Diazinon Mediated Biochemical Changes in the African Toad (Bufo regularis)
Abstract
:Introduction
Materials and Methods
Collection of test organisms
Sublethal bioassay
Biochemical analysis
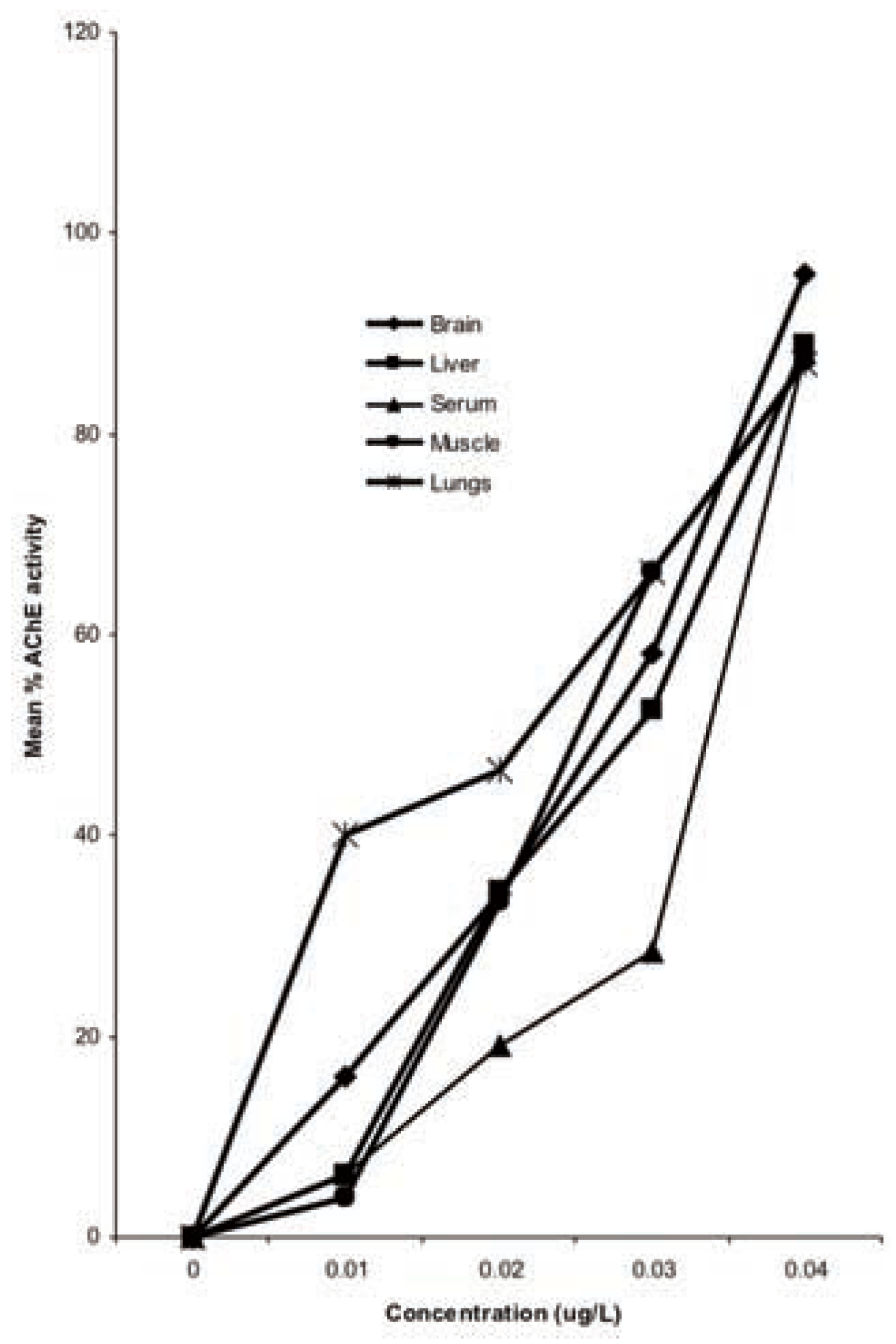
Determination of acetylcholineste-raseactivity
Determination of corticosterone
Determination of total protein
Bioaccumulation
Statistical analysis
Results
Biochemical indices
Bioaccumulation
Relative correlation between bioaccumulation and alteration in biochemical indices
Discussion
Conclusions
Author Contributions
Acknowledgments
References
- US Environmental Protection Agency US EPA. Office of Prevention, Pesticides and Toxic Substances. 2000. [Google Scholar]
- WHO. Environmental Health Criteria 198 - Diazinon. International Programme on Chemical Safety, World Health Organization: Geneva, 1998. [Google Scholar]
- Hayes, T.B.; Case, P.; Chui, S.; Chung, D.; Haeffele, C.; Haston, K.; et al. Pesticide mixtures, endocrinedisruption, and amphibian declines: are we underestimating the impact? Environ Health Perspect 2006, 114, 40–50. [Google Scholar] [CrossRef] [PubMed]
- Khan, M.Z.; Law, F.C. Adverse effects of pesticides and related chemicals on enzyme and hormone systems of fish, amphibians and reptiles: a review. Proc Pakistan Acad Sci 2005, 42, 315–23. [Google Scholar]
- Sih, A.; Kerby, J.; Bell, A.; Relyea, R. Response to Schmidt. Pesticides, mortality and population growth rate. Trends Ecol Evol 2004, 19, 460–1. [Google Scholar] [CrossRef]
- Sparling, D.W.; Linder, G.; Bishop, C.A. Ecotoxicology of amphibians and reptiles. Pensocila, FL: Society of Environmental Toxicology and Chemistry SETAC; 2000.p. 904.
