Diffusion Paths and Guiding Policy for Urban Residents’ Carbon Identification Capability: Simulation Analysis from the Perspective of Relation Strength and Personal Carbon Trading
Abstract
1. Introduction
2. Theoretical Basis
3. Materials and Methods
3.1. Construction of Individual CIC Network
3.2. Construction of CIC Diffusion Model Based on Relation Strength
3.2.1. Determination of Diffusion Targets
3.2.2. Capability Growth Mechanism and Relation Strength Change Mechanism of the Nodes of CIC Diffusion
3.3. Construction of Diffusion Model of CIC from Perspective of PCT
3.3.1. Knowledge Transfer with PCT
- When the sender of the CIC is an egoistic-type node, the CIC is diffused in an exchange way.
- When the sender of the carbon identification is an altruistic-type node, the CIC is diffused in a free way among the nodes. The diffusion mechanism of the CIC is shown in Formula (10):where is the low-carbon knowledge needed by the demander ; is the low-carbon knowledge compensation to the sender provided by the demander ; is the low-carbon knowledge absorption coefficient of the demander ; and is the low-carbon knowledge absorption coefficient of the sender i. The values are the random numbers in .
3.3.2. CIC Diffusion from Perspective of PCT
- When the sender is an egoistic-type node, the CIC is diffused in an exchange way among the nodes. The CIC diffusion mechanism is shown in Formulas (11) and (12):where is the growth value of the demand willingness intensity of the CIC diffusion of the nodes in the carbon trading market, and it is a random number in . is the growth value of the sending willingness intensity of the CIC diffusion of the nodes in the carbon trading market, and it is a random number in .
- When the sender is an altruistic node, the CIC is diffused in a free way among the nodes. The diffusion mechanism of the CIC is shown in Formula (13):
- The change of sending and accepting willingness of nodes
3.4. Simulation Process
- Random selection: Randomly select a node from the nodes found as the sender i.
- Strength priority: Select the node with the highest strength of the demander in all the nodes found as the sender i.
- Knowledge priority: Select the node with the highest knowledge level in type from all nodes found as the sender i.
4. Results and Discussion
4.1. Results Analysis Based on Relation Strength
4.2. Results Analysis Based on PCT Intervention
4.2.1. CIC Diffusion in the Intervention of the PCT
4.2.2. The Influence of the Diffusion Attitude of the Nodes on CIC Diffusion without Intervention of PCT
4.2.3. The Influence of Diffusion Attitudes of Nodes on CIC Diffusion from the PCT Perspective
5. Conclusions and Policy Implications
- In the weighted small-world network structure with random relation strength, the determination of the sender of CIC through a knowledge priority strategy in the process of capability diffusion enables an increase in the capability growth rate of the nodes in the individual network and makes the equilibrium of the capability diffusion the highest in the whole network in the early stage of the simulation. However, in the middle and later stages of the simulation, the advantage of the difference of the CIC fades, whereas the advantage of the strength priority model stands out, and the equilibrium of the capability diffusion in the entire network is the highest. In the weak relations network, the determination of the sender through knowledge priority and private strength results in a small difference in the capability growth rate of the nodes, but the equilibrium of the CIC of the nodes in the network of strength priority is obviously higher than that of knowledge priority in the network. In the strong relations network, the determination of the sender through knowledge priority makes the growth rate of the CIC of the nodes significantly higher than that through strength priority and a random model; the network equilibrium is the highest and the advantage continues until the middle and later stages of the simulation.
- Without a carbon trading market, having more egoistic nodes in the network is more conducive to the efficiency of capability diffusion, but there is a need to assume the risk of a low equilibrium of the capability diffusion in the CIC network.
