Health Resorts and Multi-Textured Perceptions of International Health Tourists
Abstract
1. Introduction
2. Theoretical Background
2.1. Medical, Wellness, and Health Tourism
2.2. Health Resort’s Perceptions and Attraction with Sustainable Tourism
2.3. Expectations Confirmation Theory (ECT)
Theory of Planned Behavior (TPB)
2.4. Impact of Culture on Behavior
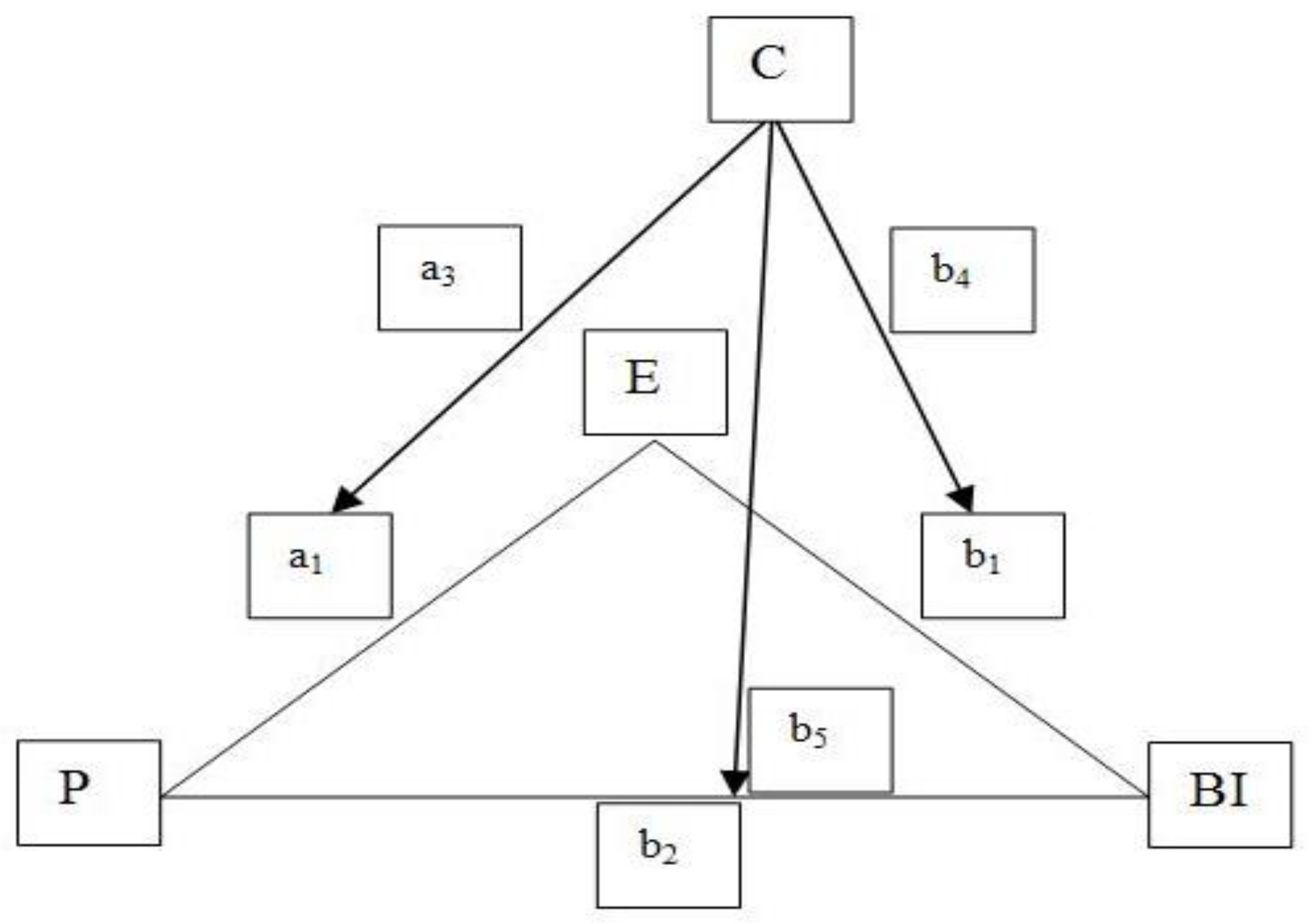
2.5. Research Model Equation
3. Methodology
3.1. Measurement Scale and Questionnaire
3.2. Sampling and Data Collection
4. Results
4.1. Measurement Model Results
4.2. Structural Model Evaluation
4.3. Mediation Testing
4.4. Metric Invariance
5. Discussion and Implications
6. Limitations
7. Conclusions
Acknowledgments
Author Contributions
Conflicts of Interest
Appendix A. Items Measurement
| No | Contents | Agreement | ||||||
|---|---|---|---|---|---|---|---|---|
Strongly Disagree Strongly Agree | ||||||||
| Affordability | Strongly Disagree | Disagree | Somewhat Disagree | Neutral | Somewhat Agree | Agree | Strongly Agree | |
| 1 | To save the time/effort required to access different medical/healthcare/aesthetic services and lodging facility. | 1 | 2 | 3 | 4 | 5 | 6 | 7 |
| 2 | To find my preferred healthcare/medical treatment economically than other healthcare/medical settings. | 1 | 2 | 3 | 4 | 5 | 6 | 7 |
| 3 | To travel easily from my country at a lower cost. | 1 | 2 | 3 | 4 | 5 | 6 | 7 |
| 4 | To avail health/medical/wellness services with favorable exchange rates. | 1 | 2 | 3 | 4 | 5 | 6 | 7 |
| Risk Level | ||||||||
| 5 | To avoid the risk that the intended healthcare/medical treatment will not produce the desired results as expected. | 1 | 2 | 3 | 4 | 5 | 6 | 7 |
| 6 | To avoid the risk that existing health condition will be worst if I travel to another destination. | 1 | 2 | 3 | 4 | 5 | 6 | 7 |
| 7 | To avoid the risk that my healthcare expenses, overall, will not benefit with good savings. | 1 | 2 | 3 | 4 | 5 | 6 | 7 |
| 8 | To avoid the risk of accidental injury or any kind of danger. | 1 | 2 | 3 | 4 | 5 | 6 | 7 |
| Medical Facilities | ||||||||
| 9 | To find technically advanced medical facilities. | 1 | 2 | 3 | 4 | 5 | 6 | 7 |
| 10 | To find aesthetic services (e.g., alternative treatments, diet and exercise plan etc.). | 1 | 2 | 3 | 4 | 5 | 6 | 7 |
| 11 | To find a quality post-operative care with privacy and confidentiality. | 1 | 2 | 3 | 4 | 5 | 6 | 7 |
| 12 | To find the services of qualified medical staff. | 1 | 2 | 3 | 4 | 5 | 6 | 7 |
| Sustainable Tourism | ||||||||
| 13 | To relax mentally and physically in non-polluted/less polluted sites | 1 | 2 | 3 | 4 | 5 | 6 | 7 |
| 14 | To experience the beauty of nature, e.g., beaches, and fun. | 1 | 2 | 3 | 4 | 5 | 6 | 7 |
| 15 | To find a package that offers healthcare/medical treatment and tourism adventure to lodging with good meal. | 1 | 2 | 3 | 4 | 5 | 6 | 7 |
| 16 | To find the feeling of well-being to me. | 1 | 2 | 3 | 4 | 5 | 6 | 7 |
| Expectations | ||||||||
| 17 | I feel that a health resort will help me with a good health/medical/tourism experience. | 1 | 2 | 3 | 4 | 5 | 6 | 7 |
| 18 | A health resort would provide better medical/healthcare care than I expect. | 1 | 2 | 3 | 4 | 5 | 6 | 7 |
| 19 | I feel a health resort will offer a valuable care than the care available in other healthcare/medical locations/hospitals etc. | 1 | 2 | 3 | 4 | 5 | 6 | 7 |
| Behavioral intentions | ||||||||
| 20 | I will prefer to visit a health resort while traveling in another country for health care and medical treatment. | 1 | 2 | 3 | 4 | 5 | 6 | 7 |
| 21 | I will prefer a health resort for my healthcare and medical treatment. | 1 | 2 | 3 | 4 | 5 | 6 | 7 |
| 22 | I will tell others about my experience in the health resort. | 1 | 2 | 3 | 4 | 5 | 6 | 7 |
| 23 | I will prefer to find my health treatments in health resort than stand alone facilities. | 1 | 2 | 3 | 4 | 5 | 6 | 7 |
References
- Majeed, S.; Lu, C. Changing preferences, moving places and third party administrators: A scoping review of medical tourism trends (1990–2016). Almatourism 2017, 15, 56–83. [Google Scholar]
- Majeed, S.; Lu, C.; Tariq, J. The journey from an allopathic to natural treatment approach: A scoping review of medical tourism and health systems. Eur. J. Integr. Med. 2017, 16, 22–32. [Google Scholar] [CrossRef]
