Direct Methamphetamine Sensing in Flowing Wastewater via a 3D-Printed Flow-Through Cell
Abstract
1. Introduction
2. Materials and Methods
2.1. Manufacturing of 3DP Flow Cell
2.2. Electrochemical Measurements in the 3DP Flow Cell
2.3. MET Determination in Wastewater in the 3DP Flow Cell
2.4. Sensor Specificity Towards APAAN and Amphetamine and Simulated Sewage Tests
3. Results
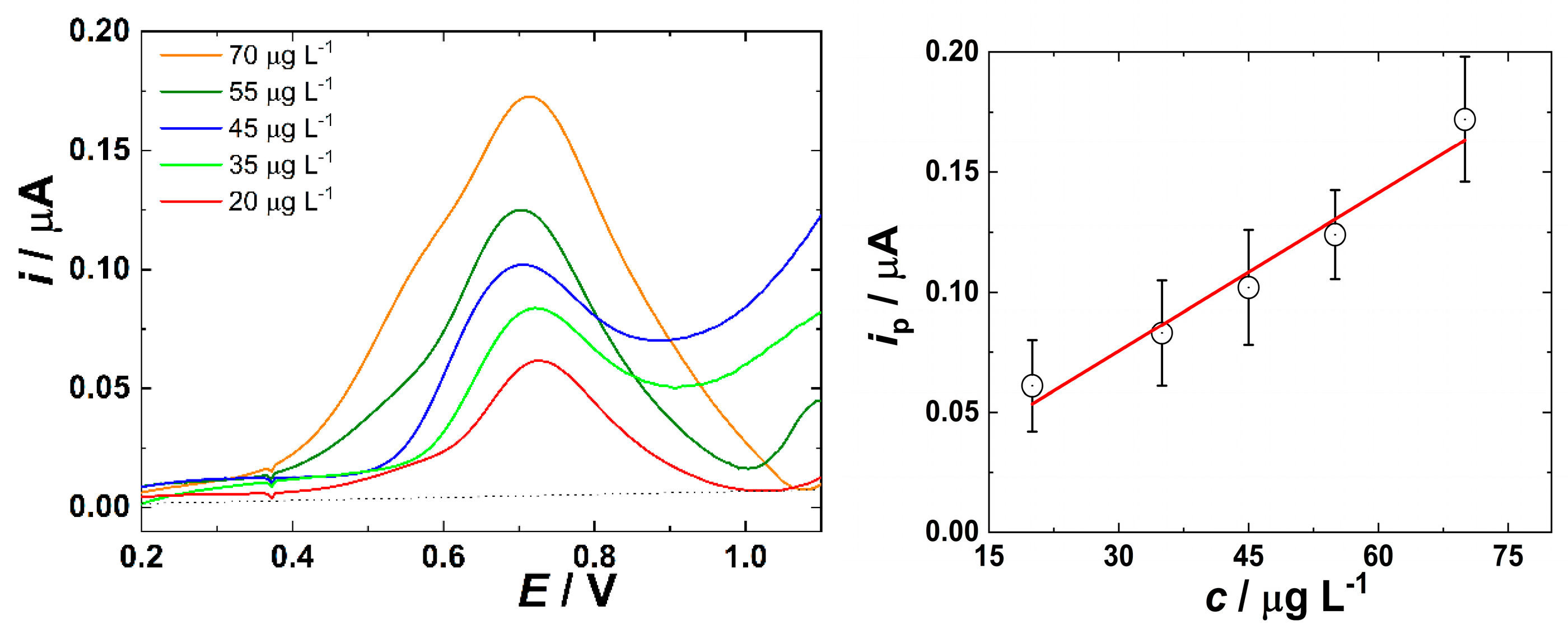
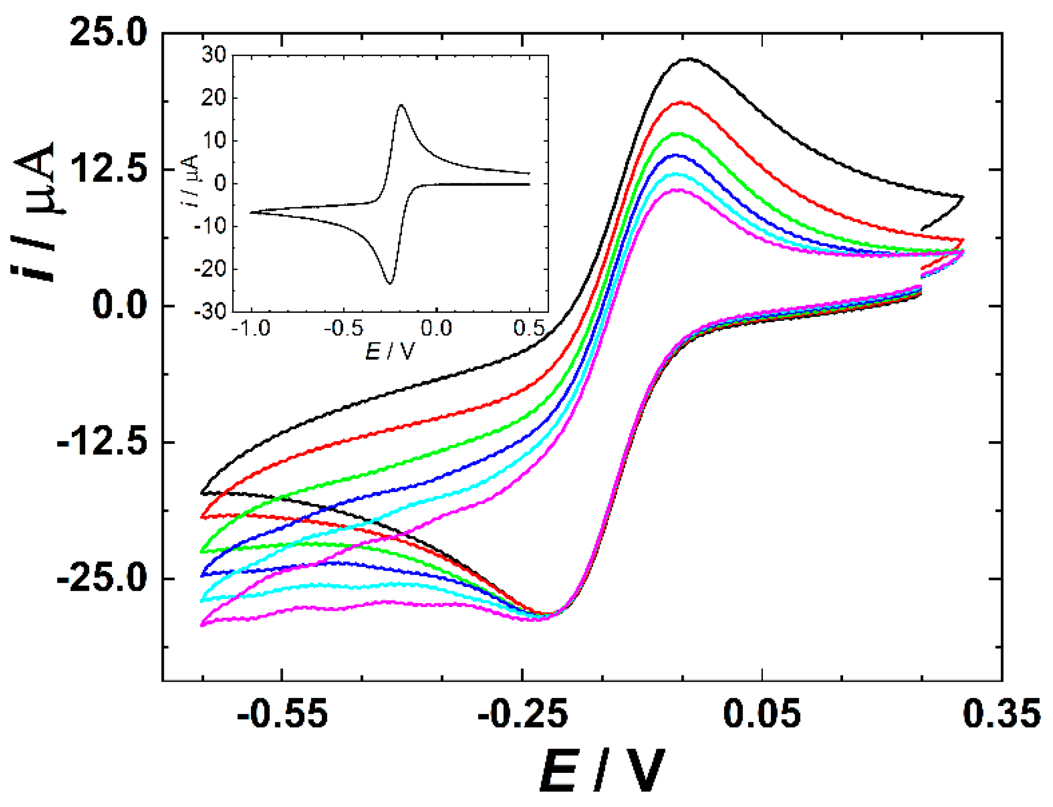
3.1. Cell Characterization
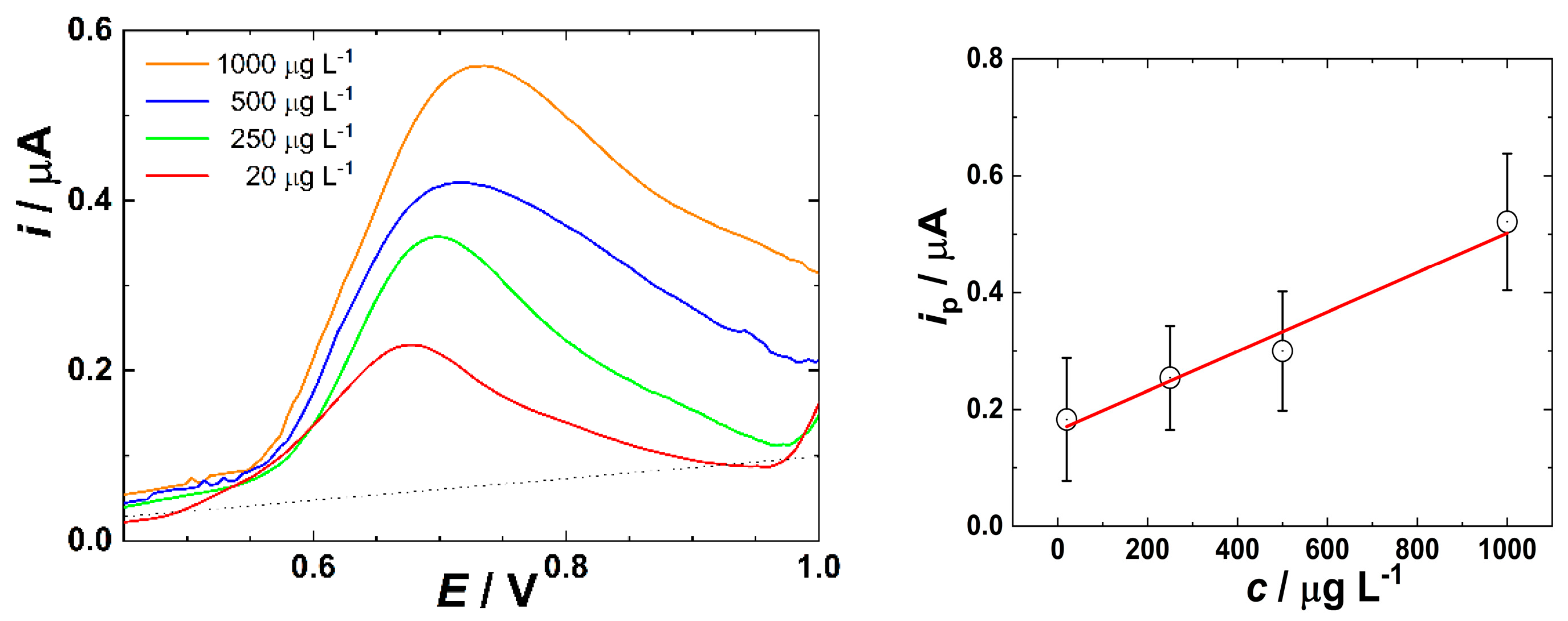
3.2. Determination of Methamphetamine in 3DP Flow Cell
3.3. Chip Selectivity Tests
4. Discussion
5. Conclusions
Author Contributions
Funding
Institutional Review Board Statement
Informed Consent Statement
Data Availability Statement
Acknowledgments
Conflicts of Interest
References
- Mackuľak, T.; Bodík, I.; Hasan, J.; Grabic, R.; Golovko, O.; Vojs-Staňová, A.; Gál, M.; Naumowicz, M.; Tichý, J.; Brandeburová, P.; et al. Dominant psychoactive drugs in the Central European region: A wastewater study. Forensic Sci. Int. 2016, 267, 42–51. [Google Scholar] [CrossRef] [PubMed]
- Castiglioni, S.; Salgueiro-González, N.; Bijlsma, L.; Celma, A.; Gracia-Lor, E.; Beldean-Galea, M.S.; Mackuľak, T.; Emke, E.; Heath, E.; Kasprzyk-Hordern, B.; et al. New psychoactive substances in several European populations assessed by wastewater-based epidemiology. Water Res. 2021, 195, 116983. [Google Scholar] [CrossRef] [PubMed]
- Martyny, J.W.; Arbuckle, S.L.; McCammon, C.S.; Esswein, E.J.; Erb, N.; Van Dyke, M. Chemical concentrations and contamination associated with clandestine methamphetamine laboratories. J. Chem. Health Saf. 2007, 14, 40–52. [Google Scholar] [CrossRef]
- European Drug Report 2024: Trends and Developments. Available online: https://www.euda.europa.eu/publications/european-drug-report/2024_en (accessed on 17 September 2025).
- Hauser, F.M.; Pütz, M.; Rößler, T.; Hulshof, J.W. Identification of specific markers for amphetamines synthesized from glycidic acid pre-precursors and retrospective search in German profiling database. Drug Test. Anal. 2020, 12, 41–52. [Google Scholar] [CrossRef]
- Hauser, F.M.; Rößler, T.; Hulshof, J.W.; Weigel, D.; Zimmermann, R.; Pütz, M. Identification of specific markers for amphetamine synthesised from the pre-precursor APAAN following the Leuckart route and retrospective search for APAAN markers in profiling databases from Germany and the Netherlands. Drug Test. Anal. 2018, 10, 671–680. [Google Scholar] [CrossRef]
