Toxicokinetic and Partial Mass Balance Assessment of 14C-Alpha Olefins in Rats
Abstract
1. Introduction
2. Materials and Methods
2.1. Test Items and Chemicals
2.2. Animals
2.3. Dose Formulation
2.4. Study Design
2.5. Measurement of 14C Using Liquid Scintillation Counting (LSC)
2.5.1. Analysis of Urine Sample
2.5.2. Analysis of Faeces Sample
2.5.3. Analysis of Blood Samples
2.5.4. Analysis of Tissue Samples
2.6. Data Analysis and Visualisation
3. Results and Discussion
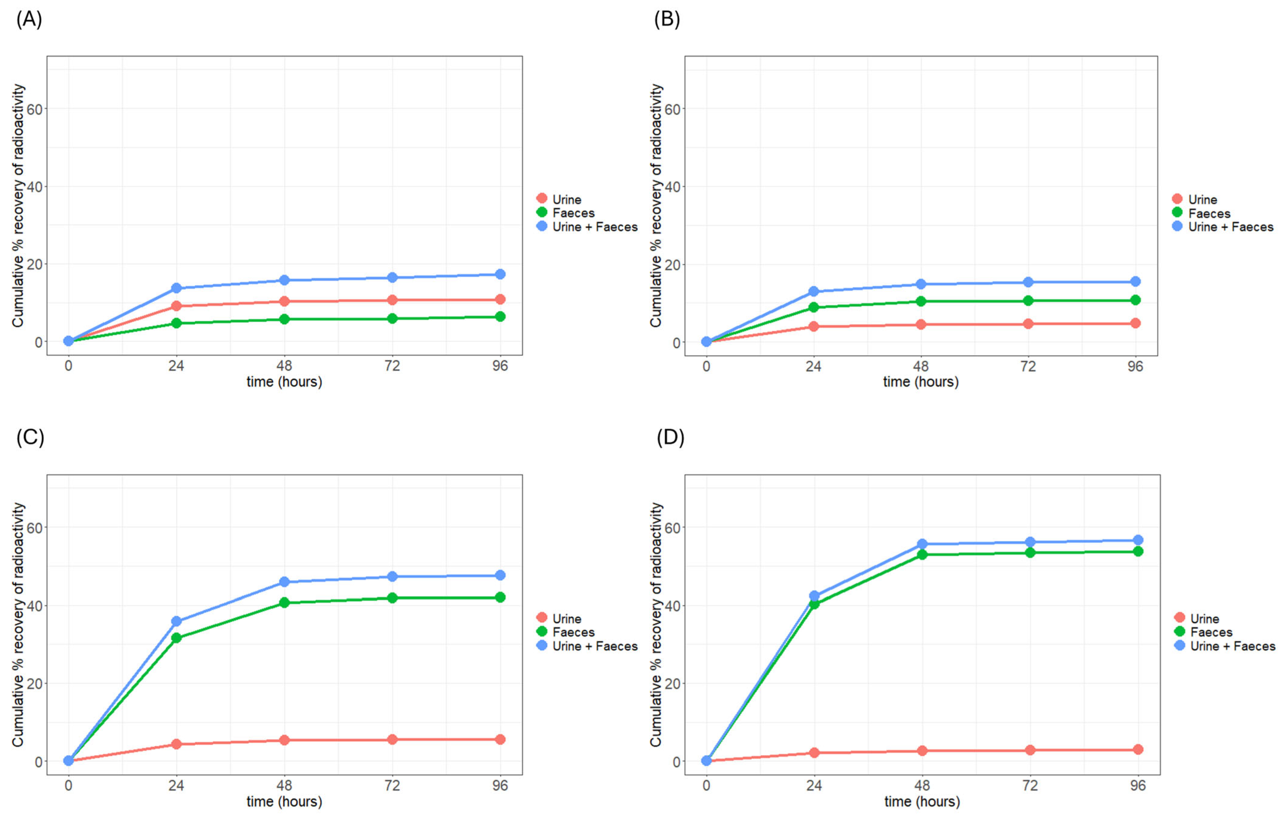
3.1. Mass Balance and Excretion
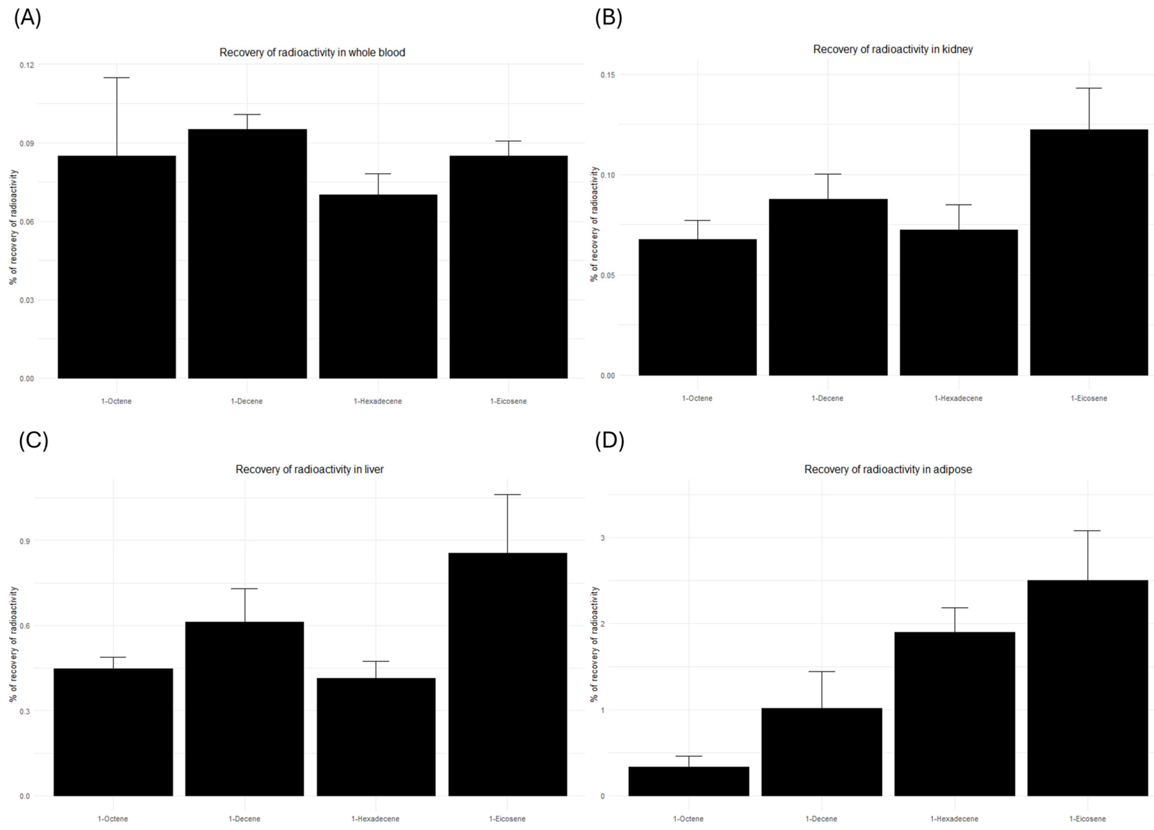
3.2. Distribution of Radioactivity in the Terminal Tissues
3.3. Total Recovery of 14C-Derived Radioactivity
3.4. Limitation of the Study
4. Conclusions
Author Contributions
Funding
Institutional Review Board Statement
Informed Consent Statement
Data Availability Statement
Acknowledgments
Conflicts of Interest
Abbreviations
| ADME | Absorption, Distribution, Metabolism, and Excretion |
| CAS | Chemical Abstracts Service |
| COSHH | Control of Substances Hazardous to Health |
| LD50 | Lethal Dose 50% |
| LSC | Liquid Scintillation Counting |
| NOAEL | No-Observed-Adverse-Effect Levels |
| PBS | Phosphate-Buffered Saline |
| SD | Standard Deviation |
| SOP | Standard Operating Procedures |
| TK | Toxicokinetic |
References
- Shi, Q.; Carrillo, J.-C.; Penman, M.G.; Manton, J.; Fioravanzo, E.; Powrie, R.H.; Elcombe, C.R.; Borsboom-Patel, T.; Tian, Y.; Shen, H.; et al. Assessment of the Intestinal Absorption of Higher Olefins by the Everted Gut Sac Model in Combination with In Silico New Approach Methodologies. Chem. Res. Toxicol. 2022, 35, 1383–1392. [Google Scholar] [CrossRef]
- Froment, G.F. Thermal cracking for olefins production. Fundamentals and their application to industrial problems. Chem. Eng. Sci. 1981, 36, 1271–1282. [Google Scholar] [CrossRef]
- Klaus, W.; Hans-Jürgen, A. Industrial Organic Chemistry; John Wiley & Sons: Hoboken, NJ, USA, 2008. [Google Scholar]
- Shi, Q.; Carrillo, J.-C.; Penman, M.G.; Shen, H.; North, C.M.; Jia, S.; Borsboom-Patel, T.; Tian, Y.; Hubert, F.; Manton, J.C.; et al. Toxicological Assessment of Higher Olefins in OECD TG 422 Repeated Dose and Reproductive/Developmental Toxicity Screening Tests in Han Wistar Rats. Int. J. Toxicol. 2024, 43, 301–326. [Google Scholar] [CrossRef]
