Effects of the Use of Ornamental Plants and Different Substrates in the Removal of Wastewater Pollutants through Microcosms of Constructed Wetlands
Abstract
:1. Introduction
2. Materials and Methods
2.1. Characteristics of the CW System
- V = Volume of the cell (mL)
- d = porosity, or space available for the flow of water through the wetland (percentage expressed as decimal)
- TRH = Hydraulic retention time (days)
2.2. Experimental Design
2.3. Sampling and Analysis
2.4. Statistical Analysis
3. Results and Discussion
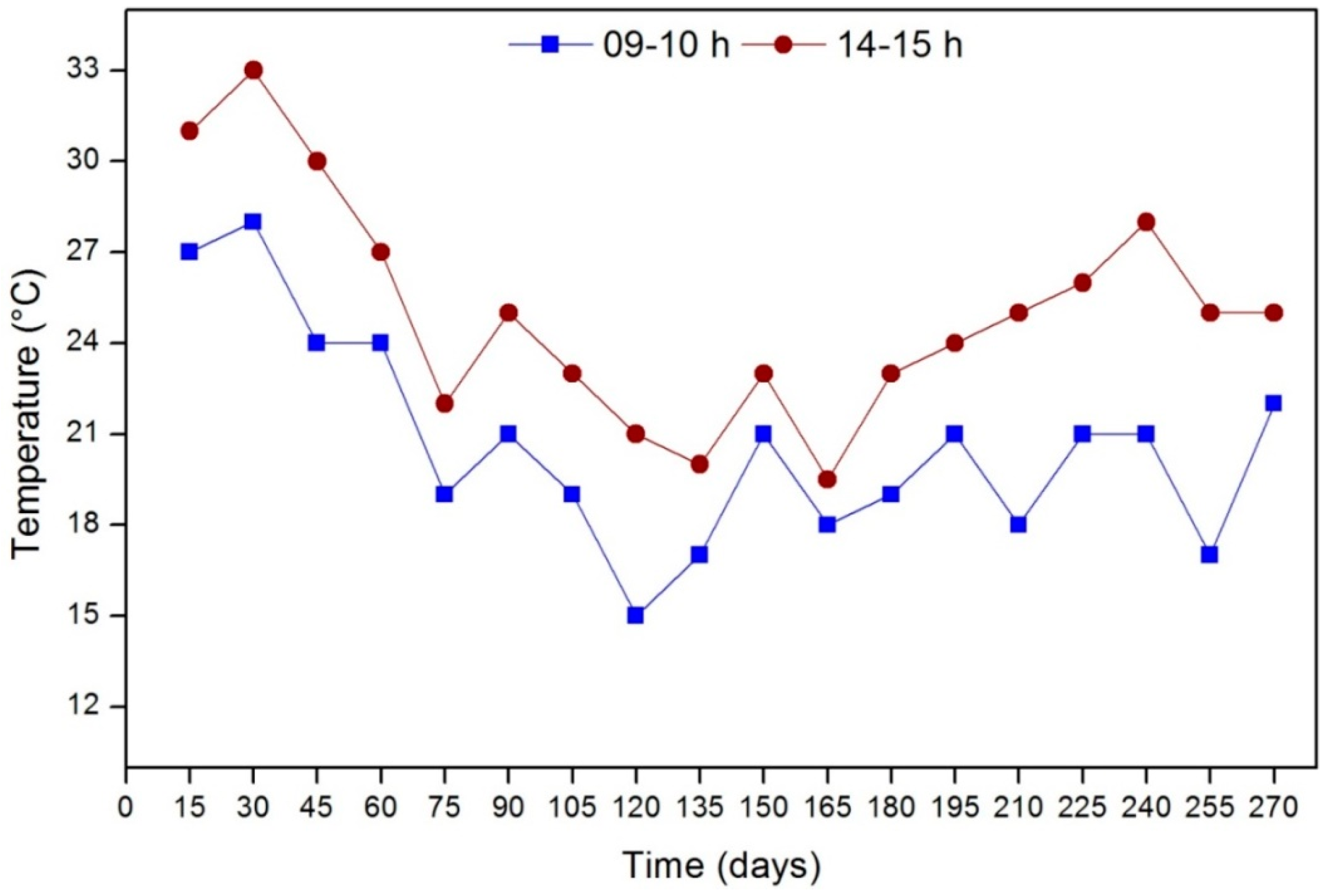
3.1. Environmental Data
3.2. Plant Growth
3.3. Flower Production
3.3.1. pH in the Input and Output of the System
3.3.2. Temperature, Electrical Conductivity, and Total Dissolved Solids Concentrations in the Input and Output of the System
3.3.3. Concentrations of Pollutants
BOD5 in the Input and Output of the System
P-PO4 in the Input and Output of the System
N-NO3 in the Input and Output of the System
Fecal Coliforms in the Input and Output of the System
3.3.4. Removal of Pollutants
BOD
P-PO4
N-NO3
Fecal Coliforms
4. Conclusions
Author Contributions
Funding
Acknowledgments
Conflicts of Interest
References
- Brueckner, M.; Schwandt, H. Income and population growth. Econ. J. 2015, 125, 1653–1676. [Google Scholar] [CrossRef]
- Informe Mundial de las Naciones Unidas sobre el Desarrollo de los Recursos Hídricos Aguas residuales: El recurso desaprovechado. París, UNESCO. 2017. Available online: http://unesdoc.unesco.org/images/0024/002476/247647s.pdf (accessed on 1 March 2018).
