Assessment of Potential Climate Change Effects on the Rice Yield and Water Footprint in the Nanliujiang Catchment, China
Abstract
1. Introduction
2. Materials and Methods
2.1. Study Area
2.2. Description of the SWAT Model
2.3. Data and SWAT Model Setup
2.4. Crop Water Footprint
2.5. Simulation of Future Crop Yield and Water Footprint
3. Results and Discussion
3.1. Performance of the SWAT Model
3.1.1. LAI and Biomass
3.1.2. Discharge and Evapotranspiration
3.1.3. Rice Yields
3.2. Crop Yield and Water Footprint in the Reference Period
3.3. Future Climate Change
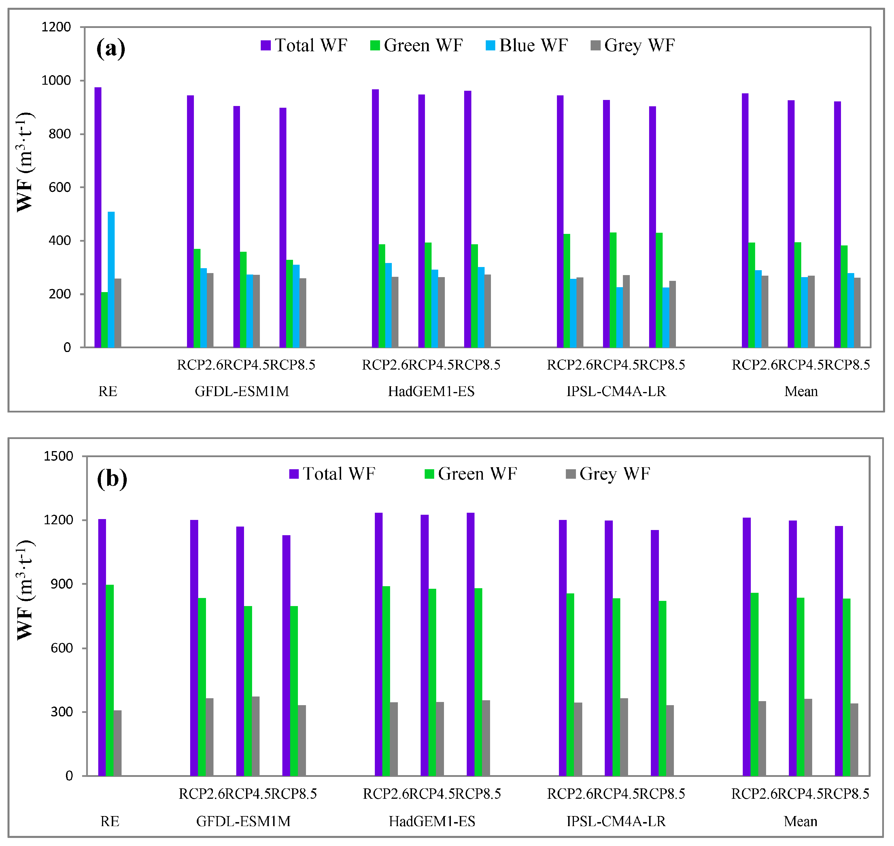
3.4. Rice Yield and Water Footprint in the Future Climate
3.4.1. Rice Yield in the Future Climate
3.4.2. Water Footprint in the Future Climate
4. Conclusions
Acknowledgments
Author Contributions
Conflicts of Interest
References
- IPCC (Intergovernmental Panel on Climate Change). Climate Change 2014–Impacts, Adaptation and Vulnerability: Regional Aspects; Cambridge University Press: Cambridge, UK; New York, NY, USA, 2014. [Google Scholar]
- Hoekstra, A.Y.; Mekonnen, M.M. The water footprint of humanity. Proc. Natl. Acad. Sci. USA 2012, 109, 3232–3237. [Google Scholar] [CrossRef] [PubMed]
- Bocchiola, D.; Nana, E.; Soncini, A. Impact of climate change scenarios on crop yield and water footprint of maize in the Po valley of Italy. Agric. Water Manag. 2013, 116, 50–61. [Google Scholar] [CrossRef]
- Lobell, D.B.; Howden, S.M.; Smith, D.R.; Howden, S.M.; Smith, D.R.; Chhetri, N. A meta-analysis of crop yield under climate change and adaptation. Nat. Clim. Chang. 2014, 4, 287–291. [Google Scholar]
- Hoekstra, A.Y. Virtual Water Trade: Proceedings of the International Expert Meeting on Virtual Water Trade, Value of Water Research Report Series, No 12; UNESCO-IHE: Delft, The Netherlands, 2003. [Google Scholar]
- Dourte, D.R.; Fraisse, C.W.; Uryasev, O. Water Footprint on AgroClimate: A dynamic, web-based tool for comparing agricultural systems. Agric. Syst. 2014, 125, 33–41. [Google Scholar] [CrossRef]