- Brandeburová, P.; Bodík, I.; Horáková, I.; Žabka, D.; Castiglioni, S.; Salgueiro-González, N.; Zuccato, E.; Špalková, V.; Mackuľak, T. Wastewater-based epidemiology to assess the occurrence of new psychoactive substances and alcohol consumption in Slovakia. Ecotoxicol. Environ. Saf. 2020, 200, 110762. [Google Scholar] [CrossRef]
- Mercan, S.; Kuloglu, M.; Asicioglu, F. Monitoring of illicit drug consumption via wastewater: Development, challenges, and future aspects. Curr. Opin. Environ. Sci. Health 2019, 9, 64–72. [Google Scholar] [CrossRef]
- Sulej-Suchomska, A.M.; Klupczynska, A.; Dereziński, P.; Matysiak, J.; Przybyłowski, P.; Kokot, Z.J. Urban wastewater analysis as an effective tool for monitoring illegal drugs, including new psychoactive substances, in the Eastern European region. Sci. Rep. 2020, 10, 4885. [Google Scholar] [CrossRef]
- de Oliveira, A.F.B.; de Melo Vieira, A.; Santos, J.M. Trends and challenges in analytical chemistry for multi-analysis of illicit drugs employing wastewater-based epidemiology. Anal. Bioanal. Chem. 2023, 415, 3749–3758. [Google Scholar] [CrossRef]
- Hahn, R.Z.; Bastiani, M.F.; de Lima Feltraco Lizot, L.; da Silva Moreira, I.C.; Meireles, Y.F.; Schneider, A.; do Nascimento, C.A.; Linden, R. Determination of a comprehensive set of drugs of abuse, metabolites and human biomarkers in wastewater using passive sampling followed by UHPLC-MS/MS analysis. Microchem. J. 2022, 172, 106960. [Google Scholar] [CrossRef]
- Zhang, S.; Cui, H.R.; Zhao, Y.G.; Zhan, P.P. Preparation and application of nano petal-shaped covalent organic frameworks modified polystyrene-divinylbenzene-glycidylmethacrylate microspheres for the extraction of illicit drugs from wastewater. J. Chromatogr. A 2022, 1682, 463505. [Google Scholar] [CrossRef]
- Anzar, N.; Suleman, S.; Singh, Y.; Parvez, S.; Khanuja, M.; Pilloton, R.; Narang, J. Wearable Electrochemical Glove-Based Analytical Device (eGAD) for the Detection of Methamphetamine Employing Silver Nanoparticles. Biosensors 2023, 13, 934. [Google Scholar] [CrossRef]
- Dou, T.; Yang, W.; Wang, Z.; Zhang, J.; Yuan, C.; Wang, J.; Xu, Z.; Zhang, M.; Wang, D. Rapid Detection of Illicit Drugs: An Analysis of Research Progress and Prospects. Small Methods 2025, 9, 2500283. [Google Scholar] [CrossRef]