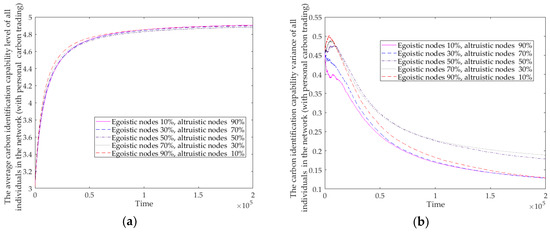
- With the mechanism of a carbon trading market, the CIC growth significantly increases. In the early stage of the simulation, the average value and variance of the CIC increases rapidly in the short term, and the network equilibrium is lower. However, with an increase in the simulation step size, the equilibrium became gradually higher, and as a whole it is a better model than the network without the mechanism of a carbon trading market. Having more egoistic nodes in the network means fewer altruistic nodes and a higher level of efficiency of the CIC diffusion, but there is a risk of lower network equilibrium.
- The authorities should improve the education mechanism. The public low carbon education should be taken as the basis link for the cultivation of the CIC, as it provides the foundation and supplement for other guiding policies. Basic education and low-carbon education should be treated as equal, and a new low-carbon diffusion method should be proposed. The government should improve the democratic dialogue mechanisms among the government, news media, and residents and promote the widespread dissemination of low carbon news among the residents. It should be noted that the promotion of specific and targeted low-carbon knowledge would bring about more pronounced results.
- Based on the simulation results, we should select a sender through the knowledge priority strategy in the process of capability diffusion. Together with the strength priority, the knowledge priority can quickly promote the average CIC of urban residents and increasingly reduce the gap in CIC among residents. As the main body of capability diffusion, the sender plays a great role in improving the diffusion efficiency by improving their own condition and capability diffusion situation. Therefore, idols with good carbon identification capabilities should be cultivated as the senders of capability diffusion, and activities should be organized regularly to provide low-carbon knowledge to residents with poor carbon identification capabilities. The results showed that the relation strength affected not only the seriousness of the sender but also the effort degree of the demander in receiving capability. Therefore, the low-carbon community and idols could constantly narrow the distance from other residents and improve the relation strength and trust to disseminate the CIC effectively. The following recommendations are made for the low carbon community and models with high levels of CIC: (1) Promote their learning initiative to master the different kinds of low carbon knowledge to improve their own low carbon knowledge reserve and low carbon knowledge supply ability. (2) Establish effective communication mechanisms to improve the absorption efficiency of low carbon knowledge. The sender of capability needs to continuously strengthen their coding ability of low carbon knowledge to reduce the difficulty of knowledge diffusion and guarantee that the knowledge transferred is easy to understand for other urban residents. At the same time, different ways should be used to do this because of the different classifications of the simple or complex low carbon knowledge. For example, knowledge about the purchase and use of low carbon products needs to be spread through several professional tips, and the far-reaching effects of carbon emissions can be transferred through the mass media like TV, newspapers, radio, networks, and outdoor media. (3) Widely disseminate knowledge to realize a knowledge “win–win” for all the urban residents. Try to avoid the one-to-one ability diffusion pattern, which can raise the efficiency level of CIC diffusion. Many forms can be taken, such as theme education, knowledge competitions, visits and interviews, class education, and community consultation to give urban residents a multifaceted education about resource conservation and low-carbon knowledge.
- The simulation results show that, with a PCT mechanism, the CIC growth has been significantly improved, and the overall equilibrium of residents’ CIC is also higher than that without the carbon market trading mechanism. Even though China has not implemented a PCT scheme, the mechanism should be considered in the promotion of carbon capability in the future. At the beginning of the implementation, it could be set as an optional scheme that asks for interested residents or families to participate in a pilot project. After continuous revision and improvement of the PCT scheme according to the actual situation in China, the mandatory PCT scheme would be a good one.