- Bielmyer-Fraser, G.K.; Waters, M.N.; Duckworth, C.G.; Patel, P.P.; Webster, B.C.; Blocker, A.; Crummey, C.H.; Duncan, A.N.; Nwokike, S.N.; Picariello, C.R.; et al. Assessment of metal contamination in the biota of four rivers experiencing varying degrees of human impact. Environ. Monit. Assess. 2017, 189. [Google Scholar] [CrossRef] [PubMed]
- Omar, Y.Y.; Parker, A.; Smith, J.A.; Pollard, S.J.T. Risk management for drinking water safety in low and middle income countries-cultural influences on water safety plan (WSP) implementation in urban water utilities. Sci. Total Environ. 2017, 576, 895–906. [Google Scholar] [CrossRef] [PubMed]
- Ramírez-Carrillo, H.F.; Luna-Pabello, V.M.; Arredondo-Figueroa, J.L. Evaluación de un humedal artificial de flujo vertical intermitente, para obtener agua de buena calidad para la acuicultura. Rev. Mex. Ing. Quím. 2009, 8, 93–99. [Google Scholar]
- Barbu, M.; Vilanova, R.; Meneses, M.; Santin, I. On the evaluation of the global impact of control strategies applied to wastewater treatment plants. J. Clean. Product. 2017, 149, 396–405. [Google Scholar] [CrossRef]
- Sandoval-Herazo, L.; Marín-Muñiz, J.L.; Alvarado, A.; Castelán, R.; Ramírez, D. Diseño de un mesocosmo de humedal construidos con materiales alternativos para el tratamiento de aguas residuales en la comunidad de pastorías actopan, ver. In Congreso Interdisciplinario de Ingenierías; ITSM: Veracruz, Mexico, 2016; Available online: https://www.researchgate.net/publication/318711824_Diseno_de_un_Mesocosmo_de_Humedal_Construidos_con_Materiales_Alternativos_Para_el_Tratamiento_de_Aguas_Residuales_en_la_Comunidad_de_Pastorias_Actopan_Ver (accessed on 16 March 2018).
- Hernández, A.M.E. Ecological engineering for controlling water pollution in Latin America. Ecol. Dimens. Sustain. Soc. Econ. Dev. 2013, 64, 465–481. Available online: https://books.google.com.mx/books?hl=es&lr=&id=67ylBYamP7UC&oi=fnd&pg=PA465&dq=8.%09Hern%C3%A1ndez, +A, +M.E.+Ecological+engineering+for+controlling+water+pollution+in+Latin+America.+Ecological+Dimensions+for+Sustainable+Socio+Economic+Development.+2013.+465–481.+&ots=StW2vQ6_Yx&sig=V8HLjsDN-CdHu2W-jaa2z46FTHE#v=onepage&q&f=false (accessed on 16 March 2018).
