Abstract
The intensive use of pesticides has raised environmental concerns due to their persistence and slow degradation, posing ecotoxicological risks. Despite regulatory measures, pesticide application remains high, leading to soil and water contamination. To effectively monitor and mitigate these impacts, selecting an appropriate and efficient extraction method for detecting pesticides in soil is critical. This study evaluated the effectiveness of two extraction methods in soil—QuEChERS and QuEChERSER—and assessed the persistence of three commonly used pesticides. A test was conducted using 13 pesticide standards, representing a wide variety of functional groups, to compare the two extraction methods. For the persistence study, a microcosm experiment was performed with three selected pesticides: pendimethalin, oxyfluorfen, and trifloxystrobin. These were chosen due to their agricultural relevance, potential human toxicity, and persistence in various environmental compartments. The impact of two organic amendments on their dissipation was also evaluated. The microcosms were incubated in dark chambers at room temperature for 21 days, and pesticide concentrations were analyzed using ultra-high-performance liquid chromatography–tandem mass spectrometry. Both methods were effective, though performance varied depending on the compound. QuEChERSER proved to be more efficient, requiring less time and fewer resources than the traditional QuEChERS method. Among the three pesticides tested, the herbicide oxyfluorfen was the most persistent, while the fungicide trifloxystrobin showed the least persistence. The application of organic amendments enhanced the dissipation of all three pesticides. These findings highlight the importance of selecting appropriate extraction techniques and adopting sustainable agricultural practices to mitigate pesticide residues in the environment.
1. Introduction
Since the beginning of modern agriculture, the use of pesticides has become the norm for pest elimination. Despite the multiple advantages they offer, there are several problems posed by their use. Many of these substances have high mobility, so the vast majority end up elsewhere [1,2]. Another main characteristic of pesticides that threatens the environment is their persistence [3,4]. Most pass into the soil or volatilize and, depending on their characteristics, can reach groundwater or other environmental compartments, remaining there for a long time [5,6]. The long-term behavior of pesticides depends on soil properties, compound characteristics, and environmental factors, leading to volatilization, degradation, leaching, or accumulation [7]. Moreover, pesticides can negatively affect soil microbiota, disrupting microbial communities essential for soil health and nutrient cycling [8]. Some pesticides, such as those with xenoestrogenic activity, have been associated with risks to human health, including potential carcinogenic effects and endocrine disruptions, which increases the urgency for their control and monitoring [9].
One of the fundamental aspects in the determination of xenobiotics in soils is the choice of an appropriate extraction method, due to the structural and compositional complexity of soils, which often contain organic matter, clay minerals, and microbial communities that can interfere with analyte recovery [10,11,12]. The extraction of pesticides in different environment matrices has traditionally been carried out using the QuEChERS method known by its acronym (quick, easy, cheap, effective, rugged, and safe) [13], which has been used by numerous authors for the quantification of many contaminants in various matrices, Ex. [14,15,16,17]. Modifications of this method for contaminant extraction in a wide variety of matrices are continuously being validated [18,19,20,21,22]. Furthermore, in 2021, a new QuEChERS mega-method was published by one of the authors of the QuEChERS method: QuEChERSER (more than QuEChERS, adding “Efficient and Robust” to its acronym) [23], which captures a wider polarity range than QuEChERS and has already been validated in a variety of matrices for environmental contaminants, veterinary drugs, and pesticides [24,25,26]. However, at the time of writing this article, we have not found any reference to its application in soils. The study of the persistence of xenobiotics in soils and their interactions with the constituents of the edaphic environment continue to be topics of great interest and relevance [5,27,28,29] since they can be retained in the soil exchange complex, in organic matter, in the clay fraction or precipitates in the soil matrix, which can decrease their ecosystem functions and present risks to the health of plants, animals and humans [30,31,32].
