEs.
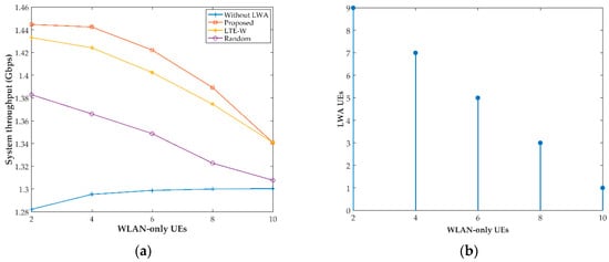
- We prove with numerical results that our proposed algorithm achieves better system throughput gain, compared with a random mechanism and an LTE-W mechanism.
- The complexity of our proposed algorithm holds to only O(QM2) for worst-case time complexity, whereas eNB can hold Q APs, comprised of M UEs, and MlogM is the complexity in sorting.
- We present a detailed procedure for LWA activation and deactivation.
3. System Model
3.1. Problem Formulation
3.2. Challenges on an Unlicensed Band
3.3. The Proposed LWA Algorithm
| Algorithm 1. The proposed algorithm for optimum allocation of LWA UEs. |
![]() |
3.4. LWA Activation and Deactivation Procedures
3.4.1. For LWA Activation
- The RRM entity of the eNB gets the packet data convergence protocol (PDCP) layer to configure the bearer of the UEs to the WLAN. Configurations of bearers can be of two types: a switch or a split bearer.
- Switch bearer: Since only one data path is possible, the RRM suggests PDCP for switching the bearer configuration from LTE to WLAN only.
- Split bearer: The LB entity commands execution of split scheduling at the PDCP layer that strips the incoming packets (PDCP protocol data units [PDUs]) of the LWA UE bearer into two links. However, the data transmission ratio between the links can be variable based on the traffic condition and load of the WLAN network, which is outside the scope of this article.
- Before a PDU is transmitted by the WLAN interfaces, the LWA adaptation protocol (LWAAP) entity processes the data and generates an LWAAP PDU containing a DRB identity (DRBID) (a one-byte header to each PDCP PDU). Furthermore, Ether Type 0X9E65 is added by the WLAN AP for forwarding LWA data packets to UEs over the WLAN. Later on, this information is used by UEs to identify the LWA bearer of the receiving PDU.
- After reception of data by UEs, the UEs differentiate the LWA packets from normal packets by processing them through the LWAAP entity, where the LWAAP header is removed, and then forwards the packets to the PDCP instance based on the DRBID. In return, an LWA status report is sent via LTE to the eNB to acknowledge correct reception of the LWA packets.
- The LWA status report constitutes the first missing sequence number (FMS), the highest received sequence number on the WLAN (HRW), and the number of missing PDUs (NMP).
- Based on LWA status feedback through UEs, the eNB maintains traffic through the WLAN for LWA UEs.
3.4.2. For LWA Deactivation
- 5.
- The RRM entity of the eNB requires the PDCP layer to use the default bearer configuration, which is LTE for UEs.
- 6.
- PDUs will be sent through an LTE-only path to UEs.
4. Numerical Results
5. Conclusions
Author Contributions
Acknowledgments
Conflicts of Interest
References
- CS Inc. Cisco Visual Networking Index: Forecast and Methodology, 2016–2021. 6 June 2017. Available online: https://www.cisco.com/ (accessed on 20 January 2017).
- Bajracharya, R.; Shrestha, R.; Zikria, Y.B.; Kim, S.W. LTE in the unlicensed spectrum: A survey. IETE Tech. Rev. 2018, 35, 78–90. [Google Scholar] [CrossRef]
- Ling, J.; Kanugovi, S.; Vasudevan, S.; Pramod, A.K. Enhanced capacity and coverage by Wi-Fi LTE integration. IEEE Commun. Mag. 2015, 53, 165–171. [Google Scholar] [CrossRef]
- Al-Dulaimi, A.; Al-Rubaye, S.; Ni, Q.; Sousa, E. 5G communications race: Pursuit of more capacity triggers LTE in unlicensed band. IEEE Veh. Technol. Mag. 2015, 10, 43–51. [Google Scholar] [CrossRef]
- Chatzikokolakis, K.; Spapis, P.; Kaloxylos, A.; Alonistioti, N. Toward spectrum sharing: Opportunities and technical enablers. IEEE Commun. Mag. 2015, 53, 26–33. [Google Scholar] [CrossRef]
- 3GPP TS 36.300. Evolved Universal Terrestrial Radio Access (E-UTRA) and Evolved Universal Terrestrial Radio Access Network (E-UTRAN); Overall Description; Stage 2, V.13.3.0; 3GPP: Sophia Antipolis, France, 2016.
