Insights into Hepatic, Neuronal, and hERG Channel Safety of Plant-Derived Active Compounds
Abstract
1. Introduction
2. Materials and Methods
2.1. Chemicals
2.2. Cell Culture
2.3. Cell Differentiation Assay
2.4. Cell Viability Assay
2.4.1. Hepatocellular Viability Assay
2.4.2. Neuronal Viability Assay
2.4.3. hERG Inhibition Assay by Patch Clamping Electrophysiology
2.5. Statistical Analysis
3. Results
3.1. Effects of ATD, BEU, EPMC, αMG, CUR, and LIG on HepG2 Cells
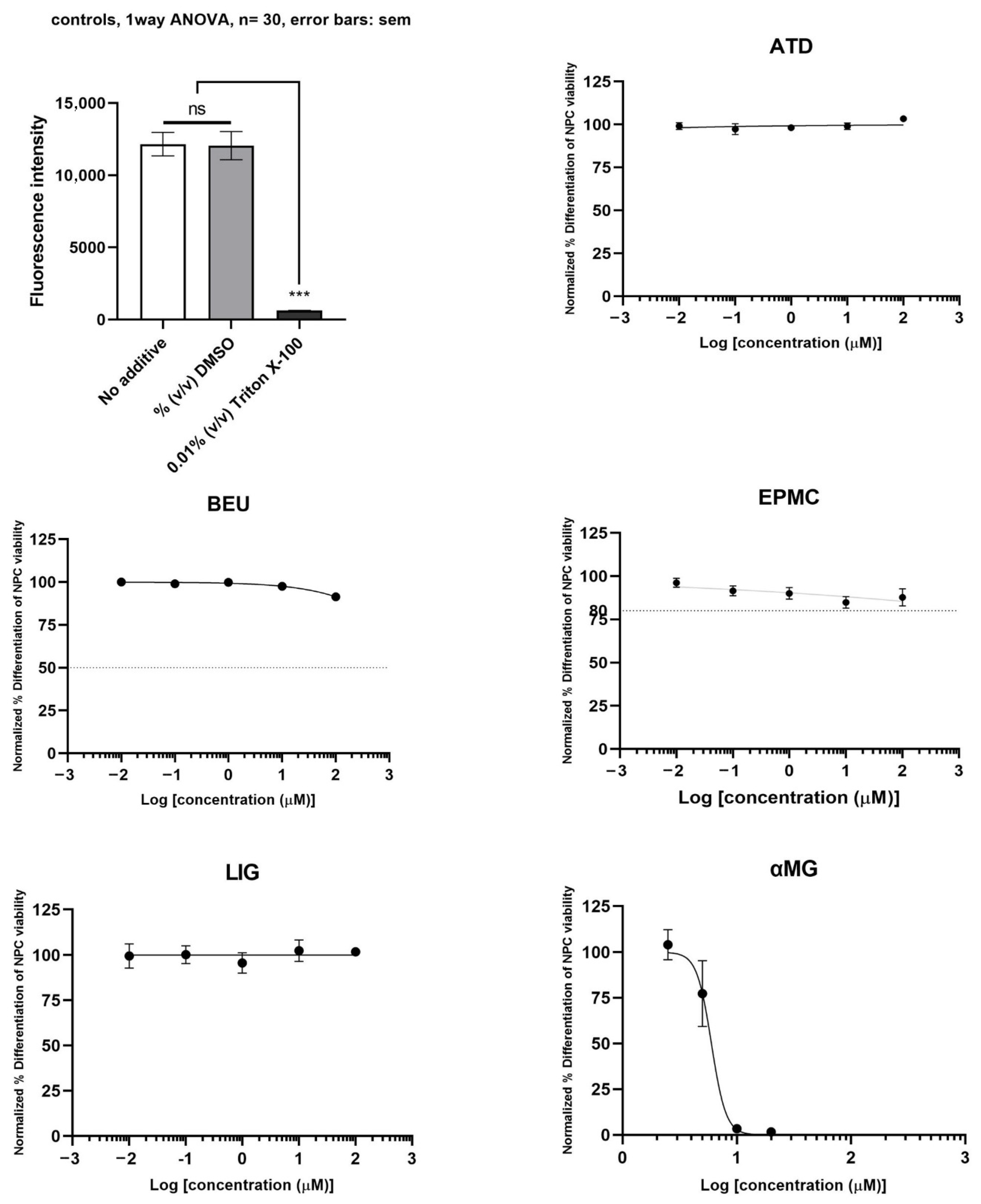
3.2. Effects of ATD, BEU, EPMC, αMG, CUR, and LIG on Neural Progenitor Cells
3.3. Effect of ATD, BEU, EPMC, αMG, CUR, and LIG on Differentiated Neuron Cells
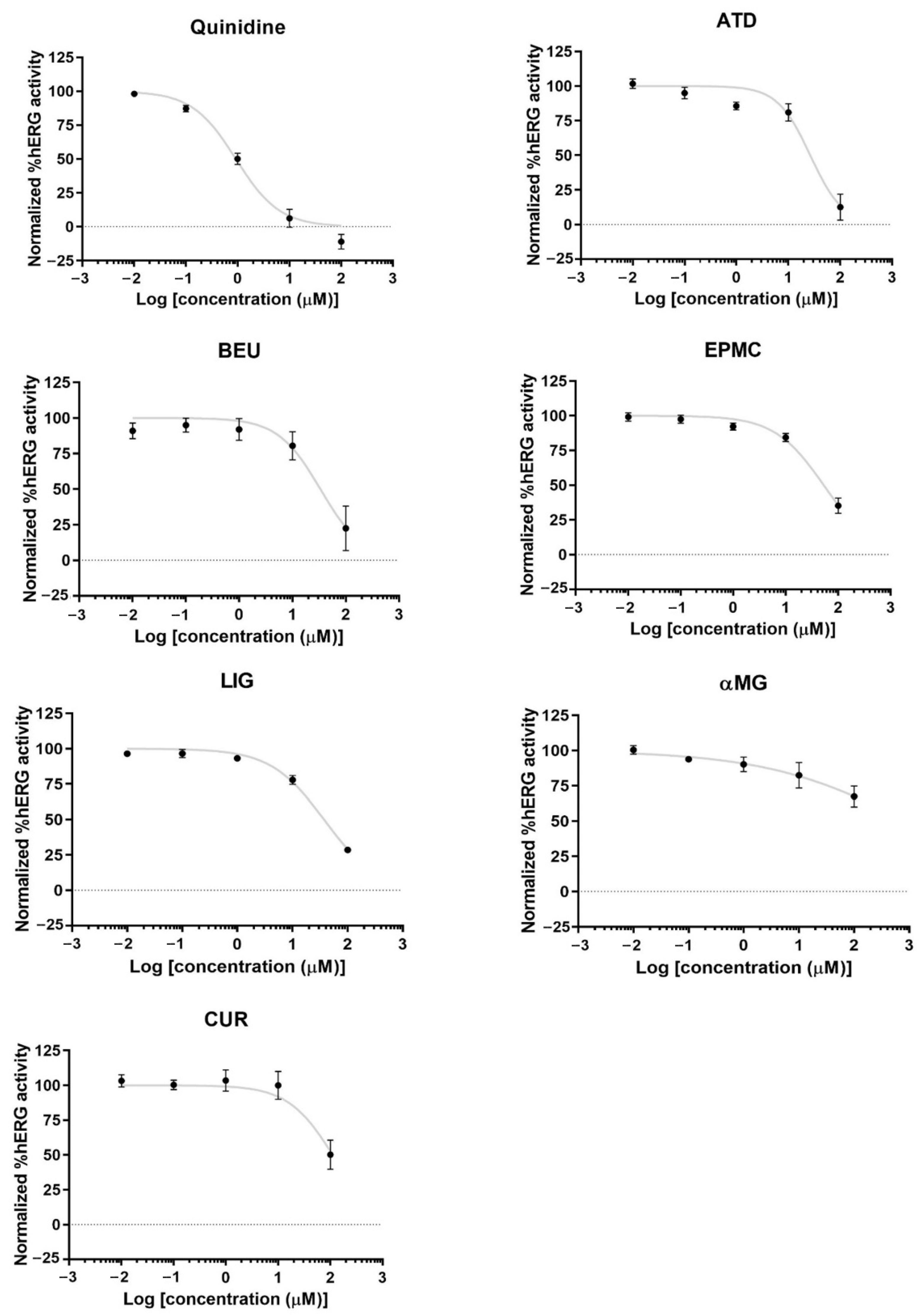
3.4. Effects of ATD, BEU, EPMC, αMG, CUR, and LIG on hERG Activity
4. Discussion
5. Conclusions
Author Contributions
Funding
Institutional Review Board
Informed Consent Statements
Data Availability Statement
Conflicts of Interest
References
- Gonfa, Y.H.; Tessema, F.B.; Bachheti, A.; Rai, N.; Tadesse, M.G.; Singab, A.N.; Chaubey, K.K.; Bachheti, R.K. Anti-Inflammatory Activity of Phytochemicals from Medicinal Plants and Their Nanoparticles: A Review. Curr. Res. Biotechnol. 2023, 6, 100152. [Google Scholar] [CrossRef]
- Shin, S.A.; Joo, B.J.; Lee, J.S.; Ryu, G.; Han, M.; Kim, W.Y.; Park, H.H.; Lee, J.H.; Lee, C.S. Phytochemicals as Anti-Inflammatory Agents in Animal Models of Prevalent Inflammatory Diseases. Molecules 2020, 25, 5932. [Google Scholar] [CrossRef]
- Henning, S.M.; Zhang, Y.; Seeram, N.P.; Lee, R.P.; Wang, P.; Bowerman, S.; Heber, D. Antioxidant Capacity and Phytochemical Content of Herbs and Spices in Dry, Fresh and Blended Herb Paste Form. Int. J. Food Sci. Nutr. 2010, 62, 219–225. [Google Scholar] [CrossRef]
- Angsusing, J.; Singh, S.; Samee, W.; Tadtong, S.; Stokes, L.; O’Connell, M.; Bielecka, H.; Toolmal, N.; Mangmool, S.; Chittasupho, C. Anti-Inflammatory Activities of Yataprasen Thai Traditional Formulary and Its Active Compounds, Beta-Amyrin and Stigmasterol, in RAW264.7 and THP-1 Cells. Pharmaceuticals 2024, 17, 1018. [Google Scholar] [CrossRef]
- Saesiw, U.; Ruangnoo, S.; Itharat, A.; Sriumpai, P. Chemical and Biological Changes under Force Degradation and Acceleration Condition of the Combination of Ha-Rak Remedy, Piper betle, and Garcinia mangostana Extracts for Atopic Dermatitis. Adv. Pharmacol. Pharm. Sci. 2024, 2024, 4297596. [Google Scholar] [CrossRef] [PubMed]