- Elbardisy, H.M.; Richter, E.M.; Crapnell, R.D.; Down, M.P.; Gough, P.G.; Belal, T.S.; Talaat, W.; Daabees, H.G.; Banks, C.E. Versatile additively manufactured (3D printed) wall-jet flow cell for high performance liquid chromatography-amperometric analysis: Application to the detection and quantification of new psychoactive substances (NBOMes). Anal. Methods 2020, 12, 2152–2165. [Google Scholar] [CrossRef]
- Khorablou, Z.; Shahdost-fard, F.; Razmi, H.; Yola, M.L.; Karimi-Maleh, H. Recent advances in developing optical and electrochemical sensors for analysis of methamphetamine: A review. Chemosphere 2021, 278, 130393. [Google Scholar] [CrossRef]
- De Rycke, E.; Stove, C.; Dubruel, P.; De Saeger, S.; Beloglazova, N. Recent developments in electrochemical detection of illicit drugs in diverse matrices. Biosens. Bioelectron. 2020, 169, 112579. [Google Scholar] [CrossRef] [PubMed]
- Sun, Y.; Li, D.; Shi, Y.; Wang, Z.; Okeke, S.I.; Yang, L.; Zhang, W.; Zhang, Z.; Shi, Y.; Xiao, L. Application of 3D Printing Technology in Sensor Development for Water Quality Monitoring. Sensors 2023, 23, 2366. [Google Scholar] [CrossRef]
- Pan, L.; Zhou, S.; Yang, J.; Fei, T.; Mao, S.; Fu, L.; Lin, C.T. 3D-printed electrodes for electrochemical detection of environmental analytes. Anal. Methods 2025, 17, 2235–2253. [Google Scholar] [CrossRef]
- Mao, K.; Ma, J.; Li, X.; Yang, Z. Rapid duplexed detection of illicit drugs in wastewater using gold nanoparticle conjugated aptamer sensors. Sci. Total Environ. 2019, 688, 771–779. [Google Scholar] [CrossRef] [PubMed]
- Li, F.; Chen, L.; Chen, L.; Zhou, H.; Peng, W.; Zhuang, G.; Feng, X.; Chen, J. Recent trends and future perspectives of emergent analytical techniques for methamphetamine sensing. Anal. Methods 2025, 17, 6944–6959. [Google Scholar] [CrossRef]
- Khizar, S.; Zine, N.; Sigaud, M.; Elaissari, A.; Errachid, A. Electrochemical Sensors for Enhanced and Rapid Detection of Illicit Drugs. Electroanalysis 2025, 37, e12034. [Google Scholar] [CrossRef]
- Anvari, L.; Ghoreishi, S.M.; Faridbod, F.; Ganjali, M.R. Electrochemical Determination of Methamphetamine in Human Plasma on a Nanoceria Nanoparticle Decorated Reduced Graphene Oxide (rGO) Glassy Carbon Electrode (GCE). Anal. Lett. 2021, 54, 2509–2522. [Google Scholar] [CrossRef]
- Dragan, A.M.; Parrilla, M.; Sleegers, N.; Slosse, A.; Van Durme, F.; van Nuijs, A.; Oprean, R.; Cristea, C.; De Wael, K. Investigating the electrochemical profile of methamphetamine to enable fast on-site detection in forensic analysis. Talanta 2023, 255, 124208. [Google Scholar] [CrossRef] [PubMed]