- 3GPP Standard TR 36.889. Feasibility Study on Licensed-Assisted Access to Unlicensed Spectrum; 3GPP: Sophia Antipolis, France, 2015.
- Qualcomm. Extending the Benefits of LTE Advanced to Unlicensed Spectrum; Qualcomm White Paper; Qualcomm: San Diego, CA, USA, 2014. [Google Scholar]
- Cracking the Crowded 2.4 GHz Conundrum. 22 July 2016. Available online: https://www.ingenu.com/2016/07/cracking-the-crowded-2-4ghz-conundrum/ (accessed on 6 February 2017).
- Bhorkar, A.; Ibars, C.; Zong, P. On the throughput analysis of LTE and WiFi in unlicensed band. In Proceedings of the 2014 48th Asilomar Conference on Signals, Systems and Computers, Pacific Grove, CA, USA, 2–5 November 2014. [Google Scholar]
- Nihtila, T.; Tykhomyrov, V.; Alanen, O.; Uusitalo, M.A.; Sorri, A.; Moisio, M.; Iraji, S.; Rastuk, R.; Mangalvedhe, N. System performance of LTE and IEEE 802.11 coexisting on a shared frequency band. In Proceedings of the 2013 IEEE Wireless Communications and Networking Conference, Shanghai, China, 7–10 April 2013. [Google Scholar]
- Cui, H.; Leung, V.C.M.; Li, S.; Wang, X. LTE in the Unlicensed Band: Overview, Challenges, and Opportunities. IEEE Wirel. Commun. 2017, 24, 99–105. [Google Scholar] [CrossRef]
- Tight, Tighter and Very Tight Integration between LTE and WiFi Networks. Available online: https://smallcells.3g4g.co.uk/2014/07/tight-tighter-and-very-tight.html (accessed on 9 March 2017).
- Buddhikot, M.M.; Chandranmenon, G.; Han, S.; Lee, Y.-W.; Miller, S.; Salgarelli, L. Design and implementation of a wlan/cdma2000 interworking architecture. IEEE Commun. Mag. 2003, 41, 90–100. [Google Scholar] [CrossRef]
- 3GPP TS 24.312 v.12.10.0, Access Network Discovery and Selection Function (ANDSF) Management Object (MO); 3GPP: Sophia Antipolis, France, September 2015.
- 3GPP TS 23.234, Universal Mobile Telecommunications System (UMTS); LTE; 3GPP System to Wireless Local Area Network (WLAN) Interworking; System Description; V.13.1.0; 3GPP: Sophia Antipolis, France, 2017.
- 3GPP TS 23.402. Architecture Enhancements for Non-3GPP Accesses; Release 10, Technical Specification, Technical Report; 3GPP: Sophia Antipolis, France, 2012.
- Lagrange, X. Very tight coupling between lte and wifi for advanced offloading procedures. In Proceedings of the 2014 IEEE Wireless Communications and Networking Conference Workshop, Istanbul, Turkey, 6–9 April 2014. [Google Scholar]
- Ford, A.; Raiciu, C.; Handley, M.; Bonaventure, O. TCP Extensions for Multipath Operation with Multiple Addresses; RFC 6824; Internet Engineering Task Force (IETF): Fremont, CA, USA, 2013. [Google Scholar]
- Jin, B.; Kim, S.; Yun, D.; Lee, H.; Kim, W.; Yi, Y. Aggregating LTE and Wi-Fi: Toward Intra-Cell Fairness and High TCP Performance. IEEE Trans. Wirel. Commun. 2017, 16, 6295–6308. [Google Scholar] [CrossRef]
- López-Pérez, D.; Laselva, D.; Wallmeier, E.; Purovesi, P.; Lundén, P.; Virtej, E.; Lechowicz, P.; Malkamaki, E.; Ding, M. Long Term Evolution-Wireless Local Area Network Aggregation Flow Control. IEEE Access 2016, 4, 9860–9869. [Google Scholar] [CrossRef]
- Zhang, N.; Zhang, S.; Wu, S.; Ren, J.; Mark, J.W.; Shen, X. Beyond Coexistence: Traffic Steering in LTE Networks with Unlicensed Bands. IEEE Wirel. Commun. 2016, 23, 40–46. [Google Scholar] [CrossRef]
- Liu, B.; Zhu, Q.; Zhu, H. Delay-Aware LTE WLAN Aggregation for 5G Unlicensed Spectrum Usage. In Proceedings of the 2017 IEEE 85th Vehicular Technology Conference, Sydney, Australia, 4–7 June 2017. [Google Scholar]
- Chen, Q.; Yu, G.; Maaref, A.; Li, G.Y.; Huang, A. Rethinking Mobile Data Offloading for LTE in Unlicensed Spectrum. IEEE Trans. Wirel. Commun. 2016, 15, 4987–5000. [Google Scholar] [CrossRef]
