Evolution of Rural Livelihood Strategies in a Remote Sino-Mongolian Border Area: A Cross-Country Analysis
Abstract
:1. Introduction
2. Materials and Methods
2.1. Study Region
2.2. Data Collection
2.3. Statistical Analysis
3. Results
3.1. General Characteristics of Rural Households
3.2. Livelihood Diversity
- Vm: Vegetable production for the market (15%)
- VLs: Vegetable production and livestock keeping for subsistence (45%)
- Ltm: Livestock keeping, traditional but market oriented (17%)
- Lm: Livestock keeping for the market (23%)
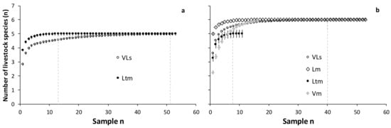
3.3. Livestock Richness and Diversity
3.4. Household Assets Ownership and Management Strategies
4. Discussion
4.1. Cross-Country Comparison of Rural Households’ Socio-Economic Settings
4.2. Livestock Contribution to Livelihoods
4.3. Relevance of Land for Livelihood Strategies
4.4. Intensity of Crop and Livestock Activities
5. Conclusions
Acknowledgments
Author Contributions
Conflicts of Interest
Appendix A
| Variable | Component Loadings | |
|---|---|---|
| 1 | 2 | |
| No. of family members | 0.670 | −0.525 |
| Cropland | −0.366 | 0.275 |
| Livestock | −0.739 | 0.981 |
| No. of goats | 0.727 | 0.468 |
| No. of horses | 0.623 | 0.439 |
| No. of camels | 0.605 | 0.271 |
| Total no. of animals | 0.809 | 0.619 |
| Total income from animals | 0.392 | 0.460 |
| Total no. of assets | 0.831 | −0.339 |



References
- Zimmerer, K.S.; Carney, J.A.; Vanek, S.J. Sustainable smallholder intensification in global change?: Pivotal spatial interactions, gendered livelihoods, and agrobiodiversity. Curr. Opin. Environ. Sustain. 2015, 14, 49–60. [Google Scholar] [CrossRef]
- United Nations. Transforming Our World: The 2030 Agenda for Sustainable Development: A/RES/70/1; United Nations, Division for Sustainable Development: New York, NY, USA, 2015. [Google Scholar]
- Hosseini, M.H.; Kaneko, S. Causality between pillars of sustainable development: Global stylized facts or regional phenomena? Ecol. Indic. 2012, 14, 197–201. [Google Scholar] [CrossRef]
- Serageldin, I. Promoting Sustainable Development towards a New Paradigm; Rajiv Gandhi Institute for Contemporary Studies: New Delhi, India, 1994. [Google Scholar]
- Liao, C.; Barrett, C.; Kassam, K.-A. Does diversification improve livelihoods?: Pastoral households in Xinjiang, China. Dev. Chang. 2015, 46, 1302–1330. [Google Scholar] [CrossRef]
- Suzuki, Y. Conflict between mining development and nomadism in Mongolia. In The Mongolian Ecosystem Network: Environmental Issues under Climate and Social Changes; Yamamura, N., Fujita, N., Maekawa, A., Eds.; Springer: Tokyo, Japan; New York, NY, USA, 2013. [Google Scholar]
- Jordan, G.; Goenster, S.; Munkhnasan, T.; Shabier, A.; Buerkert, A.; Schlecht, E. Spatio-temporal patterns of herbage availability and livestock movements: A cross-border analysis in the Chinese-Mongolian Altay. Pastoralism 2016, 6, 12. [Google Scholar] [CrossRef]
- Lkhagvadorj, D.; Hauck, M.; Dulamsuren, C.; Tsogtbaatar, J. Pastoral nomadism in the forest-steppe of the Mongolian Altai under a changing economy and a warming climate. J. Arid. Environ. 2013, 88, 82–89. [Google Scholar] [CrossRef]
- Middleton, N.; Rueff, H.; Sternberg, T.; Batbuyan, B.; Thomas, D. Explaining spatial variations in climate hazard impacts in western Mongolia. Landsc. Ecol. 2015, 30, 91–107. [Google Scholar] [CrossRef]
- Becquelin, N. Staged development in Xinjiang. China Q. 2004, 178, 358–378. [Google Scholar] [CrossRef]