- Na-Bangchang, K.; Plengsuriyakarn, T.; Karbwang, J. The Role of Herbal Medicine in Cholangiocarcinoma Control: A Systematic Review. Planta Med. 2023, 89, 3–18. [Google Scholar] [CrossRef] [PubMed]
- Sukkasem, K.; Itharat, A.; Thisayakorn, K.; Tangsuphoom, N.; Panthong, S.; Makchuchit, S.; Inprasit, J.; Prommee, N.; Khoenok, W.; Sriyam, K.; et al. Exploring In Vitro and In Vivo Anti-Inflammatory Activities of the Thai Traditional Remedy Kheaw-Hom and Its Bioactive Compound, Ethyl p-Methoxycinnamate, and Ethnopharmacological Analysis. J. Ethnopharmacol. 2024, 319, 117131. [Google Scholar] [CrossRef]
- Inprasit, J.; Itharat, A.; Ruangnoo, S.; Thisayakorn, K.; Sukkasem, K.; Prommee, N.; Khoenok, W.; Sriyam, K.; Pahusee, D.; Davies, N.M. Ethnopharmacological Analysis Based on Thai Traditional Medicine Theory and Anti-Inflammatory Activity of Sa-Tri-Lhung-Klod Remedy as a Post-Partum Anti-Inflammatory Drug. J. Ethnopharmacol. 2024, 319, 117207. [Google Scholar] [CrossRef] [PubMed]
- Sadeghi, M.; Dehnavi, S.; Asadirad, A.; Xu, S.; Majeed, M.; Jamialahmadi, T.; Johnston, T.P.; Sahebkar, A. Curcumin and chemokines: Mechanism of action and therapeutic potential in inflammatory diseases. Inflammopharmacology 2023, 31, 1069. [Google Scholar] [CrossRef]
- Kritsanawong, S.; Innajak, S.; Imoto, M.; Watanapokasin, R. Antiproliferative and Apoptosis Induction of α-Mangostin in T47D Breast Cancer Cells. Int. J. Oncol. 2016, 48, 2155–2165. [Google Scholar] [CrossRef]
- Chae, H.S.; You, B.H.; Song, J.; Ko, H.W.; Choi, Y.H.; Chin, Y.W. Mangosteen Extract Prevents Dextran Sulfate Sodium-Induced Colitis in Mice by Suppressing NF-κB Activation and Inflammation. J. Med. Food 2017, 20, 727–733. [Google Scholar] [CrossRef]
- Chen, L.G.; Yang, L.L.; Wang, C.C. Anti-Inflammatory Activity of Mangostins from Garcinia mangostana. Food Chem. Toxicol. 2008, 46, 688–693. [Google Scholar] [CrossRef]
- Herrera-Aco, D.R.; Medina-Campos, O.N.; Pedraza-Chaverri, J.; Sciutto-Conde, E.; Rosas-Salgado, G.; Fragoso-González, G. Alpha-Mangostin: Anti-Inflammatory and Antioxidant Effects on Established Collagen-Induced Arthritis in DBA/1J Mice. Food Chem. Toxicol. 2019, 124, 300–315. [Google Scholar] [CrossRef] [PubMed]