- Chapagain, A.K.; Hoekstra, A.Y. The blue, green and grey water footprint of rice from production and consumption perspectives. Ecol. Econ. 2011, 70, 749–758. [Google Scholar] [CrossRef]
- Bocchiola, D. Impact of potential climate change on crop yield and water footprint of rice in the Po valley of Italy. Agric. Syst. 2015, 139, 223–237. [Google Scholar] [CrossRef]
- Deng, G.; Ma, Y.; Li, X. Regional water footprint evaluation and trend analysis of China—Based on interregional input–output model. J. Clean. Prod. 2016, 112, 4674–4682. [Google Scholar] [CrossRef]
- Shrestha, S.; Chapagain, R.; Babel, M.S. Quantifying the impact of climate change on crop yield and water footprint of rice in the Nam Oon Irrigation Project, Thailand. Sci. Total Environ. 2017, 599–600, 689–699. [Google Scholar] [CrossRef] [PubMed]
- Jinger, D.; Kaur, R.; Kaur, N.; Dass, A. Weed Dynamics under Changing Climatic Scenario: A Review. Int. J. Curr. Microbiol. Appl. Sci. 2017, 6, 2376–2388. [Google Scholar]
- Kimball, B.A. Carbon dioxide and agricultural yield: An assemblage and analysis of prior observations. Agron. J. 1983, 75, 779–788. [Google Scholar] [CrossRef]
- Teixeira, E.I.; Fischer, G.; Van, V.H.; Walter, C.; Ewert, F. Global hot-spots of heat stress on agricultural crops due to climate change. Agric. For. Meteorol. 2013, 170, 206–215. [Google Scholar] [CrossRef]
- Hanson, M.R.; Lin, M.T.; Carmo-Silva, A.E.; Parry, M.A. Towards engineering carboxysomes into C3 plants. Plant J. 2016, 87, 38–50. [Google Scholar] [CrossRef] [PubMed]
- Thanawong, K.; Perret, S.R.; Basset-Mens, C. Eco-efficiency of paddy rice production in Northeastern Thailand: Acomparison of rain-fed and irrigated cropping systems. J. Clean. Prod. 2014, 73, 204–217. [Google Scholar] [CrossRef]
- Bazargan, A.; Tan, J.; Hui, C.W.; McKay, G. Utilization of rice husks for the production of oil sorbent materials. Cellulose 2014, 21, 1679–1688. [Google Scholar] [CrossRef]
- United States of Agricultural Department (USDA): Grain: World Markets and Trade, 2017. Available online: http://usda.mannlib.cornell.edu/usda/fas/grain-market//2010s/2016/grain-market-12-09-2016.pdf (accessed on 10 November 2017).
