Sustainable Biochar–Alumina Composites for Electroanalytical Sensing of Herbicide and Antibiotic
Abstract
1. Introduction
2. Materials and Methods
3. Results
3.1. Characterization
3.1.1. SEM
3.1.2. N2 Adsorption Isotherm
3.1.3. XRD
3.2. Electrochemical Characterization
3.3. Electroanalytical Properties
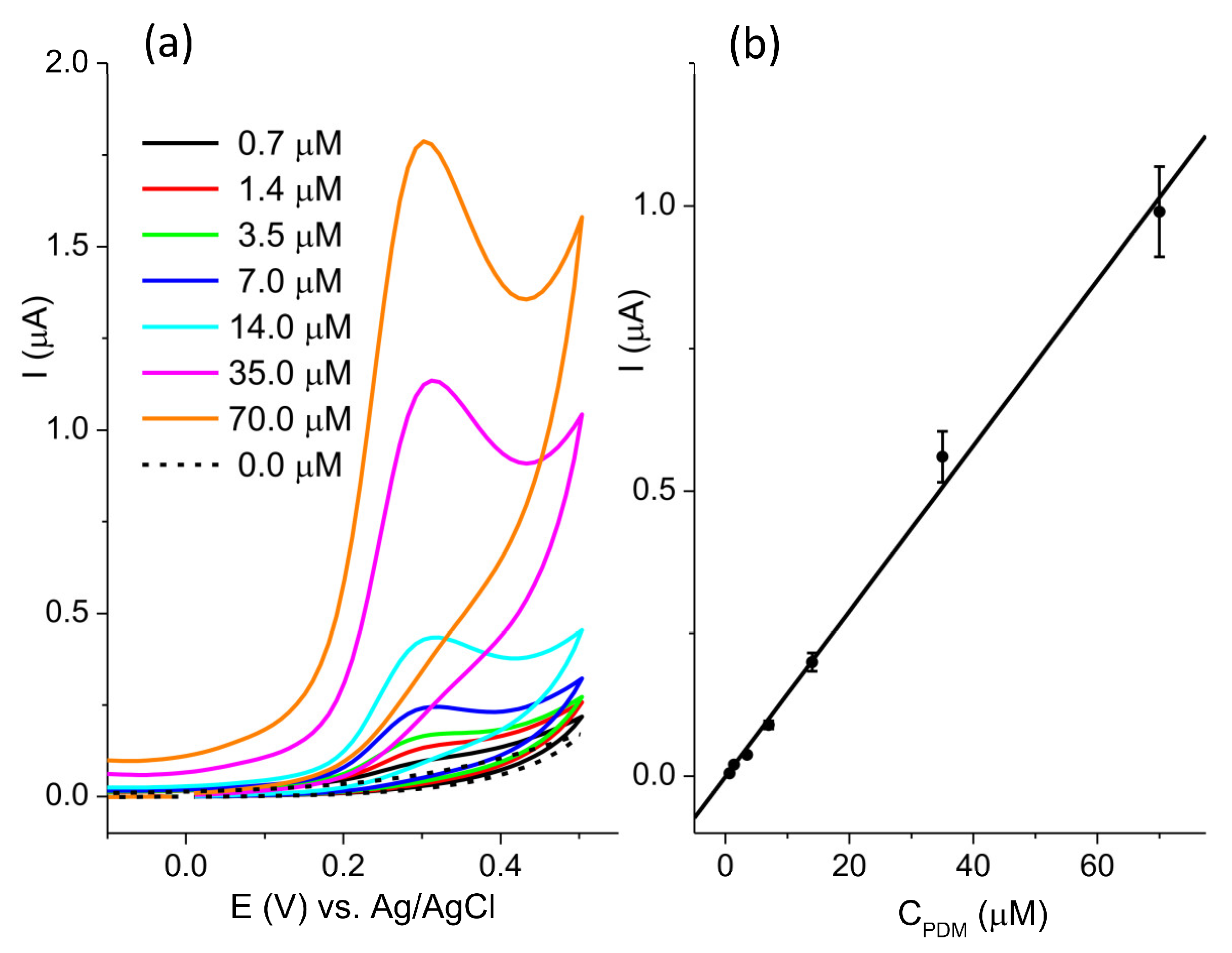
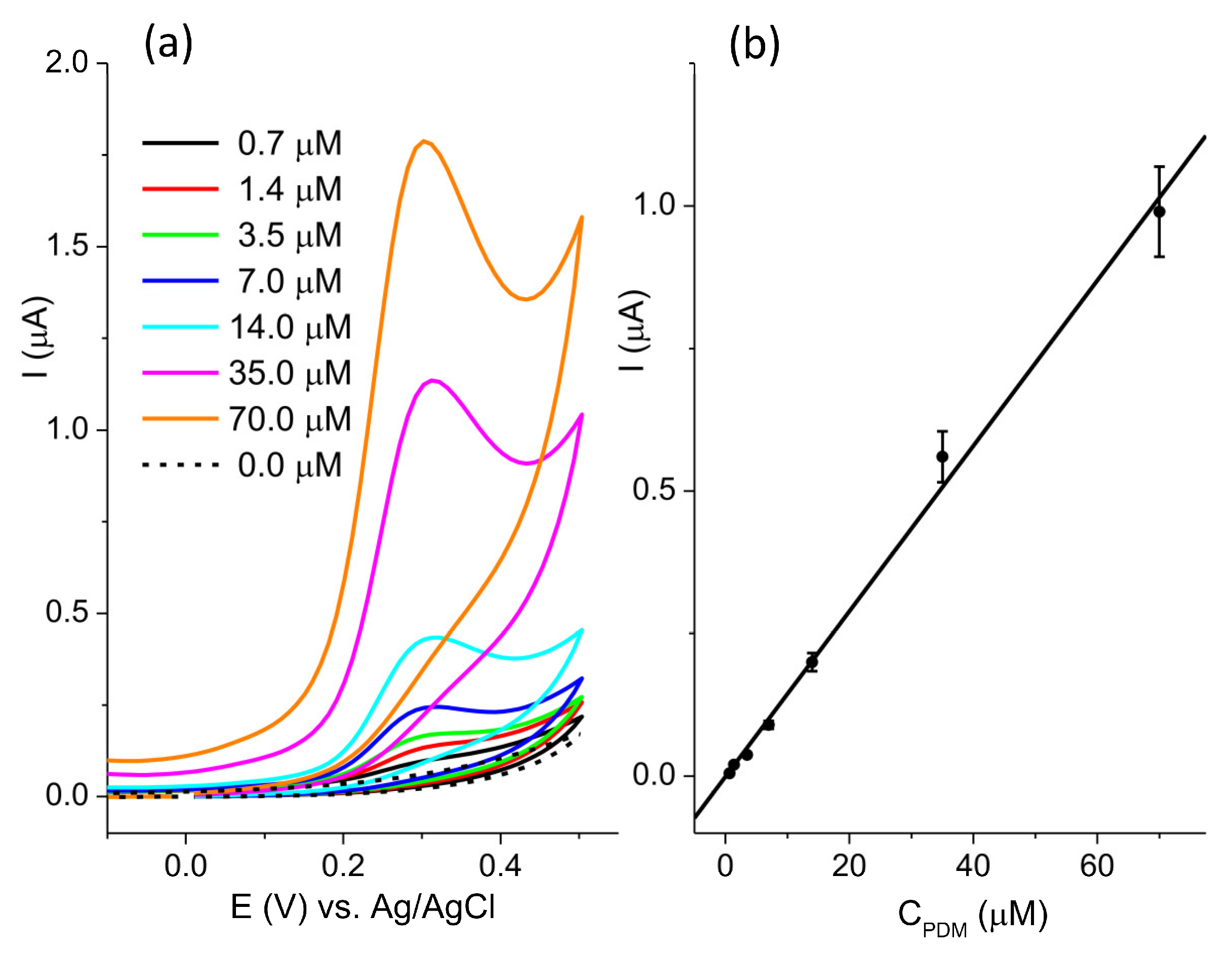
3.3.1. Response of the Biochar–Alumina Composite Electrodes Toward Pendimethalin
3.3.2. Response the Biochar–Alumina Composite Electrodes Toward Ciprofloxacin
4. Conclusions
Supplementary Materials
Author Contributions
Funding
Institutional Review Board Statement
Informed Consent Statement
Data Availability Statement
Conflicts of Interest
Abbreviations
| SEM | Scanning electron microscopy |
| XRD | X-ray diffraction |
| LOD | Limit of detection |
| PDM | Pendimethalin |
| CIP | Ciprofloxacin |
| CV | Cyclic voltammetry |
| BR buffer | Britton–Robinson buffer |
| SWV | Square wave voltammetry |
| BJH | Barrett–Joyner–Halenda method |
References
- Strandberg, M.; Scott-Fordsmand, J.J. Effects of pendimethalin at lower trophic levels—A review. Ecotoxicol. Environ. Saf. 2004, 57, 190–201. [Google Scholar] [CrossRef]
- Alavanja, M.C.; Bonner, M.R. Occupational pesticide exposures and cancer risk: A review. J. Toxicol. Environ. Health B Crit. Rev. 2012, 15, 238–263. [Google Scholar] [CrossRef]
- Adane, W.D.; Chandravanshi, B.S.; Tessema, M. A simple, ultrasensitive and cost-effective electrochemical sensor for the determination of ciprofloxacin in various types of sample. Sens. Bio-Sens. Res. 2023, 39, 100547. [Google Scholar] [CrossRef]
- Gissawong, N.; Srijaranai, S.; Boonchiangma, S.; Uppachai, P.; Seehamart, K.; Jantrasee, S.; Moore, E.; Mukdasai, S. An electrochemical sensor for voltammetric detection of ciprofloxacin using a glassy carbon electrode modified with activated carbon, gold nanoparticles and supramolecular solvent. Mikrochim. Acta 2021, 188, 208. [Google Scholar] [CrossRef]
- Pauletto, M.; De Liguoro, M. A Review on Fluoroquinolones’ Toxicity to Freshwater Organisms and a Risk Assessment. J. Xenobiot. 2024, 14, 717–752. [Google Scholar] [CrossRef] [PubMed]
- Enyoh, C.E.; Maduka, T.O.; Suzuki, M.; Lu, S.; Wang, Q. Thermoanalytical and Kinetic Studies for the Thermal Stability of Emerging Pharmaceutical Pollutants Under Different Heating Rates. J. Xenobiot. 2024, 14, 1784–1806. [Google Scholar] [CrossRef]
