Simulation of the Impact of Pesticides on Pollinators Under Different Conditions Using Correlation Weighting of Quasi-SMILES Components Together with the Index of Ideality of Correlation (IIC)
Abstract
1. Introduction
2. Materials and Methods
2.1. Data
2.2. Simulation Scheme
2.3. Optimal Descriptors
2.4. Optimization of Correlation Weights
2.5. Applicability Domain
2.6. Mechanistic Interpretation
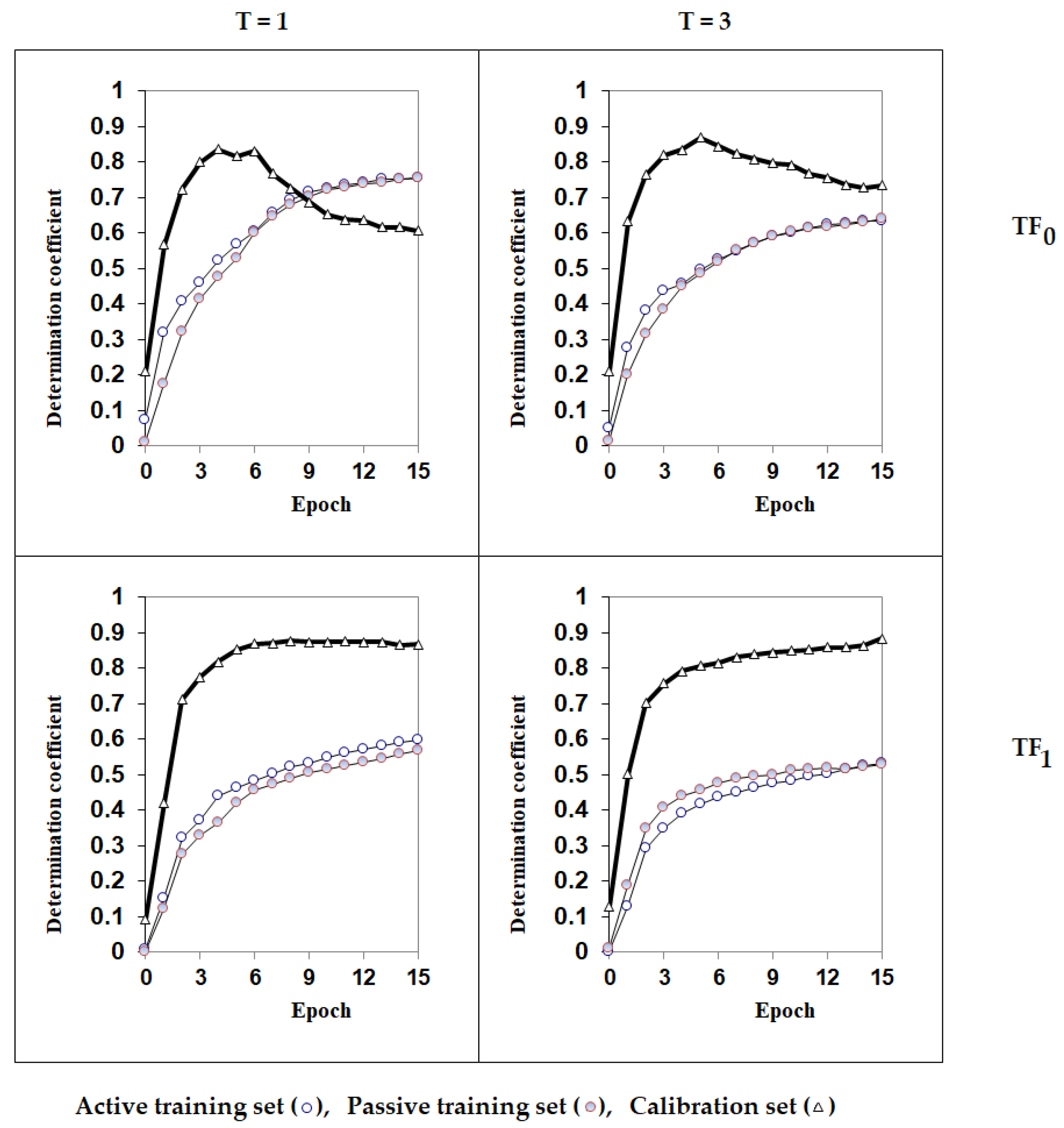
3. Results
4. Discussion
5. Conclusions
Supplementary Materials
Author Contributions
Funding
Institutional Review Board Statement
Informed Consent Statement
Data Availability Statement
Conflicts of Interest
References
- Tosi, S.; Démares, F.J.; Nicolson, S.W.; Medrzycki, P.; Pirk, C.W.W.; Human, H. Effects of a neonicotinoid pesticide on thermoregulation of African honey bees (Apis mellifera scutellata). J. Insect. Physiol. 2016, 93–94, 56–63. [Google Scholar] [CrossRef] [PubMed]
- Baas, J.; Goussen, B.; Miles, M.; Preuss, T.G.; Roessink, I. BeeGUTS—A toxicokinetic–toxicodynamic model for the interpretation and integration of acute and chronic honey bee tests. Environ. Toxicol. Chem. 2022, 41, 2193–2201. [Google Scholar] [CrossRef]
- Gisder, S.; Genersch, E. Viruses of commercialized insect pollinators. J. Invertebr. Pathol. 2017, 147, 51–59. [Google Scholar] [CrossRef]
- Stanley, D.A.; Raine, N.E. Chronic exposure to a neonicotinoid pesticide alters the interactions between bumblebees and wild plants. Funct. Ecol. 2016, 30, 1132–1139. [Google Scholar] [CrossRef] [PubMed]
- Jumarie, C.; Aras, P.; Boily, M. Mixture of herbicides and metals affect the redox system of honey bees. Chemosphere 2017, 168, 163–170. [Google Scholar] [CrossRef]
- Charreton, M.; Decourtye, A.; Henry, M.; Rodet, G.; Sandoz, J.C.; Charnet, P.; Collet, C. A locomotor deficit induced by sublethal doses of pyrethroid and neonicotinoid insecticides in the honeybee Apis mellifera. PLoS ONE 2015, 10, e0144879. [Google Scholar] [CrossRef]
- Parmentier, L.; Meeus, I.; Cheroutre, L.; Mommaerts, V.; Louwye, S.; Smagghe, G. Commercial bumblebee hives to assess an anthropogenic environment for pollinator support: A case study in the region of Ghent (Belgium). Environ. Monit. Assess. 2014, 186, 2357–2367. [Google Scholar] [CrossRef] [PubMed]
- Potts, S.G.; Biesmeijer, J.C.; Kremen, C.; Neumann, P.; Schweiger, O.; Kunin, W.E. Global pollinator declines: Trends, impacts and drivers. Trends Ecol. Evol. 2010, 25, 345–353. [Google Scholar] [CrossRef]
- European Commission. Communication from the Commission to the European Parliament, the Council, the European Economic and Social Committee and the Committee of the Regions: Revision of the EU Pollinators Initiative—A New Deal for Pollinators; COM(2023) 35 Final; Brussels. 24 January 2023. Available online: https://eur-lex.europa.eu/legal-content/EN/TXT/?uri=CELEX:52023DC0035 (accessed on 30 December 2025).
- European Food Safety Authority (EFSA). EFSA Guidance Document on the risk assessment of plant protection products on bees (Apis mellifera, Bombus spp. and solitary bees). EFSA J. 2013, 11, 3295. [Google Scholar] [CrossRef]
- United States Environmental Protection Agency (US EPA). Guidance for assessing pesticide risks to bees. In Office of Research and Development, National Center for Environmental Assessment; United States Environmental Protection Agency: Washington, DC, USA, 2014. Available online: https://www.epa.gov/sites/production/files/2014-06/documents/pollinator_risk_assessment_guidance_06_19_14.pdf (accessed on 30 December 2025).