- Ray, D.K.; Gerber, J.S.; Macdonald, G.K.; West, P.C. Climate variation explains a third of global crop yield variability. Nat. Commun. 2016, 6, 5989. [Google Scholar] [CrossRef] [PubMed]
- Keating, B.A.; Carberry, P.S.; Hammer, G.L.; Probert, M.E.; Robertson, M.J.; Holzworth, D.; Huth, N.I.; Hargreaves, J.N.G.; Meinke, H.; Hochman, Z.; et al. An overview of APSIM, a model designed for farming systems simulation. Eur. J. Agron. 2003, 18, 267–288. [Google Scholar] [CrossRef]
- Stöckle, C.O.; Donatelli, M.; Nelson, R. CropSyst, a cropping systems simulation model. Eur. J. Agron. 2003, 18, 289–307. [Google Scholar] [CrossRef]
- Jones, J.W.; Hoogenboom, G.; Porter, C.H.; Boote, K.J.; Batchelor, W.D.; Hunt, L.A.; Wilkens, P.W.; Singh, U.; Gijsman, A.J.; Ritchie, J.T. The DSSAT cropping system model. Eur. J. Agron. 2003, 18, 235–265. [Google Scholar] [CrossRef]
- Williams, J.R.; Jones, C.A.; Dyke, P.T. A modelling approach to determining the relationship between erosion and soil productivity. Trans. ASAE 1984, 27, 129–144. [Google Scholar] [CrossRef]
- Ahmadzadeh, H.; Morid, S.; Delavar, M.; Srinivasan, R. Using the SWAT model to assess the impacts of changing irrigation from surface to pressurized systems on water productivity and water saving in the Zarrineh Rud catchment. Agric. Water Manag. 2015, 175, 15–28. [Google Scholar] [CrossRef]
- Palazzoli, I.; Maskey, S.; Uhlenbrook, S.; Nana, E.; Bocchiola, D. Impact of prospective climate change on water resources and crop yields in the Indrawati basin, Nepal. Agric. Syst. 2015, 133, 143–157. [Google Scholar] [CrossRef]
- Sun, S.; Wu, P.; Wang, Y.; Zhao, X.; Liu, J.; Zhang, X. The impacts of interannual climate variability and agricultural inputs on water footprint of crop production in an irrigation district of China. Sci. Total Environ. 2013, 444, 498. [Google Scholar] [CrossRef] [PubMed]
- Wang, X.; Li, X.; Fischer, G.; Sun, L.; Tan, M.; Xin, L.; Liang, Z. Impact of the changing area sown to winter wheat on crop water footprint in the North China Plain. Ecol. Indic. 2015, 57, 100–109. [Google Scholar] [CrossRef]
- Zhuo, L.; Mekonnen, M.M.; Hoekstra, A.Y. Sensitivity and uncertainty in crop water footprint accounting: A case study for the Yellow River basin. Hydrol. Earth Syst. Sci. 2017, 11, 2219–2234. [Google Scholar]
- Guangxi Statistical Bureau. Guangxi Statistical Yearbook; Guangxi Statistical Bureau: Nanning, China, 2015. [Google Scholar]
- Vaghefi, S.A.; Mousavi, S.J.; Abbaspour, K.C.; Srinivasan, R.; Yang, H. Analyses of the impact of climate change on water resources components, drought and wheat yield in semiarid regions: Karkheh River Basin in Iran. Hydrol. Process. 2014, 28, 2018–2032. [Google Scholar] [CrossRef]
- Vaghefi, S.A.; Mousavi, S.J.; Abbaspour, K.C.; Srinivasan, R.; Arnold, J.R. Integration of hydrologic and water allocation models in basin-scale water resources management considering crop pattern and climate change: Karkheh River Basin in Iran. Reg. Environ. Chang. 2015, 15, 475–484. [Google Scholar] [CrossRef]
- Zhang, A.; Zhang, C.; Fu, G.; Wang, B.; Bao, Z.; Zheng, H. Assessments of impacts of climate change and human activities on runoff with SWAT for the Huifa river basin, northeast China. Water Resour. Manag. 2012, 26, 2199–2217. [Google Scholar] [CrossRef]