- Kovacs, E.; Szocska, G.; Knai, C. International Patients on operation vacation—Perspectives of patients travelling to Hungary for Orthopaedic treatments. Int. J. Health Policy Manag. 2014, 3, 333–340. [Google Scholar] [CrossRef] [PubMed]
- Makinde, O.A. Physicians as medical tourism facilitators in Nigeria: Ethical issues of the practice. Croat. Med. J. 2016, 56, 601–604. [Google Scholar] [CrossRef]
- Scott, S. Many tourists are having medical procedures done in other countries other than their own. J. Tour. Hosp. 2016, 5, 231. [Google Scholar] [CrossRef]
- Iajevardi, M. A Comprehensive Perspective on Medical Tourism Context and Create a Conceptual Framework. J. Tour. Hosp. 2016, 5, 236. [Google Scholar] [CrossRef]
- George, B.P.; Henthorne, T.L. The incorporation of telemedicine with medical tourism: A study of consequences. J. Hosp. Mark. Manag. 2009, 18, 512–522. [Google Scholar] [CrossRef]
- Bookman, M.Z.; Bookman, K.R. Medical Tourism in Developing Countries; Palgrave Macmillan: New York, NY, USA, 2007. [Google Scholar]
- Amouzagar, S.; Mojaradi, Z.; Izanloo, A.; Beikzadeh, S.; Milani, M. Qualitative Examination of Health Tourism and its Challenges. Int. J. Travel Med. Glob. Health 2016, 4, 88–91. [Google Scholar] [CrossRef][Green Version]
- Reddy, S.G.; York, V.K.; Brannon, L.A. Travel for treatment: Students’ perspective on medical tourism. Int. J. Tour. Res. 2010, 12, 510–522. [Google Scholar] [CrossRef]
- Sharafuddin, M.A. Sidha and Wellness Tourism: Opportunities and Challenges For “Brand Tamilnadu”. Int. J. Res. Ayurveda Pharm. 2015, 6, 387–394. [Google Scholar] [CrossRef]
- Yeoh, E.; Othman, K.; Ahmad, H. Understanding medical tourists: Word-of-mouth and viral marketing as potent marketing tools. Tour. Manag. 2013, 34, 196–201. [Google Scholar] [CrossRef]
- Heung, V.C.; Kucukusta, D.; Song, H. A conceptual Model for Medical tourism: Implications for future research. J. Travel Tour. Mark. 2010, 27, 236–251. [Google Scholar] [CrossRef]
- Reisman, D. Trade in Health, Economics, Ethics and Public Policy; Edward Elgar: Cheltenham, UK, 2014. [Google Scholar]
- Manhas, P.S.; Ramjit, K. Marketing analysis of Medical Tourism in India. Enlight. Tour. Pathmak. J. 2015, 5, 1–39. [Google Scholar]
- Hanefeld, J.; Horsfall, D.; Lunt, N.; Smith, R. Medical tourism: A cost or benefit to the NHS? PLoS ONE 2013, 8, e70406. [Google Scholar] [CrossRef] [PubMed]
- Heung, V.C.; Kucukusta, D. Wellness Tourism in China: Resources, Development and Marketing. Int. J. Tour. Res. 2013, 15, 346–359. [Google Scholar] [CrossRef]
- Smith, M.K.; Puczkó, L. More than a special interest: Defining and determining the demand for health tourism. Tour. Recreat. Res. 2015, 40, 205–219. [Google Scholar] [CrossRef]
- Zhang, A.; Zhong, L.; Xu, Y.; Wang, H.; Dang, L. Tourists’ perception of haze pollution and the potential impacts on travel: Reshaping the features of tourism seasonality in Beijing, China. Sustainability 2015, 7, 2397–2414. [Google Scholar] [CrossRef]
- Vetitnev, A.; Dzubina, A. Spa-services and sanatorium-resort complexes of Russia. Tourism 2013, 61, 187–200. [Google Scholar]
- Hall, C.M. Health and medical tourism: A kill or cure for global public health? Tour. Rev. 2011, 66, 4–15. [Google Scholar] [CrossRef]
- Connell, J. Medical tourism: Sea, sun, sand and… surgery. Tour. Manag. 2006, 27, 1093–1100. [Google Scholar] [CrossRef]
- Turner, L. Medical tourism: Family medicine and international health-related travel. Can. Fam. Physician 2007, 53, 1639–1641. [Google Scholar] [PubMed]
- Evans, J.D.; Crooks, V.A. Kingsbury, P.T. Theoretical injectiions: On the therapeutic aesthetics of medical spaces. Soc. Sci. Med. 2009, 69, 716–721. [Google Scholar] [CrossRef] [PubMed]
- Buzinde, C.N.; Yarnal, C. Theoretical landscapes and postcolonial theory: A theoretical approach to medical tourism. Soc. Sci. Med. 2012, 74, 783–787. [Google Scholar] [CrossRef] [PubMed]
- Anischenko, E.A.; Stas, N.T.; Churáňov, A.B.; Tenova, Z.Y.; Chakarova, L.H. Resort Complex of the Russian Federation: Modern Aspect of Development. Int. J. Econ. Financ. Issues 2016, 6, 139–144. [Google Scholar]
- Bennett, M.; King, B.; Milner, L. The health resort sector in Australia: A positioning study. J. Vacat. Mark. 2004, 10, 122–137. [Google Scholar] [CrossRef]