- Vymazal, J. The use of hybrid constructed wetlands for wastewater treatment with special attention to nitrogen removal: A review of a recent development. Water Res. 2013, 47, 4795–4811. [Google Scholar] [CrossRef] [PubMed]
- Chen, Y.; Wen, Y.; Zhou, Q.; Vymazal, J. Effects of plant biomass on denitrifying genes in subsurface-flow constructed wetlands. Bioresour. Technol. 2014, 157, 341–345. [Google Scholar] [CrossRef] [PubMed]
- Luo, B.; Ge, Y.; Han, W.; Fan, X.; Ren, Y.; Du, Y.; Chang, J. Decreases in ammonia volatilization in response to greater plant diversity in microcosms of constructed wetlands. Atmos. Environ. 2016, 142, 414–419. [Google Scholar] [CrossRef]
- Mitsch, W.J.; Gosselink, J. Wetlands; John Wiley and Sons Inc.: New York, NY, USA, 2015. [Google Scholar]
- Zhang, Z.; Rengel, Z.; Meney, K. Nutrient removal from simulated wastewater using Canna indica and Schoenoplectus validus in mono-and mixed-culture in wetland microcosms. Water Air Soil Pollut. 2017, 183, 95–105. [Google Scholar] [CrossRef]
- Menon, R.; Holland, M.M. Phosphorus retention in constructed wetlands vegetated with Juncus effusus, Carex lurida, and Dichanthelium acuminatum var. acuminatum. Water Air Soil Pollut. 2013, 224. [Google Scholar] [CrossRef]
- Hernández, M.E. Ornamental wetlands with community participation for the improvement of municipal water in Mexico. RINDERESU 2016, 1, 1–12. [Google Scholar]
- Marín-Muñiz, J.L. Removal of wastewater pollutant in artificial wetlands implemented in Actopan, Veracruz, Mexico. Rev. Mex. Ing. Quím. 2016, 15, 553–563. [Google Scholar]
- Rozema, E.R.; Gordon, R.J.; Zheng, Y. Harvesting plants in constructed wetlands to increase biomass production and Na+ and Cl− removal from recycled greenhouse nutrient solution. Water Air Soil Pollut. 2016, 227. [Google Scholar] [CrossRef]
- Li, W.; Zhong, J.; Yuan, G.; Fu, H.; Fan, H.; Ni, L.; Cao, T. Stoichiometric characteristics of four submersed macrophytes in three plateau lakes with contrasting trophic statuses. Ecol. Eng. 2017, 99, 265–270. [Google Scholar] [CrossRef]
- Chen, Y.; Bracy, R.P.; Owings, A.D.; Merhaut, D.J. Nitrogen and phosphorous removal by ornamental and wetland plants in a greenhouse recirculation research system. HortScience 2009, 44, 1704–1711. [Google Scholar]
- Merino-Solís, M.L.; Villegas, E.; de Anda, J.; López-López, A. The effect of the hydraulic retention time on the performance of an ecological wastewater treatment system: An anaerobic filter with a constructed wetland. Water 2015, 7, 1149–1163. [Google Scholar] [CrossRef]
- Tejeda, A.; Torres-Bojorges, Á.X.; Zurita, F. Carbamazepine removal in three pilot-scale hybrid wetlands planted with ornamental species. Ecol. Eng. 2017, 98, 410–417. [Google Scholar] [CrossRef]
- Burgos, V.; Araya, F.; Reyes-Contreras, C.; Vera, I.; Vidal, G. Performance of ornamental plants in mesocosm subsurface constructed wetlands under different organic sewage loading. Ecol. Eng. 2017, 99, 246–255. [Google Scholar] [CrossRef]
- Latune, R.L.; Laporte-Daube, O.; Fina, N.; Peyrat, S.; Pelus, L.; Molle, P. Which plants are needed for a French vertical-flow constructed wetland under a tropical climate? Water Sci. Technol. 2017, 75, 1873–1881. [Google Scholar] [CrossRef] [PubMed]
- Chen, J.; Wei, X.D.; Liu, Y.S.; Ying, G.G.; Liu, S.S.; He, L.Y.; Yang, Y.Q. Removal of antibiotics and antibiotic resistance genes from domestic sewage by constructed wetlands: Optimization of wetland substrates and hydraulic loading. Sci. Total Environ. 2016, 565, 240–248. [Google Scholar] [CrossRef] [PubMed]
- Long, Y.; Zhang, Z.; Pan, X.; Li, B.; Xie, S.; Guo, Q. Substrate influences on archaeal and bacterial assemblages in constructed wetland microcosms. Ecol. Eng. 2016, 94, 437–442. [Google Scholar] [CrossRef]
- Hua, G.; Salo, M.W.; Schmit, C.G.; Hay, C.H. Nitrate and phosphate removal from agricultural subsurface drainage using laboratory woodchip bioreactors and recycled steel byproduct filters. Water Res. 2016, 102, 180–189. [Google Scholar] [CrossRef] [PubMed]
- Cao, Q.; Wang, H.; Chen, X.; Wang, R.; Liu, J. Composition and distribution of microbial communities in natural river wetlands and corresponding constructed wetlands. Ecol. Eng. 2017, 98, 40–48. [Google Scholar] [CrossRef]
- Maza-Márquez, P.; González-Martínez, A.; Rodelas, B.; González-López, J. Full-scale photobioreactor for biotreatment of olive washing water: Structure and diversity of the microalgae-bacteria consortium. Bioresour. Technol. 2017, 238, 389–398. [Google Scholar] [CrossRef] [PubMed]
- Xue, H.; Zhou, P.; Huang, L.; Quan, X.; Yuan, J. Cathodic Cr (VI) reduction by electrochemically active bacteria sensed by fluorescent probe. Sens. Actuators B 2017, 243, 303–310. [Google Scholar] [CrossRef]
- Toro-Vélez, A.; Madera-Parra, C.; Peña-Varón, M.; García-Hernández, H.; Lee, W.Y.; Walker, S.; Lens, P. Longitudinal removal of bisphenol-A and nonylphenols from pretreated domestic wastewater by tropical horizontal sub-surfaceconstructed wetlands. Appl. Sci. 2017, 7. [Google Scholar] [CrossRef]
- Claveau-Mallet, D.; Wallace, S.; Comeau, Y. Model of phosphorus precipitation and crystal formation in electric arc furnace steel slag filters. Environ. Sci. Technol. 2012, 46, 1465–1470. [Google Scholar] [CrossRef] [PubMed]
- Morillas, A.V.; Pérez, M.V.; Valdemar, R.M.E.; Contreras, M.M.; Islas, S.H.; Guillén, M.Y.L.O.; Filgueira, H.J.A. Generation, legislation and waste plastics in Latin America. Rev. Int. Contam. Ambient. 2017, 32, 63–76. [Google Scholar]
- National Institute of Statistical Geography and Data Processing. Yearbook Statistical and Geographical of Veracruz de Ignacio de la Llave. 2014. Available online: http://www.inegi.gob.mx (accessed on 1 March 2017).