- Balkovič, J.; van der Velde, M.; Schmid, E.; Skalský, R.; Khabarov, N.; Obersteiner, M.; Stürmerbe, B.; Xionga, W. Pan-European crop modelling with EPIC: Implementation, up-scaling and regional crop yield validation. Agric. Syst. 2013, 120, 61–75. [Google Scholar] [CrossRef]
- Xiong, W.; Skalský, R.; Porter, C.H.; Balkovič, J.; Jones, J.W.; Yang, D. Calibratio-induced uncertainty of the EPIC model to estimate climate change impact on global maize yield. J. Adv. Model. Earth Syst. 2016, 8, 1358–1375. [Google Scholar] [CrossRef]
- Stockle, C.O.; Williams, J.R.; Rosenburg, N.J.; Jones, C.A. A method for estimating the direct and climatic effects of rising atmospheric carbon dioxide on growth and yield of crops: Part 1—Modification of the EPIC model for climate change analysis. Agric. Syst. 1992, 38, 225–238. [Google Scholar] [CrossRef]
- Hagemann, S.; Chen, C.; Haerter, J.O.; Heinke, J.; Gerten, D.; Piani, C. Impact of a statistical bias correction on the projected hydrological changes obtained from three GCMs and two hydrology models. J. Hydrometeorol. 2011, 12, 556–578. [Google Scholar] [CrossRef]
- Loon, A.F.V.; Gleeson, T.; Clark, J.; Van Dijk, A.I.; Stahl, K.; Hannaford, J.; di Baldassarre, G.; Teuling, A.J.; Tallaksen, L.M.; Uijlenhoet, R.; et al. Drought in the Anthropocene. Nat. Geosci. 2016, 9, 89–91. [Google Scholar] [CrossRef]
- Loon, A.F.V.; Stahl, K.; Baldassarre, G.D.; Clark, J.; Rangecroft, S.; Wanders, N.; Gleeson, T.; van Dijk, A.I.J.M.; Tallaksen, L.M.; Hannaford, J.; et al. Drought in a human-modified world: Reframing drought definitions, understanding, and analysis approaches. Hydrol. Earth Syst. Sci. 2016, 20, 3631–3650. [Google Scholar] [CrossRef]
- Zheng, J.; Li, G.Y.; Han, Z.Z.; Meng, G.X. Application of modified SWAT model in plain irrigation district. J. Hydraul. Eng. 2011, 42, 88–97. (In Chinese) [Google Scholar]
- Wu, Y.; Li, C.; Zhang, C.; Shi, X.; Zhao, S.; Lin, T. A watershed delineation method for mountains, plains complex landform area ArcGIS and SWAT. Arid Land Geogr. 2016, 39, 413–419. (In Chinese) [Google Scholar]
- Awan, U.K.; Liaqat, U.W.; Choi, M.; Ismaeel, A. A SWAT modeling approach to assess the impact of climate change on consumptive water use in Lower Chenab Canal area of Indus basin. Hydrol. Res. 2016, 47, 1025–1037. [Google Scholar] [CrossRef]
- Zhao, Y.; Zhang, J.; Pei, Y. Distributed water cycle simulation for plain area in Ningxia autonomous region. J. Hydraul. Eng. 2007, 38, 498–505. (In Chinese) [Google Scholar]
- Döll, P. Impact of Climate Change and Variability on Irrigation Requirements: A Global Perspective. Clim. Chang. 2002, 54, 269–293. [Google Scholar] [CrossRef]
- Mekonnen, M.M.; Hoekstra, A.Y. The green, blue and grey water footprint of crops and derived crop products. Hydrol. Earth Syst. Sci. 2011, 15, 1577–1600. [Google Scholar] [CrossRef]
- Gil, R.; Bojacá, C.R.; Schrevens, E. Uncertainty of the Agricultural Grey Water Footprint Based on High Resolution Primary Data. Water Resour. Manag. 2017, 31, 1–12. [Google Scholar] [CrossRef]
- Rouholahnejad, E.; Abbaspour, K.C.; Srinivasan, R.; Bacu, V.; Lehmann, A. Water resources of the Black Sea Basin at high spatial and temporal resolution. Water Resour. Res. 2015, 50, 5866–5885. [Google Scholar] [CrossRef]