- Tosi, S.; Sfeir, C.; Carnesecchi, E.; van Engelsdorp, D.; Chauzat, M.-P. Lethal, sublethal, and combined effects of pesticides on bees: A meta-analysis and new risk assessment tools. Sci. Total Environ. 2022, 844, 156857. [Google Scholar] [CrossRef]
- Devillers, J.; Pham-Delègue, M.H. (Eds.) Honey Bees: Estimating the Environmental Impact of Chemicals, 1st ed.; CRC Press: Boca Raton, FL, USA, 2002; pp. 1–352. [Google Scholar] [CrossRef]
- European Food Safety Authority (EFSA). Towards an integrated environmental risk assessment of multiple stressors on bees: Review of research projects in Europe, knowledge gaps and recommendations. EFSA J. 2014, 12, 3594. [Google Scholar] [CrossRef]
- Como, F.; Carnesecchi, E.; Volani, S.; Dorne, J.L.; Richardson, J.; Bassan, A.; Pavan, M.; Benfenati, E. Predicting acute contact toxicity of pesticides in honeybees (Apis mellifera) through a k-nearest neighbor model. Chemosphere 2017, 166, 438–444. [Google Scholar] [CrossRef]
- Carnesecchi, E.; Toropov, A.A.; Toropova, A.P.; Kramer, N.; Svendsen, C.; Dorne, J.L.; Benfenati, E. Predicting acute contact toxicity of organic binary mixtures in honey bees (A. mellifera) through innovative QSAR models. Sci. Total Environ. 2020, 704, 135302. [Google Scholar] [CrossRef]
- Carnesecchi, E.; Toma, C.; Roncaglioni, A.; Kramer, N.; Benfenati, E.; Dorne, J.L.C.M. Integrating QSAR models predicting acute contact toxicity and mode of action profiling in honey bees (A. mellifera): Data curation using open source databases, performance testing and validation. Sci. Total Environ. 2020, 735, 139243. [Google Scholar] [CrossRef]
- Devillers, J. (Ed.) Chapter 7—QSAR Modeling of Pesticide Toxicity to Bees. In Silico Bees, 1st ed.; CRC Press: Boca Raton, FL, USA, 2014; p. 314. [Google Scholar] [CrossRef]
- Hamadache, M.; Benkortbi, O.; Hanini, S.; Amrane, A. QSAR modeling in ecotoxicological risk assessment: Application to the prediction of acute contact toxicity of pesticides on bees (Apis mellifera L.). Environ. Sci. Pollut. Res. 2018, 25, 896–907. [Google Scholar] [CrossRef]
- Zhao, X.; Li, H.; Mo, Q.; Cui, J.; Zhang, L. Toxicity prediction of pesticide to bumblebee and honey bee based on machine learning methods. Chin. J. Pestic. Sci. 2020, 22, 933–941. [Google Scholar] [CrossRef]
- Damião, T.C.; de Oliveira Neto, R.F.; de Alencar Filho, E.B. New generation of QSAR modeling for bee safety: Predicting toxicity using graph neural networks and apistox data. Ecotoxicology 2025, 34, 2028–2039. [Google Scholar] [CrossRef]
- Sharifi, M.; Harwood, G.P.; Harris, M.; Patel, D.M.; Collison, E.; Lunsman, T. Leveraging in silico structure-activity models to predict acute honey bee (Apis mellifera) toxicity for agrochemicals. J. Agric. Food Chem. 2024, 72, 20775–20782. [Google Scholar] [CrossRef] [PubMed]
- Chatterjee, M.; Banerjee, A.; Tosi, S.; Carnesecchi, E.; Benfenati, E.; Roy, K. Machine learning—Based q-RASAR modeling to predict acute contact toxicity of binary organic pesticide mixtures in honey bees. J. Hazard. Mater. 2023, 460, 132358. [Google Scholar] [CrossRef]
- Devillers, J.; Pham-Delègue, M.H.; Decourtye, A.; Budzinski, H.; Cluzeau, S.; Maurin, G. Structure-toxicity modeling of pesticides to honey bees. SAR QSAR Environ Res. 2002, 13, 641–648. [Google Scholar] [CrossRef] [PubMed]