- Kelly, K.R.; Brooks, B.W. Chapter Three—Global Aquatic Hazard Assessment of Ciprofloxacin: Exceedances of Antibiotic Resistance Development and Ecotoxicological Thresholds. In Progress in Molecular Biology and Translational Science; Teplow, D.B., Ed.; Academic Press: Amsterdam, The Netherlands, 2018; Volume 159, pp. 59–77. [Google Scholar] [CrossRef]
- Chopra, I.; Chauhan, R.; Kumari, B. Persistence of Pendimethalin in/on Wheat, Straw, Soil and Water. Bull. Environ. Contam. Toxicol. 2015, 95, 694–699. [Google Scholar] [CrossRef] [PubMed]
- Boluda, R.; Alejos-Campo, A.; Fernández-Gómez, E.; Gamón, M.; Roca-Pérez, L.; Andreu-Sánchez, O. A Comparison of the QUECHERSER Mega-Method for Pesticide Determination in Loamy-Clayed Soil and the Effect of Organic Amendments on Pendimethalin, Oxyfluorfen, and Trifloxystrobin Soil Persistence. J. Xenobiot. 2025, 15, 98. [Google Scholar] [CrossRef]
- Baranwal, J.; Barse, B.; Gatto, G.; Broncova, G.; Kumar, A. Electrochemical Sensors and Their Applications: A Review. Chemosensors 2022, 10, 363. [Google Scholar] [CrossRef]
- Yence, M.; Cetinkaya, A.; Kaya, S.I.; Ozcelikay, G.; Ozkan, S.A. Prospects of Electrochemical Sensors for Sustainable Future. In Recent Developments in Green Electrochemical Sensors: Design, Performance, and Applications; Manjunatha, J.G., Hussain, C.M., Eds.; American Chemical Society: Washington, DC, USA, 2023; Volume 1437, pp. 411–439. [Google Scholar] [CrossRef]
- Stevanović, G.; Parlić, J.; Ajduković, M.; Jović-Jovičić, N.; Radonjić, V.; Mojović, Z. Toward Green Substitutes: Electrochemical Properties of Conductive Inks Containing Biochar. Sustain. Chem. 2025, 6, 21. [Google Scholar] [CrossRef]
- Zheng, A.L.T.; Lih, E.T.Y.; Hung, Y.P.; Boonyuen, S.; Al Edrus, S.S.O.; Chung, E.L.T.; Andou, Y. Biochar-based electrochemical sensors: A tailored approach to environmental monitoring. Analy. Sci. 2025, 41, 715–735. [Google Scholar] [CrossRef] [PubMed]
- Thirumalraj, B.; Palanisamy, S.; Chen, S.M.; Thangavelu, K.; Periakaruppan, P.; Liu, X.H. A simple electrochemical platform for detection of nitrobenzene in water samples using an alumina polished glassy carbon electrode. J. Colloid Interf. Sci. 2016, 475, 154–160. [Google Scholar] [CrossRef]
- Lima, A.P.; Souza, R.C.; Silva, M.N.T.; Gonçalves, R.F.; Nossol, E.; Richter, E.M.; Lima, R.C.; Munoz, R.A.A. Influence of Al2O3 nanoparticles structure immobilized upon glassy-carbon electrode on the electrocatalytic oxidation of phenolic compounds. Sensor Actuat. B-Chem. 2018, 262, 646–654. [Google Scholar] [CrossRef]