- Zurita, F.; Belmont, M.A.; De Anda, J.; White, J.R. Seeking a way to promote the use of constructed wetlands for domestic wastewater treatment in developing countries. Water Sci. Technol. 2011, 63, 654–659. [Google Scholar] [CrossRef] [PubMed]
- Zurita, F.; De Anda, J.; Belmont, M.A. Performance of laboratory-scale wetlands planted with tropical ornamental plants to treat domestic wastewater. Water Qual. Res. J. Can. 2006, 41, 410–417. [Google Scholar]
- Zurita, F.; Belmont, M.A.; De Anda, J.; Cervantes-Martinez, J. Stress detection by laser-induced fluorescence in Zantedeschia aethiopica planted in subsurface-flow treatment wetlands. Ecol. Eng. 2008, 33, 110–118. [Google Scholar] [CrossRef]
- Zhang, X.B.; Liu, P.; Yang, Y.S.; Chen, W.R. Phytoremediation of urban wastewater by model wetlands with ornamental hydrophytes. J. Environ. Sci. 2007, 19, 902–909. [Google Scholar] [CrossRef]
- Gómez-Pompa, A. Botanical Studies in the Region of Misantla, Veracruz (No. 200); Instituto Mexicano de Recursos Naturales Renovables: Misantla, VER, Mexico, 1996; Available online: https://www.cabdirect.org/cabdirect/abstract/19660605399 (accessed on 20 March 2018).
- Minitab Inc. Software Minitab 16.1.0; Minitab Inc.: Pennsylvania, PA, USA, 2010. [Google Scholar]
- Sacoto, G. Resulta ïtotécnia de Tres Variedades de Zantedeschia aethiopica L. Spreng, a la Aplicación de ácido Giberélico y Fertilización Orgánica, en el Quinche, Provincia de Pichincha. Tesis Ingeniería Agronómica, Universidad Estatal de Bolívar, Venezuela, 2010. Available online: http://biblioteca.ueb.edu.ec/cgi-bin/koha/opac-search.pl?q=su:%22TRIGO%22 (accessed on 10 March 2018).
- Guzmán, A.B.M.; Palenius, H.G.N. Utilización De Un Sistema De Inmersión Temporal (Sit) Para Multiplicar Plantas Ornamentales De Agave Victoriae-Reginae (T. Moore). Jóvenes Cienc. 2017, 2, 1429–1433. [Google Scholar]
- Morales, G.; López, D.; Vera, I.; Vidal, G. Humedales construidos con plantas ornamentales para el tratamiento de materia orgánica y nutrientes contenidos en aguas servidas. Theoria 2013, 22, 33–46. [Google Scholar]
- López, X.; Bagisnky, C.; Portilla, G. Lavanda establecidas en la región central de chile1. Agric. Téc. 1997, 57, 113–121. [Google Scholar]
- Bermudez, M. Uso Industrial de Plantas Aromáticas Medicinales. Unpublished Ingeniería, Universidad Politécnica de Madrid, España, 2009. Available online: http://ocw.upm.es/ingenieria-agroforestal/uso-industrial-de-plantas-aromaticas-y-medicinales. (accessed on 9 March 2018). (In Spanish).