- Toropov, A.A.; Benfenati, E. SMILES as an alternative to the graph in QSAR modeling of bee toxicity. Comput. Biol. Chem. 2007, 31, 57–60. [Google Scholar] [CrossRef] [PubMed]
- Toropov, A.A.; Benfenati, E. Additive SMILES-based optimal descriptors in QSAR modelling bee toxicity: Using rare SMILES attributes to define the applicability domain. Bioorg. Med. Chem. 2008, 16, 4801–4809. [Google Scholar] [CrossRef] [PubMed]
- Singh, K.P.; Gupta, S.; Basant, N.; Mohan, D. QSTR modeling for qualitative and quantitative toxicity predictions of diverse chemical pesticides in honey bee for regulatory purposes. Chem. Res. Toxicol. 2014, 27, 1504–1515. [Google Scholar] [CrossRef]
- Xu, X.; Zhao, P.; Wang, Z.; Zhang, X.; Wu, Z.; Li, W.; Tang, Y.; Liu, G. In silico prediction of chemical acute contact toxicity on honey bees via machine learning methods. Toxicol. Vitr. 2021, 72, 105089. [Google Scholar] [CrossRef]
- Moreira-Filho, J.T.; Braga, R.C.; Milhomem Lemos, J.; Alves, V.M.; Borba, J.V.V.B.; Costa, W.S.; Kleinstreuer, N.; Muratov, E.N.; Horta Andrade, C.; Neves, B.J. BeeToxAI: An artificial intelligence-based web app to assess acute toxicity of chemicals to honey bees. Artif. Intell. Life Sci. 2021, 1, 100013. [Google Scholar] [CrossRef]
- Toropov, A.A.; Toropova, A.P.; Como, F.; Benfenati, E. Quantitative structure–activity relationship models for bee toxicity. Tox. Environ. Chem. 2017, 99, 1117–1128. [Google Scholar] [CrossRef]
- Dulin, F.; Halm-Lemeille, M.P.; Lozano, S.; Lepailleur, A.; Sopkova-de Oliveira Santos, J.; Rault, S.; Bureau, R. Interpretation of honey bees contact toxicity associated to acetylcholinesterase inhibitors. Ecotoxicol. Environ. Saf. 2012, 79, 13–21. [Google Scholar] [CrossRef]
- Amaury, N.; Benfenati, E.; Boriani, E.; Casalegno, M.; Chana, A.; Chaudhry, Q.; Chrétien, J.R.; Cotterill, J.; Lemke, F.; Piclin, N.; et al. Results of DEMETRA models. In Quantitative Structure-Activity Relationships (QSAR) for Pesticide Regulatory Purposes; Benfenati, E., Ed.; Elsevier Science: Amsterdam, The Netherlands, 2007; Chapter 7; pp. 201–281. [Google Scholar] [CrossRef]
- Devillers, J.; Decourtye, A.; Budzinskid, H.; Pham-Delègue, M.H.; Cluzeau, S.; Maurin, G. Comparative toxicity and hazards of pesticides to Apis and non-Apis bees. A chemometrical study. SAR QSAR Environ. Res. 2003, 14, 389–403. [Google Scholar] [CrossRef] [PubMed]
- Lewis, K.A.; Tzilivakis, J. Wild bee toxicity data for pesticide risk assessments. Data 2019, 4, 98. [Google Scholar] [CrossRef]
- OECD. OECD Guidelines for the Testing of Chemicals, Section 2. In Test No. 246: Bumblebee, Acute Contact Toxicity Test; OECD Publishing: Paris, France, 2017. [Google Scholar] [CrossRef]
- OECD. OECD Guidelines for the Testing of Chemicals, Section 2. In Test No. 247: Bumblebee, Acute Oral Toxicity Test; OECD Publishing: Paris, France, 2017. [Google Scholar] [CrossRef]
- OECD. OECD Guidelines for the Testing of Chemicals, Section 2. In Test No. 254: Mason bees (Osmia sp.), Acute Contact Toxicity Test; OECD Publishing: Paris, France, 2025. [Google Scholar] [CrossRef]
- U.S. Environmental Protection Agency. ECOTOX Database; U.S. Environmental Protection Agency: Washington, DC, USA, 2025. Available online: https://cfpub.epa.gov/ecotox/index.cfm (accessed on 30 December 2025).