- Conte, T.J.; Tilt, B. The effects of China’s grassland contract policy on pastoralists’ attitudes towards cooperation in an Inner Mongolian banner. Hum. Ecol. 2014, 42, 837–846. [Google Scholar] [CrossRef]
- Kreutzmann, H. The tragedy of responsibility in high Asia: Modernizing traditional pastoral practices and preserving modernist worldviews. Res. Policy Pract. 2013, 3. [Google Scholar] [CrossRef]
- Liao, C.; Morreale, S.J.; Kassam, K.-A.S.; Sullivan, P.J.; Fei, D. Following the green: Coupled pastoral migration and vegetation dynamics in the Altay and Tianshan Mountains of Xinjiang, China. Appl. Geogr. 2014, 46, 61–70. [Google Scholar] [CrossRef]
- Squires, V.R.; Lu, X.; Lu, Q.; Wang, T.; Yang, Y. Rangeland Degradation and Recovery in China’s Pastoral Lands; CABI: Wallingford, CT, USA, 2009. [Google Scholar]
- Brown, C.G.; Waldron, S.A.; Longworth, J.W. Sustainable Development in Western China: Managing People, Livestock and Grasslands in Pastoral Areas; Brown, C.G., Waldron, S.A., Longworth, J.W., Eds.; Edward Elgar: Cheltenham, UK, 2008. [Google Scholar]
- Gongbuzeren; Li, Y.; Li, W. China’s rangeland management policy debates: What have we learned? Rangel. Ecol. Manag. 2015, 68, 305–314. [Google Scholar] [CrossRef]
- Hua, L.; Squires, V.R. Managing China’s pastoral lands: Current problems and future prospects. Land Use Policy 2015, 43, 129–137. [Google Scholar] [CrossRef]
- Yeh, E.T. Green governmentality and pastoralism in western China: Converting pastures to grasslands. Nomad. Peoples 2005, 9, 9–30. [Google Scholar] [CrossRef]
- Harris, R.B. Rangeland degradation on the Qinghai-Tibetan plateau: A review of the evidence of its magnitude and causes. J. Arid. Environ. 2010, 74, 1–12. [Google Scholar] [CrossRef]
- Moll, H.A.J.; Staal, S.J.; Ibrahim, M.N.M. Smallholder dairy production and markets: A comparison of production systems in Zambia, Kenya and Sri Lanka. Agric. Syst. 2007, 94, 593–603. [Google Scholar] [CrossRef]
- FAO. The State of Food and Agriculture: Livestock in the Balance; Food and Agriculture Organization of the United Nations: Rome, Italy, 2009. [Google Scholar]
- Pica-Ciamarra, U.; Tasciotti, L.; Otte, J.; Zezza, A. Livestock Assets, Livestock Income and Rural Households: Cross-Country Evidence from Household Surveys; FAO: Rome, Italy, 2011. [Google Scholar]
- Fernández-Giménez, M.E. Sustaining the steppes: A geographical history of pastoral land use in Mongolia. Geogr. Rev. 1999, 89, 315–342. [Google Scholar] [CrossRef]
- Batima, P.; Natsagdorj, L.; Gombluudev, P.; Erdenetsetseg, B. Observed Climate Change in Mongolia. Assessments of Impacts and Adaptations to Climate Change AIACC Working Paper 2005. Available online: http://www.start.org/Projects/AIACC_Project/working_papers/Working%20Papers/AIACC_WP_No013.pdf (accessed on 26 April 2017).
- CIA. CIA World Factbook 2017. Available online: www.indexmundi.com/mongolia/economy_profile.html (accessed on 20 January 2018).
- Griffin, K.B. Poverty and the Transition to a Market Economy in Mongolia; Macmillan: Basingstoke, UK, 1995. [Google Scholar]
- Anderson, J.H.; Lee, Y.; Murrell, P. Competition and privatization amidst weak institutions: Evidence from Mongolia. Econ. Inq. 2000, 38, 527–549. [Google Scholar] [CrossRef]
- MFA and SDC. National Report on the Rangeland Health of Mongolia; Swiss Agency for Development and Cooperation’s (SDC); Ministry of Food and Agriculture; Administration of Land Affairs, Geodesy and Cartography; Information and Research Institute of Meteorology and Hydrology: Ulaanbatar, Mongolia, 2015; Available online: https://jornada.nmsu.edu/files/Mongolia-Rangeland-health-Report_EN.pdf (accessed on 22 March 2018).
