Determination of Artificial Sweeteners in Commercial Beverages: Do We Know What We Are Consuming?
Abstract
1. Introduction
2. Materials and Methods
2.1. Chemicals, Reagents, and Solutions
2.2. Samples
2.3. Instrumentation
2.4. Statistical Analysis
3. Results
4. Discussion
5. Conclusions
Supplementary Materials
Author Contributions
Funding
Institutional Review Board Statement
Informed Consent Statement
Data Availability Statement
Acknowledgments
Conflicts of Interest
Abbreviations
| ADI | Acceptable Daily Intake |
| Asp | Aspartic Acid |
| EU | European Union |
| FDA | Food and Drug Administration |
| FL | Fluorescence |
| HPLC | High-Performance Liquid Chromatography |
| IARC | International Agency for Research on Cancer |
| NAS | Non-Nutritive Artificial Sweetener |
| NHDC | Neohesperidin Dihydrochalcone |
| Phe | Phenylalanine |
| PKU | Phenylketonuria |
| RSD | Relative Standard Deviation |
| SD | Standard Deviation |
| UV | Ultraviolet |
References
- American Heart Association. Added Sugars. Available online: https://www.heart.org/en/healthy-living/healthy-eating/eat-smart/sugar/added-sugars (accessed on 17 June 2025).
- World Health Organization (WHO). Guideline: Sugars Intake for Adults and Children; WHO: Geneva, Switzerland, 2015; Available online: https://www.who.int/publications/i/item/9789241549028 (accessed on 6 June 2025).
- WHO. Use of Non-Sugar Sweeteners: WHO Guideline Summary; WHO: Geneva, Switzerland, 2023; Available online: https://www.who.int/publications/i/item/9789240073616 (accessed on 6 June 2025).
- Ahmad, R.; Dalziel, J.E. G protein-coupled receptors in taste physiology and pharmacology. Front Pharmacol. 2020, 11, 587664. [Google Scholar] [CrossRef]
- Mehat, K.; Chen, Y.; Corpe, C.P. The combined effects of aspartame and acesulfame-K blends on appetite: A systematic review and met-analysis of randomized clinical trials. Adv. Nutr. 2022, 13, 2329–2340. [Google Scholar] [CrossRef]
- Glendinning, J.I. Oral post-oral actions of low-calorie sweeteners: A tale of contradictions and controversies. Obesity 2018, 26, S9–S17. [Google Scholar] [CrossRef]
- Hubrecht, I.; Baenas, N.; Sina, C.; Wagner, A.E. Effects of non-caloric artificial sweeteners on naïve and dextran sodium sulfate-exposed Drosophila melanogaster. Food Front. 2022, 3, 728–735. [Google Scholar] [CrossRef]
- Suez, J.; Korem, R.; Zeevi, D.; Zilberman-Schapira, G.; Thaiss, C.A.; Maza, O.; Israeli, D.; Zmora, N.; Gilad, S.; Weinberger, A.; et al. Artificial sweeteners induce glucose intolerance by altering the gut microbiota. Nature 2014, 514, 181–186. [Google Scholar] [CrossRef]
- Suez, J.; Korem, T.; Zilberman-Schapira, G.; Segal, E.; Elinav, E. Non-caloric artificial sweeteners and the microbiome: Findings and challenges. Gut Microbes 2015, 6, 149–155. [Google Scholar] [CrossRef]
- Harrington, V.; Lau, L.; Crits-Cristoph, A.; Suez, J. Interactions of non-nutritive artificial sweeteners with the microbiomes in metabolic syndrome. Immunometabolism 2022, 4, e220012. [Google Scholar] [CrossRef] [PubMed]