- Lal, K.; Noble, F.; Arif, K.M. Methamphetamine detection using nanoparticle-based biosensors: A comprehensive review. Sens. Biosensing Res. 2022, 38, 100538. [Google Scholar] [CrossRef]
- Mao, K.; Zhang, H.; Pan, Y.; Zhang, K.; Cao, H.; Li, X.; Yang, Z. Nanomaterial-based aptamer sensors for analysis of illicit drugs and evaluation of drugs consumption for wastewater-based epidemiology. TrAC Trends Anal. Chem. 2020, 130, 115975. [Google Scholar] [CrossRef]
- Mao, K.; Zhang, H.; Pan, Y.; Yang, Z. Biosensors for wastewater-based epidemiology for monitoring public health. Water Res. 2021, 191, 116787. [Google Scholar] [CrossRef] [PubMed]
- Viltres, H.; Paz, R.; Ges, A.; Phung, V.; Gupta, N.K.; Leyva, C.; Rajabzadeh, A.R.; Srinivasan, S. Chapter 7—Electrochemical detection of illicit drugs. In Micro and Nano Technologies, Nanotechnology-Based Sensing Platforms for Illicit Drugs; Ganguly, S., Das, P., Rajabzadeh, A.R., Srinivasan, S., Eds.; Elsevier: Amsterdam, The Netherlands, 2025; pp. 139–164. [Google Scholar] [CrossRef]
- Bartlett, C.A.; Taylor, S.; Fernandez, C.; Wanklyn, C.; Burton, D.; Enston, E.; Raniczkowska, A.; Black, M.; Murphy, L. Disposable screen printed sensor for the electrochemical detection of methamphetamine in undiluted saliva. Chem. Cent. J. 2016, 10, 3. [Google Scholar] [CrossRef]
- Wang, R.; Deng, X.; Chen, B.; Shen, J.; Xu, W.; Zhu, Y.; Zhang, Y.; Yang, H. Rapid and Direct Detection of Methamphetamine in Biofluids using a MXene-Enabled Electrochemical Sensor. Adv. Sci. 2026, e21857. [Google Scholar] [CrossRef]
- Anzar, N.; Suleman, S.; Singh, Y.; Kumari, S.; Parvez, S.; Pilloton, R.; Narang, J. The Evolution of Illicit-Drug Detection: From Conventional Approaches to Cutting-Edge Immunosensors—A Comprehensive Review. Biosensors 2024, 14, 477. [Google Scholar] [CrossRef]
- Oghli, A.H.; Alipour, E.; Asadzadeh, M. Development of a novel voltammetric sensor for the determination of methamphetamine in biological samples on the pretreated pencil graphite electrode. RSC Adv. 2015, 5, 9674–9682. [Google Scholar] [CrossRef]
- Yuan, C.; Shu, M.; Yang, C.; Ding, D.; Xu, Z.; Wang, J.; Wang, D. Ultrasensitive detection of methamphetamine in environmental water bodies by an Au@carbon dots/chitosan nanocomposite modified electrochemical aptasensor. Anal. Chim. Acta 2025, 1356, 344032. [Google Scholar] [CrossRef]