- Shi, Q.; Penman, M.G.; Carrillo, J.-C.; Rompay, A.R.V.; Kamelia, L.; Rooseboom, M.; Shen, H.; Jia, S.; Tian, Y.; Dunn, J.; et al. The subchronic toxicity of higher olefins in Han Wistar rats. BMC Pharmacol. Toxicol. 2024, 25, 62. [Google Scholar] [CrossRef]
- Tan, Y.-M.; Barton, H.A.; Boobis, A.; Brunner, R.; Clewell, H.; Cope, R.; Dawson, J.; Domoradzki, J.; Egeghy, P.; Gulati, P.; et al. Opportunities and challenges related to saturation of toxicokinetic processes: Implications for risk assessment. Regul. Toxicol. Pharmacol. 2021, 127, 105070. [Google Scholar] [CrossRef]
- Maynert, E.W.; Foreman, R.L.; Watabe, T. Epoxides as Obligatory Intermediates in the Metabolism of Olefins to Glycols. J. Biol. Chem. 1970, 245, 5234–5238. [Google Scholar] [CrossRef] [PubMed]
- Franz, O. Mammalian Epoxide Hydrases: Inducible Enzymes Catalysing the Inactivation of Carcinogenic and Cytotoxic Metabolites Derived from Aromatic and Olefinic Compounds. Xenobiotica 1973, 3, 305–340. [Google Scholar] [CrossRef] [PubMed]
- Gorycki, P.D.; Macdonald, T.L. The oxidation of tetrasubstituted alkenes by cytochrome P450. Chem. Res. Toxicol. 1994, 7, 745–751. [Google Scholar] [CrossRef] [PubMed]
- de Montellano, P.R.O.; Mico, B.A. Destruction of cytochrome P-450 by ethylene and other olefins. Mol. Pharmacol. 1980, 18, 128–135. [Google Scholar] [CrossRef]
- Luke, B.T.; Collins, J.R.; Loew, G.H.; McLean, A.D. Theoretical investigations of terminal alkenes as putative suicide substrates of cytochrome P-450. J. Am. Chem. Soc. 1990, 112, 8686–8691. [Google Scholar] [CrossRef]
- Watabe, T.; Yamada, N. The biotransformation of 1-hexadecene to carcinogenic 1,2-epoxyhexadecane by hepatic microsomes. Biochem. Pharmacol. 1975, 24, 1051–1053. [Google Scholar] [CrossRef]
- White, I.N.; Green, M.L.; Bailey, E.; Farmer, P.B. Metabolic activation of olefins. Conversion of 1-octene to a putative reactive intermediate 1-octen-3-one: An alternative pathway to epoxidation. Biochem. Pharmacol. 1986, 35, 1569–1575. [Google Scholar] [CrossRef]