- Novaković, T.; Barudžija, T.; Čomor, M.; Banković, P.; Mojović, Z. Electrochemical behavior of different types of alumina. J. Electroanal. Chem. 2021, 895, 115542. [Google Scholar] [CrossRef]
- Torri, C.; Reinikainen, M.; Lindfors, C.; Fabbri, D.; Oasmaa, A.; Kuoppala, E. Investigation on catalytic pyrolysis of pine sawdust: Catalyst screening by Py-GC-MIP-AED. J. Anal. Appl. Pyrolysis 2010, 88, 7–13. [Google Scholar] [CrossRef]
- Mishra, R.K.; Mohanty, K. Pyrolysis of low-value waste sawdust over low-cost catalysts: Physicochemical characterization of pyrolytic oil and value-added biochar. Biofuel Res. J. 2022, 36, 1736–1749. [Google Scholar] [CrossRef]
- Ulusal, A.; Apaydın Varol, E.; Bruckman, V.J.; Uzun, B.B. Opportunity for sustainable biomass valorization to produce biochar for improving soil characteristics. Biomass Convers. Biorefin. 2021, 11, 1041–1051. [Google Scholar] [CrossRef]
- Sing, K.S.W.; Everett, D.H.; Haul, R.A.W.; Moscou, L.; Pierotti, R.A.; Rouquerol, J.; Siemieniewska, T. Reporting physisorption data for gas/solid systems with special reference to the determination of surface area and porosity. Pure Appl. Chem. 1985, 57, 603–619. [Google Scholar] [CrossRef]
- Serdar, B.; Demiray, H. Calcium oxalate crystal types in three oak species (Quercus L.) in Turkey. Turk. J. Bio. 2012, 36, 386–393. [Google Scholar] [CrossRef]
- Brownson, D.A.C.; Varey, S.A.; Hussain, F.; Haigh, S.J.; Banks, C.E. Electrochemical properties of CVD grown pristine graphene: Monolayer- vs. quasi-graphene. Nanoscale 2014, 6, 1607–1621. [Google Scholar] [CrossRef]
- Davies, T.J.; Hyde, M.E.; Compton, R.G. Nanotrench arrays reveal insight into graphite electrochemistry. Angew. Chemie Int. Ed. 2005, 44, 5121–5126. [Google Scholar] [CrossRef]
- Dai, L.; Lu, Q.; Zhou, H.; Shen, F.; Liu, Z.; Zhu, W.; Huang, H. Tuning oxygenated functional groups on biochar for water pollution control: A critical review. J. Hazard. Mater. 2021, 420, 126547. [Google Scholar] [CrossRef]
- Wang, Q.; Li, W.; Hung, I.; Mentink-Vigier, F.; Wang, X.; Qi, G.; Wang, X.; Gan, Z.; Xu, J.; Deng, F. Mapping the oxygen structure of γ-Al2O3 by high-field solid-state NMR spectroscopy. Nat. Commun. 2020, 11, 3620. [Google Scholar] [CrossRef]