- Hetta, H.F.; Sirag, N.; Elfadil, H.; Salama, A.; Aljadrawi, S.F.; Alfaifi, A.J.; Alwabisi, A.N.; AbuAlhasan, B.M.; Alanazi, L.S.; Aljohani, Y.A.; et al. Artificial sweeteners: A double-edged sword for gut microbiome. Diseases 2025, 13, 115. [Google Scholar] [CrossRef]
- Pase, M.P.; Himali, J.J.; Beiser, A.S.; Aparicio, H.J.; Satizabal, C.L.; Vasan, R.S.; Seshadri, S.; Jacques, P.F. Sugar- and artificially sweetened beverages and the risks of incident stroke and dementia: A prospective cohort study. Stroke 2017, 48, 1139–1146. [Google Scholar] [CrossRef] [PubMed]
- Debras, C.; Chazelas, E.; Sellem, L.; Porcher, R.; Druesne-Pecollo, N.; Esseddik, Y.; de Edelenyi, F.S.; Agaëssse, C.; De Sa, A.; Ltuchia, R.; et al. Artificial sweeteners and risk of cardiovascular diseases: Results from the prospective NutriNet-Santé cohort. BMJ 2022, 378, e071204. [Google Scholar] [CrossRef]
- Wu, W.; Sui, W.; Chen, S.; Guo, Z.; Jing, X.; Wang, X.; Wang, Q.; Yu, X.; Xiong, W.; Ji, J.; et al. Sweetener aspartame aggravates atherosclerosis through insulin-triggered inflammation. Cell Metab. 2025, 37, 1075–1088. [Google Scholar] [CrossRef]
- Magnuson, B.A.; Carakostas, M.C.; Moore, N.H.; Poulos, S.P.; Renwick, A.G. Biological fate of low-calorie sweeteners. Nutr. Rev. 2016, 74, 679–689. [Google Scholar] [CrossRef] [PubMed]
- Hunter, S.R.; Reister, E.J.; Cheon, E.; Mattes, R.D. Low calorie sweeteners differ in their physiological effects in humans. Nutrients 2019, 11, 2717. [Google Scholar] [CrossRef] [PubMed]
- European Food Information Council (EUFIC). What Is an Acceptable Daily Intake (ADI)? 2021. Available online: https://www.eufic.org/en/understanding-science/article/qas-on-acceptable-daily-intakes-adis (accessed on 6 June 2025).
- Aspartame and Other Sweeteners in Food. US-FDA. Available online: https://www.fda.gov/food/food-additives-petitions/aspartame-and-other-sweeteners-food (accessed on 6 June 2025).
- Farag, M.A.; Rezk, M.M.; Elashal, M.H.; El-Araby, M.; Khalifa, S.A.M.; El-Seedi, H.R. An updated mulfaceted overview of sweet proteins and dipeptides as sugar substitutes; the chemistry, health benefits, gur interactions, and safety. Food Res. Int. 2022, 162, 111853. [Google Scholar] [CrossRef]
- The European Parliament and the Council of the European Union. Regulation (EC) No 1333/2008 of the European Parliament and of the Council of 16 December 2008 on Food Additives, Annex II, Part E; European Community: Brussels, Belgium, 2008. [Google Scholar]
- International Agency for Research on Cancer (IARC). Aspartame, Methyleugenol, and Isoeugenol (IARC Monographs on the Identification of Carcinogenic Hazards to Humans); IARC: Lyon, France, 2014; Volume 134. [Google Scholar]
- Acceptable Daily Intake of Sweeteners in the EU. Available online: https://knowledge4policy.ec.europa.eu/health-promotion-knowledge-gateway/sugars-sweeteners-7_en (accessed on 10 June 2025).