- Horowitz, M.D.; Rosensweig, J.A. Medical tourism—Health care in the global economy. Physician Exec. 2007, 33, 24–30. [Google Scholar] [PubMed]
- Azadi, F.; Maleki, M.; Tabibi, S.J.; Azmal, M. A Medical Tourist Perception of Iranian Hospital Quality: Limited Employee Foreign Language Skills Negatively Impact Communication. Int. J. Hosp. Res. 2012, 1, 85–90. [Google Scholar]
- Cohen, I.G. Patients with Passports: Medical Touirms, Law, and Ethics; Oxford University Press: New York, NY, USA, 2014. [Google Scholar]
- Heung, V.C.; Kucukusta, D.; Song, H. Medical tourism developement in Hongkong: An assssment of the barriers. Tour. Manag. 2011, 32, 995–1005. [Google Scholar] [CrossRef]
- Voigt, C.; Brown, G.; Howat, G. Wellness tourists: In search of transformation. Tour. Rev. 2011, 66, 16–30. [Google Scholar] [CrossRef]
- Ferguson, R.J.; Paulin, M.; Pigeassou, C.; Gauduchon, R. Assessing service management effectiveness in a health resort: Implications of technical and functional quality. Manag. Serv. Qual. 1999, 9, 58–65. [Google Scholar] [CrossRef]
- Smith, M.; Kelly, C. Holistic tourism: Journeys of the self? Tour. Recreat. Res. 2006, 31, 15–24. [Google Scholar] [CrossRef]
- Chen, K.-H.; Chang, F.-H.; Wu, C. Investigating the wellness tourism factors in hot spring hotel customer service. Int. J. Contemp. Hosp. Manag. 2013, 25, 1092–1114. [Google Scholar] [CrossRef]
- Wu, H.L.; Liu, C.H.; Hsu, W.H. An integrative model of consumers’ perceptions of health care services in Taiwan. Serv. Ind. J. 2008, 29, 1307–1319. [Google Scholar] [CrossRef]
- Sarwar, A.A.; Manaf, N.A.; Omar, A. Medical Tourist’s Perception in Selecting their Destination: A Global Perspective. Iran. J. Public Health 2012, 41, 1–7. [Google Scholar] [PubMed]
- Plehn, N.; Folkert, L.; Meissner, A.; Plehn, G. Expectations of Russian medical tourists on German health care services: A Kano model-based analysis. J. Tour. Hosp. 2016, 5, 208. [Google Scholar] [CrossRef]
- Chou, S.Y.; Kiser, A.I.T.; Rodriguez, E.L. An expectation confirmation perspective of medical tourism. J. Serv. Sci. Res. 2012, 4, 299–318. [Google Scholar] [CrossRef]
- Černikovaitė, M.E.; Mameniškis, M.J. Medical tourists’ expectations when choosing Lithuania for health care services. Soc. Transform. Contemp. Soc. 2015, 3, 24–39. [Google Scholar]
- Lee, F. If Disney Ran Your Hospital: 9½ Things You Would Do Differently; Second River Healthcare Press: Bozeman, MT, USA, 2004. [Google Scholar]
- Kang, M.; Moscardo, G. Exploring Cross-cultural Differences in Attitudes towards Responsible Tourist Behavior: A comparison of Korean, British and Australian Tourists. Asia Pac. J. Tour. Res. 2007, 11, 303–320. [Google Scholar] [CrossRef]
- Crotts, J.C.; Pizam, A. The effect of national culture on consumers’ evaluation of travel services. J. Tour. Cult. Commun. 2003, 4, 17–28. [Google Scholar] [CrossRef]
- Connell, J. Contemporary Medical Tourism: Conceptualisation, Culture and Commodification. Tour. Manag. 2013, 34, 1–13. [Google Scholar] [CrossRef]
- An, D. Understanding Medical Tourists in Korea: Cross-Cultural Perceptions of Medical Tourism among Patients from the USA, Russia, Japan, and China. Asia Pac. J. Tour. Res. 2014, 19, 1141–1169. [Google Scholar] [CrossRef]
- Bartoluci, M.; Hendija, Z. Investment management in Croatian Health Tourism. J. Account. Manag. 2012, 2, 70–78. [Google Scholar]
- Marlowe, J.; Sullivan, P. Medical Tourism: The Ultimate Outsourcing. HR Hum. Resour. Plan. 2007, 30, 8–10. [Google Scholar]
- Mason, A.; Wright, K.B. Framing Medical Tourism: An Examination of Appeal, Risk, Convalescence, Accreditation, and Interactivity in Medical Tourism Web Sites. J. Health Commun. 2011, 16, 163–177. [Google Scholar] [CrossRef] [PubMed]
- Ramirez de Arellano, A.B. Patients Without borders: The emergence of medical tourism. Int. J. Health Serv. Plan. Adm. Eval. 2007, 37, 193–198. [Google Scholar] [CrossRef] [PubMed]
- Centran, M.; DeMicco, F.; Davies, O. Hospitality 2015: The Future of Hospitality and Travel; American Hotel & Lodging Institute: Lansing, MI, USA, 2010. [Google Scholar]
- Ellis, S. Are Wellness and Medical Tourism Industries Two Different Topics? Available online: https://www.imtj.com/articles/are-wellness-and-medical-tourism-industries-two-different-topics/ (accessed on 26 March 2018).