- In reality, the CIC level of Chinese urban residents is generally low. That is, most urban residents are the demanders of CIC. The above research shows that the demander is the key trigger of CIC diffusion, and the higher quest for knowledge of the demanders can bring a higher degree of diffusion of CIC. It should be noted that the simulation results show that more egoistic nodes in the network mean a higher efficiency level of CIC diffusion. Thus, the government and related departments should first let residents know that low carbon can have a positive impact on the economy as well as the residents’ emotional and physical health. Various measures should be adopted to inspire residents’ demand for low-carbon knowledge and make them actively learn, exchange, and share low-carbon knowledge through various ways. The following suggestions are proposed for urban residents who need to improve their CIC. They should maintain their social networks system, strengthen their awareness of resource maintenance, and expand their channels for CIC diffusion. They should also enhance their interaction with relatives, friends, and colleagues, get beneficial low carbon knowledge from different groups, and improve their learning efficiency. If the residents cannot initially master the new knowledge, they should actively improve their absorption of the new knowledge through various channels; for example, they should make full use of the existing communication platforms, such as salons, social networks, and BBS, to facilitate their communication with other residents.
Author Contributions
Acknowledgments
Conflicts of Interest
Abbreviations
| CIC | Carbon identification capability |
| PCT | Personal carbon trading |
References
- BP. BP Statistical Review of World Energy 2015. Available online: http://www.bp.com/en/global/corporate/energy-economics/statistical-review-of-world-energy.html (accessed on 2 May 2016).
- Wang, Z.; Yin, F.; Zhang, Y.; Zhang, X. An empirical research on the influencing factors of regional CO2, emissions: Evidence from Beijing city, China. Appl. Energy 2012, 100, 277–284. [Google Scholar] [CrossRef]
- Yu, S.; Wei, Y.; Fan, J.; Zhang, X.; Wang, K. Exploring the regional characteristics of inter-provincial CO2, emissions in China: An improved fuzzy clustering analysis based on particle swarm optimization. Appl. Energy 2012, 92, 552–562. [Google Scholar] [CrossRef]
- Wang, Q.; Zhou, P.; Zhou, D. Efficiency measurement with carbon dioxide emissions: The case of China. Appl. Energy 2012, 90, 161–166. [Google Scholar] [CrossRef]
- Wang, Z.; Feng, C. Sources of production inefficiency and productivity growth in China: A global data envelopment analysis. Energy Econ. 2015, 49, 380–389. [Google Scholar] [CrossRef]
- Yu, S.; Zhang, J.; Zheng, S.; Sun, H. Provincial carbon intensity abatement potential estimation in China: A PSO–GA-optimized multi-factor environmental learning curve method. Energy Policy 2015, 77, 46–55. [Google Scholar] [CrossRef]
- Heinonen, J.; Junnila, S. A carbon consumption comparison of rural and urban lifestyles. Sustainability 2011, 3, 1234–1249. [Google Scholar] [CrossRef]
- Yang, R.; Long, R. Analysis of the influencing factors of the public willingness to participate in public bicycle projects and intervention strategies—A case study of Jiangsu Province, China. Sustainability 2016, 8, 349. [Google Scholar] [CrossRef]
- Wu, X. The key to consumption-side carbon emission reduction will be residents’ carbon capability. China Energy News, 11 December 2017; 04. (In Chinese) [Google Scholar]