- Blaustein, A.R.; Wake, D.B.; Sousa, W.P. Amphibian declines: judging stability, persistence, and susceptibility of populations to local and global extinctions. Conserv Biol 1994, 8, 60–71. [Google Scholar] [CrossRef]
- Harri, M.N.E.; Laitinen, J.; Valkama, E.L. Toxicity and retention of DDT in adult frogs, Rana temporaria L. Envir Pollut 1979, 201, 45–55. [Google Scholar] [CrossRef]
- Sparling, D.W.; Cowman, D.F. Amphibians and pesticides in pristine areas. In Amphibiandecline: an integrated analysis of multiple stressor effects; Linder, G., Krest, S.K. and Sparling, D.W., Eds.; Society of Environmental Toxicology and Chemistry SETAC: Pensacola, FL, USA, 2003; pp. 257–264. [Google Scholar]
- Houlahan, J.E.; Fridlay, C.S.; Schmidt, B.R.; Mayers, A.H.; Kuzmin, S.L. Quantitative evidence for global amphibian population declines. Nature 2001, 404, 752–5. [Google Scholar] [CrossRef]
- Relyea, A.R. Growth and survival of five amphibian species exposed to combinations of pesticides. Envir Toxicol Chem 2004, 23, 1737–42. [Google Scholar] [CrossRef]
- Cowman, D.F.; Sparling, D.W.; Fellers, G.M.; Lacher, T.E. Cholinesterase inhibition in metamorphs and tadpoles in the Sierra Nevada Mountains,California. 26th Annual Meeting, SETAC, 13-17 November, Baltimore, MD. Platform. 2005.
- Ezemonye, L.I.N.; Ikepsu, T.O.; Ilechie, I. Distridution of diazinon in water, sediment and fish from Warri River, Niger Delta, Nigeria. Jordan J Biol Sci 2008, 1, 31–7. [Google Scholar]
- Sumanadasa, D.M.; Wijesinghe, M.R.; Ratnasooriya, W.D. Effects of diazinon on larvae of the Asian common toad (Bufo melanostictus, Schneider 1799). Envir Toxicol Chem 2008, 27, 2320–5. [Google Scholar] [CrossRef]
- Huggett, R.J.; Kimerle, R.A.; Mehrle, P.M.; Bergman, H.L. Biomarkers: biochemical, physiological and histological markers of anthropogenic stress. Lewis: Boca Raton, FL, USA, 2002. [Google Scholar]
- Clements, W.H. Integrating effects of contaminants of biological organization: an overview. J Aquat Ecol Stress Rec 2000, 7, 113–6. [Google Scholar] [CrossRef]
- Allran, J.W.; Karasov, W.H. Effects of atrazine on embryos, larvae and adults of anuran amphibians. Envir Toxicol Chem 2001, 20, 761–75. [Google Scholar] [CrossRef]
- Vogiatzis, A.K.; Loumbourdis, N.S. Uptake, tissue distribution and depuration of cadmium Cd in the frog, Rana ridibunda. Bull Environ Contam Toxicol 1997, 59, 770–6. [Google Scholar] [CrossRef] [PubMed]
- Badejo, M.A.; Sosan, M.B. Effects of pesticides on non-target organisms in Nigeria. Soc Envir Toxicol Chem 2005, 6, 2–24. [Google Scholar]
- Ezemonye, L.I.N.; Enuneku, A. Acute toxicity of cadmium to tadpoles of Bufo maculatus and Ptychedena bibroni. Pollut Health 2005, 41, 13–20. [Google Scholar]
- APHA. Standard methods for the examination of water and wastewater, 20th ed.; American Public Health Association: Washington, DC, 1998. [Google Scholar]
- American Society for Testing and Materials. Standard practices for conducting acute toxicity test with fishes, macro invertebrates, and amphibians. Annual Book of ASTM standards 1996, 11, 1–29. [Google Scholar]
- Ellman, L.G.; Courtney, K.D.; Andres, V., Jr; Featherstone, R.M. A new and rapid colorimetric determination of acetylcholine -sterase activity. Biochem Pharma col 1961, 7, 88–95. [Google Scholar] [CrossRef]