- Lise, W.; Hess, S.; Purev, B. Pastureland degradation and poverty among herders in Mongolia: Data analysis and game estimation. Ecol. Econ. 2006, 58, 350–364. [Google Scholar] [CrossRef]
- Lkhagvadorj, D.; Hauck, M.; Dulamsuren, C.; Tsogtbaatar, J. Twenty years after decollectivization: Mobile livestock husbandry and its ecological impact in the Mongolian forest-steppe. Hum. Ecol. 2013, 41, 725–735. [Google Scholar] [CrossRef]
- Saizen, I. Change in livestock species and their spatial distribution. In The Mongolian Ecosystem Network: Environmental Issues under Climate and Social Changes; Yamamura, N., Fujita, N., Maekawa, A., Eds.; Springer: Tokyo, Japan; New York, NY, USA, 2013. [Google Scholar]
- Shi, Y.; Shen, Y.; Kang, E.; Li, D.; Ding, Y.; Zhang, G.; Hu, R. Recent and future climate change in Northwest China. Clim. Chang. 2007, 80, 379–393. [Google Scholar] [CrossRef]
- Batbaatar, M.; Bold, T.; Marshall, J.; Oyuntsetseg, D.; Tamir, C.; Tumennast, G. Children on the Move: Rural-Urban Migration and Access to Education in Mongolia; Childhood Poverty Research and Policy Centre (CHIP): London, UK, 2005. [Google Scholar]
- National Statistics of Mongolia. Mongolian Statistical Yearbook; National Statistics of Mongolia: Ulaanbaatar, China, 2013. [Google Scholar]
- Mróz, L. The trans-Altai Torgut and Bulgan after forty years. Ethnol. Pol. 2016, 2015, 31–51. [Google Scholar]
- Wieland, B.; Batsukh, B.; Enktuvshin, S.; Odontsetseg, N.; Schuppers, M. Foot and mouth disease risk assessment in Mongolia—Local expertise to support national policy. Prev. Vet. Med. 2015, 120, 115–123. [Google Scholar] [CrossRef] [PubMed]
- Statistical Department of Khovd Province. Statistical Yearbook of Khovd Province; Statistical Department of Khovd Province: Jargalant, Mongolia, 2013. [Google Scholar]
- Suess-Reyes, J.; Fuetsch, E. The future of family farming: A literature review on innovative, sustainable and succession-oriented strategies. J. Rural. Stud. 2016, 47, 117–140. [Google Scholar] [CrossRef]
- Fu, Q.; Li, B.; Yang, L.; Wu, Z.; Zhang, X. Ecosystem services evaluation and its spatial characteristics in Central Asia’s arid regions: A case study in Altay Prefecture, China. Sustainability 2015, 7, 8335–8353. [Google Scholar] [CrossRef]
- Reynolds, S.G. Providing Winter Bases for Transhumant Herders in Altai, Xinjiang China: Some Consequences and Lessons Learned. Available online: www.treesearch.fs.fed.us/pubs/22872 (accessed on 26 April 2017).
- Gomboluudev, P.; Davaanyam, L. Some issue regarding climate change in Khovd Province. In Climate Changes of High Altitude Mountain Zone; Admon Print LLC: Ulaanbaatar, Mongolia, 2012. [Google Scholar]
- Frerkes, M. Adaptation of the Community Land Model to the Mongolian Altay Region. Master’s Thesis, University of Bonn, Bonn, Germany, 2013. [Google Scholar]
- ADB. Xinjiang Altay Urban Infrastructure and Environment Improvement Project: Resettlement Plan for Qinghe County Municipal Infrastructure and Environmental Improvement Project; ADB: Qinghe County Construction Bureau, China, 2010; Available online: https://www.adb.org/projects/documents/xinjiang-altay-urban-infrastructure-and-environment-improvement-project-qinghe-co (accessed on 30 August 2015).