- Jeong, S.I.; Kim, S.Y.; Kim, S.J.; Hwang, B.S.; Kwon, T.H.; Yu, K.Y.; Hang, S.H.; Suzuki, K.; Kim, K.J. Antibacterial Activity of Phytochemicals Isolated from Atractylodes japonica against Methicillin-Resistant Staphylococcus aureus. Molecules 2010, 15, 7395–7402. [Google Scholar] [CrossRef] [PubMed]
- Bomfim, D.S.; Ferraz, R.P.; Carvalho, N.C.; Soares, M.B.; Pinheiro, M.L.; Costa, E.V.; Bezerra, D.P. Eudesmol Isomers Induce Caspase-Mediated Apoptosis in Human Hepatocellular Carcinoma HepG2 Cells. Basic Clin. Pharmacol. Toxicol. 2013, 113, 300–306. [Google Scholar] [CrossRef] [PubMed]
- Wang, G.; Guo, C.; Pi, H.; Wang, Y.; Lin, S.; Bi, K.; Zhang, M.; Wang, N.; Zhao, G. Elucidation of the Anti-Colorectal Cancer Mechanism of Atractylodes lancea by Network Pharmacology and Experimental Verification. Aging 2024, 16, 12008–12028. [Google Scholar] [CrossRef] [PubMed]
- Yao, H.; Cai, C.; Huang, W.; Zhong, C.; Zhao, T.; Di, J.; Tang, J.; Wu, D.; Pang, M.; He, L.; et al. Enhancing mitophagy by ligustilide through BNIP3-LC3 interaction attenuates oxidative stress-induced neuronal apoptosis in spinal cord injury. Int. J. Biol. Sci. 2024, 20, 4382–4406. [Google Scholar] [CrossRef]
- Gintant, G.; Sager, P.T.; Stockbridge, N. Evolution of strategies to improve preclinical cardiac safety testing. Nat. Rev. Drug Discov. 2016, 15, 457–471. [Google Scholar] [CrossRef]
- Na-Bangchang, K.; Teerachaisakul, M.; Muhamad, P.; Kasemnitichok, Y.; Sangnarong, N.; Boonprasert, K.; Tarasuk, M.; Plengsuriyakarn, T. Antiproliferative and Anti-Inflammatory Activities of Deprungsith Formulation and Its Bioactive Compounds against Mild Psoriasis and Potential of Metabolic Herb-Drug Interactions. J. Evid. Based Integr. Med. 2023, 28, 2515690X231191101. [Google Scholar] [CrossRef]
- Jaicharoensub, J.; Panthong, S.; Sakpakdeejaroen, I.; Eiamsitrakoon, T.; Bhanthumkomol, P. Efficacy of Herbal Medicine (Thatbunjob) in the Treatment of Foodborne Illness: A Placebo-Controlled, Randomized Trial. Integr. Med. Res. 2025, 14, 101153. [Google Scholar] [CrossRef]
- Sireeratawong, S.; Khonsung, P.; Piyabhan, P.; Nanna, U.; Soonthornchareonnon, N.; Jaijoy, K. Anti-Inflammatory and Anti-Ulcerogenic Activities of Chantaleela Recipe. Afr. J. Tradit. Complement. Altern. Med. 2012, 9, 485–494. [Google Scholar] [CrossRef]
- Ekarattanawong, O.; Suksabserth, N.; Bunruab, C.; Phamonprapawat, K. Herbal Remedies for the Treatment of Diarrhea: From Basic Science to Clinical Application in Thai Traditional Medicine. J. Med. Health Sci. 2018, 25, 126–138. [Google Scholar]