- Bianchi, G. Performance Analysis of the IEEE 802.11 Distributed Coordination Function. IEEE J. Sel. Area Commun. 2000, 18, 535–547. [Google Scholar] [CrossRef]
- Wang, T.; Yang, Q.; Tan, K.; Zhang, J.; Liew, S.C.; Zhang, S. DCAP: Improving the Capacity of WiFi Networks with Distributed Cooperative Access Points. IEEE Trans. Mob. Comput. 2018, 17, 320–333. [Google Scholar] [CrossRef]
- Jamil, I.; Cariou, L.; Helard, J.F. Improving the capacity of future IEEE 802.11 high efficiency WLANs. In Proceedings of the 2014 21st International Conference on Telecommunications (ICT), Lisbon, Portugal, 4–7 May 2014. [Google Scholar]
- Lin, Y.B.; Shih, Y.J.; Chao, P.W. Design and Implementation of LTE RRM with Switched LWA Policies. IEEE Trans. Veh. Technol. 2018, 67, 1053–1062. [Google Scholar] [CrossRef]






| Components | LTE-U/LAA | LWA | LWIP | MPTCP |
|---|---|---|---|---|
| Complete name | LTE in unlicensed/License Assisted Access | LTE WLAN Aggregation | LTE WLAN Integration with IP Tunneling | Multipath TCP |
| WLAN relation | Coexistence | Aggregation | Aggregation | Aggregation |
| RAT * | ![]() | ![]() | ![]() | ![]() |
| Standardization | LTE-U forum/3GPP | 3GPP | 3GPP | IETF |
| Leading work group (WG) | RAN WG1 | RAN WG2 | RAN WG2 | MPTCP WG1 |
| Release | Release 12/Release 13 | Release 13 | Release 13 | RFC6824, etc. |
| Protocol layer | Link layer (MAC layer) | Link layer (PDCP) | IP layer (IP tunnel) | Network layer (MPTCP) |
| New device function | UE and eNB (5 GHz LTE) | PDCP | IPsec | MPTCP |
| Network element | LTE-U/LAA small cell | LWA eNB, WT | LWA eNBs, LWIP-SeGW | MPTCP Proxy |
| Performance gain | High | High | Medium | High |
| Traffic direction | Downlink | Downlink | Uplink + Downlink | Uplink + Downlink |
| Deployment eNB/AP | Collocated | Collocated/Non-collocated | Non-collocated | Non-collocated |
| Access network cost | High (new LTE small cell with LTE-U/LAA @ 5 GHz) | Medium (new small cell: LWA aware WLAN terminal) | None (uses existing WLAN AP) | None (uses existing WLAN AP) |
| Parameters | Values |
|---|---|
| BS and AP distance | 50~100 m |
| Downlink bandwidth | 20 MHz |
| Noise power | −174 dBm |
| Path loss for cellular links | 15.3 + 37.6log10(d)m |
| Path loss for unlicensed band | 15.3 + 50log10(d)m |
| Transmission power of eNB | 36 dBm |
| Transmission power of AP | 24 dBm |
| Number of WLAN UEs | 2~10 |
| Number of LTE UEs | 20~40 |
| E[P] | 1500 bytes |
| CWmin | 16 |
| CWmax | 1024 |
| WLAN bit rate | 1 Gbps |
| PHY Header | 192 bits |
| MAC Header | 224 bits |
| Delay | 20 μs |
| SIFS | 16 μs |
| DIFS | 50 μs |
| Slot time | 9 μs |
| ACK | 112 bits + PHY header |
| RTS | 160 bits + PHY header |
| CTS | 112 bits + PHY header |
© 2018 by the authors. Licensee MDPI, Basel, Switzerland. This article is an open access article distributed under the terms and conditions of the Creative Commons Attribution (CC BY) license (http://creativecommons.org/licenses/by/4.0/).
Share and Cite
Bajracharya, R.; Shrestha, R.; Kim, S.W. An Admission Control Mechanism for 5G LWA. Sustainability 2018, 10, 1999. https://doi.org/10.3390/su10061999
Bajracharya R, Shrestha R, Kim SW. An Admission Control Mechanism for 5G LWA. Sustainability. 2018; 10(6):1999. https://doi.org/10.3390/su10061999
Chicago/Turabian StyleBajracharya, Rojeena, Rakesh Shrestha, and Sung Won Kim. 2018. "An Admission Control Mechanism for 5G LWA" Sustainability 10, no. 6: 1999. https://doi.org/10.3390/su10061999
APA StyleBajracharya, R., Shrestha, R., & Kim, S. W. (2018). An Admission Control Mechanism for 5G LWA. Sustainability, 10(6), 1999. https://doi.org/10.3390/su10061999