- Whitmarsh, L.; Seyfang, G.; O’Neill, S. Public engagement with carbon and climate change: To what extent is the public ‘carbon capable’? Glob. Environ. Chang. 2011, 21, 56–65. [Google Scholar] [CrossRef]
- Lorenzoni, I.; Seyfang, G.; Nye, M. Carbon Budgets and Carbon Capability: Lessons from Personal Carbon Trading; Earthscan: London, UK; Sterling, VA, USA, 2010. [Google Scholar]
- Abas, A.S.; Mohd Yunos, M.Y.; Mohd Isa, N.K.; Ismail, N.A.; Abdul Aziz, F. Carbon-capability framework for Malaysia: Towards encouraging low-carbon community lifestyles. Appl. Mech. Mater. 2015, 747, 290–293. [Google Scholar] [CrossRef]
- Wei, J.; Chen, H.; Cui, X.; Long, R. Carbon capability of urban residents and its structure: Evidence from a survey of Jiangsu Province in China. Appl. Energy 2016, 173, 635–649. [Google Scholar] [CrossRef]
- Chen, H.; Wei, J. Carbon Capability of Urban Residents: Maturity Measurement, Driving Mechanism and Guidance Policy; Science Press: Beijing, China, 2017; pp. 87–88. (In Chinese) [Google Scholar]
- Chen, H.; Long, R.; Niu, W.; Feng, Q.; Yang, R. How does individual low-carbon consumption behavior occur?—An analysis based on attitude process. Appl. Energy 2014, 116, 376–386. [Google Scholar] [CrossRef]
- Fan, Z.; Sun, Y. Review of knowledge sharing. Chin. J. Manag. 2006, 3, 371–378. [Google Scholar]
- Li, L.; Liu, D.; Dong, K. Analysis of the structure of knowledge diffusion in the field of CI in China. Inf. Sci. 2015, 33, 13–19. (In Chinese) [Google Scholar]
- Xin, J. Interaction of corporation ecological system social responsibility: Connotation, governance, internalization and implementation. Econ. Manag. 2015, 8, 189–199. (In Chinese) [Google Scholar]
- Shi, Y. The influence mechanism of tacit knowledge diffusion between knowledge agents of R&D team: The role of relation tie. Soft Sci. 2011, 25, 11–14. (In Chinese) [Google Scholar]
- Granovetter, M. Strength of weak ties. Am. J. Sociol. 1973, 78, 1360–1380. [Google Scholar] [CrossRef]
- Lenzen, M.; Wier, Z.; Cohen, C.; Hayami, H.; Pachauri, S.; Schaeffer, R. A comparative multivariate analysis of household energy requirements in Australia, Brazil, Denmark, India and Japan. Energy 2006, 31, 181–207. [Google Scholar] [CrossRef]
- Langevin, J.; Gurian, P.L.; Wen, J. Reducing energy consumption in low income public housing: Interviewing residents about energy behaviors. Appl. Energy 2013, 102, 1358–1370. [Google Scholar] [CrossRef]
- Parag, Y. Cross policy learning: Drawing lessons for personal carbon trading (POT) policy from food labeling schemes. In Proceedings of the APPAM Conference: The Next Decade-What Are the Big Policy Challenges, Los Angeles, CA, USA, 6–8 November 2008. [Google Scholar]
- Wallace, A.A.; Irvine, K.N.; Wright, A.J.; Fleming, P.D. Public attitudes to personal carbon allowances: findings from a mixed-method study. Clim. Policy 2010, 10, 385–409. [Google Scholar] [CrossRef]
- Howell, R.A. Promoting lower-carbon lifestyles: The role of personal values, climate change communications and carbon allowances in processes of change. Environ. Educ. Res. 2013, 20, 434–435. [Google Scholar] [CrossRef]
- Zhao, D.; Deng, Y.; Fan, J. The multistep electricity pricing model based on the theory of personal carbon trading. Syst. Eng. 2013, 10, 15–20. (In Chinese) [Google Scholar]
- Fawcett, T. Personal carbon trading: A policy ahead of its time? Energy Policy 2011, 38, 6868–6876. [Google Scholar] [CrossRef]
- Raux, C.; Croissant, Y.; Pons, D. Would personal carbon trading reduce travel emissions more effectively than a carbon tax? Transp. Res. D Transp. Environ. 2015, 35, 72–83. [Google Scholar] [CrossRef]