- Xie, P.; Chen, X.; Wang, Z.; Xie, Y. Comparison of Actual Evapotranspiration and Pan Evaporation. Acta Geogr. Sin. 2009, 64, 270–277. (In Chinese) [Google Scholar]
- Chapagain, A.K.; Hoekstra, A.Y. The Green, Blue and Grey Water Footprint of Rice from Both a Production and Consumption Perspective; Value of Water Research Report Series No. 40; UNESCO-IHE Institute for Water Education: Delft, The Netherlands, 2010. [Google Scholar]









| Content | Description |
|---|---|
| Model name | GFDL-ESM2M, HadGEM2-ES, IPSL-CM5A-LR |
| Scenario | RCP2.6, RCP4.5, RCP8.5 |
| Spatial resolution | 0.5° × 0.5° |
| Meteorological variables | Precipitation, maximum and minimum air temperature |
| Temporal scale | Daily data from 1 January 1960 to 31 December 2050 |
| Parameter Name | Parameter Definition | Early Rice | Late Rice | ||
|---|---|---|---|---|---|
| Initial Value | Final Value | Initial Value | Final Value | ||
| BIO_E | Biomass/energy ratio | 22 | 24.87 | 22 | 28.71 |
| HVSTI | Harvest index | 0.5 | 0.54 | 0.5 | 0.55 |
| FRGRW1 | Fraction of the plant growing season corresponding to the first point on the optimal leaf area development curve (OLADC) | 0.3 | 0.31 | 0.3 | 0.34 |
| FRGRW2 | Fraction of the plant growing season corresponding to the second point on the OLADC | 0.7 | 0.51 | 0.7 | 0.38 |
| LAIMX1 | Fraction of the maximum leaf area index corresponding to the first point on the OLADC | 0.01 | 0.28 | 0.01 | 0.34 |
| LAIMX2 | Fraction of the maximum leaf area index corresponding to the second point on the OLADC | 0.95 | 0.99 | 0.95 | 0.58 |
| BLAI | Maximum leaf area index | 5 | 6.30 | 5 | 7.28 |
| DLAI | Fraction of growing season when leaf area starts declining | 0.8 | 0.79 | 0.8 | 0.76 |
| EXT_COFF | Light extinction coefficient | 0.35 | 0.57 | 0.35 | 0.56 |
| Crop Type | Variable Name | Calibration (2005–2006) | Validation (2007) | ||
|---|---|---|---|---|---|
| PBIAS | NS | PBIAS | NS | ||
| Early Rice | BIOM | −5.62 | 0.94 | −7.43 | 0.97 |
| LAI | 1.83 | 0.83 | −3.82 | 0.87 | |
| Late Rice | BIOM | 2.13 | 0.97 | 8.03 | 0.95 |
| LAI | −8.61 | 0.95 | 7.72 | 0.83 | |
| Parameter Name | Parameter Definition | Initial Range | Calibrated Value | ||
|---|---|---|---|---|---|
| Hengjiang | Bobai | Changle | |||
| CN2 | SCS runoff curve number | r (−0.5, 0.5) | 0.10 | −0.27 | −0.24 |
| ESCO | Soil evaporation compensation factor | v (0, 1) | 0.21 | 0.24 | 0.31 |
| EPCO | Plant uptake compensation factor | v (0, 1) | 0.73 | 0.65 | 0.86 |
| GWQMN | Threshold depth of water in the shallow aquifer required for return flow to occur | v (0, 5000) | 1615.4 | 1248.5 | 1192.5 |
| GW_REVAP | Groundwater “revap” coefficient | v (0.02, 2) | 0.48 | 0.30 | 1.67 |
| REVAPMN | Threshold depth of water in the shallow aquifer for “revap” to occur | v (0, 500) | 105.67 | 334.0 | 164.39 |
| SOL_AWC | Available water capacity of the soil layer | r (−0.5, 0.5) | 0.28 | 0.27 | 0.28 |
| SOL_K | Saturated hydraulic conductivity | r (−0.5, 0.5) | 0.30 | −0.14 | 0.17 |
| ALPHA_BF | Base flow alpha factor | v (0, 1) | 0.48 | 0.90 | 0.55 |
| CANMX | Maximum canopy storage | r (−1, 1) | 0.89 | 0.69 | 0.12 |