- Klaassen, C.D. Casarett and Doull’s Toxicology: The Basic Science of Poisons [Internet], 7th ed.; McGraw-Hill: New York, NY, USA, 2008; ISBN 10: 0071470514. [Google Scholar]
- Zahlsen, K.; Eide, I.; Nilsen, A.M.; Nilsen, O.G. Inhalation kinetics of C8 to C10 1-alkenes and iso-alkanes in the rat after repeated exposures. Pharmacol. Toxicol. 1993, 73, 163–168. [Google Scholar] [CrossRef]
- Babin, V.; Taran, F.; Audisio, D. Late-Stage Carbon-14 Labeling and Isotope Exchange: Emerging Opportunities and Future Challenges. JACS Au 2022, 2, 1234–1251. [Google Scholar] [CrossRef]
- Park, Y.H.; Jung, B.H.; Chung, B.C.; Park, J.; Mitoma, C. Metabolic disposition of the new fluoroquinolone antibacterial agent DW116 in rats. Drug Metab. Dispos. 1997, 25, 1101–1103. [Google Scholar] [PubMed]
- Nassar, A.F.; Wisnewski, A.; King, I. Metabolic disposition of the anti-cancer agent [(14)C]laromustine in male rats. Xenobiotica 2015, 45, 711–721. [Google Scholar] [CrossRef] [PubMed][Green Version]
- Shi, Q.; Penman, M.G.; Carrillo, J.-C.; Dunn, J.; Shen, H.; Jia, S.; Van Rompay, A.R.; Hubert, F.; Boogaard, P.J. Prenatal developmental toxicity evaluation of higher olefins in Sprague-Dawley rats. Reprod. Toxicol. 2025, 132, 108756. [Google Scholar] [CrossRef]
- OECD. Test No. 417: Toxicokinetics [Internet]. In OECD Guidelines for the Testing of Chemicals; OECD: Paris, France, 2010. [Google Scholar] [CrossRef]
- ECHA REACH-Registration, Evaluation, Authorisation and Restriction of Chemicals Regulation-Oct-1-ene (CAS Number: 111-66-0) Acute Toxicity Endpoint Summary [Internet]. 2023. Available online: https://echa.europa.eu/registration-dossier/-/registered-dossier/15355/7/3/1 (accessed on 13 May 2025).
- Faber, K. Biotransformations in Organic Chemistry; Springer: Cham, Switzerland, 2018. [Google Scholar]
- Bojić, M.; Debeljak, Ž.; Guengerich, F.P. Principles of Xenobiotic Metabolism (Biotransformation). In Pharmacogenomics in Clinical Practice; Springer International Publishing: Cham, Switzerland, 2023; pp. 13–33. [Google Scholar]
- Chandel, N.S. Lipid Metabolism. Cold Spring Harb. Perspect. Biol. 2021, 13, a040576. [Google Scholar]