- Truta, F.; Drăgan, A.M.; Tertis, M.; Parrilla, M.; Slosse, A.; Van Durme, F.; de Wael, K.; Cristea, C. Electrochemical Rapid Detection of Methamphetamine from Confiscated Samples Using a Graphene-Based Printed Platform. Sensors 2023, 23, 6193. [Google Scholar] [CrossRef] [PubMed]
- Dragan, A.M.; Truta, F.M.; Tertis, M.; Florea, A.; Schram, J.; Cernat, A.; Feier, B.; De Wael, K.; Cristea, C.; Oprean, R. Electrochemical Fingerprints of Illicit Drugs on Graphene and Multi-Walled Carbon Nanotubes. Front. Chem. 2021, 9, 641147. [Google Scholar] [CrossRef] [PubMed]
- De Rycke, E.; Leman, O.; Dubruel, P.; Hedström, M.; Völker, M.; Beloglazova, N.; De Saeger, S. Novel multiplex capacitive sensor based on molecularly imprinted polymers: A promising tool for tracing specific amphetamine synthesis markers in sewage water. Biosens. Bioelectron. 2021, 178, 113006. [Google Scholar] [CrossRef]
- El-Akaad, S.; De Saeger, S.; Beloglazova, N. Molecularly imprinted polymer based capacitive sensing of a specific Leuckart marker 4-methyl-5-phenylpyrimidine in wastewater. Sens. Actuators B Chem. 2021, 343, 130116. [Google Scholar] [CrossRef]
- Sebechlebská, T.; Vaněčková, E.; Choińska-Młynarczyk, M.K.; Navrátil, T.; Poltorak, L.; Bonini, A.; Vivaldi, F.; Kolivoška, V. 3D Printed Platform for Impedimetric Sensing of Liquids and Microfluidic Channels. Anal. Chem. 2022, 94, 14426–14433. [Google Scholar] [CrossRef] [PubMed]
- Vivaldi, F.; Sebechlebská, T.; Vaněčková, E.; Biagini, D.; Bonini, A.; Kolivoška, V. Electric conductivity measurements employing 3D printed electrodes and cells. Anal. Chim. Acta 2022, 1203, 339600. [Google Scholar] [CrossRef]
- Vaněčková, E.; Bouša, M.; Shestivska, V.; Kubišta, J.; Moreno-García, P.; Broekmann, P.; Rahaman, M.; Zlámal, M.; Heyda, J.; Bernauer, M.; et al. Electrochemical Reduction of Carbon Dioxide on 3D Printed Electrodes. ChemElectroChem 2021, 8, 2137–2149. [Google Scholar] [CrossRef]
- Horáková, I. Occurrence, Fate and Possibilities of Detection or Degradation of Illegal Drugs in Wastewater. Ph.D. Thesis, Slovak University of Technology in Bratislava, Bratislava, Slovakia, 2022. [Google Scholar]
- Haghighi, M.; Shahlaei, M.; Irandoust, M.; Hassanpour, A. New and sensitive sensor for voltammetry determination of Methamphetamine in biological samples. J. Mat. Sci. Mater. Electron. 2020, 31, 10989–11000. [Google Scholar] [CrossRef]