- Hall, C.M. Medical Tourism: The Ethics, Regulation, and Marketing of Health Mobility; Routledge: London, UK, 2013. [Google Scholar]
- Smith, M.K.; Puczkó, L. Health, Tourism and Hospitality: Spas, Wellness and Medical Travel; Routledge: London, UK, 2013. [Google Scholar]
- García-Altés, A. The Development of Health Tourism Services. Ann. Tour. Res. 2005, 32, 262–266. [Google Scholar] [CrossRef]
- Kušen, E. Positioning medical tourism in the broader framework of health tourism. Tourism 2011, 59, 95–99. [Google Scholar]
- Smith, C.; Jenner, P. Health tourism in Europe. Travel Tour. Anal. 2000, 1, 41–59. [Google Scholar]
- Yang, Y.-T.; Al-Ani, S.; Bartlett, G.; Moazzam, A. PR29P cosmetic medical tourism: Its true cost. ANZ J. Surg. 2009, 79, 60. [Google Scholar] [CrossRef]
- Goeldner, C. 39th Congress AIEST: English workshop summary. Rev. Tour. 1989, 44, 6–7. [Google Scholar]
- Carrera, P.; Bridges, J. Globalization and healthcare: Understanding health and medical tourism. Rev. Pharmacoecon. Outcomes Res. 2006, 6, 447–454. [Google Scholar] [CrossRef] [PubMed]
- Hunter-Jones, P. Cancer and tourism. Ann. Tour. Res. 2004, 32, 70–92. [Google Scholar] [CrossRef]
- Jankovic, S.; Persic, M. Reporting standards for health resort—Assumption for successful benchmarking. In Proceedings of the 7th International Scientific Conference on Economic and Social Development, New York, NY, USA, 24 October 2014; pp. 334–365. [Google Scholar]
- Gutenbrunner, C.; Bender, T.; Cantista, P.; Karagülle, Z. A proposal for a worldwide definition of health resort medicine, balneology, medical hydrology and climatology. Int. J. Biiometeorol. 2010, 54, 495–507. [Google Scholar] [CrossRef] [PubMed]
- Konu, H.; Tuohino, A.; Björk, P. Well-being tourism in Finland. In Health, Tourism and Hospitality: Spas, Wellness and Medical Travel; Smith, M.K., Puczkó, L., Eds.; Routledge: London, UK, 2013; pp. 345–349. [Google Scholar]
- Tsymbal, N. Overview of Wellness Tourism in Russia. 2014. Available online: http://www.globalwellnesssummit.com/images/stories/gsws2014/pdf/Overview_of_Wellness_Tourism_in_Russia.pdf (accessed on 30 December 2016).
- Vrkljan, S.; Hendija, Z. Business performance of health tourism service providers in the republic of Croatia. Acta Clin. Croat. 2016, 55, 79–86. [Google Scholar] [CrossRef] [PubMed][Green Version]
- Vittal, P.C.; Subhash, A.P.; Sharma, B.R.; Ramachandran, M. Emerging trends and future prospects of medical tourism in India. Indian J. Pharm. Sci. Res. 2015, 7, 246–251. [Google Scholar]
- Lee, M.; Han, H.; Lockyer, T. Medical tourism-attracting Japanese tourists for medical tourism experience. J. Travel Tour. Mark. 2012, 29, 69–86. [Google Scholar] [CrossRef]
- Müeller, H.; Kaufmann, E.L. Wellness tourism: Market analysis of a special health tourism segment and implications of the hotel industry. J. Vacat. Mark. 2001, 7, 5–17. [Google Scholar] [CrossRef]
- Han, J.H.; Lee, M.L.; Hwang, Y.-S. Tourists’ environmentally responsible behavior in response to climate change and tourist experience in nature-based tourism. Sustainability 2016, 8, 644. [Google Scholar] [CrossRef]
- Docrates. Health Care Hotel Helsinki. 2012. Available online: http://www.docrates.com/en/docrates-hospital/health-care-hotel-helsinki (accessed on 24 March 2017).