- Maler, V.; Goetz, V.; Tardieu, M.; El Khalil, A.; Alili, J.M.; Meunier, P.; Maillot, F.; Labarthe, F. Aspartame and phehylketonuria: An analysis of the daily phenylalanine intake of aspartame-containing drugs markected in France. Orphanet J. Rare Dis. 2023, 18, 142. [Google Scholar] [CrossRef] [PubMed]
- Lipton, R.B.; Newman, L.C.; Cohen, J.S.; Solomon, S. Aspartame as dietary trigger of headache. Headache 1989, 29, 90–92. [Google Scholar] [CrossRef]
- Van den Eeden, S.K.; Koepsell, T.D.; Longsteth, W.T.; van Belle, G.; Daling, J.R.; McKnight, B. Aspartame ingestion and headaches: A randomized crossover trial. Neurologyy 1994, 44, 1787–1793. [Google Scholar] [CrossRef]
- Gonçalves, N.G.; Martinez-Steele, E.; Lotufo, P.A.; Bensenor, I.; Goulart, A.C.; Barreto, S.M.; Giatti, L.; Perim de Faria, C.; Bisi-Molina, M.C.; Caramelli, P.; et al. Association between consumption of low- and non-calorie artificial sweetener and cognitive decline: An 8-year prospective study. Neurology 2025, 105, e214023. [Google Scholar] [CrossRef] [PubMed]
- Reuber, M.D. Carcinogenicity of saccharin. Environ. Health Perspect. 1978, 25, 173–200. [Google Scholar] [CrossRef][Green Version]
- Taylor, J.M.; Weinberger, G.M.; Friedman, L. Chronic toxicity and carcinogenity ot the urinary bladder of sodium saccharin in the in utero-exposed rat. Toxicol. Appl. Pharm. 1980, 54, 57–75. [Google Scholar] [CrossRef]
- Squire, R.A. Histopathological evaluation of rat urinary bladders from the IRDC two-generation bioassay of sodium saccharin. Food Chem. Toxicol. 1985, 23, 491–497. [Google Scholar] [CrossRef]
- IARC. Some Non-Nutritive Sweetening Agents, IARC Monographs on the Evaluation of the Carcinogenic Risk of Chemicals to Humans; IARC: Geneva, Switzerland, 1980; Volume 22. [Google Scholar]
- Weihrauch, M.R.; Diehl, V. Artificial sweeteners—Do they bear a carcinogenic risk? Ann. Oncol. 2004, 15, 1460–1465. [Google Scholar] [CrossRef] [PubMed]
- EFSA Panel on Food Additives and Flavourings (FAF). Re-evaluation of saccharin and its sodium, potassium and calcium salts (E954) as food additives. EFSA J. 2024, 22, e9044. [Google Scholar]
- Clemens, R.; Pressman, P.; Wallace Hayes, A. Chapter 4—Food additives toxicology. In History of Food and Nutrition Toxicology (History of Toxicology and Environmental Health); Haugabrooks, E., Wallace Hayes, P., Eds.; Academic Press: Cambridge, MA, USA, 2023; pp. 87–102. [Google Scholar]