- Hu, Z.; Zhang, D. China Country Pasture/Forage Resource Profiles; FAO: Rome, Italy, 2006. [Google Scholar]
- Dossa, L.H.; Abdulkadir, A.; Amadou, H.; Sangare, S.; Schlecht, E. Exploring the diversity of urban and peri-urban agricultural systems in Sudano-Sahelian West Africa: An attempt towards a regional typology. Lands. Urban Plan. 2011, 102, 197–206. [Google Scholar] [CrossRef]
- Linting, M.; Meulman, J.J.; Groenen, P.J.F.; van der Koojj, A.J. Nonlinear principal components analysis: Introduction and application. Psychol. Methods 2007, 12, 336–358. [Google Scholar] [CrossRef] [PubMed]
- Chiu, T.; Fang, D.; Chen, J.; Wang, Y.; Jeris, C. A robust and scalable clustering algorithm for mixed type attributes in large database environment. In Proceedings of the Seventh ACM SIGKDD International Conference on Knowledge Discovery and Data Mining, San Francisco, CA, USA, 26–29 August 2001; Provost, F., Srikant, R., Eds.; ACM Press: New York, NY, USA, 2001. [Google Scholar]
- Greenacre, M.J.; Blasius, J. Correspondence analysis and related methods. In Multiple Correspondence Analysis and Related Methods; Greenacre, M.J., Blasius, J., Eds.; Chapman & Hall/CRC Press: London, UK; Boca Raton, FL, USA, 2006. [Google Scholar]
- Rousseeuw, P.J. Silhouettes: A graphical aid to the interpretation and validation of cluster analysis. J. Comput. Appl. Math. 1987, 20, 53–65. [Google Scholar] [CrossRef]
- Jain, R.; Koronios, A. Innovation in the cluster validating techniques. Fuzzy Optim. Decis. Mak. 2008, 7, 233–241. [Google Scholar] [CrossRef]
- Hill, M.O. Diversity and evenness: A unifying notation and its consequences. Ecology 1973, 54, 427–432. [Google Scholar] [CrossRef]
- Dittrich, A.; Buerkert, A.; Brinkmann, K. Assessment of land use and land cover changes during the last 50 years in oases and surrounding rangelands of Xinjiang, NW China. J. Agric. Rural. Dev. Trop. 2010, 111, 129–142. [Google Scholar]
- Soma, T.; Schlecht, E. The relevance of herders’ local ecological knowledge on coping with livestock losses during harsh winters in western Mongolia. Pastoralism 2018, 8, 54. [Google Scholar] [CrossRef]
- Roessler, R.; Mpouam, S.; Muchemwa, T.; Schlecht, E. Emerging development pathways of urban livestock production in rapidly growing West African cities. Sustainability 2016, 8, 1199. [Google Scholar] [CrossRef]
- Li, Y.; Long, H.; Liu, Y. Spatio-temporal pattern of China’s rural development: A rurality index perspective. J. Rural. Stud. 2015, 38, 12–26. [Google Scholar] [CrossRef]
- Devendra, C. Perspectives on animal production systems in Asia. Livest. Sci. 2007, 106, 1–18. [Google Scholar] [CrossRef]
- Hannuum, E.; Yu, X. Ethnic stratification in northwest China: Occupational differences between Han Chinese and national minorities in Xinjiang, 1982–1990. Demography 2001, 35, 323–333. [Google Scholar] [CrossRef]
- Liao, C.; Sullivan, P.J.; Barrett, C.B.; Kassam, K.-A.S. Socioenvironmental threats to pastoral livelihoods: Risk perceptions in the Altay and Tianshan Mountains of Xinjiang, China. Risk Anal. 2014, 34, 640–655. [Google Scholar] [CrossRef] [PubMed]
- Wang, H. Access to higher education in China: Differences in opportunity. Front. Educ. China 2011, 6, 227–247. [Google Scholar]
- Stiftung, B. Bertelsmann Transformation Index—Mongolia; Bertelsmann Foundation: Gütersloh, Germany, 2003; Available online: https://www.bti-project.org/fileadmin/files/BTI/Downloads/Reports/2003/pdf/BTI_2003_Mongolia.pdf (accessed on 22 March 2018).