- Garzón-Zúñiga, M.A.; González-Zurita, J.; García-Barrios, R. Evaluación de un sistema de tratamiento doméstico para reúso de agua residual. Rev. Int. Contam. Ambient. 2016, 32, 199–211. [Google Scholar] [CrossRef]
- Viejo-Montesinos, J.L. Biodiversidad, aproximación a la diversidad botánica y zoológica de España. In Memorias de la Real Sociedad Española de Historia Natural. Segunda época; Montesino, J.L.V., Ed.; Real Sociedad Española de Historia Natural: Barcelona, España, 2011. [Google Scholar]
- Hernández, M.E.; Galindo-Zetina, M.; Carlos, H.H.J. Greenhouse gas emissions and pollutant removal in treatment wetlands with ornamental plants under subtropical conditions. Ecol. Eng. 2017. [Google Scholar] [CrossRef]
- Ho, L.; Ho, G. Mitigating ammonia inhibition of thermophilic anaerobic treatment of digested piggery wastewater: use of pH reduction, zeolite, biomass and humic acid. Water Res. 2012, 46, 4339–4350. [Google Scholar] [CrossRef] [PubMed]
- Fumasoli, A.; Buergmann, H.; Weissbrodt, D.G.; Wells, G.F.; Beck, K.; Mohn, J.; Udert, K.M. Growth of Nitrosococcus-related ammonia oxidizing bacteria coincides with extremely low pH values in high strength nitrogen wastewater. Environ. Sci. Technol. 2017. [Google Scholar] [CrossRef] [PubMed]
- Casierra-Martínez, H.A.; Charris-Olmos, J.C.; Caselles-Osorio, A.; Parody-Muñoz, A.E. Organic matter and nutrients removal in tropical constructed wetlands using cyperus ligularis (cyperaceae) and echinocloa colona (poaceae). Water Air Soil Pollut. 2017, 228. [Google Scholar] [CrossRef]
- Vinasco, J.P.S.; Solís, A.V. Estimación de gases de efecto invernadero en humedales construidos de flujo subsuperficial. Ing. Univ. 2011, 15, 519–533. [Google Scholar]
- Rahman, K.Z.; Wiessner, A.; Kuschk, P.; Van-Afferden, M.; Mattusch, J.; Müller, R.A. Fate and distribution of arsenic in laboratory-scale subsurface horizontal-flow constructed wetlands treating an artificial wastewater. Ecol. Eng. 2011, 37, 1214–1224. [Google Scholar] [CrossRef]
- Yalcuk, A.; Ugurlu, A. Comparison of horizontal and vertical constructed wetland systems for landfill leachate treatment. Bioresour. Technol. 2009, 100, 2521–2526. [Google Scholar] [CrossRef] [PubMed]
- Akratos, C.S.; Tsihrintzis, V.A. Effect of temperature, HRT, vegetation and porous media on removal efficiency of pilot-scale horizontal subsurface flow constructed wetlands. Ecol. Eng. 2007, 29, 173–191. [Google Scholar] [CrossRef]
- Tejeda, A.; López, Z.; Rojas, D.; Reyna, M.Z.; Barrera, A.; Zurita, F. Eficiencia de tres sistemas de humedales híbridos para la remoción de carbamazepina. Technol. Cienc. Agua 2015, 6, 19–31. [Google Scholar]
- Kyambadde, J.; Kansiime, F.; Dalhammar, G. Nitrogen and phosphorus removal in substrate-free pilot constructed wetlands with horizontal surface flow in Uganda. Water Air Soil Pollut. 2005, 165, 37–59. [Google Scholar] [CrossRef]
- Karathanasis, A.D.; Potter, C.L.; Coyne, M.S. Vegetation effects on fecal bacteria, BOD, and suspended solid removal in constructed wetlands treating domestic wastewater. Ecol. Eng. 2003, 20, 157–169. [Google Scholar] [CrossRef]
- Chávez, P.; Fabiola, J.; Chimbo, Z.; Lucía, F. Estudio Comparativo de la Capacidad Depuradora de Phragmites Australis y Cyperus Papyrus en Humedales Artificiales Subsuperciales de Flujo Vertical Para el Tratamiento de Aguas Residuales en el Cantón Santa Isabel. Bachelor’s Thesis, Universidad de Cuenca, San Joaquin County, CA, USA, December 2015. [Google Scholar]
- Olguín, E.J.; Sánchez-Galván, G.; González-Portela, R.E.; López-Vela, M. Constructed wetland mesocosms for the treatment of diluted sugarcane molasses stillage from ethanol production using Pontederia sagittata. Water Res. 2008, 42, 3659–3666. [Google Scholar] [CrossRef] [PubMed]