- Tkach, V.V.; Morozova, T.V.; de O’Neill Mascarenhas, I.; de Gomes Miranda, N.; Ivanushko, Y.G.; de Ferrao Paiva, J.I.; Novo Barros, A. Sucralose: A review of environmental, oxidative and genomic stress. Nutrients 2025, 27, 2199. [Google Scholar] [CrossRef] [PubMed]
- Zygler, A.; Wasik, A.; Namiesnik, J. Analytical methodologies for determination of artificial sweeteners in foddstuffs. TrAC Trends Anal. Chem. 2009, 29, 1082–1102. [Google Scholar] [CrossRef]
- Wang, C.; Liu, Y.; Zhao, X.; Liu, B. Current advances and future aspects of sweetener synergy: Properties, evaluation methods and molecular mechanisms. Appl. Sci. 2022, 12, 5096. [Google Scholar] [CrossRef]
- Tan, V.W.K.; Wee, M.S.M.; Tomic, O.; Forde, C.G. Temporal sweetness and side tastes of 16 sweeteners using temporal check-all-that-apply. Food Res. Int. 2019, 121, 39–47. [Google Scholar] [CrossRef]
- Margolskee, R.F.; Dyer, J.; Kokrashvili, Z.; Salmon, K.S.H.; Ilegems, E.; Daly, K.; Maillet, E.L.; Nimomiva, Y.; Mosinger, B.; Shirazi-Beechey, S.P. T1R3 and gustducin in gut sense sugars to regulate expression of Na+-glucose cotransporter 1. Proc. Natl. Acad. Sci. USA 2007, 104, 15075–15080. [Google Scholar] [CrossRef]
- Baron, R.F.; Hanger, L.Y. Using acid level, acesulfame potassium/aspartame blend ratio and flavor type to determine optimum flavor profiles of fruit flavored beverages. J. Sens. Stud. 1998, 13, 269–283. [Google Scholar] [CrossRef]
- Ordoñez, E.Y.; Rodil, R.; Quintana, J.B.; Cela, R. Determination of artificial sweeteners in beverages with green mobile phases and high temperature liquid chromatography-tandem mass spectrometry. Food Chem. 2015, 169, 162–168. [Google Scholar] [CrossRef]
- Sezgin, B.; Arli, G.; Öncü-Can, N. Simultaneous HPLC-DAD determination of seven intense sweeteners in foodstuffs and pharmaceuticals using a core-shell particle column. J. Food Compos. Anal. 2021, 97, 103768. [Google Scholar] [CrossRef]
- Jankulovska, M.S.; Josimovska, T.; Velkoska-Markovska, L. Development and validation of RP-HPLC method with UV-DAD detection for simultaneous determination of acesulfame K, sodium saccharin and aspartame in beverages. Acta Chromatogr. 2025, 37, 283–293. [Google Scholar] [CrossRef]
- Hernández, N.; Sanchez, J.M. Validation of a method for the determination of artificial sweeteners and caffeine in soft drinks: The impact of regression function selection on quantification limits considering trueness and precision. Separations 2025, 12, 176. [Google Scholar] [CrossRef]