- Robinson, B. Mongolia in transition: A role for distance education? Open Learn. 1995, 10, 3–15. [Google Scholar] [CrossRef]
- Fan, S.G.; Zhang, X.B. Infrastructure and regional economic development in rural China. China Econ. Rev. 2004, 15, 203–214. [Google Scholar] [CrossRef]
- Wang, J.; Brown, D.G.; Agrawal, A. Climate adaptation, local institutions, and rural livelihoods: A comparative study of herder communities in Mongolia and Inner Mongolia, China. Glob. Environ. Chang. 2013, 23, 1673–1683. [Google Scholar] [CrossRef]
- Nkwiine, C.; Tumuhairwe, J.K. Effect of market-oriented agriculture on selected agrobiodiversity, household income and food security. Uganda J. Agric. Sci. 2004, 9, 680–687. [Google Scholar]
- Bernholt, H.; Kehlenbeck, K.; Gebauer, J.; Buerkert, A. Plant species richness and diversity in urban and peri-urban gardens of Niamey, Niger. Agrofor. Syst. 2009, 77, 159–179. [Google Scholar] [CrossRef]
- Herrero, M.; Thornton, P.K.; Notenbaert, A.M.; Wood, S.; Msangi, S.; Freeman, H.A.; Bossio, D.; Dixon, J.; Peters, M.; van de Steeg, J.; et al. Smart investments in sustainable food production: Revisiting mixed crop-livestock systems. Science 2010, 327, 822–825. [Google Scholar] [CrossRef] [PubMed]
- Kehoe, L.; Romero-Muñoz, A.; Polaina, E.; Estes, L.; Kreft, H.; Kuemmerle, T. Biodiversity at risk under future cropland expansion and intensification. Nat. Ecol. Evol. 2017, 1, 1129–1135. [Google Scholar] [CrossRef] [PubMed]
- Abebe, T.; Wiersum, K.F.; Bongers, F. Diversity and dynamics in homegardens of southern Ethiopia. In Tropical Homegardens: A Time-Tested Example of Sustainable Agroforestry; Kumar, B.M., Nair, P.K.R., Eds.; Springer: Dordrecht, The Netherlands, 2006. [Google Scholar]
- McKinney, M.L. Effects of urbanization on species richness: A review of plants and animals. Urban Ecosyst. 2008, 11, 161–176. [Google Scholar] [CrossRef]
- Deng, C.; Daley, T.; Smith, A.D. Applications of species accumulation curves in large-scale biological data analysis. Quant. Biol. 2015, 3, 135–144. [Google Scholar] [CrossRef] [PubMed]
- Homann, S. Indigenous Knowledge of Borana Pastoralists in Natural Resource Management: A Case Study from Southern Ethiopia. Ph.D. Thesis, Justus-Liebig-Universität Gießen, Gießen, Germany, 2004. [Google Scholar]
- Noromiarilanto, F.; Brinkmann, K.; Faramalala, M.H.; Buerkert, A. Assessment of food self-sufficiency in smallholder farming systems of south-western Madagascar using survey and remote sensing data. Agric. Syst. 2016, 149, 139–149. [Google Scholar] [CrossRef]
- Last, L.; Arndorfer, M.; Balazs, K.; Dennis, P.; Dyman, T.; Fjellstad, W.; Friedel, J.K.; Herzog, F.; Jeanneret, P.; Luescher, G.; et al. Indicators for the on-farm assessment of crop cultivar and livestock breed diversity: A survey-based participatory approach. Biod. Conserv. 2014, 23, 3051–3071. [Google Scholar] [CrossRef]
- Lechner-Doll, M.; Hume, I.D.; Hofmann, R.R. Comparison of herbivore forage selection and digestion. In Proceedings of the IVth International Symposium on the Nutrition of Herbivores, Clermont-Ferrand, France, 11–15 September 1995. [Google Scholar]
- Ng’ang’a, S.K.; van Wijk, M.T.; Rufino, M.C.; Giller, K.E. Adaptation of agriculture to climate change in semi-arid Borena, Ethiopia. Reg. Environ. Chang. 2016, 16, 2317–2330. [Google Scholar] [CrossRef]
- Yu, J.; Han, X.; He, Z.-W.; Liu, F. Study on the Transmission Mechanism of Price of Cattle and Sheep in China; Atlantis Press: Changsha, China, 2014. [Google Scholar]
- Shombodon, D.; Williams, G.W. Mongolia: An Agricultural Marketing System in Transition; Texas Agricultural Market Research Center: College Station, TX, USA, 2001. [Google Scholar]
- Bhattacharji, P. Uighurs and China’s Xinjiang Region. Available online: http://www.columbia.edu/cu/news/clips/2008/08/01/UighursTWPOST.pdf (accessed on 13 January 2018).