- Hayder, G.; Ahmed, A.N.; Fu’ad, N.F.S.M. A review on media clogging in attached growth system. Int. J. Appl. Eng. Res. 2017, 12, 8034–8039. [Google Scholar]
- Veliz-Lorenzo, E.; Llanes Ocaña, J.G.; Asela Fernández, L.; Bataller Venta, M. Reúso de aguas residuales domésticas para riego agrícola. Valoración crítica. Rev. CENIC. Cienc. Biol. 2009, 40, 35–44. [Google Scholar]
- Marín-Muñiz, J.L.; García-González, M.C.; Ruelas-Monjardín, L.C.; Moreno-Casasola, P. Influence of different porous media and ornamental vegetation on wastewater pollutant removal in vertical subsurface flow wetland microcosms. Environ. Eng. Sci. 2018, 35, 88–94. [Google Scholar] [CrossRef]
- Vymazal, J. Constructed wetlands for wastewater treatment. Water 2010, 2, 530–549. [Google Scholar] [CrossRef]
- Stottmeister, U.; Wießner, A.; Kuschk, P.; Kappelmeyer, U.; Kästner, M.; Bederski, O.; Moormann, H. Effects of plants and microorganisms in constructed wetlands for wastewater treatment. Biotechnol. Adv. 2003, 22, 93–117. [Google Scholar] [CrossRef] [PubMed]
- García, M.; Soto, F.; González, J.M.; Bécares, E. A comparison of bacterial removal efficiencies in constructed wetlands and algae-based systems. Ecol. Eng. 2009, 32, 238–243. [Google Scholar] [CrossRef]
- Rousseau, D.P.; Vanrolleghem, P.A.; De Pauw, N. Model-based design of horizontal subsurface flow constructed treatment wetlands: A review. Water Res. 2004, 38, 1484–1493. [Google Scholar] [CrossRef] [PubMed]
- Gill, L.W.; O’Luanaigh, N.; Johnston, P.M. On-site wastewater treatment using subsurface flow constructed wetlands in Ireland. J. Environ. Sci. Health Part A 2011, 46, 723–728. [Google Scholar] [CrossRef] [PubMed]
- Ghosh, D.; Gopal, B. Effect of hydraulic retention time on the treatment of secondary effluent in a subsurface flow constructed wetland. Ecol. Eng. 2010, 36, 1044–1051. [Google Scholar] [CrossRef]
- Calheiros, C.S.; Bessa, V.S.; Mesquita, R.B.; Brix, H.; Rangel, A.O.; Castro, P.M. Constructed wetland with a polyculture of ornamental plants for wastewater treatment at a rural tourism facility. Ecol. Eng. 2015, 79, 1–7. [Google Scholar] [CrossRef]
- Huang, J.H.; Paul, S.; Mayer, S.; Moradpour, E.; Hasselbach, R.; Gieré, R.; Alewell, C. Metal biogeochemistry in constructed wetlands based on fluviatile sand and zeolite-and clinopyroxene-dominated lava sand. Sci. Rep. 2017, 7. [Google Scholar] [CrossRef] [PubMed]
- Lan, W.; Zhang, J.; Hu, Z.; Ji, M.; Zhang, X.; Zhang, J.; Yao, G. Phosphorus removal enhancement of magnesium modified constructed wetland microcosm and its mechanism study. Chem. Eng. J. 2018, 335, 209–214. [Google Scholar] [CrossRef]
- Macci, C.; Peruzzi, E.; Doni, S.; Iannelli, R.; Masciandaro, G. Ornamental plants for micropollutant removal in wetland systems. Environ. Sci. Pollut. Res. 2015, 22, 2406–2415. [Google Scholar] [CrossRef] [PubMed]
- Zurita, F.; De Anda, J.; Belmont, M.A. Treatment of domestic wastewater and production of commercial flowers in vertical and horizontal subsurface-flow constructed wetlands. Ecol. Eng. 2009, 35, 861–869. [Google Scholar] [CrossRef]
- Zurita, F.; Carreón-Álvarez, A. Performance of three pilot-scale hybrid constructed wetlands for total coliforms and Escherichia coli removal from primary effluent–a 2-year study in a subtropical climate. J. Water Health 2015, 13, 446–458. [Google Scholar] [CrossRef] [PubMed]
- Torit, J.; Siangdung, W.; Thiravetyan, P. Phosphorus removal from domestic wastewater by Echinodorus cordifolius L. J. Environ. Sci. Health Part A 2012, 47, 794–800. [Google Scholar] [CrossRef] [PubMed]
- Garzón-Zúñiga, M.A.; Tomasini-Ortíz, A.C.; Moeller-Chavez, G.; Hornelas-Uribe, Y.; Buelna, G.Y.; Mijaylova-Nacheva, P. Enhanced pathogen removal in on-site biofiltration systems over organic filtration materials. What Pract. Technol. 2008, 3, 1–8. [Google Scholar]