- Volumen de Bebidas Refrescantes y Gaseosa Consumidas por los Hogares en España en 2023, por tipo. Available online: https://es.statista.com/estadisticas/488967/consumo-de-refrescos-y-gaseosa-en-espana-por-tipo/ (accessed on 12 June 2025).
- Silva, P.D.; Cruz, R.; Casal, S. Sugars and artificial sweeteners in soft drinks: A decade of evolution in Portugal. Food Control 2021, 120, 107481. [Google Scholar] [CrossRef]
- Bundesinstitut für Risikobewertung. Sugar alternatives: How much sweetener is there in soft drinks?: Opinion no. 006/2023 from 7 February 2023. BfR-Stellunghahmen 2023, 2023, 006. [Google Scholar] [CrossRef]
- Knezovic, Z.; Jurcevic Zidar, B.; Pribisalic, A.; Luetic, S.; Jurcic, K.; Knezovic, N.M.; Sutlovic, D. Artificial sweeteners in food products: Concentration analysis, label practices, and cumulative intake assessment in Croatia. Nutrients 2025, 17, 1110. [Google Scholar] [CrossRef] [PubMed]
- McCain, H.R.; Kaliappan, S.; Drake, M.A. Invited review: Sugar reduction in dairy products. J. Dairy Sci. 2018, 101, 8619–8649. [Google Scholar] [CrossRef] [PubMed]
- PepsiCo to Reduce Soda Calories by 2025. Available online: https://www.convenience.org/Archive/News/NACSDailyArticles/2016/ND1018162 (accessed on 18 June 2025).
- Lino, C.M.; Costa, I.M.; Pena, A.; Ferreira, R.; Cardoso, S.M. Estimated intake of the sweeteners, acesulfame-K and aspartame, from soft drinks, soft drinks bases on mineral waters and nectars for a group of Portuguese teenage students. Food Addit. Contam. A 2008, 25, 1291–1296. [Google Scholar] [CrossRef]



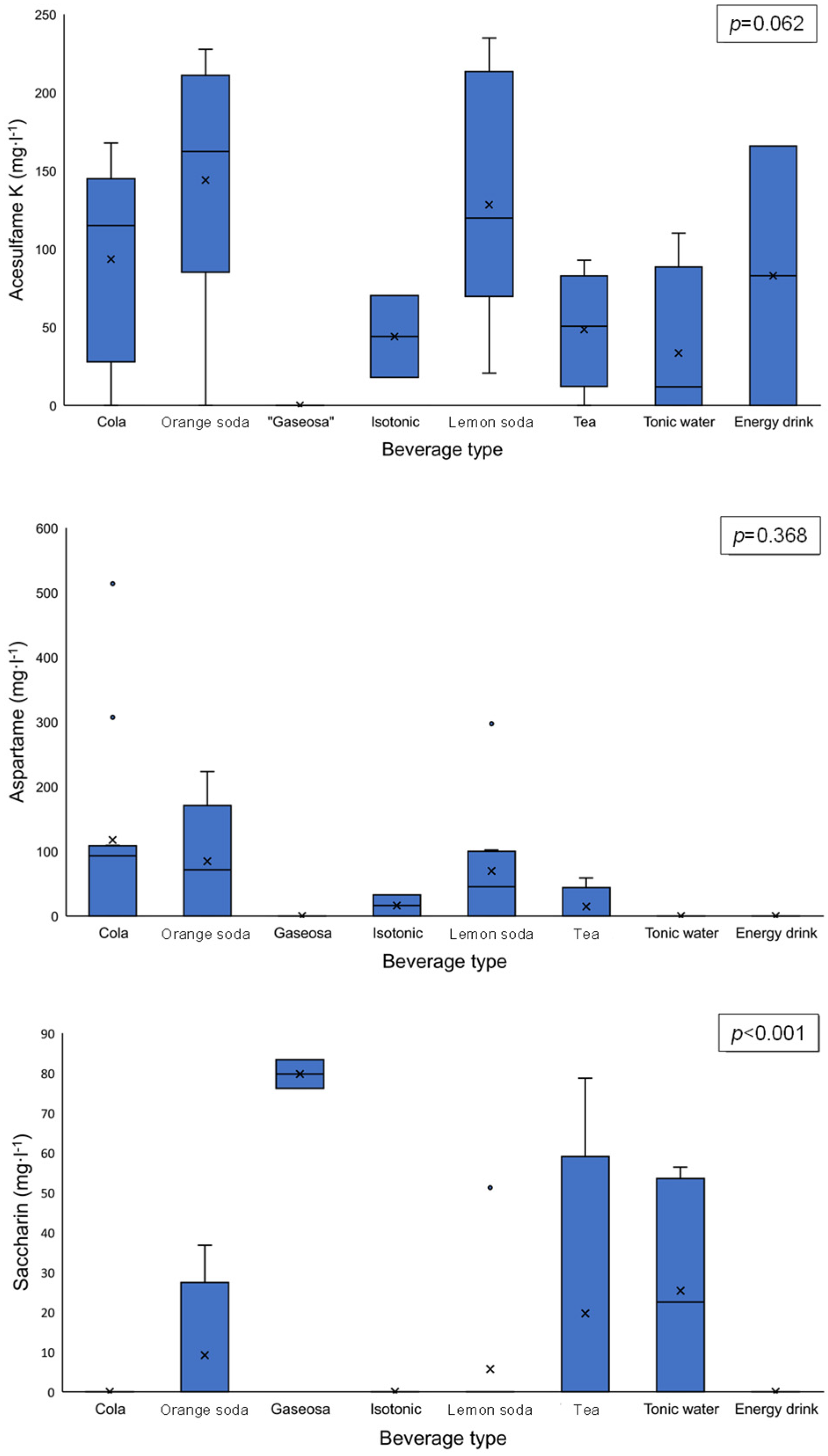
| Sweetener | Drink Type (n, m) 1 | Mean | SD | Q1 | Median (Q2) | Q3 | Min | Max |
|---|---|---|---|---|---|---|---|---|
| Acesulfame K | A (12, 10) | 94 | 62 | 28 | 115 | 145 | nd | 168 |
| B (8, 7) | 144 | 78 | 85 | 162 | 211 | nd | 228 | |
| C (2, 0) | - | - | - | - | - | - | - | |
| D (2, 2) | 44 | 37 | - | 44 | - | 18 | 70 | |
| E (9, 9) | 128 | 76 | 70 | 120 | 120 | 21 | 235 | |
| F (4, 3) | 49 | 38 | 12 | 51 | 83 | nd | 93 | |
| G (4, 2) | 33 | 52 | nd | 12 | 88 | nd | 110 | |
| H (2, 1) | 83 | 117 | - | 83 | - | nd | 166 | |
| Aspartame | A (12, 8) | 118 | 151 | nd | 93 | 109 | nd | 514 |
| B (8, 5) | 85 | 87 | nd | 71 | 171 | nd | 223 | |
| C (2, 0) | - | - | - | - | - | - | - | |
| D (2, 1) | 16 | 23 | - | 16 | - | nd | 33 | |
| E (9, 6) | 70 | 94 | nd | 45 | 100 | nd | 297 | |
| F (4, 1) | 15 | 29 | nd | nd | 44 | nd | 59 | |
| G (4, 0) | - | - | - | - | - | - | - | |
| H (2, 0) | - | - | - | - | - | - | - | |
| Saccharin | A (12, 0) | - | - | - | - | - | - | - |
| B (8, 2) | 9 | 17 | nd | nd | nd | nd | 37 | |