| GW_DELAY | Groundwater delay | v (0, 500) | 35.78 | 21.29 | 26.03 |
| SLSUBBSN | Average slope length | r (−0.5, 0.5) | −0.26 | −0.10 | −0.25 |
| Station Name | Calibration (1998–2005) | Validation (2006–2013) | ||
|---|---|---|---|---|
| PBIAS | NS | PBIAS | NS | |
| Hengjiang | 11.72 | 0.85 | 13.02 | 0.73 |
| Bobai | 3.22 | 0.90 | 3.54 | 0.87 |
| Changle | 2.81 | 0.94 | 4.33 | 0.82 |
| Station Name | Calibration (2000–2005) | Validation (2006–2011) | ||
|---|---|---|---|---|
| PBIAS | NS | PBIAS | NS | |
| Yulin | −4.21 | 0.70 | −6.53 | 0.59 |
| Bobai | 10.4 | 0.74 | 13.2 | 0.61 |
| Hepu | −7.13 | 0.85 | −8.42 | 0.79 |
| Station Name | Crop Type | Calibration (1999–2006) | Validation (2007–2012) | ||||
|---|---|---|---|---|---|---|---|
| PBIAS | RMSE/ton | MRE/% | PBIAS | RMSE/ton | MRE/% | ||
| Yulin | Early Rice | −13.13 | 0.83 | 13.11 | −8.55 | 0.59 | 6.11 |
| Late Rice | 7.90 | 0.63 | 11.42 | 1.49 | 0.62 | 8.98 | |
| Hepu | Early Rice | 0.31 | 0.24 | 7.15 | 4.58 | 0.29 | 8.61 |
| Late Rice | −6.63 | 0.56 | 6.83 | 2.01 | 0.49 | 5.02 | |
| Period | Scenarios | Precipitation (mm) | Temperature (°C) | |||||
|---|---|---|---|---|---|---|---|---|
| Maximum | Minimum | |||||||
| Yulin | Hepu | Yulin | Hepu | Yulin | Hepu | |||
| 2000s | RE | 1390 | 1705 | 30.6 | 29.8 | 22.8 | 23.5 | |
| 2040s | GFDL-ESM2M | RCP2.6 | 1553 | 2043 | 29.6 | 30.5 | 22.3 | 24.0 |
| RCP4.5 | 1647 | 1953 | 29.4 | 30.4 | 22.5 | 24.2 | ||
| RCP8.5 | 1377 | 1655 | 30.6 | 31.6 | 23.1 | 24.9 | ||
| HadGEM2-ES | RCP2.6 | 1364 | 1605 | 31.3 | 32.2 | 23.3 | 25.3 | |
| RCP4.5 | 1423 | 1785 | 31.2 | 32.0 | 23.5 | 25.4 | ||
| RCP8.5 | 1450 | 1771 | 31.5 | 32.3 | 23.8 | 25.6 | ||
| IPSL-CM5A-LR | RCP2.6 | 1420 | 1706 | 30.2 | 31.2 | 22.9 | 24.6 | |
| RCP4.5 | 1451 | 1871 | 30.4 | 31.3 | 23.2 | 25.0 | ||
| RCP8.5 | 1413 | 1731 | 31.0 | 32.0 | 23.7 | 25.5 | ||
© 2018 by the authors. Licensee MDPI, Basel, Switzerland. This article is an open access article distributed under the terms and conditions of the Creative Commons Attribution (CC BY) license (http://creativecommons.org/licenses/by/4.0/).
Share and Cite
Yang, M.; Xiao, W.; Zhao, Y.; Li, X.; Huang, Y.; Lu, F.; Hou, B.; Li, B. Assessment of Potential Climate Change Effects on the Rice Yield and Water Footprint in the Nanliujiang Catchment, China. Sustainability 2018, 10, 242. https://doi.org/10.3390/su10020242
Yang M, Xiao W, Zhao Y, Li X, Huang Y, Lu F, Hou B, Li B. Assessment of Potential Climate Change Effects on the Rice Yield and Water Footprint in the Nanliujiang Catchment, China. Sustainability. 2018; 10(2):242. https://doi.org/10.3390/su10020242
Chicago/Turabian StyleYang, Mingzhi, Weihua Xiao, Yong Zhao, Xudong Li, Ya Huang, Fan Lu, Baodeng Hou, and Baoqi Li. 2018. "Assessment of Potential Climate Change Effects on the Rice Yield and Water Footprint in the Nanliujiang Catchment, China" Sustainability 10, no. 2: 242. https://doi.org/10.3390/su10020242
APA StyleYang, M., Xiao, W., Zhao, Y., Li, X., Huang, Y., Lu, F., Hou, B., & Li, B. (2018). Assessment of Potential Climate Change Effects on the Rice Yield and Water Footprint in the Nanliujiang Catchment, China. Sustainability, 10(2), 242. https://doi.org/10.3390/su10020242