- Houten, S.M.; Wanders, R.J.A. A general introduction to the biochemistry of mitochondrial fatty acid β-oxidation. J. Inherit. Metab. Dis. 2010, 33, 469–477. [Google Scholar] [CrossRef] [PubMed]
- Mann, E.R.; Lam, Y.K.; Uhlig, H.H. Short-chain fatty acids: Linking diet, the microbiome and immunity. Nat. Rev. Immunol. 2024, 24, 577–595. [Google Scholar] [CrossRef]
- Poian, A.T.D.; El-Bacha, T.; Luz, M.R.M.P. Nutrient Utilization in Humans: Metabolism Pathways. Nat. Educ. 2010, 3, 11. Available online: https://www.nature.com/scitable/topicpage/nutrient-utilization-in-humans-metabolism-pathways-14234029/ (accessed on 28 September 2025).
- EPA. Screening-level hazard characterization of high production volume chemicals—Higher Olefins Category. In U.S. Environmental Protection Agency Hazard Characterization Document; U.S. Environmental Protection Agency: Washington, DC, USA, 2011. [Google Scholar]
- Dincel, D.; Rosales-Solano, H.; Zeinali, S.; Pawliszyn, J. Standard Water Generating Vials for Lipophilic Compounds. Anal. Chem. 2023, 95, 820–826. [Google Scholar] [CrossRef] [PubMed]




| Group | Rat Number | Dosing Volume Administrated (mL) | Total Radioactivity Dosed (dpm) |
|---|---|---|---|
| 1-Octene | 1 | 2.0 | 4,395,008.0 |
| 2 | 2.1 | 4,614,758.4 | |
| 3 | 2.1 | 4,614,758.4 | |
| 4 | 2.2 | 4,834,508.8 | |
| 1-Decene | 5 | 2.3 | 4,308,652.1 |
| 6 | 2.3 | 4,308,652.1 | |
| 7 | 2.4 | 4,495,984.8 | |
| 8 | 2.3 | 4,308,652.1 | |
| 1-Hexadecene | 9 | 2.7 | 6,173,014.4 |
| 10 | 2.6 | 6,173,014.4 | |
| 11 | 2.7 | 5,952,549.6 | |
| 12 | 2.7 | 5,952,549.6 | |
| 1-Eicosene | 13 | 2.8 | 5,404,959.9 |
| 14 | 2.8 | 5,204,776.2 | |
| 15 | 2.7 | 5,404,959.9 | |
| 16 | 2.7 | 5,404,959.9 |
| Samples | Time | 1-Octene | 1-Decene | 1-Hexadecene | 1-Eicosene |
|---|---|---|---|---|---|
| Urine | Day 1 (0–24 h) | 9.1 ± 3.0 | 4.0 ± 0.9 | 4.3 ± 1.1 | 2.1 ± 1.1 |
| Day 2 (24–48 h) | 1.2 ± 0.4 | 0.5 ± 0.3 | 1.0 ± 0.5 | 0.6 ± 0.3 | |
| Day 3 (48–72 h) | 0.3 ± 0.1 | 0.2 ± 0.1 | 0.2 ± 0.0 | 0.2 ± 0.1 | |
| Day 4 (72–96 h) | 0.3 ± 0.0 | 0.1 ± 0.1 | 0.1 ± 0.0 | 0.1 ± 0.0 | |
| Faeces | Day 1 (0–24 h) | 4.7 ± 1.2 | 8.9 ± 3.9 | 31.6 ± 9.3 | 40.2 ± 8.5 |
| Day 2 (24–48 h) | 0.9 ± 0.2 | 1.4 ± 0.6 | 9.1 ± 4.5 | 12.7 ± 1.8 | |