| C (2, 2) | 80 | 5 | - | 80 | - | 76 | 83 | |
| D (2, 0) | - | - | - | - | - | - | - | |
| E (9, 1) | 6 | 17 | nd | nd | nd | nd | 51 | |
| F (4, 1) | 20 | 39 | nd | nd | 59 | nd | 78 | |
| G (4, 1) | 25 | 30 | nd | 23 | 53 | nd | 56 | |
| H (2, 0) | - | - | - | - | - | - | - |
| Time (min) | 10 mM Phosphate Buffer pH = 2.4, % | Acetonitrile, % |
|---|---|---|
| 0 | 90 | 10 |
| 5 | 90 | 10 |
| 15 | 60 | 40 |
| 19 | 25 | 75 |
| 30 | 25 | 75 |
| 33 | 90 | 10 |
| 37 | 90 | 10 |
| Sample | Acesulfame K | Aspartame | Saccharin | |
|---|---|---|---|---|
| Cola soda #1 | Mean (SD) | 38.8 (0.4) | 546.2 (23.0) | nd |
| RSD, % | 1.1 | 4.3 | ||
| Cola soda #2 | Mean (SD) | 140.8 (2.1) | 99.9 (4.6) | nd |
| RSD, % | 1.5 | 4.6 | ||
| Cola soda #3 | Mean (SD) | 61.9 (1.9) | 307.3 (6.2) | nd |
| RSD, % | 3.1 | 2.0 | ||
| Flavored soda #1 | Mean (SD) | 88.2 (2.4) | 297.3 (4.8) | nd |
| RSD, % | 2.7 | 1.6 | ||
| Flavored soda #2 | Mean (SD) | 226.6 (1.2) | 219.3 (8.6) | 36.8 (0.3) |
| RSD, % | 0.6 | 3.9 | 0.7 |
Disclaimer/Publisher’s Note: The statements, opinions and data contained in all publications are solely those of the individual author(s) and contributor(s) and not of MDPI and/or the editor(s). MDPI and/or the editor(s) disclaim responsibility for any injury to people or property resulting from any ideas, methods, instructions or products referred to in the content. |
© 2025 by the authors. Licensee MDPI, Basel, Switzerland. This article is an open access article distributed under the terms and conditions of the Creative Commons Attribution (CC BY) license (https://creativecommons.org/licenses/by/4.0/).
Share and Cite
Castellanos, M.; Sanchez, J.M. Determination of Artificial Sweeteners in Commercial Beverages: Do We Know What We Are Consuming? J. Xenobiot. 2025, 15, 164. https://doi.org/10.3390/jox15050164
Castellanos M, Sanchez JM. Determination of Artificial Sweeteners in Commercial Beverages: Do We Know What We Are Consuming? Journal of Xenobiotics. 2025; 15(5):164. https://doi.org/10.3390/jox15050164
Chicago/Turabian StyleCastellanos, Mar, and Juan M. Sanchez. 2025. "Determination of Artificial Sweeteners in Commercial Beverages: Do We Know What We Are Consuming?" Journal of Xenobiotics 15, no. 5: 164. https://doi.org/10.3390/jox15050164
APA StyleCastellanos, M., & Sanchez, J. M. (2025). Determination of Artificial Sweeteners in Commercial Beverages: Do We Know What We Are Consuming? Journal of Xenobiotics, 15(5), 164. https://doi.org/10.3390/jox15050164