Three widely used pesticides today—pendimethalin (PMDT) and oxyfluorfen (OXF), both herbicides, and the fungicide trifloxystrobin (TFXT) [33]—were selected for this study based on their extensive agricultural use, along with their documented toxicity and persistence in the environment. PMDT or 3,4-dimethyl-2,6-dinitro-N-pentan-3-ylaniline (CAS: 40487-42-1) is an herbicide that belongs to the group of dinitroanilines; it has a wide spectrum of application and is used in pre- and post-emergence grass and weed control in crops. It acts by inhibiting cell division and elongation [34]. It is considered to be irritating to the skin, eyes, and respiratory tract [35]. It is also considered to have negative effects on reproduction, and some studies suggest that it is associated with a higher incidence of pancreatic cancer [36]. Although it is not classified as persistent, its half-lives range from 76 to 98 days, which is relatively high compared to other compounds [37,38]. OXF or 2-chloro-1-(3-ethoxy-4-nitrophenoxy)-4-(trifluoromethyl) benzene (CAS: 42874-03-3) belongs to the chemical group of diphenyl ethers. It is a broad-spectrum herbicide used in both pre-emergence and post-emergence weed control. It is considered to be a persistent and immobile pesticide in soil since it binds to soil organic carbon [39]. In humans, its main toxic effects include liver dysfunction and impaired red blood cell production, which may lead to anemia [40]. TFXT, according to IUPAC: (2E)-2-methoxyimino-2-[2-[[(E)-1-[3-(trifluoromethyl) phenyl] ethylideneamino] oxymethyl] phenyl] acetate (CAS: 141517-21-7), is a fungicide of the strobilurin group, which acts by externally inhibiting quinone in complex 3 of the respiratory chain [41]. It is a foliar-applied compound for the control of certain foliar, stem, and root diseases. It is a widely used broad-spectrum fungicide, with very low water solubility and volatility [42]. It has low toxicity in mammals, but there is evidence that it is toxic to birds, fish, and aquatic invertebrates, causing negative effects on their fertility [43]. In some cases, it has been observed to decompose rapidly in soils, and its residues have been shown to dissipate below the detection limit in 15 days [44].
Protecting and preserving soil health is essential for the maintenance of its ecosystem functions. Its main functions are climate control, water quality and quantity maintenance, nutrient cycling, purification capacity, and providing habitat for a vast array of biodiversity [45,46]. As indicated above, the use of pesticides can inhibit these functions, so strategies are needed to remove these xenobiotics from contaminated soils. In this regard, bioremediation is becoming one of the most commonly used techniques, with a large number of bioremediation methodologies being used satisfactorily [47,48,49]. Some of the interesting technologies for the removal of these contaminants in soils are biostimulation and/or bioenhancement provided during the application of organic amendments to contaminated soils; these bioremediation strategies have proven to be effective under certain conditions [50,51,52,53,54]. In addition, they are sustainable, low-cost, non-invasive, and can be carried out in situ. Some ways in which the pesticide concentration in contaminated soils has been reduced have been through the application of compost [55,56,57,58,59] or manure [60].
For all the above reasons, the objectives of this study were: (i) to compare and evaluate the effectiveness of the QuEChERS and QuEChERSER extraction methods on 13 pesticides, which represent a wide range of functional groups and polarities, in loamy-clayed soil; (ii) to determine the persistence of the herbicides PDMT and OXF and the fungicide TFXT in the selected soil using a microcosm test under laboratory conditions; and (iii) to evaluate the effect of the application of biowaste compost and cow manure on the natural persistence in the soil of the three selected pesticides.
