The Association between Ambient Temperature and Acute Diarrhea Incidence in Hong Kong, Taiwan, and Japan
Abstract
1. Introduction
2. Materials and Methods
2.1. Data
2.2. Statistical Analysis
3. Results
3.1. Descriptive Statistics
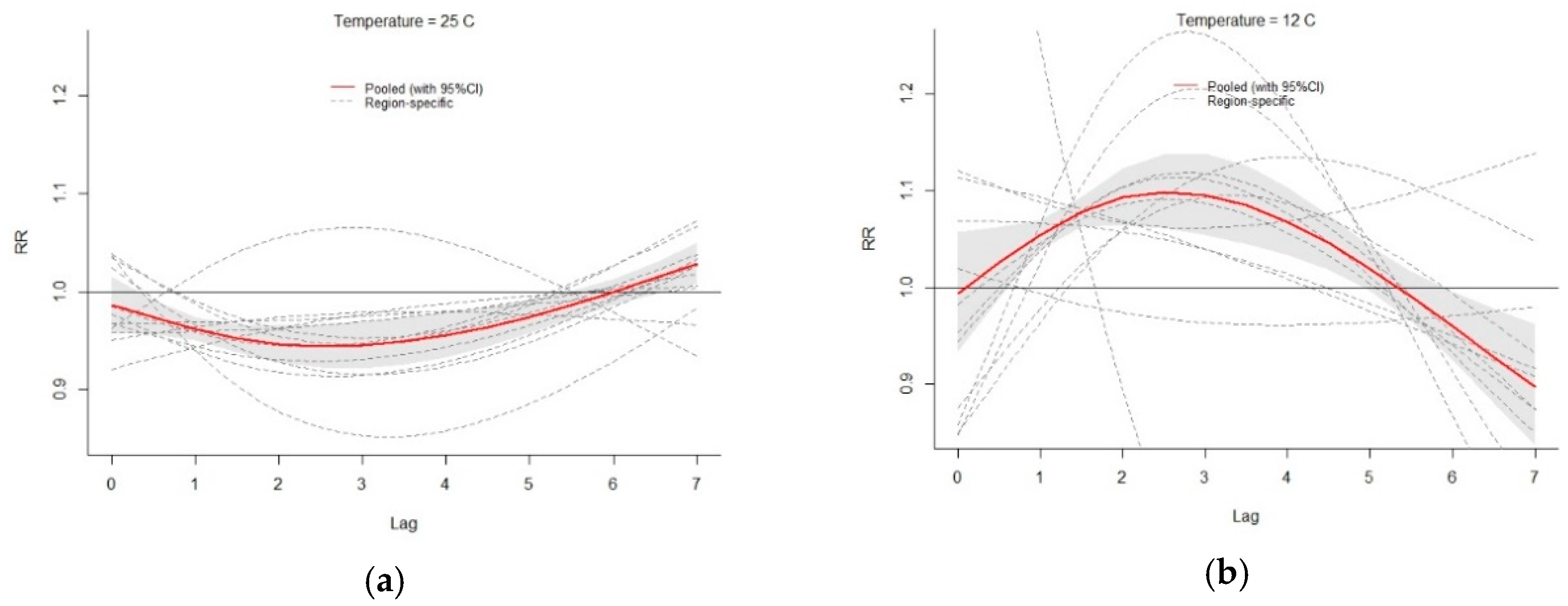
3.2. DLNM and Meta-Analysis
3.3. Prediction and Error Analysis
4. Discussion
5. Conclusions
Author Contributions
Acknowledgments
Conflicts of Interest
References
- GBD 2015 Mortality and Causes of Death Collaborators. Global, regional, and national life expectancy, all-cause mortality, and cause-specific mortality for 249 causes of death, 1980–2015: A systematic analysis for the Global Burden of Disease Study 2015. Lancet 2016, 388, 1459–1544. [Google Scholar]
- GBD Diarrhoeal Diseases Collaborators. Estimates of global, regional, and national morbidity, mortality, and aetiologies of diarrhoeal diseases: A systematic analysis for the Global Burden of Disease Study 2015. Lancet Infect. Dis. 2017, 17, 909–948. [Google Scholar]
- Hashim, J.H.; Hashim, Z. Climate Change, Extreme Weather Events, and Human Health Implications in the Asia Pacific Region. Asia Pac. J. Public Health 2016, 28 (Suppl. 2), 8S–14S. [Google Scholar] [CrossRef] [PubMed]
- Chou, W.C.; Wu, J.L.; Wang, Y.C.; Huang, H.; Sung, F.C.; Chuang, C.Y. Modeling the impact of climate variability on diarrhea-associated diseases in Taiwan (1996–2007). Sci. Total Environ. 2010, 409, 43–51. [Google Scholar] [CrossRef] [PubMed]
- D’Souza, R.M.; Hall, G.; Becker, N.G. Climatic factors associated with hospitalizations for rotavirus diarrhoea in children under 5 years of age. Epidemiol. Infect. 2008, 136, 56–64. [Google Scholar] [CrossRef] [PubMed]
- Mellor, J.; Kumpel, E.; Ercumen, A.; Zimmerman, J. Systems Approach to Climate, Water, and Diarrhea in Hubli-Dharwad, India. Environ. Sci. Technol. 2016, 50, 13042–13051. [Google Scholar] [CrossRef] [PubMed]
- Onozuka, D. Effect of non-stationary climate on infectious gastroenteritis transmission in Japan. Sci. Rep. 2014, 4, 5157. [Google Scholar] [CrossRef] [PubMed]
- Xu, Z.; Huang, C.; Turner, L.R.; Su, H.; Qiao, Z.; Tong, S. Is diurnal temperature range a risk factor for childhood diarrhea? PLoS ONE 2013, 8, e64713. [Google Scholar] [CrossRef] [PubMed]
- Zhou, X.; Zhou, Y.; Chen, R.; Ma, W.; Deng, H.; Kan, H. High temperature as a risk factor for infectious diarrhea in Shanghai, China. J. Epidemiol. 2013, 23, 418–423. [Google Scholar] [CrossRef] [PubMed]
- Onozuka, D.; Hagihara, A. Nationwide variation in the effects of temperature on infectious gastroenteritis incidence in Japan. Sci. Rep. 2015, 5, 12932. [Google Scholar] [CrossRef] [PubMed]
- Xu, Z.; Liu, Y.; Ma, Z.; Sam Toloo, G.; Hu, W.; Tong, S. Assessment of the temperature effect on childhood diarrhea using satellite imagery. Sci. Rep. 2014, 4, 5389. [Google Scholar] [CrossRef] [PubMed]
- Gasparrini, A.; Armstrong, B. Reducing and meta-analysing estimates from distributed lag non-linear models. BMC Med. Res. Methodol. 2013, 13, 1. [Google Scholar] [CrossRef] [PubMed]