- Barseghian, G.; Rachmiel, L.; Epps, P. Direct effect of cortisol and cortisone on insulin and glucagon secretion. Endocrinology 1982, 111, 1648. [Google Scholar] [CrossRef]
- Lowry, O.H.; Rosebrough, N.J.; Farr, A.L.; Randall, R.J. Protein measurement with folin phenol reagent. J Biol Chem 1951, 193, 265. [Google Scholar] [CrossRef]
- Steinwandter, H. Contributions to the online method for the extraction and isolating of pesticide residues and environmental chemicals II. Miniaturization of the online method. Fresenius. J Anal Chem 1990, 336, 8–11. [Google Scholar]
- Futerman, I.S. Modes of attachment of actylcholinesterase to surface membrane. Eur JBiochem 1988, 170, 11–22. [Google Scholar]
- Sahib, A.K.; Sailatha, D.; Ramana Rao, K.L. Impact of malathion on actylcholine-sterase in the tissues of the fish Tilapia mossambica Peters – a time course study.
- Wang, C.; Murphy, S.D. Kinetic analysis of species difference in acetylcholinesterase sensitivity to organophosphate insecticides. Toxicol Appl Pharmacol 1982, 66, 409–19. [Google Scholar] [CrossRef] [PubMed]
- Khan, M.Z.; Shah, E.Z.; Ahmed, I.; Fatima, F. Effects of agricultural pesticides permethrin pyrethroid on protein contents in kidney and liver of lizard species Calotes versicolor in comparison to that in frog Rana tigrina. Bull Pure Appl Sci 2002, 21A, 93–7. [Google Scholar]
- Khan, M.Z.; Fatima, F.; Ahmad, I. Effect of cypermethrin on protein contents in lizard calotes versicolor in comparison to that in frog Rana tigrina. J Biol Sci 2002, 2, 780–1. [Google Scholar]
- Khan, M.Z.; Maria, Z.; Fatima, F. Effect of lambdacyhalothrin Pyrethroid and Mono -crotophos organophosphate on cholineste -raseactivity in liver, kidney and brain of Rana cyanophlyctis. Korean J Biol Sci 2003, 72, 165–8. [Google Scholar] [CrossRef]
- Khan, M.Z.; Tabassum, R.; Shah, E.Z.; Tabassum, F.; Ahmad, I.; Fatima, F.; et al. Effect of cypermethrin and permethrin on cholinesterase activity and protein contents in Rana tigrina amphibia. Turk J Zool 2003, 27, 43–246. [Google Scholar]
- Khan, M.Z.; Ghazala, Y. Pesticides depend-ent cholinesterase activity in the brain tissue of Rana cyanophlyctis. J Exp Zool India 2005, 8, 135–40. [Google Scholar]
- Hontela, A. Endocrine and physiological responses of fish to xenobiotics. Role of glucocorticosteriod hormones. Rev Toxicol 1997, 1, 1–46. [Google Scholar]
- Hontela, A.; Gagnon, A.; Jumarie, C. Effects of Cu on plasma cortisol and cortisol secretion by adrenocortical cells of rainbow trout Oncorhynchus mykiss. Aquat Toxicol 2006, 78, 59–65. [Google Scholar]
- Bowman, W.C.; Rand, M.J. Textbook on pharmacology; Blackwell Scientific Publication: Melbourne, Australia, 1981. [Google Scholar]
- Parxton, R.; Gist, D.H.; Umminger, B.L. Serum coristol levels in thermally acclimated pathological investigations on monosex Tilapia following chronic exposure to pathology. In Handbook of Toxicologic Pathology; Haschek WM and Rousseaux, CG, Ed.; Academic Press Inc.: San Diego, CA, USA, 1984; pp. 279–314. [Google Scholar]
- Hopkins, W.A.; Mendonca, M.T.; Congdon, J.D. Increased circulating levels of testosterone and corticosterone in southern toads, Bufo terrestris, exposed to coal combustion waste. Gener Compar Endocrinol 1997, 108, 237–46. [Google Scholar] [CrossRef]
- Gendron, A.D.; Bishop, C.; Fortin, R.; Hontela, A. In vivo testing of the functional integrity of the corticosterone-producing axis in mudpuppy (amphibia) exposed to chlorinated hydrocarbons in the wild. Envir Toxicol Chem 1997, 16, 1694–706. [Google Scholar]