- Mongolian Government. Camel and Sheep Wool Subsidy Program; Mongolian Government: Ulaanbaatar, Mongolia, 2011.
- Gonchigsumlaa, G. Competitiveness of Pastoral Livestock Production and Sea Buckthorn Farming in Mongolia: Application of Policy Analysis Matrix. Ph.D. Thesis, Georg-August-Universität Göttingen, Göttingen, Germany, 2016. [Google Scholar]
- Naidansuren, E.; Bayasgalan, O. An Economic Analysis of the Environmental Impacts of Livestock Grazing, 1st ed.; LAP LAMBERT Academic Publishing: Saarbrücken, Germany, 2016. [Google Scholar]
- Jordan, G.; Goenster-Jordan, S.; Lamparter, G.-J.; Ulziisuren, B.; Soninkishig, N.; Schlecht, E.; Buerkert, A. Water use in agro-pastoral livelihood systems within the Bulgan River watershed of the Altay Mountains, Western Mongolia. Agric. Ecosyst. Environ. 2018, 251, 180–193. [Google Scholar] [CrossRef]
- Banks, T. Property rights and the environment in pastoral China: Evidence from the field. Dev. Chang. 2001, 32, 717–740. [Google Scholar] [CrossRef]
- Goenster, S.; Gründler, C.; Buerkert, A.; Joergensen, R.G. Soil microbial indicators across land use types in the river oasis Bulgan sum center, Western Mongolia. Ecol. Indic. 2017, 76, 111–118. [Google Scholar] [CrossRef]
- Kreutzmann, H. Transformation of high altitude livestock-keeping in China’s mountainous western periphery. Emscat 2013. [Google Scholar] [CrossRef]






| Country | No | Locations | Coordinates N E | Altitude m a.s.l. | Annual Average Temperature °C (Measurement Period) ‡ | Site Description |
|---|---|---|---|---|---|---|
| China | 1 | Akekaren | 46°25′, 90°14′ | 1131 | 3.6 (2008–2009) | Winter home base |
| 2 | Qinghe | 46°39′, 90°24′ | 1223 | 0.7 (1958–2007) | County centre | |
| 3 | Arele | 46°44′, 90°19′ | 1283 | 1.5 (2009–2010, 2013) | Agricultural village (township centre) | |
| 4 | Buluhe | 46°48′, 90°19′ | 1374 | 1.3 (2009–2010) | Agro-pastoral village | |
| 5 | Akbulak | 47°12′, 90°14′ | 2418 | na | Summer pasture | |
| Mongolia | 1 | Bulgan Gol | 46°07′, 91°04′ | 1133 | 2.3 (2008–2009,2012,2014–2015) | Spring and autumn pasture |
| 2 | Bulgan sum city | 46°05′, 91°34′ | 1181 | 2.5 (1963–2014) | County centre and crop fields | |
| 3 | Bayan Gol | 46°20′, 91°24′ | 1323 | 5.7 (2013–2015) | Crop fields and pasture | |
| 4 | Kheltgiikhad | 46°38′, 91°21′ | 1611 | 3.0 (2012–2014) | Spring and winter pasture | |
| 5 | Turgen | 46°49′, 91°20′ | 1889 | −0.2 (2014) | Crop fields spring and winter pasture | |
| 6 | Sonkhel Lake | 46°39′, 91°30′ | 2170 | −5.9 (2012–2015) | Summer pasture |
| Variable | Data Scale and Description | Unit |
|---|---|---|
| Age | metric | Year (year) |
| Education of household head | ordinal (illiterate = 1, primary school = 2, secondary school = 3, high school = 4, technical school = 5, university = 6) * | - |