- Kadlec, R.H. Comparison of free water and horizontal subsurface treatment wetlands. Ecol. Eng. 2009, 35–2, 159–174. [Google Scholar] [CrossRef]
- He, Y.; Peng, L.; Hua, Y.; Zhao, J.; Xiao, N. Treatment for domestic wastewater from university dorms using a hybrid constructed wetland at pilot scale. Environ. Sci. Pollut. Res. 2018. [Google Scholar] [CrossRef] [PubMed]
- Garcia, J.; Rousseau, D.P.; Morato, J.; Lesage, E.L.S.; Matamoros, V.; Bayona, J.M. Contaminant removal processes in subsurface-flow constructed wetlands: A review. Crit. Rev. Environ. Sci. Technol. 2010, 40, 561–661. [Google Scholar] [CrossRef]
- Headley, T.; Nivala, J.; Kassa, K.; Olsson, L.; Wallace, S.; Brix, H.; Müller, R. Escherichia coli removal and internal dynamics in subsurface flow ecotechnologies: Effects of design and plants. Ecol. Eng. 2013, 61, 564–574. [Google Scholar] [CrossRef]
- Avelar, F.F.; De Matos, A.T.; De Matos, M.P.; Borges, A.C. Coliform bacteria removal from sewage in constructed wetlands planted with Mentha aquatica. Environ. Technol. 2014, 35, 2095–2103. [Google Scholar] [CrossRef] [PubMed]
- Wu, H.; Lin, L.; Zhang, J.; Guo, W.; Liang, S.; Liu, H. Purification ability and carbon dioxide flux from surface flow constructed wetlands treating sewage treatment plant effluent. Bioresour. Technol. 2016, 219, 768–772. [Google Scholar] [CrossRef] [PubMed]
- Vymazal, J. Plants used in constructed wetlands with horizontal subsurface flow: A review. Hydrobiologia 2011, 674, 133–156. [Google Scholar] [CrossRef]
- Weerakoon, G.M.P.R.; Jinadasa, K.B.S.N.; Herath, G.B.B.; Mowjood, M.I.M.; Zhang, D.; Tan, S.K.; Jern, N.W. Performance of tropical vertical subsurface flow constructed wetlands at different hydraulic loading rates. Clean. Soil Air Water 2016, 44, 938–948. [Google Scholar] [CrossRef]
- Hinds, T.D., Jr.; Brown, R.R.; Burns, E.H., Jr. Reduction of Fecal Coliform Levels in Two Created Wetlands at the Olentangy River Wetland Research Park; Springer: Portsmouth, OH, USA, 2004. [Google Scholar]
- Smith, E.; Gordon, R.; Madani, A.; Stratton, G. Pathogen removal by agricultural constructed wetlands in cold climates. J. Environ. Inf. 2005, 6, 46–50. [Google Scholar] [CrossRef]
- Mesquita, C.; Albuquerque, A.; Amaral, L.; Nogueira, R. Effectiveness and temporal variation of a full-scale horizontal constructed wetland in reducing nitrogen and phosphorus from domestic wastewater. Chem. Eng. 2008, 2. [Google Scholar] [CrossRef]
- Marín-Muñiz, J.L. Humedales. In Riñones del Planeta y Hábitat de Múltiples Especies; de Veracruz, E.C., Ed.; Editora de Gobierno del Estado de Veracruz: Veracruz, Mexico, 2018. [Google Scholar]







| Time (Days) | % Residual Water | % Tap Water |
|---|---|---|
| 31 a 33 | 10 | 90 |
| 34 a 39 | 20 | 80 |
| 40 a 43 | 40 | 60 |
| 44 a 47 | 60 | 40 |
| 48 a 51 | 80 | 20 |
| 52 a 60 | 90 | 10 |
| 61 a 270 | 100 | 0 |
| Plants | Substrate | Number of Flowers | Flower Size (cm) |
|---|---|---|---|
| Zantedeschia aethiopica | RVG | 10 | 36.4 ± 11.4 |
| Spathiphyllum wallisii | RVG | 12 | 11.2 ± 3.3 |
| Zantedeschia aethiopica | PET | 9 | 30.5 ± 10.1 |
| Spathiphyllum wallisii | PET | 7 | 9.2 ± 4.1 |
| Settings | Wetland Plants in Different Substrates | ||||||||
|---|---|---|---|---|---|---|---|---|---|
| Influent | Lavandula sp. | S. wallisii | Z. aethiopica | Lavandula sp. | S. wallisii | Z. aethiopica | Control | Control | |
| Substrate | PET | RVG | RVG | PET | |||||
| Temperature (°C) | 23.34 ± 0.70 | 17.18 ± 0.19 | 16.99 ± 0.21 | 17.44 ± 0.19 | 17.14 ± 0.19 | 16.94 ± 0.19 | 17.41 ± 0.13 | 17.61 ± 0.16 | 17.48 ± 0.19 |
| EC (µS cm−1) | 1306.45 ± 52.07 | 1116.98 ± 36.01 | 1167.94 ± 28.75 | 1118.48 ± 29.22 | 1012.89 ± 32.86 | 907.86 ± 47.47 | 997.13 ± 28.75 | 1050.2 ± 43.51 | 1146.22 ± 39.48 |