| Day 3 (48–72 h) | 0.3 ± 0.1 | 0.3 ± 0.0 | 1.2 ± 0.8 | 0.4 ± 0.4 | |
| Day 4 (72–96 h) | 0.5 ± 0.3 | 0.1 ± 0.1 | 0.2 ± 0.0 | 0.3 ± 0.3 | |
| Blood | Day 4 (96 h) | 0.1 ± 0.0 | 0.1 ± 0.0 | 0.1 ± 0.0 | 0.1 ± 0.0 |
| Liver | Day 4 (96 h) | 0.5 ± 0.0 | 0.6 ± 0.1 | 0.4 ± 0.1 | 0.9 ± 0.2 |
| Kidney | Day 4 (96 h) | 0.1 ± 0.0 | 0.1 ± 0.0 | 0.1 ± 0.0 | 0.1 ± 0.0 |
| Adipose | Day 4 (96 h) | 0.3 ± 0.1 | 1.0 ± 0.4 | 1.9 ± 0.3 | 2.5 ± 0.6 |
Disclaimer/Publisher’s Note: The statements, opinions and data contained in all publications are solely those of the individual author(s) and contributor(s) and not of MDPI and/or the editor(s). MDPI and/or the editor(s) disclaim responsibility for any injury to people or property resulting from any ideas, methods, instructions or products referred to in the content. |
© 2026 by the authors. Licensee MDPI, Basel, Switzerland. This article is an open access article distributed under the terms and conditions of the Creative Commons Attribution (CC BY) license.
Share and Cite
Shi, Q.; Dunn, J.; Carrillo, J.-C.; Penman, M.G.; Powrie, R.H.; Haines, C.; Shen, H.; Tian, Y.; Jia, S.; Hubert, F.; et al. Toxicokinetic and Partial Mass Balance Assessment of 14C-Alpha Olefins in Rats. J. Xenobiot. 2026, 16, 26. https://doi.org/10.3390/jox16010026
Shi Q, Dunn J, Carrillo J-C, Penman MG, Powrie RH, Haines C, Shen H, Tian Y, Jia S, Hubert F, et al. Toxicokinetic and Partial Mass Balance Assessment of 14C-Alpha Olefins in Rats. Journal of Xenobiotics. 2026; 16(1):26. https://doi.org/10.3390/jox16010026
Chicago/Turabian StyleShi, Quan, Jamie Dunn, Juan-Carlos Carrillo, Michael G. Penman, Robert H. Powrie, Corinne Haines, Hua Shen, Yuan Tian, Sophie Jia, Fabienne Hubert, and et al. 2026. "Toxicokinetic and Partial Mass Balance Assessment of 14C-Alpha Olefins in Rats" Journal of Xenobiotics 16, no. 1: 26. https://doi.org/10.3390/jox16010026
APA StyleShi, Q., Dunn, J., Carrillo, J.-C., Penman, M. G., Powrie, R. H., Haines, C., Shen, H., Tian, Y., Jia, S., Hubert, F., & Boogaard, P. J. (2026). Toxicokinetic and Partial Mass Balance Assessment of 14C-Alpha Olefins in Rats. Journal of Xenobiotics, 16(1), 26. https://doi.org/10.3390/jox16010026