- European Food Safety Authority. OpenFoodTox Chemical Hazards Database; European Food Safety Authority: Parma, Italy, 2025; Available online: https://www.efsa.europa.eu/en/data-report/chemical-hazards-database-openfoodtox (accessed on 30 December 2025).
- OECD. OECD Guidelines for the Testing of Chemicals, Section 2. In Test No. 213: Honeybees, Acute Oral Toxicity Test; OECD Publishing: Paris, France, 1998. [Google Scholar] [CrossRef]
- OECD. OECD Guidelines for the Testing of Chemicals, Section 2. In Test No. 245: Honey Bee (Apis mellifera L.), Chronic Oral Toxicity Test (10-Day Feeding); OECD Publishing: Paris, France, 2017. [Google Scholar] [CrossRef]
- VEGA-Software. Available online: https://www.vegahub.eu/ (accessed on 30 December 2025).
- Toropova, A.P.; Toropov, A.A. (Eds.) QSPR/QSAR analysis using SMILES and Quasi-SMILES. In Challenges and Advances in Computational Chemistry and Physics; Springer: Cham, Switzerland, 2023; Volume 33, pp. 241–268. [Google Scholar] [CrossRef]
- Toropov, A.A.; Di Nicola, M.R.; Toropova, A.P.; Roncaglioni, A.; Dorne, J.L.C.M.; Benfenati, E. Quasi-SMILES: Self-consistent models for toxicity of organic chemicals to tadpoles. Chemosphere 2023, 312, 137224. [Google Scholar] [CrossRef]
- Toropova, A.P.; Toropov, A.A.; Benfenati, E.; Leszczynska, D.; Leszczynski, J. QSAR model as a random event: A case of rat toxicity. Bioorganic. Med. Chem. 2015, 23, 1223–1230. [Google Scholar] [CrossRef]
- CORAL Software. Available online: https://www.insilico.eu/coral (accessed on 30 November 2025).
- Toropov, A.A.; Toropova, A.P. The index of ideality of correlation: A criterion of predictive potential of QSPR/QSAR models? Mutat. Res. Genet. Toxicol. Environ. Mutagen. 2017, 819, 31–37. [Google Scholar] [CrossRef] [PubMed]
- Toropova, A.P.; Toropov, A.A.; Roncaglioni, A.; Benfenati, E. The index of ideality of correlation improves the predictive potential of models of the antioxidant activity of tripeptides from frog skin (Litoria rubella). Comput. Biol. Med. 2021, 133, 104370. [Google Scholar] [CrossRef]
- Roy, K.; Kar, S. The rm2 metrics and regression through origin approach: Reliable and useful validation tools for predictive QSAR models (Commentary on ‘Is regression through origin useful in external validation of QSAR models?’). Eur. J. Pharm. Sci. 2014, 62, 111–114. [Google Scholar] [CrossRef] [PubMed]
- Baas, J.; Augustine, S.; Marques, G.M.; Dorne, J.L. Dynamic energy budget models in ecological risk assessment: From principles to applications. Sci. Total Environ. 2018, 628–629, 249–260. [Google Scholar] [CrossRef]
- Hassan, R.; Baghban, A. Beyond the surface: Quasi-SMILES machine learning approaches for precise estimation of organic sorption. Mater. Today Commun. 2025, 49, 114126. [Google Scholar] [CrossRef]
- He, Y.; Liu, F.; Min, W.; Liu, G.; Wu, Y.; Wang, Y.; Yan, X.; Yan, B. De novo design of biocompatible nanomaterials using quasi-SMILES and recurrent neural networks. ACS Appl. Mater. Interfaces 2024, 16, 66367–66376. [Google Scholar] [CrossRef]
- Hamidi, E.; Hossein Fatemi, M.; Jafari, K. Thermal conductivity of carbon-based nanofluids; a theoretical modeling using nano-quantitative structure–property relationships. Chem. Phys. Lett. 2024, 846, 141344. [Google Scholar] [CrossRef]
- Azimi, A.; Ahmadi, S.; Jebeli Javan, M.J.; Rouhani, M.; Mirjafary, Z. QSAR models for the ozonation of diverse volatile organic compounds at different temperatures. RSC Adv. 2024, 14, 8041–8052. [Google Scholar] [CrossRef]
- Cheng, K.; Pan, Y.; Yuan, B. Cytotoxicity prediction of nano metal oxides on different lung cells via Nano-QSAR. Environ. Pollut. 2024, 344, 123405. [Google Scholar] [CrossRef]