- Cormany, D.; Baloglu, S. Medical Travel Facilitator Websites: An Exploratory Study of Web Page Contents and Services Offered to the Prospective Medical Tourist. Tour. Manag. 2010, 32, 709–716. [Google Scholar] [CrossRef]
- Skar, M.; Odden, A.; Vistad, O.I. Motivation for mountain biking in Norway: Change and Stability in late-modern outdoor recreation. Nor. J. Geogr. 2008, 62, 36–45. [Google Scholar] [CrossRef]
- Pan, S.; Ryan, C. Mountain Areas and Visitor usage-Motivations and Determinants of Satisfaction: The Case of Pirongia Forest Park, New Zealand. J. Sustain. Tour. 2007, 15, 288–308. [Google Scholar] [CrossRef]
- Sultana, S.; Haque, A.; Momen, A.; Yasmin, F. Factors Affecting the Attractiveness of Medical Tourism Destination: An Empirical Study on India. Iran. J. Public Health 2014, 43, 867–876. [Google Scholar] [PubMed]
- Bieger, T.; Laesser, C. Information Source for Travel Decisions: Toward a source process model. J. Travel Res. 2004, 42, 357–371. [Google Scholar] [CrossRef]
- Mitchell, V.W.; Vassos, V. Perceived risk and risk reduction in holiday purchases: A cross-cultural and gender analysis. J. Euro-Mark. 1997, 6, 47–79. [Google Scholar] [CrossRef]
- Leahy, A.L. Medical Tourism: The Impact of Travel to Foreign Countries for Healthcare. Surgeon 2008, 6, 260–261. [Google Scholar] [CrossRef]
- Bies, W.; Zacharia, L. Medical Tourism: Outsourcing Surgery. Math. Comput. Model. 2007, 46, 1144–1159. [Google Scholar] [CrossRef]
- Turner, L. ‘First World Health Care at Third World Prices’: Globalization, Bioethics and Medical Tourism. BioSocieties 2007, 2, 303–325. [Google Scholar] [CrossRef]
- Lunt, N.; Hardey, M.; Mannion, R. Nip, Tuck and Click: Medical Tourism and the Emergence of Web-Basaed Health Information. Open Med. Inform. J. 2010, 4, 1–11. [Google Scholar] [CrossRef] [PubMed]
- Khan, M.J.; Chelliah, S.; Haron, M.S. Medical Tourism Destination Image Formation Process: A Conceptual Model. Int. J. Healthc. Manag. 2016, 9, 134–143. [Google Scholar] [CrossRef]
- Rimal, R.N. Perceived Risk and Self-Efficacy as Motivators: Understanding Individuals’ Long-Term Use of Health Information. J. Commun. 2001, 51, 633–654. [Google Scholar] [CrossRef]
- Mawby, R.I.; Tecău, A.S.; Constantin, C.P.; Chitu, I.B.; Tescasiu, B.T. Addressing the Security Concerns of Locals and Visitors for the Sustainable Development of Tourist Destinations. Sustainability 2016, 8, 524. [Google Scholar] [CrossRef]
- Ruka, E.; Garel, P. Medical Tourism; Hope Publications: Brussels, Belgium, 2015. [Google Scholar]
- Ruan, W.-Q.; Li, Y.-Q.; Liu, C.-H.S. Measuring tourism risk impacts on destination image. Sustainability 2017, 9, 1501. [Google Scholar] [CrossRef]
- Pizam, A.; Ellis, T. Customer satisfaction and its measurement in hospitality enterprise. Int. J. Contemp. Hosp. Manag. 1999, 11, 326–339. [Google Scholar] [CrossRef]
- Shabbir, S.; Kaufmann, H.; Shehzad, M. Service Quality, Word of Mouth and Trust: Drivers to Achieve Patient Satisfaction’. Sci. Res. Essay 2010, 5, 2457–2462. [Google Scholar]
- Zineldin, M. The Quality of Health Care and Patient Satisfaction. Int. J. Health Care Qual. Assur. 2006, 19, 60–92. [Google Scholar] [CrossRef]
- Oliver, R.L. Effect of Expectation and Disconfirmation on Post Exposure Product Evaluations: An Alternative Interpretation’. J. Appl. Psychol. 1997, 62, 480–486. [Google Scholar] [CrossRef]
- Spreng, R.A.; MacKenzie, S.B.; Olshavsky, R.W. A reexamination of the determinants of consumer satisfaction. J. Mark. 1996, 60, 15–26. [Google Scholar] [CrossRef]
- Casanova, E.M.; Sutton, B. Transnational Body Projects: Media Representations of Cosmetic Surgery Tourism in Argentina and the United States. Am. Sociol. Assoc. 2013, 19, 57–81. [Google Scholar] [CrossRef]
- Holliday, R.; Bell, D.; Hardy, K.; Hunter, E.; Jones, M.; Probyn, E.; Taylor, J.S. Beautiful Face, Beautiful space: Relational Geographies and Gender in Cosmetic Surgery Tourism Websites. Gend. Place Cult. 2015, 22, 90–106. [Google Scholar] [CrossRef]
- Viladrich, A.; Baron-Faust, R. Medical tourism in tango Paradise: The internet branding of cosmetic surgery in Argentina. Ann. Tour. Res. 2014, 45, 116–131. [Google Scholar] [CrossRef]
- Yang, C.C. The Establishment of a TQM System for the Health Care Industry. TQM Mag. 2003, 15, 93–98. [Google Scholar] [CrossRef]
- Jaapar, M.; Musa, G.; Moghavvemi, S.; Saub, R. Dental Tourism: Examining tourist profiles, motivation and satisfaction. Tour. Manag. 2017, 61, 538–552. [Google Scholar] [CrossRef]
- Bennett, J.K.; Fuertes, J.N.; Keitel, M.; Phillips, R. The role of patient attachment and working alliance on patient adherence, satisfaction, and health-related quality of life in lupus treatment. Patient Educ. Couns. 2011, 85, 53–59. [Google Scholar] [CrossRef] [PubMed]
- Sirakaya, E.; Woodside, A.G. Building and Testing Theories of Decision Making by Travelers. Tour. Manag. 2005, 26, 815–831. [Google Scholar] [CrossRef]
- Ajzen, I.; Fishbein, M. Understanding Attitudes and Predicting Social Behaviour; Prentice-Hall: Englewood Cliffs, NJ, USA, 1980. [Google Scholar]