- Guo, Y.; Gasparrini, A.; Armstrong, B.; Li, S.; Tawatsupa, B.; Tobias, A.; Lavigne, E.; de Sousa Zanotti Stagliorio Coelho, M.; Leone, M.; Pan, X.; et al. Global variation in the effects of ambient temperature on mortality: A systematic evaluation. Epidemiology 2014, 25, 781–789. [Google Scholar] [CrossRef] [PubMed]
- Xiao, X.; Gasparrini, A.; Huang, J.; Liao, Q.; Liu, F.; Yin, F.; Yu, H.; Li, X. The exposure-response relationship between temperature and childhood hand, foot and mouth disease: A multicity study from mainland China. Environ. Int. 2017, 100, 102–109. [Google Scholar] [CrossRef] [PubMed]
- R: A Language and Environment for Statistical Computing. Available online: http://www.R.-project.org (accessed on 1 March 2018).
- Gasparrini, A. Distributed lag linear and non-linear models in R: The package dlnm. J. Stat. Softw. 2011, 43, 1–20. [Google Scholar] [CrossRef] [PubMed]
- Gasparrini, A.A.B.; Kenward, M. Multivariate meta-analysis for non-linear and other multi-parameter associations. Stat. Med. 2012, 31, 3821–3839. [Google Scholar] [CrossRef] [PubMed]
- Atchison, C.J.; Tam, C.C.; Hajat, S.; van Pelt, W.; Cowden, J.M.; Lopman, B.A. Temperature-dependent transmission of rotavirus in Great Britain and The Netherlands. Proc. Biol. Sci. 2010, 277, 933–942. [Google Scholar] [CrossRef] [PubMed]
- Pitzer, V.E.; Viboud, C.; Simonsen, L.; Steiner, C.; Panozzo, C.A.; Alonso, W.J.; Miller, M.A.; Glass, R.I.; Glasser, J.W.; Parashar, U.D.; et al. Demographic variability, vaccination, and the spatiotemporal dynamics of rotavirus epidemics. Science 2009, 325, 290–294. [Google Scholar] [CrossRef] [PubMed]
- Lopman, B.; Armstrong, B.; Atchison, C.; Gray, J.J. Host, weather and virological factors drive norovirus epidemiology: Time-series analysis of laboratory surveillance data in England and Wales. PLoS ONE 2009, 4, e6671. [Google Scholar] [CrossRef] [PubMed]
- Hervas, D.; Hervas-Masip, J.; Rosell, A.; Mena, A.; Perez, J.L.; Hervas, J.A. Are hospitalizations for rotavirus gastroenteritis associated with meteorologic factors? Eur. J. Clin. Microbiol. Infect. Dis. 2014, 33, 1547–1553. [Google Scholar] [CrossRef] [PubMed]
- Wang, Y.; Zhang, T.P.; Xiao, H.L.; Qi, H.Y.; Yin, C.H. Formulation of an early warning infectivity score system for adult patients with acute bacterial diarrhea. Biomed. Environ. Sci. 2014, 27, 65–69. [Google Scholar] [PubMed]
- Lowe, D.; Ebi, K.L.; Forsberg, B. Heatwave early warning systems and adaptation advice to reduce human health consequences of heatwaves. Int. J. Environ. Res. Public Health 2011, 8, 4623–4648. [Google Scholar] [CrossRef] [PubMed]
- Thompson, C.N.; Zelner, J.L.; Nhu Tdo, H.; Phan, M.V.; Hoang Le, P.; Nguyen Thanh, H.; Vu Thuy, D.; Minh Nguyen, N.; Ha Manh, T.; Van Hoang Minh, T.; et al. The impact of environmental and climatic variation on the spatiotemporal trends of hospitalized pediatric diarrhea in Ho Chi Minh City, Vietnam. Health Place 2015, 35, 147–154. [Google Scholar] [CrossRef] [PubMed]