- Itharat, A.; Makchuchit, S.; Tewtrakul, S. Anti-Inflammatory Activity of Thai Traditional Medicine Preparation Called Prasaprohyai. Planta Med. 2009, 75, PJ55. [Google Scholar] [CrossRef]
- Nittayananta, W.; Srichana, T.; Chuerduangphui, J.; Hitakomate, E.; Netsomboon, K. Formulation of 1% α-Mangostin in Orabase Gel Induces Apoptosis in Oral Squamous Cell Carcinoma. BMC Complement. Med. Ther. 2024, 24, 276. [Google Scholar] [CrossRef] [PubMed]
- Houtmann, S.; Schombert, B.; Sanson, C.; Partiseti, M.; Bohme, G.A. Automated Patch-Clamp Methods for the hERG Cardiac Potassium Channel. Methods Mol. Biol. 2017, 1641, 187–199. [Google Scholar] [CrossRef]
- Donato, R.; Miljan, E.; Hines, S.; Aouabdi, S.; Pollock, K.; Patel, S.; Edwards, F.; Sinden, J. Differential Development of Neuronal Physiological Responsiveness in Two Human Neural Stem Cell Lines. BMC Neurosci. 2017, 8, 36. [Google Scholar] [CrossRef]
- Seo, Y.; Lee, S.; Kim, M.; Kim, D.; Jeong, S.B.; Das, R.; Sultana, A.; Park, S.; Nhiem, N.X.; Huong, L.P.; et al. Discovery of a novel natural compound, vitekwangin B, with ANO1 protein reduction properties and anticancer potential. Front. Pharmacol. 2024, 15, 1382787. [Google Scholar] [CrossRef]
- O’Brien, J.; Wilson, I.; Orton, T.; Pognan, F. Investigation of the Alamar Blue (resazurin) fluorescent dye for the assessment of mammalian cell cytotoxicity. Eur. J. Biochem. 2000, 267, 5421–5426. [Google Scholar] [CrossRef] [PubMed]
- Nakai, Y.; Kido, T.; Hashimoto, K.; Kase, Y.; Sakakibara, I.; Higuchi, M.; Sasaki, H. Effect of the rhizomes of Atractylodes lancea and its constituents on the delay of gastric emptying. J. Ethnopharmacol. 2023, 84, 51–55. [Google Scholar] [CrossRef]
- Na-Bangchang, K.; Plengsuriyakarn, T.; Karbwang, J. Research and Development of Atractylodes lancea (Thunb) DC. as a Promising Candidate for Cholangiocarcinoma Chemotherapeutics. Evid. Based Complement. Alternat. Med. 2017, 2017, 5929234. [Google Scholar] [CrossRef] [PubMed]
- Cheng, Y.; Chen, T.; Yang, X.; Xue, J.; Chen, J. Atractylon Induces Apoptosis and Suppresses Metastasis in Hepatic Cancer Cells and Inhibits Growth In Vivo. Cancer Manag. Res. 2019, 11, 5883–5894. [Google Scholar] [CrossRef]