- Li, W.; Long, R.; Chen, H. Consumers’ evaluation of national new energy vehicle policy in China: An analysis based on a four paradigm model. Energy Policy 2016, 99, 33–41. [Google Scholar] [CrossRef]
- Harter, S. Effectance motivation reconsidered: Toward a developmental model. Hum. Dev. 1978, 21, 34–64. [Google Scholar] [CrossRef]
- Harter, S. A model of mastery motivation in children: Individual differences and developmental change. In Aspects of the Development of Competence; Collins, W.A., Ed.; Erlbaum: Hillsdale, NJ, USA, 1981. [Google Scholar]
- Kollmuss, A.; Agyeman, J. Mind the gap: Why do people act environmentally and what are the barriers to pro-environmental behavior? Environ. Educ. Res. 2002, 8, 239–260. [Google Scholar] [CrossRef]
- Allen, T. Managing the Flow of Technology; MIT Press: Cambridge, MA, USA, 1977; 320p. [Google Scholar]
- Xie, H.; Shui, C. A review on inform knowledge transfer between individuals. Res. Dev. Manag. 2006, 4, 54–61. (In Chinese) [Google Scholar]
- Wang, Q. Knowledge Transfer within Knowledge Network: Modeling and Simulation. Master’s Thesis, East China University of Science and Technology, Shanghai, China, 2013. (In Chinese). [Google Scholar]
- Kim, H.; Park, Y. Structural effects of R&D collaboration network on knowledge diffusion performance. Expert Syst. Appl. 2009, 36, 8986–8992. [Google Scholar]
- Hu, F.; Zhang, L. A network model of knowledge diffusion and its implications. J. China Soc. Sci. Tech. Inf. 2006, 1, 109–114. (In Chinese) [Google Scholar]
- Blau, P. Exchange and Power in Social Life; John Wiley & Sons: New York, NY, USA, 1986; pp. 151–160. [Google Scholar]
- Schein, E.H. In defense of theory Y. Organ. Dyn. 1975, 4, 17–30. [Google Scholar] [CrossRef]
- Cowan, R.; Jonard, N.; Özman, M. Knowledge dynamics in a network industry. Technol. Forecast. Soc. Chang. 2004, 71, 469–484. [Google Scholar] [CrossRef]
- Morone, P.; Taylor, R. Knowledge diffusion dynamics and network properties of face-to-face interactions. J. Evol. Econ. 2004, 14, 327–351. [Google Scholar] [CrossRef]
- Fritsch, M.; Kauffeldmonz, M. The impact of network structure on knowledge transfer: An application of social network analysis in the context of regional innovation networks. Ann. Reg. Sci. 2010, 44, 21–38. [Google Scholar] [CrossRef]









© 2018 by the authors. Licensee MDPI, Basel, Switzerland. This article is an open access article distributed under the terms and conditions of the Creative Commons Attribution (CC BY) license (http://creativecommons.org/licenses/by/4.0/).
Share and Cite
Wei, J.; Chen, H.; Long, R. Diffusion Paths and Guiding Policy for Urban Residents’ Carbon Identification Capability: Simulation Analysis from the Perspective of Relation Strength and Personal Carbon Trading. Sustainability 2018, 10, 1756. https://doi.org/10.3390/su10061756
Wei J, Chen H, Long R. Diffusion Paths and Guiding Policy for Urban Residents’ Carbon Identification Capability: Simulation Analysis from the Perspective of Relation Strength and Personal Carbon Trading. Sustainability. 2018; 10(6):1756. https://doi.org/10.3390/su10061756
Chicago/Turabian StyleWei, Jia, Hong Chen, and Ruyin Long. 2018. "Diffusion Paths and Guiding Policy for Urban Residents’ Carbon Identification Capability: Simulation Analysis from the Perspective of Relation Strength and Personal Carbon Trading" Sustainability 10, no. 6: 1756. https://doi.org/10.3390/su10061756
APA StyleWei, J., Chen, H., & Long, R. (2018). Diffusion Paths and Guiding Policy for Urban Residents’ Carbon Identification Capability: Simulation Analysis from the Perspective of Relation Strength and Personal Carbon Trading. Sustainability, 10(6), 1756. https://doi.org/10.3390/su10061756