- Pang, Y.; Li, R.; Zhang, Z.; Ying, J.; Li, M.; Li, F.; Zhang, T. Based on the Nano-QSAR model: Prediction of factors influencing damage to C. elegans caused by metal oxide nanomaterials and validation of toxic effects. Nano Today 2023, 52, 101967. [Google Scholar] [CrossRef]
- Kumar, P.; Kumar, A.; Sindhu, J.; Lal, S. Quasi-SMILES as a basis for the development of QSPR models to predict the CO2 capture capacity of deep eutectic solvents using correlation intensity index and consensus modelling. Fuel 2023, 345, 128237. [Google Scholar] [CrossRef]
- Ahmadi, S.; Ketabi, S.; Qomi, M. CO2 uptake prediction of metal-organic frameworks using quasi-SMILES and Monte Carlo optimization. New J. Chem. 2022, 46, 8827–8837. [Google Scholar] [CrossRef]
- Ahmadi, S.; Aghabeygi, S.; Farahmandjou, M.; Azimi, N. The predictive model for band gap prediction of metal oxide nanoparticles based on quasi-SMILES. Struct. Chem. 2021, 32, 1893–1905. [Google Scholar] [CrossRef]
- Jafari, K.; Fatemi, M.H. Application of nano-quantitative structure–property relationship paradigm to develop predictive models for thermal conductivity of metal oxide-based ethylene glycol nanofluids. J. Therm. Anal. Calorim. 2020, 142, 1335–1344. [Google Scholar] [CrossRef]
- Jafari, K.; Fatemi, M.H. A new approach to model isobaric heat capacity and density of some nitride-based nanofluids using Monte Carlo method. Adv. Powder Technol. 2020, 31, 3018–3027. [Google Scholar] [CrossRef]
- Ahmadi, S. Mathematical modeling of cytotoxicity of metal oxide nanoparticles using the index of ideality correlation criteria. Chemosphere 2020, 242, 125192. [Google Scholar] [CrossRef]
- Choi, J.-S.; Trinh, T.X.; Yoon, T.-H.; Kim, J.; Byun, H.-G. Quasi-QSAR for predicting the cell viability of human lung and skin cells exposed to different metal oxide nanomaterials. Chemosphere 2019, 217, 243–249. [Google Scholar] [CrossRef]
- Trinh, T.X.; Choi, J.-S.; Jeon, H.; Byun, H.-G.; Yoon, T.-H.; Kim, J. Quasi-SMILES-based nano-Quantitative Structure-Activity Relationship model to predict the cytotoxicity of multiwalled carbon nanotubes to human lung cells. Chem. Res. Toxicol. 2018, 31, 183–190. [Google Scholar] [CrossRef]
- Bhawna, B.; Kumar, S.; Kumar, P.; Kumar, A. Correlation intensity index-index of ideality of correlation: A hyphenated target function for furtherance of MAO-B inhibitory activity assessment. Comput. Biol. Chem. 2024, 108, 107975. [Google Scholar] [CrossRef] [PubMed]
- Goyal, S.; Rani, P.; Chahar, M.; Hussain, K.; Kumar, P.; Sindhu, J. Quantitative structure activity relationship studies of androgen receptor binding affinity of endocrine disruptor chemicals with index of ideality of correlation, their molecular docking, molecular dynamics and ADME studies. J. Biomol. Struct. Dyn. 2023, 41, 13616–13631. [Google Scholar] [CrossRef] [PubMed]
- Kumar, A.; Kumar, P.; Singh, D. QSRR modelling for the investigation of gas chromatography retention indices of flavour and fragrance compounds on Carbowax 20 M glass capillary column with the index of ideality of correlation and the consensus modelling. Chemometr. Intell. Lab. Syst. 2022, 224, 104552. [Google Scholar] [CrossRef]
- Ahmadi, S.; Lotfi, S.; Kumar, P. Quantitative structure–toxicity relationship models for predication of toxicity of ionic liquids toward leukemia rat cell line IPC-81 based on index of ideality of correlation. Toxicol. Mech. Methods 2022, 32, 302–312. [Google Scholar] [CrossRef]
- Duhan, M.; Sindhu, J.; Kumar, P.; Devi, M.; Singh, R.; Kumar, R.; Lal, S.; Kumar, A.; Kumar, S.; Hussain, K. Quantitative structure activity relationship studies of novel hydrazone derivatives as α-amylase inhibitors with index of ideality of correlation. J. Biomol. Struct. Dyn. 2022, 40, 4933–4953. [Google Scholar] [CrossRef]