- Bisson, M.; Hontela, A. Cytotoxic and endocrine-disrupting potential of atrazine, diazinon, endosulfan, and mancozeb in adrenocortical steroidogenic cells of rainbow trout exposed in vitro. Toxicol Appl Pharmacol 2002, 180, 110–7. [Google Scholar] [CrossRef] [PubMed]
- Perry, S.F.; Wood, C.M. Kinetics of branchial calcium uptake in the rainbow trout: effects of acclimation to various external calcium levels. J Exp Biol 1985, 116, 411–33. [Google Scholar] [CrossRef]
- Lacroix, M.; Hontela, A. The organochlorine o,p9-DDD disrupts the adrenal steroidogenic signaling pathway in rainbow trout (Oncorhynchus mykiss). Toxicol Appl Pharmacol 2003, 190, 197–205. [Google Scholar] [CrossRef] [PubMed]
- Regoli FPrincipato, G. Glutathione, glutathione-dependent, and antioxidant enzymes in mussel, Mytilus galloprovincialis, exposed to metals under field and laboratory condition, implications for the use of biochemical biomarkers. Aquat Toxicol 1995, 31, 143–64. [Google Scholar] [CrossRef]
- Bachowski, S.; Xu, Y.; Stevenson, D.E.; Walborg, E.F.; Klaunig, J.E. Role of oxidative stress in the selective toxicity of dieldrin in the mouse liver. Toxicol Appl Pharmacol 1998, 150, 301–9. [Google Scholar] [CrossRef]
- Begum, G.; Vijayaraghavan, S. Alterations in protein metabolism of muscle tissue in the fish Clarias batrachus Linn by commercial grade dimethoate. Bull Environ Contam Toxicol 1996, 57, 223–8. [Google Scholar] [CrossRef]
- Jenkins, F.; Smith, J. Effects of sublethal concentration of endosulfan on haematological and serum biochemical parameters in the carp, Cyprinus carpio. Bull Environ Contam Toxicol 2003, 70, 993–7. [Google Scholar] [CrossRef]
- Ravinder, V.; Suryanarayana, N. Pesticides induced biochemical alterations in a fresh water catfish, Clarias batrachus. Indian J Comp Animal Physiol 1988, 6, 5–12. [Google Scholar]
- Neff, J.M. Use of biochemical measurements to detect pollutant – mediated damage to fish. Aquatic toxicology and hazard assessment, Carwel, R.D., Purdy, R., Bahner, R.C., Eds.; America Society for Testing Material: Philadelphia, 1985; 155–181. [Google Scholar]
- Das, B.K.; Mukherjee, S.C. Sublethal effect of Quinalphos in selected blood parameters of labeo rohita (Ham.) fingerlings. Asian Fish Sci 2000, 13, 225–33. [Google Scholar] [CrossRef]







© Copyright I. Tongo et al., 2012 Licensee PAGEPress, Italy. This work is licensed under a Creative Commons Attribution NonCommercial 3.0 License (CC BY-NC 3.0).
Share and Cite
Tongo, I.; Ezemonye, L.; Ochei, U. Diazinon Mediated Biochemical Changes in the African Toad (Bufo regularis). J. Xenobiot. 2012, 2, e4. https://doi.org/10.4081/xeno.2012.e4
Tongo I, Ezemonye L, Ochei U. Diazinon Mediated Biochemical Changes in the African Toad (Bufo regularis). Journal of Xenobiotics. 2012; 2(1):e4. https://doi.org/10.4081/xeno.2012.e4
Chicago/Turabian StyleTongo, Isioma, Lawrence Ezemonye, and Uche Ochei. 2012. "Diazinon Mediated Biochemical Changes in the African Toad (Bufo regularis)" Journal of Xenobiotics 2, no. 1: e4. https://doi.org/10.4081/xeno.2012.e4
APA StyleTongo, I., Ezemonye, L., & Ochei, U. (2012). Diazinon Mediated Biochemical Changes in the African Toad (Bufo regularis). Journal of Xenobiotics, 2(1), e4. https://doi.org/10.4081/xeno.2012.e4