2. Materials and Methods
2.1. Chemicals, Reagents, Soil, and Organic Amendments
Pure standards (>99%) from Dr. Ehrenstofer (Augsburg, Germany) were used. The following were used: methanol (MeOH) and acetonitrile (ACN) of LC-MS grade, Scharlab S.L. (Barcelona, Spain); ultrapure water HPLC, Milli-Q grade (Millipore, Bedford, MA, USA); formic acid (>98%, ACS reagent grade) and ammonium formate (>99%, LiChropur LC-MS grade) from Sigma-Aldrich (Darmstadt, Germany); QuEChERS EN ExtraBond extractive kit and dispersive kit (Scharlab, Barcelona, Spain); and pesticide mixture 301 × 105 µg L−1 in can from LGC Standards Ltd., reference DRE-GA09000301AL, Dr. Ehrenstorfer (Augsburg, Germany). The following commercial products were used: Scorpio from Bayer (Leverkusen, Germany), Goal from Dow AgroSciences (Indianapolis, IN, USA), and StompLE from BASF (Ludwigshafen, Germany), which contained 330 g L−1 of PDMT, 240 g L−1 of OXF, and 500 g kg−1 of TFXT, respectively. Stock solutions of 1000 µg ml−1 were prepared by dissolving a sufficient amount in ACN and stored in amber glass bottles at a maximum temperature of 4 °C. The pesticides studied were: carbofuran-3OH (CB-3OH), imidacloprid (IMDCPD), acetamiprid (ACMP), chlorantraniliprole (CHLMP), fenamidone (FNMD), azoxystrobin (AZXB), methoxyfenozide (MTXFZD), pyraclostrobin (PCTB), amitraz (AMTZ), piperonyl-butoxide (PIP-BTX), PDMT, OXF, and TFXT. Figure 1 shows the chemical structure of each one. Their water solubility, Log Kow, and vapor pressure are shown in Table A1. The ones that are more soluble are ACMP and IMDCP. The most lipophilic are AMTZ and PDMT, and the most volatile are IMDCP and AMTZ. For quality control during ultra-high-performance liquid chromatography–tandem mass spectrometry (UHPLC-MS/MS) analysis, 13C-phenacetin was used as an internal standard, prepared at a concentration of 0.7 ng μL−1 in water. A mixture of the 13 pesticides containing 10 µg mL−1 was prepared. The standards of the prepared calibration curve contained the following concentrations: 0, 10, 20, 50, 100, and 200 ng mL−1 in the mobile phase. It is important to note that this mixture of compounds is representative of a variety of functional groups.
Figure 1.
Chemical structure of pesticides studied: (A) PDMT, (B) OXF, (C) TFXT, (D) CB-30H, (E) IMDCPD, (F) ACMP, (G) CHLMP, (H) FNMD, (I) AZXB, (J) MTXFZD, (K) PCTB, (L) AMTZ, and (M) PIP-BTX.
The soil sample used in the experiment corresponds to a Bt horizon of a calcium Luvisol. This soil was taken from the Mondúver mountain range (La Safor, Valencia, Spain). The sample was duly taken using the procedures described in the FAO Soil Description Guide [61]. The soil coordinates are: 39°02′24.3″ N 0°21′14.5″ W. The pre-treatment of the samples was conducted according to the procedure described by the Spanish Standard UNE-EN 16179 [62], which provides guidance for sample preparation of sludge, treated biowaste, and soil. Moisture content was determined by gravimetry following the Spanish Standard UNE-EN 16586 [63]. The pH was measured in a 1:5 (v/v) soil–water suspension according to the Spanish Standard UNE-EN 10390 [64]. Electrical conductivity (EC) was determined in the aqueous extract in a 1:5 (w/v) ratio using a Crison conductometer, following the Spanish Standard UNE-EN 77308 [65]. Granulometric analysis was performed using the Bouyoucos densimeter method as described by the Colombian Technical Standard NTC 6299 [66]. Carbonate content was determined by gas volumetry with a Scheibler apparatus, according to the Spanish Standard UNE-EN 10693 [67]. Oxidizable organic carbon was determined following the potassium permanganate oxidation method described in UNE 103204 [68], and total organic matter content was calculated by calcination according to the Spanish Standard UNE-EN 13039 [69].