- Changtong, A.; Khunchai, S.; Sereesantiwong, P.; Wongho, W.; Thepmalee, C.; Panya, A.; Pongcharoen, S.; Horpaopan, S.; Yenchitsomanus, P.T.; Sudsaward, S. Atractylodes lancea Crude Extract Suppresses Triple-Negative Breast Cancer Metastasis via NF-κB Signaling Pathway Inhibition. Asian Pac. J. Cancer Prev. 2025, 26, 3369–3376. [Google Scholar] [CrossRef] [PubMed]
- Acharya, B.; Chaijaroenkul, W.; Na-Bangchang, K. Therapeutic Potential and Pharmacological Activities of β–eudesmol. Chem. Biol. Drug Des. 2021, 97, 984–996. [Google Scholar] [CrossRef]
- Yamamoto, K.; Isogai, Y.; Ishida, T.; Hagihara, K. Enhancement of Ghrelin-Signaling System by Rikkunshi-To Attenuates Teriparatide-Induced Pica in Rats. J. Pharmacol. Sci. 2018, 137, 137–145. [Google Scholar] [CrossRef]
- Rattanathada, T.; Plengsuriyakarn, T.; Asasujarit, R.; Cheoymang, A.; Karbwang, J.; Na-Bangchang, K. Development of oral pharmaceutical formulation of standardized crude ethanolic extract of Atractylodes lancea (Thunb) DC. J. Chin. Pharm. Sci. 2020, 29, 280–293. [Google Scholar] [CrossRef]
- Kitagawa, H.; Munekage, M.; Matsumoto, T.; Sadakane, C.; Fukutake, M.; Aoki, K.; Watanabe, J.; Maemura, K.; Hattori, T.; Kase, Y.; et al. Pharmacokinetic Profiles of Active Ingredients and Their Metabolites Derived from Rikkunshito, a Ghrelin Enhancer, in Healthy Japanese Volunteers: A Cross-Over, Randomized Study. PLoS ONE 2015, 10, e0133159. [Google Scholar] [CrossRef] [PubMed]
- Kimura, M.; Nojima, H.; Muroi, M.; Kimura, I. Mechanism of the blocking action of beta-eudesmol on the nicotinic acetylcholine receptor channel in mouse skeletal muscles. Neuropharmacology 1991, 30, 835–841. [Google Scholar] [CrossRef]
- Na-Bangchang, K.; Kulma, I.; Plengsuriyakarn, T.; Tharavanij, T.; Kotawng, K.; Chemung, A.; Muhamad, N.; Karbwang, M.J. Phase I clinical trial to evaluate the safety and pharmacokinetics of capsule formulation of the standardized extract of Atractylodes lancea. J. Trad. Comp. Med. 2021, 11, 343–355. [Google Scholar] [CrossRef]
- Sirisangtragul, W.; Sripanidkulchai, B. Moduratory effect of Thai traditional medicine (Yahom Tultavai) on hepatic cytochrome P450 enzymes and pentobarbital-induced sleeping in mice. Afr. J. Tradit. Complement. Altern. Med. 2013, 10, 128–136. [Google Scholar] [CrossRef]
- Aroonrerk, N.; Kamkaen, N. Anti-Inflammatory Activity of Quercus infectoria, Glycyrrhiza uralensis, Kaempferia galanga and Coptis chinensis, the Main Components of Thai Herbal Remedies for Aphthous Ulcer. J. Health Res. 2018, 23, 17–22. [Google Scholar]