- Lin, Q.; Li, Q.; Batchelor-McAuley, C.; Compton, R.G. Two-Electron, Two-Proton Oxidation of Catechol: Kinetics and Apparent Catalysis. J. Phys. Chem. C 2015, 119, 489–1495. [Google Scholar] [CrossRef]
- Bollella, P.; Melman, A.; Katz, E. Electrochemically Generated Interfacial pH Change:Application to Signal-Triggered Molecule Release. ChemElectroChem 2020, 7, 3386–3403. [Google Scholar] [CrossRef]
- Sadoun, A.M.; Mohammed, M.M.; Elsayed, E.M.; Meselhy, A.F.; El-Kady, O.A. Effect of nano Al2O3 coated Ag addition on the corrosion resistance and electrochemical behavior of Cu-Al2O3 nanocomposites. J. Mater. Res. Technol. 2020, 9, 4485–4493. [Google Scholar] [CrossRef]
- Yang, T.X.; Sun, Z.; Wang, D.; Forsling, W. Surface acid–base properties and hydration/dehydration mechanisms of aluminum (hydr)oxides. J. Colloid Interface Sci. 2007, 308, 395–404. [Google Scholar] [CrossRef]
- Sung, J.; Zhang, L.; Tian, C.; Shen, Y.R.; Waychunas, G.A. Effect of pH on the Water/ γ-Al2O3 (1102) interface structure studied by Sum-Frequency Vibrational Spectroscopy. J. Phys. Chem. C 2011, 115, 13887–13893. [Google Scholar] [CrossRef]
- Eng, A.Y.S.; Ambrosi, A.; Chua, C.K.; Šaněk, F.; Sofer, Z.; Pumera, M. Unusual inherent electrochemistry of graphene oxides prepared using permanganate oxidants. Chem.—A Eur. J. 2013, 19, 12673–12683. [Google Scholar] [CrossRef] [PubMed]
- Kim, Y.S.; Park, C.R. Titration method for the identification of surface functional groups. In Materials Science and Engineering of Carbon; Inagaki, M., Kang, F., Eds.; Butterworth-Heinemann: Oxford, UK, 2016; pp. 273–286. [Google Scholar] [CrossRef]
- Gallia, A.; Caetanod, J.; Homem-de-Melloe, P.; da Silvab, A.B.F.; Ferreirac, A.G.; de Almeida, S.V.; Machado, S.A.S. A mechanistic study of the electrochemical behavior of pendimethalin herbicide. J. Electroanal. Chem. 2018, 826, 157–163. [Google Scholar] [CrossRef]
- de Lima, C.A.; Santana, E.R.; Piovesan, J.V.; Spinelli, A. Silver nanoparticle-modified electrode for the determination of nitro compound-containing pesticides. Anal. Bioanal. Chem. 2016, 408, 2595–2606. [Google Scholar] [CrossRef] [PubMed]
- Karimi-Maleha, H.; Liub, Y.; Lib, Z.; Darabia, R.; Oroojic, Y.; Karaman, C.; Karimi, F.; Baghayeri, M.; Rouhi, J.; Fu, L.; et al. Calf thymus ds-DNA intercalation with pendimethalin herbicide at the surface of ZIF-8/Co/rGO/C3N4/ds-DNA/SPCE; A bio-sensing approach for pendimethalin quantification confirmed by molecular docking study. Chemosphere 2023, 332, 138815. [Google Scholar] [CrossRef]