- Ajzen, I. From Intentions to Actions: A Theory of Planned Behavior. In Action-Control: From Cognition to Behavior; Kuhl, J., Beckmann, J., Eds.; Springer: Heidelberg, Germany, 1985; pp. 11–39. [Google Scholar]
- Ajzen, I. The Theory of Planned Behavior. Organ. Behav. Hum. Decis. Process. 1991, 50, 179–211. [Google Scholar] [CrossRef]
- Wang, H.Y. Value as a Medical Tourism Driver. Manag. Serv. Qual. 2012, 22, 465–491. [Google Scholar] [CrossRef]
- Quintal, V.A.; Lee, J.A.; Soutar, G.N. Risk, uncertainity and the theory of planned behavior: A tourism example. Tour. Manag. 2010, 31, 797–805. [Google Scholar] [CrossRef]
- Parson, J.T.; Siegel, A.W.; Cousin, J.H. Late Adolescent Risk-Taking: Effects of Perceived Benefits and Perceived Risks on Behavioral Intentions and Behavioral Change. J. Adolesc. 1997, 20, 381–392. [Google Scholar] [CrossRef] [PubMed]
- Ajzen, I. Attitudes, Personality, and Behaviour; Dorsey: Chicago, IL, USA, 1988. [Google Scholar]
- Francis, J.J.; Eccles, M.P.; Johnston, M.; Walker, A.; Grimshaw, J.; Foy, R.; Kaner, E.F.S.; Smith, L.; Bonetti, D. Constructing Questionnaires Based on the Theory of Planned Behavior: A Manual for Health Services Researchers; Centre for Health Services Research: Newcastle Upon Tyne, UK, 2004. [Google Scholar]
- Blanchard, C.M.; Fisher, J.; Sparling, P.B.; Shanks, T.H.; Rhodes, R.E.; Courneya, K.S.; Baker, F. Understanding adherence to 5 servings of fruits and vegetables per day: A theory of planned behavior perspective. J. Nutr. Educ. Behav. 2009, 41, 3–10. [Google Scholar] [CrossRef] [PubMed]
- Ellis, R.; Kosma, M.; Cardinal, B.J.; Bauer, J.J.; McCubbin, J.A. Physical activity beliefs and behavior of adults with physical disabilities. Disabil. Rehabil. 2007, 29, 1221–1227. [Google Scholar] [CrossRef] [PubMed]
- Blue, C. Does the theory of planned behavior identify diabetes-related cognitions for intention to be physically active and eat a healthy diet? Public Health Nurs. 2007, 24, 141–150. [Google Scholar] [CrossRef] [PubMed]
- Tabak, N.; Ozon, M. The influence of nurses’ attitudes, subjective norms and perceived behavioral control on maintaining patient’s privacy in hospital setting. Nurs. Ethics 2004, 11, 366–377. [Google Scholar] [CrossRef] [PubMed]
- Lam, T.; Hsu, C.H.C. Predicting Behavioral Intention of Choosing a Travel Destination. Tour. Manag. 2006, 27, 589–599. [Google Scholar] [CrossRef]
- Sparks, E.; Pan, G.W. Chinese Outbound Tourists: Understanding their Attitudes, Constraints and Use of Information Sources. Tour. Manag. 2009, 30, 483–494. [Google Scholar] [CrossRef]
- Cheng, S.; Lam, T.; Hsu, C.H.C. Negative Word-of-Mouth Communication Intention: An Application of the Theory of Planned Behaviour. J. Hosp. Tour. Res. 2006, 30, 95–116. [Google Scholar] [CrossRef]
- Luna, D.; Gupta, S.F. An integrative framework for cross-cultural consumer behavior. Int. Mark. Rev. 2001, 18, 45–69. [Google Scholar] [CrossRef]
- Solomon, M.R. Consumer Behavior: Buying, Having, and Being, Kindle ed.; Pearson Education Limited: Essex, UK, 2014. [Google Scholar]
- Majeed, S.; Lu, C. Emotional Contagion through the Skincare Advertisements: The influence of culture on the Eastern Women Consumption Behavior. Eur. J. Bus. Manag. 2016, 8, 9–19. [Google Scholar]
- Mooij, M.D.; Hofstede, G. Cross-Cultural Consumer Behavior: A Review of Research Findings. J. Int. Consum. Mark. 2011, 23, 181–192. [Google Scholar]
- Majeed, S.; Lu, C.; Usman, M. Want to make me emotional? The influence of emotional advertisement on women consumption behavior. Front. Bus. Res. China 2017, 11, 16. [Google Scholar] [CrossRef]
- Schumann, J.H.; Wangenheim, F.V.; Stringfellow, A.; Yang, Z.; Blazevic, V.; Praxmarer, S.; Shainesh, G.; Komor, M.; Shannon, R.M.; Jiménez, F.R. Cross-Cultural differences in the Effect of Received Word-of-Mouth Referral in Relational Service Exchange. J. Int. Mark. 2010, 8, 62–80. [Google Scholar] [CrossRef]
- Roongrerngsuke, S.; Liefooghe, A. Attracting gold-collar workers: Comparing organizational attractiveness and work-related values across generations in China, India and Thailand. Asia Pac. Bus. Rev. 2013, 19, 337–355. [Google Scholar] [CrossRef]
- Lee, G.; Lee, C. Cross-cultural comparison of the image of Guam perceived by Korean and Japanese travelers: Importance-performance analysis. Tour. Manag. 2009, 30, 922–931. [Google Scholar] [CrossRef]
- Law, R. The Perceived Impact of Risks on Travel Decisions. Int. J. Tour. Res. 2006, 8, 289–300. [Google Scholar] [CrossRef]
- Sönmez, S.F.; Graefe, A.R. Determining Future Travel Behavior from Past Travel Experience and Perceptions of Risk and Safety. J. Travel Res. 1998, 37, 172–177. [Google Scholar] [CrossRef]
- Safavi, K. Patient-Centered Pay For Performance: Are We Missing The Target. J. Healthc. Manag. 2006, 51, 215–218. [Google Scholar] [CrossRef] [PubMed]
- Van de Vijver, F.; Tanzer, N.K. Bias and equivalence in cross-cultural assessment: An overview. Eur. Rev. Appl. Psychol. 1997, 47, 263–280. [Google Scholar] [CrossRef]
- Souro, J. What Is a Representative Sample Size for a Survey? 2010. Available online: http://www.measuringu.com/survey-sample-size.php (accessed on 10 August 2017).