- Dwita, L.P.; Hikmawanti, N.P.E.; Supandi, Y. Extract, fractions, and ethyl-p-methoxycinnamate isolate from Kaempferia galanga Elicit anti-inflammatory activity by limiting leukotriene B4 (LTB4) production. J. Tradit. Complement. Med. 2021, 11, 563–569. [Google Scholar] [CrossRef] [PubMed]
- Wahyuni, I.S.; Diina, T.R.; Salsabila, A.S.; Khairinisa, M.A.; Sufiawati, I.; Levita, J.; Rosdianto, A.M.; Nittayananta, W. Kaempferia galanga L. alleviates the expression of COX-2 and NF-kappaB-p65 in the oral mucosa ulcer of Wistar rats and exhibits no irritation toward the vascular membrane of chicken eggs and the skin of albino rabbits. Heliyon 2024, 10, e35827. [Google Scholar] [CrossRef] [PubMed]
- Tarasuk, M.; Songprakhon, P.; Muhamad, P.; Panya, A.; Sattayawat, P.; Yenchitsomanus, P.T. Dual action effects of ethyl-p-methoxycinnamate against dengue virus infection and inflammation via NF-κB pathway suppression. Sci. Rep. 2014, 14, 9322. [Google Scholar] [CrossRef]
- Song, S.; Liu, C.; Zhang, Y.; Xiao, X.; Han, G.; Sun, K.; Liu, S.; Zhang, Z.; Dong, C.; Zheng, Y.; et al. Sustainable extraction of ligustilide and ferulic acid from Angelicae Sinensis Radix, for antioxidant and anti-inflammatory activities. Ultrasound Sonochem. 2023, 94, 106344. [Google Scholar] [CrossRef]
- Xie, Q.; Zhang, Q.L.; Xie, L.; Zheng, Y.; Liu, K.; Tang, H.; Lia, Y. Z-ligustilide: A review of its pharmacokinetics and pharmacology. Phytother. Res. 2020, 34, 1966–1991. [Google Scholar] [CrossRef]
- Zhang, K.; Zhang, C.; Teng, X.; Wang, W. Bioinformatics and computational chemistry approaches to explore the mechanism of the anti-depressive effect of ligustilide. Sci. Rep. 2023, 13, 5417. [Google Scholar] [CrossRef]
- Yan, R.; Ko, N.L.; Li, S.L.; Tam, Y.K.; Lin, G. Pharmacokinetics and metabolism of ligustilide, a major bioactive component in Rhizoma Chuanxiong, in the rat. Drug Metab. Dispos. 2008, 36, 400–408. [Google Scholar] [CrossRef]
- Cao, Y.X.; Zhang, W.; He, J.Y.; He, L.C.; Xu, C.B. Ligustilide induces vasodilatation via inhibiting voltage dependent calcium channel and receptor-mediated Ca2+ influx and release. Vasc. Pharmacol. 2006, 45, 171–176. [Google Scholar] [CrossRef]
- Chen, G.; Li, Y.; Wang, W.; Deng, L. Bioactivity and pharmacological properties of α-mangostin from the mangosteen fruit: A review. Expert. Opin. Ther. Pat. 2018, 28, 415–427. [Google Scholar] [CrossRef] [PubMed]