- Gerent, G.G.; Gonçalves, C.Q.; da Silva, P.S.; Spinelli, A. In situ bismuth-film electrode for square-wave cathodic voltammetric detection of pendimethalin at nanomolar level. Electrochim. Acta 2015, 168, 379–385. [Google Scholar] [CrossRef]
- Koçak, B.; Çelikkan, H. Voltammetric Determination of Pendimethalin with Nafion-Graphene Modified Glassy Carbon Electrode. Karaelmas Sci. Eng. J. 2021, 11, 98–107. [Google Scholar]
- Meireles, L.M.; Silva, R.M.; da Silva, R.C.; Okumura, L.L.; Moreira, R.P.L.; Silva, T.A. Low cost electrochemical sensor for ciprofloxacin antibiotic based on green synthesized silver nanoparticles and carbon black. J. Solid State Electrochem. 2025, 29, 3111–3122. [Google Scholar] [CrossRef]
- Henriques, B.F.; Neumann, A.; Bertolim, L.V.; de Freitas, R.C.; Silva, L.R.G.; Stefano, J.S.; Janegitz, B.C. Development and Application of 3D-Printed Electrochemical Sensors for Ciprofloxacin Detection. Electroanalysis 2025, 37, e12008. [Google Scholar] [CrossRef]
- Hernandez, P.; Aguilar-Lira, G.Y.; Islas, G.; Rodriguez, J.A. Development of a new voltammetric methodology for the deter mination of ciprofloxacin in beef samples using a carbon paste electrode modified with nafion and fullerenes. Electroanalysis 2021, 33, 1539–1546. [Google Scholar] [CrossRef]
- Chuiprasert, J.; Srinives, S.; Boontanon, N.; Polprasert, C.; Ramungul, N.; Karawek, A.; Boontanon, S.K. Ciprofloxacin Electrochemical Sensor Using Copper–Iron Mixed Metal Oxides Nanoparticles/Reduced Graphene Oxide Composite. ACS Omega 2024, 9, 23172–23183. [Google Scholar] [CrossRef] [PubMed]
- Elancheziyan, M.; Lee, S.; Yoon, T.H.; Singh, M.; Lee, D.; Won, K. Disposable electrochemical sensors based on reduced graphene oxide/polyaniline/poly(alizarin red S)-modified integrated carbon electrodes for the detection of ciprofloxacin in milk. Microchim. Acta 2024, 191, 507. [Google Scholar] [CrossRef]
- Rytwo, G.; Gonen, Y.; Afuta, S.; Dultz, S. Interactions of pendimethalin with organo-montmorillonite complexes. Appl. Clay Sci. 2005, 28, 67–77. [Google Scholar] [CrossRef]
- Djioko, F.H.K.; Fotsop, C.G.; Youbi, G.K.; Nwanonenyi, S.C.; Madu, C.A.; Oguzie, E.E. Unraveling the sorption mechanisms of ciprofloxacin on the surface of zeolite 4A (001) in aqueous medium by DFT and MC approaches. Appl. Surf. Sci. Adv. 2024, 19, 100542. [Google Scholar] [CrossRef]