| No. of family members | metric | - |
| No. of children | metric | - |
| No. of adults employed | metric | - |
| Garden/field | nominal (yes = 1/no = 2) | - |
| Cropland | metric | Hectare (ha) |
| Hayfield | metric | Hectare (ha) |
| Livestock | nominal (yes = 1/no = 2) | - |
| No. of goats | metric (heads of goat) | - |
| No. of horses | metric (heads of horse) | - |
| No. of camels | metric (heads of camel) | - |
| Total no. of animals | metric (all heads) | - |
| Total income from animals | metric (incl. meat, wool, skin, live animals) | Euro (€) |
| Total no. of assets | metric | - |
| Annual transhumance distance | metric (distance bridged with flock per year) | Kilometre per year (km year−1) |
| Variable | China | Mongolia | SEM | Significance | |||||||
|---|---|---|---|---|---|---|---|---|---|---|---|
| Unit | Vm | VLs | Ltm | Vm | VLs | Ltm | Lm | Cluster | Country × Cluster | ||
| Elevation | m a.s.l. | 1279 b | 1355 b | 2122 a | 1420 b | 1471 b | 1356 b | 1651 b | - | - | - |
| Household (HH) | n | 57 | 132 | 69 | 16 | 87 | 111 | 11 | - | - | - |
| Age of HH head | year | 47 ab | 44 ab | 41 b | 47 ab | 46 ab | 47 ab | 48 a | 9.7 | 0.003 | 0.012 |
| Family members | n | 3.2 c | 4.0 b | 4.0 b | 5.1 b | 4.4 b | 4.3 abc | 5.7 a | 0.9 | ˂0.001 | ˂0.001 |
| Male-female ratio | - | 1.3 | 1.2 | 1.3 | 1.3 | 1.2 | 1.6 | 1.4 | 0.3 | 0.680 | 0.213 |
| Adult-child ratio | - | 1.7 | 1.5 | 1.6 | 2.3 | 1.6 | 2.0 | 1.8 | 0.5 | 0.391 | 0.167 |
| HH with off-farm income | n | 0.0 | 1.0 | 1.0 | 2.0 | 7.0 | 4.0 | 2.0 | 2.6 | 1.000 | 0.001 |
| Adults employed off-farm | n | 2.3 ab | 2.7 a | 2.5 a | 1.9 b | 1.9 b | 1.9 ab | 2.4 a | 0.5 | 0.640 | ˂0.001 |
| HH managing land | % | 96 | 83 | 58 | 81 | 71 | 61 | 55 | 5.8 | ˂0.001 | ˂0.001 |
| Cropland | ha | 1.2 a | 1.3 a | 0.8 ab | 0.7 ab | 0.6 b | 0.8 ab | 0.9 b | 0.3 | ˂0.001 | ˂0.001 |
| Hayfield | ha | 11.3 ab | 37.3 ab | 35.1 a | 31.2 ab | 30.7 b | 13.4 ab | 30.5 b | 12 | 0.124 | 0.003 |
| Transportation means | n | 1.4 b | 1.9 a | 1.8 a | 1.2 b | 1.4 b | 1.5 ab | 1.9 a | 0.4 | 0.001 | ˂0.001 |
| Electronic devices | n | 1.4 b | 1.6 b | 1.8 b | 2.1 ab | 2.3 a | 2.2 ab | 2.7 a | 0.4 | ˂0.001 | ˂0.001 |
| Agricultural devices | n | 1.1 c | 1.3 c | 1.2 c | 2.0 b | 3.2 b | 2.0 b | 4.3 a | 0.7 | ˂0.001 | ˂0.002 |
| Other devices | n | 1.3 b | 1.2 b | 1.0 b | 1.5 ab | 1.4 a | 1.6 a | 1.3 ab | 0.4 | 0.319 | 0.123 |
| Total assets | n | 3.7 c | 4.7 b | 4.6 b | 5.6 b | 7.0 a | 6.2 ab | 9.4 a | 1.2 | ˂0.001 | ˂0.001 |
| Monetary value of assets | € | 1543 b | 2226 a | 2573 a | 700 c | 1118 b | 1329 b | 2397 a | 638 | 0.001 | ˂0.001 |
| Group | Variable | Unit | China | Mongolia | SEM | Significance | ||||||
|---|---|---|---|---|---|---|---|---|---|---|---|---|
| Vm | VLs | Ltm | Vm | VLs | Ltm | Lm | Cluster | Country × Cluster | ||||