- Xie, Z.; Sintara, M.; Chang, T.; Ou, B. Daily consumption of a mangosteen-based drink improves in vivo antioxidant and anti-inflammatory biomarkers in healthy adults: A randomized, double-blind, placebo-controlled clinical trial. Food Sci. Nutr. 2015, 3, 342–348. [Google Scholar] [CrossRef] [PubMed]
- Fazry, S.; Noordin, M.A.N.; Sanusi, S.; Noor, N.M.; Aizat, W.M.; Lazim, A.M.; Dyari, H.R.E.; Jamar, N.H.; Remali, J.; Othman, B.A.; et al. Cytotoxicity and Toxicity Evaluation of Xanthone Crude Extract on Hypoxic Human Hepatocellular Carcinoma and Zebrafish (Danio rerio) Embryos. Toxics 2018, 6, 60. [Google Scholar] [CrossRef]
- Petiwala, S.M.; Li, G.; Ramaiya, A.; Kumar, A.; Gill, R.K.; Saksena, S.; Johnson, J.J. Pharmacokinetic characterization of mangosteen (Garcinia mangostana) fruit extract standardized to α-mangostin in C57BL/6 mice. Nutr. Res. 2014, 34, 336–345. [Google Scholar] [CrossRef]
- Lopresti, A.L.; Smith, S.J.; Rea, A.; Michel, S. Efficacy of a curcumin extract (Curcugen™) on gastrointestinal symptoms and intestinal microbiota in adults with self-reported digestive complaints: A randomised, double-blind, placebo-controlled study. BMC Complement. Med. Ther. 2021, 21, 40. [Google Scholar] [CrossRef] [PubMed]
- Zeng, L.; Yang, T.; Yang, K.; Yu, G.; Li, J.; Xiang, W.; Chen, H. Efficacy and Safety of Curcumin and Curcuma longa Extract in the Treatment of Arthritis: A Systematic Review and Meta-Analysis of Randomized Controlled Trial. Front. Immunol. 2022, 13, 891822. [Google Scholar] [CrossRef] [PubMed]
- Vareed, S.K.; Kakarala, M.; Ruffin, M.T.; Crowell, J.A.; Normolle, D.P.; Djuric, Z.; Brenner, D.E. Pharmacokinetics of curcumin conjugate metabolites in healthy human subjects. Cancer Epidemiol. Biomark. Prev. 2008, 17, 1411–1417. [Google Scholar] [CrossRef] [PubMed]





| Herbal Recipe | Phytochemicals | Ethnomedical Origin | Therapeutic Indications | Reference |
|---|---|---|---|---|
| Hand and Foot Soaking recipe | Curcumin (CUR) | Traditional Thai Medicine | Reduce swelling and relieve joint pain | [4] |
| Kheaw Hom recipe | Ethyl p-methoxycinnamate (EPMC) | Traditional Thai Medicine | Treatment of fever | [7] |
| Dephrungsith recipe | Ethyl p-methoxycinnamate (EPMC) | Traditional Thai Medicine | Treatment of psoriasis | [19] |