- Kumar, A.; Kumar, P. Cytotoxicity of quantum dots: Use of quasi SMILES in development of reliable models with index of ideality of correlation and the consensus modelling. J. Hazard. Mater. 2021, 402, 123777. [Google Scholar] [CrossRef] [PubMed]
- Kumar, P.; Kumar, A. Unswerving modeling of hepatotoxicity of cadmium containing quantum dots using amalgamation of quasi SMILES, index of ideality of correlation, and consensus modeling. Nanotoxicology 2021, 15, 1199–1214. [Google Scholar] [CrossRef]
- Kumar, A.; Kumar, P. Prediction of power conversion efficiency of phenothiazine-based dye-sensitized solar cells using Monte Carlo method with index of ideality of correlation. SAR QSAR Environ. Res. 2021, 32, 817–834. [Google Scholar] [CrossRef]
- Ghiasi, T.; Ahmadi, S.; Ahmadi, E.; Talei Bavil Olyai, M.R.; Khodadadi, Z. The index of ideality of correlation: QSAR studies of hepatitis C virus NS3/4A protease inhibitors using SMILES descriptors. SAR QSAR Environ. Res. 2021, 32, 495–520. [Google Scholar] [CrossRef]
- Kumar, A.; Sindhu, J.; Kumar, P. In-silico identification of fingerprint of pyrazolyl sulfonamide responsible for inhibition of N-myristoyltransferase using Monte Carlo method with index of ideality of correlation. J. Biomol. Struct. Dyn. 2021, 39, 5014–5025. [Google Scholar] [CrossRef]
- Kumar, A.; Kumar, P. Quantitative structure toxicity analysis of ionic liquids toward acetylcholinesterase enzyme using novel QSTR models with index of ideality of correlation and correlation contradiction index. J. Mol. Liq. 2020, 318, 114055. [Google Scholar] [CrossRef]
- Javidfar, M.; Ahmadi, S. QSAR modelling of larvicidal phytocompounds against Aedes aegypti using index of ideality of correlation. SAR QSAR Environ. Res. 2020, 31, 717–739. [Google Scholar] [CrossRef] [PubMed]
- Kumar, P.; Kumar, A. In silico enhancement of azo dye adsorption affinity for cellulose fibre through mechanistic interpretation under guidance of QSPR models using Monte Carlo method with index of ideality correlation. SAR QSAR Environ. Res. 2020, 31, 697–715. [Google Scholar] [CrossRef]
- Kumar, A.; Kumar, P. Construction of pioneering quantitative structure activity relationship screening models for abuse potential of designer drugs using index of ideality of correlation in Monte Carlo optimization. Arch. Toxicol. 2020, 94, 3069–3086. [Google Scholar] [CrossRef]
- Kumar, P.; Kumar, A. Nucleobase sequence based building up of reliable QSAR models with the index of ideality correlation using Monte Carlo method. J. Biomol. Struct. Dyn. 2020, 38, 3296–3306. [Google Scholar] [CrossRef]
- Bagri, K.; Kumar, A.; Nimbhal, M.; Kumar, P. Index of ideality of correlation and correlation contradiction index: A confluent perusal on acetylcholinesterase inhibitors. Mol. Simul. 2020, 46, 777–786. [Google Scholar] [CrossRef]
- Kumar, P.; Kumar, A. CORAL: QSAR models of CB1 cannabinoid receptor inhibitors based on local and global SMILES attributes with the index of ideality of correlation and the correlation contradiction index. Chemom. Intell. Lab. Syst. 2020, 200, 103982. [Google Scholar] [CrossRef]
- Nimbhal, M.; Bagri, K.; Kumar, P.; Kumar, A. The index of ideality of correlation: A statistical yardstick for better QSAR modeling of glucokinase activators. Struct. Chem. 2020, 31, 831–839. [Google Scholar] [CrossRef]
- Kumar, P.; Kumar, A.; Sindhu, J. Design and development of novel focal adhesion kinase (FAK) inhibitors using Monte Carlo method with index of ideality of correlation to validate QSAR. SAR QSAR Environ. Res. 2019, 30, 63–80. [Google Scholar] [CrossRef] [PubMed]