- Švorc, Ľ.; Vojs, M.; Michniak, P.; Marton, M.; Rievaj, M.; Bustin, D. Electrochemical behavior of methamphetamine and its voltammetric determination in biological samples using self-assembled boron-doped diamond electrode. J. Electroanal. Chem. 2014, 717–718, 34–40. [Google Scholar] [CrossRef]
- Montiel, F.N.; Parrilla, M.; Sleegers, N.; Van Durme, F.; van Nuijs, A.L.N.; De Wael, K. Electrochemical sensing of amphetamine-type stimulants (pre)-precursors to fight against the illicit production of synthetic drugs. Electrochim. Acta 2022, 436, 141446. [Google Scholar] [CrossRef]
- Akhoundian, M.; Alizadeh, T.; Ganjali, M.R.; Norouzi, P. Ultra-trace detection of methamphetamine in biological samples using FFT-square wave voltammetry and nano-sized imprinted polymer/MWCNTs -modified electrode. Talanta 2019, 200, 115–123. [Google Scholar] [CrossRef] [PubMed]
- Saisahas, K.; Soleh, A.; Somsiri, S.; Senglan, P.; Promsuwan, K.; Saichanapan, J.; Kanatharana, P.; Thavarungkul, P.; Lee, K.; Chang, K.H.; et al. Electrochemical sensor for methamphetamine detection using laser-induced porous graphene electrode. Nanomaterials 2022, 12, 73. [Google Scholar] [CrossRef]
- Sung, J.-S.; Chiu, S.-F.; Chao, S.D.; Li, A.H.-T. A Simulation Study of the Electrothermal Effect on Cyclic Voltammetric Detection Efficiency of Methamphetamine in a Microfluidic Sensor. Multiscale Sci. Eng. 2021, 3, 155–164. [Google Scholar] [CrossRef]
- Dakošová, O.; Melníková, E.; Naumowicz, M.; Kolivoška, V.; Vaněčková, E.; Navrátil, T.; Labuda, J.; Veteška, P.; Gál, M. Direct electrochemical determination of environmentally harmful pharmaceutical ciprofloxacin in 3D printed flow-through cell. Chemosphere 2023, 313, 137517. [Google Scholar] [CrossRef]
- Peltola, E.; Aarva, A.; Sainio, S.; Heikkinen, J.J.; Wester, N.; Jokinen, V.; Koskinen, J.; Laurila, T. Biofouling affects the redox kinetics of outer and inner sphere probes on carbon surfaces drastically differently—Implications to biosensing. Phys. Chem. Chem. Phys. 2020, 22, 16630–16640. [Google Scholar] [CrossRef]
- Hanssen, B.L.; Siraj, S.; Wong, D.K.Y. Recent strategies to minimise fouling in electrochemical detection systems. Rev. Anal. Chem. 2016, 35, 1–28. [Google Scholar] [CrossRef]
- Kohzadi, R.; Molaeirad, A.; Alijanianzadeh, M.; Kamali, N.; Mohtashamifar, M. Designing a Label Free Aptasensor for Detection of Methamphetamine. Biomacromolecular J. 2016, 2, 28–33. [Google Scholar]