| SDT (mg L−1) | 267.59 ± 5.94 | 178.82 ± 2.00 | 183.71 ± 1.67 | 168.50 ± 2.18 | 156.25 ± 2.70 | 162.77 ± 2.32 | 138.60 ± 1.96 | 190.43 ± 3.46 | 212.99 ± 2.70 |
| Substrate | Vegetation | Type of Cultivation | Type of WW * | Removal | Site | Authors |
|---|---|---|---|---|---|---|
| Tezontle | Canna spp. and Iris spp. | polyculture | Sewage | BOD: 82, TN: 53, TP: 60. | Chile | Morales et al. [42] |
| Gravel | Canna indica | polyculture | Synthetic | N: 65–67, P: 63–74, Zn and Cu: 98–99, Carbamazepine: 25–51, LAS: 60–72 | Italy | Macci et al. [72] |
| Tezontle | Strelitzia reginae, Canna hybrids and Anthurium andreanum, | polyculture | Domestic | COD: >75, P: 66, Coliforms: 99 | Mexico | Zurita et al. [35] |
| Tezontle and red volcanic gravel | Strelitzia reginae, Anturium andreanum and Agapanthus africanus | polyculture | Domestic | TSS: 62, COD: 80, BOD: 82, TP: >50, TN: >49 | Mexico | Zurita et al. [73] |
| Tezontle | Zantedeschia aethiopica | Monoculture | Domestic | BOD: 79, TN: 55, PT: 50 | Mexico | Zurita et al. (36) |
| Red volcanic gravel | Lilium sp., Anthurium sp., and Hedychium coronarium | polyculture | Municipal | NT: 47%, PT: 33%, DQO: 67% | Mexico | Hernández [15] |
| Tezontle | Strelitzia reginae | polyculture | Municipal | COD: 75, TN: 18, TP: 2, TSS: 88. | Mexico | Zurita and Carreón-Álvarez [74] |
| Expanded clay | Canna generalis Bailey, and Iris pseudacorus L. | polyculture | stormwater runoff | N and P Canna (>90), Iris (>30) | USA | Chen et al. [19] |
| Clay | Canna flaccida, Canna indica, Agapanthus africanus and Watsonia borbonica | polyculture | Community | BOD, COD, P-PO4, NH4 and total coliform bacteria (all up to 84) | Portugal | Calheiros et al. [69] |
| Soil | Crinum asiaticum and Spathiphyllum clevelandii Schott | polyculture | Domestic | PO4-P: ~20 | Thailand | Torit et al. [75] |
| Gravel | Spathiphyllum wallisii, Zantedechia aethiopica, Iris japonica, Hedychium coronarium, Alocasia sp., Heliconia sp. and Strelitzia reginae. | polyculture | Domestic | N-NH4: 64–93 BOD: 22–96 COD: 25–64 | Mexico | Garzòn et al. [76] |
| Tabachin Wood | Spathiphyllum wallisii | polyculture | Domestic | PT: 73.2%, DQO: 98%, N-N-NO4: 73.2%, SST: 99.5% | Mexico | Cervantes-Quiroz [64] |
© 2018 by the authors. Licensee MDPI, Basel, Switzerland. This article is an open access article distributed under the terms and conditions of the Creative Commons Attribution (CC BY) license (http://creativecommons.org/licenses/by/4.0/).
Share and Cite
Sandoval-Herazo, L.C.; Alvarado-Lassman, A.; Marín-Muñiz, J.L.; Méndez-Contreras, J.M.; Zamora-Castro, S.A. Effects of the Use of Ornamental Plants and Different Substrates in the Removal of Wastewater Pollutants through Microcosms of Constructed Wetlands. Sustainability 2018, 10, 1594. https://doi.org/10.3390/su10051594
Sandoval-Herazo LC, Alvarado-Lassman A, Marín-Muñiz JL, Méndez-Contreras JM, Zamora-Castro SA. Effects of the Use of Ornamental Plants and Different Substrates in the Removal of Wastewater Pollutants through Microcosms of Constructed Wetlands. Sustainability. 2018; 10(5):1594. https://doi.org/10.3390/su10051594
Chicago/Turabian StyleSandoval-Herazo, Luis Carlos, Alejandro Alvarado-Lassman, José Luis Marín-Muñiz, Juan Manuel Méndez-Contreras, and Sergio Aurelio Zamora-Castro. 2018. "Effects of the Use of Ornamental Plants and Different Substrates in the Removal of Wastewater Pollutants through Microcosms of Constructed Wetlands" Sustainability 10, no. 5: 1594. https://doi.org/10.3390/su10051594
APA StyleSandoval-Herazo, L. C., Alvarado-Lassman, A., Marín-Muñiz, J. L., Méndez-Contreras, J. M., & Zamora-Castro, S. A. (2018). Effects of the Use of Ornamental Plants and Different Substrates in the Removal of Wastewater Pollutants through Microcosms of Constructed Wetlands. Sustainability, 10(5), 1594. https://doi.org/10.3390/su10051594