- Bagozzi, R.P.; Yi, Y. On the evaluation of structural equation models. J. Acad. Mark. Sci. 1998, 16, 74–94. [Google Scholar] [CrossRef]
- Hair, J.F.; Anderson, R.E.; Tatham, R.L.; Black, W. Multivariate Data Analysis, 5th ed.; Prentice-Hall International Inc.: Upper Saddle River, NJ, USA, 1998. [Google Scholar]
- Fornell, C.; Larcker, D.F. Evaluating structural equation models with unob-serviable variables and measurement error. J. Mark. Res. 1981, 18, 39–50. [Google Scholar] [CrossRef]
- Falk, R.F.; Miller, N.B. A Primer on Soft Modeling; Akron Press: Akron, OH, USA, 1992. [Google Scholar]
- Chin, W.W. The partial least squares approach for structural equation modeling. In Modern Methods for Business Research; Arcoulides, G.A., Ed.; Lawrence Erlbaum Associates: Mahwah, NJ, USA, 1988. [Google Scholar]
- Hair, J.F.; Hult, G.T.; Ringle, C.; Sarstedt, M. A Primer on Partial Least Squares Structural Equation Modeling (PLS-SEM); Sage Publication: London, UK, 2013. [Google Scholar]
- Zhao, X.; Lynch, J.G.; Chen, Q. Reconsidering baron and Kenny: Myths and truths about mediation analysis. J. Consum. Res. 2010, 37, 197–206. [Google Scholar] [CrossRef]
- Ali, M.; Park, K. The mediating role of an innovative culture in the relationship between absorptive capacity and technical and non-technical innovation. J. Bus. Res. 2016, 69, 1669–1675. [Google Scholar] [CrossRef]
- Yoo, B. Cross-group comparisons: A cautionary note. Psychol. Mark. 2012, 19, 357–368. [Google Scholar] [CrossRef]




| Nationality | Thai Travelers | Indian Travelers | Chinese Travelers | ||||||
|---|---|---|---|---|---|---|---|---|---|
| N | Percent | Cumulative Percent | N | Percent | Cumulative Percent | N | Percent | Cumulative Percent | |
| Gender | |||||||||
| Males | 68 | 62.4 | 62.4 | 64 | 55.2 | 55.2 | 98 | 73.1 | 73.1 |
| Females | 41 | 37.6 | 100 | 52 | 44.8 | 100 | 36 | 26.9 | 100 |
| Total | 109 | 100 | 116 | 100 | 134 | 100 | |||
| Age(Average) | 38.2 Years | 36.9 Years | 38.8 years | ||||||
| Education | |||||||||
| Some school study | 13 | 11.9 | 11.9 | 9 | 7.7 | 7.7 | 2 | 1.5 | 1.5 |
| High school certificate | 36 | 33.0 | 44.9 | 33 | 28.4 | 36.1 | 11 | 8.3 | 9.8 |
| Undergraduate | 11 | 10.0 | 54.9 | 29 | 25.0 | 61.1 | 14 | 10.4 | 20.2 |
| Graduate degree | 39 | 35.9 | 90.8 | 41 | 35.4 | 96.5 | 97 | 72.3 | 92.5 |
| Master degree | 8 | 7.4 | 98.2 | 4 | 3.5 | 100 | 10 | 7.5 | 100 |
| Missing | 2 | 1.8 | 100 | 0 | 0 | 100 | 0 | 0 | 100 |
| Total | 109 | 100 | 116 | 100 | 134 | 100 | |||
| Income (Yearly) | |||||||||
| Less than $25,000 | 47 | 43.1 | 43.1 | 28 | 24.1 | 24.1 | 29 | 21.6 | 21.6 |
| $25,001–$50,000 | 34 | 31.1 | 74.2 | 41 | 35.3 | 59.4 | 37 | 27.7 | 49.3 |
| $50,001–$75,000 | 15 | 13.8 | 88.0 | 21 | 18.2 | 77.6 | 33 | 24.6 | 73.9 |
| $75,001–$100,000 | 6 | 5.5 | 93.5 | 10 | 8.6 | 86.2 | 13 | 9.7 | 83.6 |
| $100,001 or more | 4 | 3.7 | 97.2 | 7 | 6.0 | 92.2 | 11 | 8.2 | 91.8 |
| Missing | 3 | 2.8 | 100 | 9 | 7.8 | 100 | 11 | 8.2 | 100 |
| Total | 109 | 100 | 116 | 100 | 134 | 100 | |||
| Experience of health tourism recently | |||||||||
| Within 6 months | 15 | 13.7 | 13.7 | 19 | 16.4 | 16.4 | 21 | 15.4 | 15.4 |
| Within 1 year | 19 | 17.4 | 31.1 | 36 | 31.0 | 47.4 | 54 | 40.8 | 56.2 |
| Within 2–3 years | 28 | 25.7 | 56.8 | 34 | 29.3 | 76.7 | 39 | 29.1 | 85.3 |
| Within 4–5 years | 32 | 29.5 | 86.3 | 22 | 19.0 | 95.7 | 14 | 10.3 | 95.6 |
| More than 5 years | 15 | 13.7 | 100 | 5 | 4.3 | 100 | 6 | 4.4 | 100 |
| Missing | 0 | 0 | 100 | 0 | 0 | 100 | 0 | 0 | 100 |
| Total | 109 | 100 | 116 | 100 | 134 | 100 | |||
| Average international traveling frequency in previous five (5) years | 5.6 times | 6.9 times | 7.8 times | ||||||
| Item Level Constructs | Items | LVs | CR | α | AVE | SQRT (AVE) > Cor2 | R2 |
|---|---|---|---|---|---|---|---|
| Affordability (A) | A1 | 0.811 | 0.926 | 0.819 | 0.651 | 0.781 > 0.547 | |
| A2 | 0.703 | ||||||
| A3 | 0.715 | ||||||
| A4 | 0.837 | ||||||
| Risk Level (RL) | RL1 | 0.842 | 0.921 | 0.836 | 0.638 | 0.798 > 0.603 | |
| RL2 | 0.723 | ||||||
| RL3 | 0.797 | ||||||
| RL4 | 0.859 | ||||||
| Medical facilities (MF) | MF1 | 0.812 | 0.824 | 0.773 | 0.713 | 0.741 > 0.609 | |
| MF2 | 0.739 | ||||||
| MF3 | 0.747 | ||||||
| MF4 | 0.836 | ||||||
| Sustainable tourism (ST) | ST1 | 0.794 | 0.906 | 0.807 | 0.616 | 0.708 > 0.591 | |
| ST2 | 0.769 | ||||||
| ST3 | 0.813 | ||||||
| ST4 | 0.805 | ||||||
| Expectations (E) | E1 | 0.921 | 0.919 | 0.865 | 0.791 | 0.765 > 0.423 | 0.649 |
| E2 | 0.883 | ||||||
| E3 | 0.865 | ||||||