- Koren, K.; McGraw, C.M. Let’s Talk about Slime; or Why Biofouling Needs More Attention in Sensor Science. ACS Sens. 2023, 8, 2432–2439. [Google Scholar] [CrossRef]
- Anthi, J.; Vaněčková, E.; Spasovová, M.; Houska, M.; Vrabcová, M.; Vogelová, E.; Holubová, B.; Vaisocherová-Lísalová, H.; Kolivoška, V. Probing charge transfer through antifouling polymer brushes by electrochemical methods: The impact of supporting self-assembled monolayer chain length. Anal. Chim. Acta 2023, 1276, 341640. [Google Scholar] [CrossRef] [PubMed]
- Anthi, J.; Kolivoška, V.; Holubová, B.; Vaisocherová-Lísalová, H. Probing polymer brushes with electrochemical impedance spectroscopy: A mini review. Biomater. Sci. 2021, 9, 7379–7391. [Google Scholar] [CrossRef]
- Delgado, A.; Briciu-Burghina, C.; Regan, F. Antifouling Strategies for Sensors Used in Water Monitoring: Review and Future Perspectives. Sensors 2021, 21, 389. [Google Scholar] [CrossRef]
- Stan, D.; Mirica, A.C.; Iosub, R.; Stan, D.; Mincu, N.B.; Gheorghe, M.; Avram, M.; Adiaconita, B.; Craciun, G.; Mateescu, A.L.B. What Is the Optimal Method for Cleaning Screen-Printed Electrodes? Processes 2022, 10, 723. [Google Scholar] [CrossRef]
- Wang, X.; Zhao, Z.; Rothfarb, S.; Lu, S.; Temple, L.; Yang, Y.; Li, B. Deciphering Sensor Reading Noises in Complex Wastewater Environments Using Real-Time In Situ Hybrid GenAI Wastewater-Sensor Entity. ACS EST Water 2025, 5, 5893–5906. [Google Scholar] [CrossRef]
- Wang, X.; Fan, Y.; Huang, Y.; Ling, J.; Klimowicz, A.; Pagano, G.; Li, B. Solving Sensor Reading Drifting Using Denoising Data Processing Algorithm (DDPA) for Long-Term Continuous and Accurate Monitoring of Ammonium in Wastewater. ACS EST Water 2020, 1, 530–541. [Google Scholar] [CrossRef]





| Electrode Type/ Modification | Matrix | Sample Pretreatment | Operating Regime | LOD | Key Constraints | Ref. |
|---|---|---|---|---|---|---|
| SPCE | Real wastewater | Filtration | Flow Static | 15.9 µg L−1 211.2 µg L−1 | Matrix fouling, lower sensitivity in flow, realistic conditions | This work |
| Au@carbon dots/chitosan nanocomposite modified aptasensor | Drinking water, river, lake, wastewater | None | Static | 0.87 pg L−1 | More complex biorecognition | [33] |
| Graphene-modified SPCE | Tap water, wastewater | Diluted with PB | Static | 300 nM | Needs electrode modification | [34] |