| HH with livestock only | Household (HH) | n | 57 | 132 | 69 | 16 | 87 | 111 | 11 | - | - | - |
| HH managing livestock | n | 0 | 100 | 100 | 0 | 100 | 99 | 100 | - | - | - | |
| Goats | n | - | 14.9 c | 21.9 b | 25.7 b | 32.1 b | 113.3 a | 40.8 b | 34.5 | ˂0.001 | ˂0.001 | |
| Sheep | n | - | 24.3 c | 94.8 a | 12.5 c | 14.9 c | 33.4 b | 20.7 b | 29.6 | ˂0.001 | ˂0.001 | |
| Cattle | n | - | 9.8 bc | 10.7 b | 9.9 c | 9.7 c | 16.6 a | 11.4 abc | 3.6 | ˂0.001 | ˂0.001 | |
| Horses | n | - | 2.3 c | 4.5 b | 3.7 c | 3.3 c | 9.0 a | 3.3 b | 2.5 | ˂0.001 | ˂0.001 | |
| Camels | n | - | 2.1 c | 2.5 b | 1.3 c | 2.9 bc | 6.8 a | 4.0 bc | 1.8 | ˂0.001 | ˂0.001 | |
| Yaks | n | - | - | - | 2.0 | 5.5 | 4.9 | - | 1.7 | ˂0.001 | ˂0.001 | |
| Total livestock | n | - | 35 c | 121 b | 32 c | 52 bc | 176 a | 61 b | 56.3 | ˂0.001 | ˂0.001 | |
| Total livestock | SU | - | 73 b | 175 a | 56 b | 85 b | 236 a | 90 b | 71.4 | ˂0.001 | ˂0.001 | |
| Total income livestock production | € year−1 | - | 1149 c | 6281 a | 180 c | 363 c | 1688 b | 1089 b | 2122.9 | ˂0.001 | ˂0.001 | |
| All HH | Richness | n | - | 3 c | 4 b | 2 c | 4 b | 5 a | 3 b | 1.2 | ˂0.001 | ˂0.001 |
| Simpson’s diversity (index) | - | - | 0.46 ab | 0.42 b | 0.31 ab | 0.50 a | 0.44 b | 0.40 ab | 0.1 | ˂0.001 | 0.001 | |
| Evenness (index) | - | - | 0.69 b | 0.57 b | 0.47 c | 0.70 a | 0.56 c | 0.55 bc | 0.2 | ˂0.001 | ˂0.001 | |
| Transhumance distance | km year−1 | - | 1 c | 248 a | 44 b | 36 b | 126 a | 288 a | 34.5 | ˂0.001 | ˂0.001 | |
© 2018 by the authors. Licensee MDPI, Basel, Switzerland. This article is an open access article distributed under the terms and conditions of the Creative Commons Attribution (CC BY) license (http://creativecommons.org/licenses/by/4.0/).
Share and Cite
Tsvegemed, M.; Shabier, A.; Schlecht, E.; Jordan, G.; Wiehle, M. Evolution of Rural Livelihood Strategies in a Remote Sino-Mongolian Border Area: A Cross-Country Analysis. Sustainability 2018, 10, 1011. https://doi.org/10.3390/su10041011
Tsvegemed M, Shabier A, Schlecht E, Jordan G, Wiehle M. Evolution of Rural Livelihood Strategies in a Remote Sino-Mongolian Border Area: A Cross-Country Analysis. Sustainability. 2018; 10(4):1011. https://doi.org/10.3390/su10041011
Chicago/Turabian StyleTsvegemed, Munkhnasan, Alimu Shabier, Eva Schlecht, Greta Jordan, and Martin Wiehle. 2018. "Evolution of Rural Livelihood Strategies in a Remote Sino-Mongolian Border Area: A Cross-Country Analysis" Sustainability 10, no. 4: 1011. https://doi.org/10.3390/su10041011
APA StyleTsvegemed, M., Shabier, A., Schlecht, E., Jordan, G., & Wiehle, M. (2018). Evolution of Rural Livelihood Strategies in a Remote Sino-Mongolian Border Area: A Cross-Country Analysis. Sustainability, 10(4), 1011. https://doi.org/10.3390/su10041011