| Region | Temperature (°C) Mean ± SD | Wind Speed (m/s) Mean ± SD | Visibility (km) Mean ± SD | Relative Humidity (%) Mean ± SD |
|---|---|---|---|---|
| Hong Kong | 24.646 ± 5.278 | 8.977 ± 1.668 | 5.872 ± 0.650 | 69.830 ± 8.785 |
| Southern Taiwan | 25.563 ± 3.631 | 6.209 ± 1.105 | 4.742 ± 0.881 | 76.092 ± 6.267 |
| Central Taiwan | 23.2627 ± 5.292 | 11.332 ± 3.307 | 5.414 ± 0.717 | 74.747 ± 7.192 |
| Northern Taiwan | 23.480 ± 5.164 | 7.532 ± 1.872 | 5.707 ± 0.526 | 70.776 ± 6.541 |
| Kyushu | 17.702 ± 7.608 | 5.526 ± 0.987 | 10.352 ± 2.059 | 68.276 ± 8.910 |
| Shikoku | 17.645 ± 7.285 | 7.669 ± 2.123 | 5.965 ± 0.484 | 66.702 ± 8.848 |
| Chugoku | 16.872 ± 8.218 | 6.4770 ± 1.026 | 12.281 ± 2.650 | 64.662 ± 7.231 |
| Kansai | 17.380 ± 8.169 | 4.686 ± 0.793 | 15.102 ± 2.833 | 62.585 ± 7.130 |
| Chubu | 16.674 ± 8.379 | 5.914 ± 1.067 | 10.676 ± 1.908 | 62.890 ± 8.498 |
| Kanto | 16.897 ± 7.811 | 5.626 ± 1.029 | 11.673 ± 3.151 | 62.484 ± 12.288 |
| Tohoku | 13.485 ± 8.303 | 6.124 ± 1.161 | 11.600 ± 2.795 | 68.030 ± 10.156 |
| Hokkaido | 9.806 ± 9.536 | 6.843 ± 1.484 | 9.789 ± 2.163 | 66.797 ± 7.915 |
| All 12 regions | 18.618 ± 8.546 | 6.910 ± 2.360 | 9.122 ± 3.827 | 67.824 ± 9.482 |
| Region | Mean Absolute Errors (MAE) | Root Mean Squared Errors (RMSE) |
|---|---|---|
| Hong Kong | 423 | 493 |
| Southern Taiwan | 281 | 411 |
| Central Taiwan | 95 | 125 |
| Northern Taiwan | 298 | 401 |
| Kyushu | 344 | 434 |
| Shikoku | 306 | 349 |
| Chugoku | 135 | 169 |
| Kansai | 600 | 791 |
| Chubu | 558 | 724 |
| Kanto | 1097 | 1591 |
| Tohoku | 168 | 209 |
| Hokkaido | 101 | 129 |
© 2018 by the authors. Licensee MDPI, Basel, Switzerland. This article is an open access article distributed under the terms and conditions of the Creative Commons Attribution (CC BY) license (http://creativecommons.org/licenses/by/4.0/).
Share and Cite
Chen, C.-C.; Lin, B.-C.; Yap, L.; Chiang, P.-H.; Chan, T.-C. The Association between Ambient Temperature and Acute Diarrhea Incidence in Hong Kong, Taiwan, and Japan. Sustainability 2018, 10, 1417. https://doi.org/10.3390/su10051417
Chen C-C, Lin B-C, Yap L, Chiang P-H, Chan T-C. The Association between Ambient Temperature and Acute Diarrhea Incidence in Hong Kong, Taiwan, and Japan. Sustainability. 2018; 10(5):1417. https://doi.org/10.3390/su10051417
Chicago/Turabian StyleChen, Chien-Chou, Bo-Cheng Lin, Liwei Yap, Po-Huang Chiang, and Ta-Chien Chan. 2018. "The Association between Ambient Temperature and Acute Diarrhea Incidence in Hong Kong, Taiwan, and Japan" Sustainability 10, no. 5: 1417. https://doi.org/10.3390/su10051417
APA StyleChen, C.-C., Lin, B.-C., Yap, L., Chiang, P.-H., & Chan, T.-C. (2018). The Association between Ambient Temperature and Acute Diarrhea Incidence in Hong Kong, Taiwan, and Japan. Sustainability, 10(5), 1417. https://doi.org/10.3390/su10051417