| MWCNTs graphite electrode | Wastewater | Diluted with PB | Static | Not reported | Needs electrode modification | [35] |
| Boron-doped diamond | Phosphate buffer | None | Static | 0.08 µg L−1 | Ideal lab matrix, not wastewater-applicable | [43] |
| Laser-induced porous graphene electrode | BR buffer | None | Static | 0.31 µg mL−1 | Need for electrode preparation | [46] |
| Aptamer/AuNPs/Chitosan/GCE | Phosphate buffer | None | Static | 10 nM | Long sensor preparation | [51] |
Disclaimer/Publisher’s Note: The statements, opinions and data contained in all publications are solely those of the individual author(s) and contributor(s) and not of MDPI and/or the editor(s). MDPI and/or the editor(s) disclaim responsibility for any injury to people or property resulting from any ideas, methods, instructions or products referred to in the content. |
© 2026 by the authors. Licensee MDPI, Basel, Switzerland. This article is an open access article distributed under the terms and conditions of the Creative Commons Attribution (CC BY) license.
Share and Cite
Svitková, V.; Horáková, I.; Kolivoška, V.; Vaněčková, E.; Dakošová, O.; Melníková, E.; Žabka, D.; Imreová, Z.; Tulipánová, A.; Drdanová, A.P.; et al. Direct Methamphetamine Sensing in Flowing Wastewater via a 3D-Printed Flow-Through Cell. J. Xenobiot. 2026, 16, 40. https://doi.org/10.3390/jox16020040
Svitková V, Horáková I, Kolivoška V, Vaněčková E, Dakošová O, Melníková E, Žabka D, Imreová Z, Tulipánová A, Drdanová AP, et al. Direct Methamphetamine Sensing in Flowing Wastewater via a 3D-Printed Flow-Through Cell. Journal of Xenobiotics. 2026; 16(2):40. https://doi.org/10.3390/jox16020040
Chicago/Turabian StyleSvitková, Veronika, Ivana Horáková, Viliam Kolivoška, Eva Vaněčková, Olívia Dakošová, Eva Melníková, Dušan Žabka, Zuzana Imreová, Alexandra Tulipánová, Alexandra Paulína Drdanová, and et al. 2026. "Direct Methamphetamine Sensing in Flowing Wastewater via a 3D-Printed Flow-Through Cell" Journal of Xenobiotics 16, no. 2: 40. https://doi.org/10.3390/jox16020040
APA StyleSvitková, V., Horáková, I., Kolivoška, V., Vaněčková, E., Dakošová, O., Melníková, E., Žabka, D., Imreová, Z., Tulipánová, A., Drdanová, A. P., Haššo, M., Nemeček, P., Hatala, M., Mackuľak, T., & Gál, M. (2026). Direct Methamphetamine Sensing in Flowing Wastewater via a 3D-Printed Flow-Through Cell. Journal of Xenobiotics, 16(2), 40. https://doi.org/10.3390/jox16020040