| CODE | COMMENT |
|---|---|
| WT | Persistence in water [days] |
| SS | Persistence in sediment [days] |
| SO | Persistence in soil [days] |
| SP | Species |
| LS | Life stage |
| OB | Observation duration [days] |
| 1 | 2 | 3 | 4 | 5 | |
|---|---|---|---|---|---|
| 1 | 100 | 39.4 * | 34.4 | 44.8 | 36.1 |
| 2 | 40.2 | 100 | 42.9 | 38.7 | 37.3 |
| 3 | 32.5 | 36.5 | 100 | 34.7 | 45.8 |
| 4 | 33.5 | 44.8 | 41.2 | 100 | 38.5 |
| 5 | 45.3 | 42.9 | 35.2 | 37.3 | 100 |
| Target Function | Split | Set * | n | D | CCC | IIC | Q2 | <Rm2> | MAE | F | Na |
|---|---|---|---|---|---|---|---|---|---|---|---|
| TF0 | 1 | A | 97 | 0.6157 | 0.7621 | 0.7376 | 0.5987 | 0.848 | 152 | ||
| P | 94 | 0.6157 | 0.7732 | 0.7058 | 0.6000 | 0.728 | 147 | ||||
| C | 97 | 0.8028 | 0.8949 | 0.7521 | 0.7946 | 0.7564 | 0.552 | 387 | |||
| V | 94 | 0.8570 | - | - | - | - | 0.51 | - | 100 | ||
| 2 | A | 96 | 0.6629 | 0.7973 | 0.8142 | 0.6502 | 0.770 | 185 | |||
| P | 96 | 0.6659 | 0.7941 | 0.7818 | 0.6501 | 0.777 | 187 | ||||
| C | 95 | 0.7192 | 0.8471 | 0.8106 | 0.7096 | 0.6700 | 0.655 | 238 | |||
| V | 95 | 0.7725 | - | - | - | - | 0.56 | - | 96 | ||
| 3 | A | 95 | 0.6607 | 0.7957 | 0.6172 | 0.6451 | 0.762 | 181 | |||
| P | 96 | 0.6548 | 0.7969 | 0.7190 | 0.6415 | 0.720 | 178 | ||||
| C | 94 | 0.8728 | 0.9226 | 0.6259 | 0.8677 | 0.8498 | 0.569 | 631 | |||
| V | 97 | 0.8096 | - | - | - | - | 0.61 | - | 101 | ||
| 4 | A | 95 | 0.6993 | 0.8230 | 0.7526 | 0.6887 | 0.698 | 216 | |||
| P | 95 | 0.7285 | 0.8134 | 0.5765 | 0.7169 | 0.846 | 249 | ||||
| C | 95 | 0.6479 | 0.7966 | 0.7356 | 0.6350 | 0.5732 | 0.815 | 171 | |||
| V | 97 | 0.6871 | - | - | - | - | 0.77 | - | 99 | ||
| 5 | A | 97 | 0.7316 | 0.8450 | 0.8040 | 0.7180 | 0.609 | 259 | |||
| P | 94 | 0.7313 | 0.8487 | 0.7829 | 0.7196 | 0.662 | 250 | ||||
| C | 95 | 0.7106 | 0.8343 | 0.7874 | 0.6977 | 0.6425 | 0.731 | 228 | |||
| V | 96 | 0.6644 | - | - | - | - | 0.77 | - | 100 | ||
| TF1 | 1 | A | 97 | 0.4855 | 0.6537 | 0.4890 | 0.4603 | 1.01 | 90 | ||
| P | 94 | 0.4798 | 0.6635 | 0.5363 | 0.4566 | 0.932 | 85 | ||||
| C | 97 | 0.9102 | 0.9491 | 0.9537 | 0.9069 | 0.8380 | 0.383 | 963 | |||
| V | 94 | 0.9405 | - | - | - | - | 0.32 | - | 100 | ||
| 2 | A | 96 | 0.5303 | 0.6930 | 0.5908 | 0.5127 | 0.957 | 106 | |||
| P | 96 | 0.5274 | 0.7047 | 0.5737 | 0.5042 | 0.959 | 105 | ||||
| C | 95 | 0.8832 | 0.9344 | 0.9394 | 0.8792 | 0.8589 | 0.416 | 703 | |||
| V | 95 | 0.9025 | - | - | - | - | 0.35 | - | 96 | ||
| 3 | A | 95 | 0.5090 | 0.6746 | 0.4756 | 0.4842 | 0.949 | 96 | |||
| P | 96 | 0.4869 | 0.6608 | 0.4876 | 0.4665 | 0.981 | 89 | ||||
| C | 94 | 0.8452 | 0.9064 | 0.9193 | 0.8392 | 0.7715 | 0.509 | 502 | |||
| V | 97 | 0.8335 | - | - | - | - | 0.46 | - | 101 | ||
| 4 | A | 95 | 0.5211 | 0.6851 | 0.6228 | 0.5015 | 0.975 | 101 | |||
| P | 95 | 0.6771 | 0.7500 | 0.4740 | 0.6627 | 0.920 | 195 | ||||
| C | 95 | 0.8356 | 0.9102 | 0.9139 | 0.8294 | 0.7929 | 0.487 | 473 | |||
| V | 97 | 0.8177 | - | - | - | - | 0.48 | - | 99 | ||
| 5 | A | 97 | 0.5875 | 0.7402 | 0.6363 | 0.5670 | 0.864 | 135 | |||
| P | 94 | 0.5875 | 0.7530 | 0.7039 | 0.5690 | 0.903 | 131 | ||||
| C | 95 | 0.8492 | 0.9171 | 0.9182 | 0.8423 | 0.7722 | 0.488 | 524 | |||
| V | 96 | 0.8507 | - | - | - | - | 0.50 | - | 100 |
| TF0 | TF1 | |
|---|---|---|
| Calibration set | 0.75 (0.65–0.87) | 0.86 (0.84–0.91) |
| Validation set | 0.76 (0.66–0.86) | 0.87 (0.82–0.94) |
| Subgroup | N | R2 | RMSE |
|---|---|---|---|
| Apis spp. | 175 | 0.91 | 0.46 |
| Bombus terrestris spp. | 9 | 0.97 | 0.25 |
| Megachile rotundata | - | - | - |
| Osmia spp. | 7 | 0.92 | 0.36 |