| Behavioral Intentions (BI) | BI1 | 0.801 | 0.857 | 0.827 | 0.659 | 0.727 > 0.576 | 0.742 |
| BI2 | 0.845 | ||||||
| BI3 | 0.739 | ||||||
| BI4 | 0.804 |
| Mean | Standard Deviation | Affordability | Risk Level | Medical Facilities | Sustainable Tourism | Expectations | Behavioral Intentions | |
|---|---|---|---|---|---|---|---|---|
| Affordability | 3.997 | 1.405 | 1.000 | |||||
| Risk Level | 4.312 | 1.213 | 0.741 a | 1.000 | ||||
| Medical facilities | 4.237 | 1.029 | 0.657 | 0.774 | 1.000 | |||
| Sustainable tourism | 4.125 | 1.127 | 0.651 | 0.769 | 0.792 | 1.000 | ||
| Expectations | 3.918 | 1.311 | 0.544 | 0.564 | 0.625 | 0.604 | 1.000 | |
| Behavioral intentions | 3.724 | 1.016 | 0.453 | 0.647 | 0.647 | 0.634 | 0.759 | 1.000 |
| Constructs | Standardized Coefficients | t-Values | f2 | q2 | Confidence Interval | p-Values | Results |
|---|---|---|---|---|---|---|---|
| A→BI | 0.285 | 4.473 | 0.15 | 0.15 | 0.184–0.319 | 0.001 | Hypothesis H1 Supported |
| RL→BI | 0.341 | 3.284 | 0.05 | 0.05 | 0.019–0.412 | 0.012 | |
| MF→BI | 0.246 | 3.719 | 0.13 | 0.13 | 0.146–0.355 | 0.002 | |
| ST→BI | 0.316 | 2.218 | 0.22 | 0.19 | 0.362–0.531 | 0.001 | |
| A→E | 0.169 | 4.071 | 0.07 | 0.07 | 0.153–0.306 | 0.001 | |
| RL→E | 0.327 | 2.817 | 0.09 | 0.09 | 0.147–0.249 | 0.003 | |
| MF→E | 0.389 | 4.126 | 0.06 | 0.06 | 0.026–0.152 | 0.004 | |
| ST→E | 0.119 | 0.537 | 0.08 | 0.07 | 0.258–0.411 | 0.000 | |
| E→BI | 0.295 | 3.621 | 0.03 | 0.03 | 0.033–0.147 | 0.001 |
| Construct Effect | Effect Level–Direct (t-Value) | Effect Level–Indirect (t-Value) | Effect Level–Total | VAF | Interpretation | Results |
|---|---|---|---|---|---|---|
| A→E→BI | 0.285(4.473) | 0.112(4.218) | 0.397 | 21.221 | Partial Mediation | Hypothesis H2 Supported |
| RL→E→BI | 0.341(3.284) | 0.201(2.483) | 0.542 | 40.472 | Partial Mediation | |
| MF→E→BI | 0.246(3.719) | 0.169(3.276) | 0.415 | 37.138 | Partial Mediation | |
| ST→E→BI | 0.316(2.218) | 0.183(1.749) | 0.499 | 25.339 | Partial Mediation |
| x2 | RMSEA | df | CFI | NFI | ∆x2 | Metric Invariance Results (Full) | |
|---|---|---|---|---|---|---|---|
| Invariance test measurement Non-restricted model | 892.164 | 0.058 | 416 | 0.917 | 0.859 | ∆x2 (26) = 45.127 | Supported |
| Metric invariance (Full) | 947.831 | 0.061 | 437 | 0.908 | 0.847 | p > 0.01 (insignificant) | |
| Models | x2 | RMSEA | df | CFI | NFI | ||
| Invariance test (Structural) | |||||||
| Structural (basic) modelMetric invariance (full) test | 958.172 | 0.061 | 437 | 0.908 | 0.847 | ||
| Full-path invariance model a | 991.015 | 0.058 | 447 | 0.907 | 0842 | ||
| Models | Thai tourists | Indian tourists | Chinese tourists | ||||
| Affordability→Expectations | 0.108 (0.624) | 0.099 (0.476) | 0.167 (1.274) | ||||
| Risk Level→Expectations | 0.183 (1.997) * | 0.242 (2.786) ** | 0.198 (2.384) * | ||||
| Medical facilities→Expectations | 0.298 (2.639) ** | 0.683 (3.641) ** | 0.824 (3.511) ** | ||||
| Sustainable tourism→Expectations | 0.629 (2.915) ** | 0.235 (1.217) | 0.109 (0.427) | ||||
| Affordability→Behavioral intentions | 0.171 (1.142) | 0.368 (2.851) ** | 0.146 (0.779) | ||||
| Risk Level→Behavioral intentions | 0.041 (0.157) | 0.374 (2.096) * | 0.463 (2.647) ** | ||||
| Medical facilities→Behavioral intentions | 0.029 (0.107) | 0.362 (2.361) * | 0.689 (3.045) ** | ||||
| Sustainable tourism→Behavioral intentions | 0.735 (3.529) ** | 0.191 (0.899) | 0.196 (1.284) | ||||
| Expectations→Behavioral intentions | 0.335 (3.041) ** | 0.258 (2.694) ** | 0.046 (0.119) | ||||
© 2018 by the authors. Licensee MDPI, Basel, Switzerland. This article is an open access article distributed under the terms and conditions of the Creative Commons Attribution (CC BY) license (http://creativecommons.org/licenses/by/4.0/).
Share and Cite
Majeed, S.; Lu, C.; Majeed, M.; Shahid, M.N. Health Resorts and Multi-Textured Perceptions of International Health Tourists. Sustainability 2018, 10, 1063. https://doi.org/10.3390/su10041063
Majeed S, Lu C, Majeed M, Shahid MN. Health Resorts and Multi-Textured Perceptions of International Health Tourists. Sustainability. 2018; 10(4):1063. https://doi.org/10.3390/su10041063
Chicago/Turabian StyleMajeed, Salman, Changbao Lu, Mahwash Majeed, and Muahmmad Naeem Shahid. 2018. "Health Resorts and Multi-Textured Perceptions of International Health Tourists" Sustainability 10, no. 4: 1063. https://doi.org/10.3390/su10041063
APA StyleMajeed, S., Lu, C., Majeed, M., & Shahid, M. N. (2018). Health Resorts and Multi-Textured Perceptions of International Health Tourists. Sustainability, 10(4), 1063. https://doi.org/10.3390/su10041063