| Thatbunjob recipe | Atractylodin (ATD, β-Eudesmol (BEU), Ligustilide (LIG), Ethyl p-methoxycinnamate (EPMC) | Traditional Thai Medicine | Treatment of gastrointestinal disorders, including non-infectious diarrhea and indigestion | [20] |
| Chantaleela recipe | Atractylodin (ATD) | Traditional Thai Medicine | Treatment of fever | [21] |
| Learng Pid Samud recipe | Curcumin (CUR) | Traditional Thai Medicine | Treatment of non-infectious diarrhea | [22] |
| Prasaprohyai recipe | Ethyl p-methoxycinnamate (EPMC), Atractylodin (ATD), β-Eudesmol (BEU), Ligustilide (LIG) | Traditional Thai Medicine | Treatment of fever and allergic rhinitis | [23] |
| Pericarp of mangosteen fruit | α-Mangostin (α-MG) | Traditional Thai Medicine | Treatment of diarrhea | [24] |
Disclaimer/Publisher’s Note: The statements, opinions and data contained in all publications are solely those of the individual author(s) and contributor(s) and not of MDPI and/or the editor(s). MDPI and/or the editor(s) disclaim responsibility for any injury to people or property resulting from any ideas, methods, instructions or products referred to in the content. |
© 2025 by the authors. Licensee MDPI, Basel, Switzerland. This article is an open access article distributed under the terms and conditions of the Creative Commons Attribution (CC BY) license (https://creativecommons.org/licenses/by/4.0/).
Share and Cite
Kasemnitichok, Y.; Lee, S.; Kwon, O.B.; Plengsuriyakarn, T.; Na-Bangchang, K. Insights into Hepatic, Neuronal, and hERG Channel Safety of Plant-Derived Active Compounds. J. Xenobiot. 2025, 15, 175. https://doi.org/10.3390/jox15060175
Kasemnitichok Y, Lee S, Kwon OB, Plengsuriyakarn T, Na-Bangchang K. Insights into Hepatic, Neuronal, and hERG Channel Safety of Plant-Derived Active Compounds. Journal of Xenobiotics. 2025; 15(6):175. https://doi.org/10.3390/jox15060175
Chicago/Turabian StyleKasemnitichok, Yosita, Sion Lee, Oh Bin Kwon, Tullayakorn Plengsuriyakarn, and Kesara Na-Bangchang. 2025. "Insights into Hepatic, Neuronal, and hERG Channel Safety of Plant-Derived Active Compounds" Journal of Xenobiotics 15, no. 6: 175. https://doi.org/10.3390/jox15060175
APA StyleKasemnitichok, Y., Lee, S., Kwon, O. B., Plengsuriyakarn, T., & Na-Bangchang, K. (2025). Insights into Hepatic, Neuronal, and hERG Channel Safety of Plant-Derived Active Compounds. Journal of Xenobiotics, 15(6), 175. https://doi.org/10.3390/jox15060175