| Adults | 123 | 0.94 | 0.43 |
| Larvae | 68 | 0.84 | 0.47 |
| Acute | 143 | 0.93 | 0.44 |
| Subchronic | 45 | 0.70 | 0.46 |
| Chronic | 2 | 0.78 | 0.23 |
| Attribute of Quasi-SMILES | CWs * Run 1 | CWs Run 2 | CWs Run 3 | CWs Run 4 | CWs Run 5 | NA | NP | NC | Sk |
|---|---|---|---|---|---|---|---|---|---|
| C...(....... | 0.0779 | 0.2255 | 0.1014 | 0.0347 | 0.1229 | 91 | 89 | 93 | 0.0002 |
| c...c....... | 0.0766 | 0.0026 | 0.0844 | 0.3675 | 0.2334 | 78 | 68 | 77 | 0.0007 |
| Cl..(....... | 0.1406 | 0.2713 | 0.2941 | 0.2074 | 0.4830 | 58 | 55 | 51 | 0.0009 |
| N...(....... | 0.1919 | 0.0678 | 0.2758 | 0.1823 | 0.2387 | 56 | 58 | 61 | 0.0006 |
| =...(....... | 0.5996 | 0.6721 | 0.4614 | 0.1333 | 0.5304 | 55 | 52 | 59 | 0.0007 |
| n...c....... | 0.3686 | 0.1722 | 0.3637 | 0.2684 | 0.6192 | 46 | 40 | 45 | 0.0007 |
| N...C....... | 0.7570 | 0.9766 | 0.9795 | 0.6388 | 0.7433 | 42 | 38 | 43 | 0.0006 |
| c...C....... | 1.4670 | 1.9743 | 1.8103 | 1.3863 | 2.0857 | 32 | 29 | 28 | 0.0009 |
| c...O....... | 0.2966 | 0.3994 | 0.6405 | 0.1038 | 0.4649 | 24 | 16 | 20 | 0.0026 |
| 1........... | −0.1586 | −0.3426 | −0.3408 | −0.3667 | −0.1228 | 95 | 83 | 89 | 0.0007 |
| 1...(....... | −0.2410 | −0.4791 | −0.4058 | −0.2481 | −0.1908 | 49 | 38 | 42 | 0.0016 |
| C...C....... | −0.3833 | −0.1924 | −0.2086 | −0.2670 | −0.3992 | 45 | 47 | 49 | 0.0006 |
| S...(....... | −0.1742 | −0.2165 | −0.1575 | −0.2682 | −0.4748 | 14 | 22 | 23 | 0.0031 |
| Number of Compounds in Validation Set | Determination Coefficient | Root Mean Squared Error | Reference |
|---|---|---|---|
| 28 | 0.75 | 0.68 | [29] |
| 94 | 0.94 | 0.43 | Best model in this work |
Disclaimer/Publisher’s Note: The statements, opinions and data contained in all publications are solely those of the individual author(s) and contributor(s) and not of MDPI and/or the editor(s). MDPI and/or the editor(s) disclaim responsibility for any injury to people or property resulting from any ideas, methods, instructions or products referred to in the content. |
© 2026 by the authors. Licensee MDPI, Basel, Switzerland. This article is an open access article distributed under the terms and conditions of the Creative Commons Attribution (CC BY) license.
Share and Cite
Toropova, A.P.; Toropov, A.A.; Mescieri, S.; Roncaglioni, A.; Benfenati, E. Simulation of the Impact of Pesticides on Pollinators Under Different Conditions Using Correlation Weighting of Quasi-SMILES Components Together with the Index of Ideality of Correlation (IIC). J. Xenobiot. 2026, 16, 10. https://doi.org/10.3390/jox16010010
Toropova AP, Toropov AA, Mescieri S, Roncaglioni A, Benfenati E. Simulation of the Impact of Pesticides on Pollinators Under Different Conditions Using Correlation Weighting of Quasi-SMILES Components Together with the Index of Ideality of Correlation (IIC). Journal of Xenobiotics. 2026; 16(1):10. https://doi.org/10.3390/jox16010010
Chicago/Turabian StyleToropova, Alla P., Andrey A. Toropov, Sofia Mescieri, Alessandra Roncaglioni, and Emilio Benfenati. 2026. "Simulation of the Impact of Pesticides on Pollinators Under Different Conditions Using Correlation Weighting of Quasi-SMILES Components Together with the Index of Ideality of Correlation (IIC)" Journal of Xenobiotics 16, no. 1: 10. https://doi.org/10.3390/jox16010010
APA StyleToropova, A. P., Toropov, A. A., Mescieri, S., Roncaglioni, A., & Benfenati, E. (2026). Simulation of the Impact of Pesticides on Pollinators Under Different Conditions Using Correlation Weighting of Quasi-SMILES Components Together with the Index of Ideality of Correlation (IIC). Journal of Xenobiotics, 16(1), 10. https://doi.org/10.3390/jox16010010