| Sample | SBET (m2g−1) | Average Pore Diameter, BJH (nm) |
|---|---|---|
| BC | 1.5 | 26.3 |
| A | 74.1 | 8.9 |
| T | 276.2 | 2.8 |
| BC-A 2-1 | 31.9 | 9.9 |
| BC-T 2-1 | 5.8 | 24.7 |
| Sample | Initial Added, µM | Spiked, µM | Found, µM | Recovery, % (n = 3) |
|---|---|---|---|---|
| Commercial herbicide | 5 | - | 4.64 | 92.8 |
| 5 | 5 | 9.64 | 96.4 | |
| 5 | 10 | 14.45 | 96.3 | |
| 5 | 15 | 20.68 | 103.4 |
| Sample | Initial Added, µM | Spiked, µM | Found, µM | Recovery, % (n = 3) |
|---|---|---|---|---|
| Eye drops | 5 | - | 4.76 | 95.2 |
| 5 | 5 | 9.76 | 97.6 | |
| 5 | 10 | 14.08 | 93.9 | |
| 5 | 15 | 20.54 | 102.7 |
Disclaimer/Publisher’s Note: The statements, opinions and data contained in all publications are solely those of the individual author(s) and contributor(s) and not of MDPI and/or the editor(s). MDPI and/or the editor(s) disclaim responsibility for any injury to people or property resulting from any ideas, methods, instructions or products referred to in the content. |
© 2025 by the authors. Licensee MDPI, Basel, Switzerland. This article is an open access article distributed under the terms and conditions of the Creative Commons Attribution (CC BY) license (https://creativecommons.org/licenses/by/4.0/).
Share and Cite
Jović-Jovičić, N.; Novaković, T.; Barudžija, T.; Ajduković, M.; Czerwinska, N.; Giosuè, C.; Mojović, Z. Sustainable Biochar–Alumina Composites for Electroanalytical Sensing of Herbicide and Antibiotic. J. Xenobiot. 2025, 15, 191. https://doi.org/10.3390/jox15060191
Jović-Jovičić N, Novaković T, Barudžija T, Ajduković M, Czerwinska N, Giosuè C, Mojović Z. Sustainable Biochar–Alumina Composites for Electroanalytical Sensing of Herbicide and Antibiotic. Journal of Xenobiotics. 2025; 15(6):191. https://doi.org/10.3390/jox15060191
Chicago/Turabian StyleJović-Jovičić, Nataša, Tatjana Novaković, Tanja Barudžija, Marija Ajduković, Natalia Czerwinska, Chiara Giosuè, and Zorica Mojović. 2025. "Sustainable Biochar–Alumina Composites for Electroanalytical Sensing of Herbicide and Antibiotic" Journal of Xenobiotics 15, no. 6: 191. https://doi.org/10.3390/jox15060191
APA StyleJović-Jovičić, N., Novaković, T., Barudžija, T., Ajduković, M., Czerwinska, N., Giosuè, C., & Mojović, Z. (2025). Sustainable Biochar–Alumina Composites for Electroanalytical Sensing of Herbicide and Antibiotic. Journal of Xenobiotics, 15(6), 191. https://doi.org/10.3390/jox15060191