Two organic amendments were used: Class A compost (C), made from biowaste and pruning waste, and cow manure (E) frequently used in agriculture. Their fundamental properties are shown in Table 1.
Table 1.
Compost and manure characteristics.
2.2. Extraction Methods Used
As indicated above, this study compares two extraction methods, QuEChERS (Q) and QuEChERSER (QS), in order to investigate which is more effective. The method of extracting pesticides from soils has traditionally been Q [70]. This is a type of dispersive solid phase extraction (d-SPE) used for sample preparation consisting of an initial extraction phase with 10 g of sample and 10 mL of ACN mixed with MgSO4 and NaCl in a 50 mL Falcon tube. After vortexing for 1 min and centrifugation at 5000 rpm for 5 min, the solid dispersive phase is performed, where 1 mL of the supernatant from the previous step is transferred to another 15 mL Falcon tube with primary secondary amine (PSA) and anhydrous MgSO4. Then it was stirred again and centrifuged. The supernatant was filtered with a 0.45 µm pore size nylon filter and vitalized. Quantification of the compounds in the extracts was carried out by UHPLC-MS/MS [13].
In 2021, a new method, QS, was published. This method is faster and requires the use of less material [23]. It consists of adding 2 g of the sample to a 15 mL Falcon tube together with 10 mL of a 4/1 solution of ACN/H2O. After vortexing for 10 min, it was centrifuged at 3500 rpm for 5 min. Then, 204 µL of the supernatant was taken and transferred to a 2 mL Eppendorf centrifuge mini-tube, and 25 µL of an internal standard (13C-phenacetin at 0.7 ng µL in water−1) and 571 µL of ultrapure water were added. It was then centrifuged at 13,000 rpm for 5 min. Finally, 500 µL of the supernatant was placed in a vial for analysis by UHPLC-MS/Ms.
For extraction by method Q, 40 µL of a solution containing 10 µg mL−1 of the 13 pesticides to be tested was added to the soil, while for QS, 112 µL of this 10 µg mL−1 solution of the pure standards was added. Five replicates were made with their corresponding targets in order to validate both methods. The comparison process of both extraction procedures is shown schematically in Figure 2.
Figure 2.
Schematic workflow comparing the QuEChERS (Q) and QuEChERSER (QS) extraction methods.
2.3. Quantification by UHPLC-MS/MS
The concentration of the analytes in all the extracts placed in vials was quantified by UHPLC-MS/MS liquid chromatography, with an ABSciex 6500 QTRAP mass spectrometer equipped with an electrospray ionization interface (ESI), using the following instrumental conditions: column C18, BEH waters 2.1 × 50 mm, 1.7 µm; temperature 35 °C; flow 0.35 mL min−1; and mobile phase, A: H2O (0.5% Formic acid) and B: ACN. The gradient was: %B: 5, 50, 60, 78, 88, 92, 100, 100, 5 with the following times respectively: 0, 1, 1.5, 2.5, 4, 5, 6, 7, and 8 min. For the quantification and confirmation of each pesticide, two product ions were monitored. For the identification and confirmation of the compounds, the relative response (ion ratio) was used together with their retention times (Table 2), as well as their quantification and confirmation transitions in a soil extract. The recovery tests were conducted on a control sample corresponding to the target soil type of the study at a concentration level of 28.6 µg L−1 of the pesticides analyzed. Linearity was evaluated by injecting soil extract in the concentration range between 0–100 µg L−1. The calibration curves were linear with 1/X adjustment in the concentration range with regression coefficients > 0.99, except for methoxyfenozide, which was 0.98. The limits of detection (LOD) and quantification (LOQ) were determined based on chromatographic peak area criteria following the US Food and Drug Administration’s Bioanalytical Method Validation Guidance (2018) [71]. The data are shown in Table 2.
Table 2.
Validation parameters of pesticides in soil samples.
2.4. Persistence Assay
A microcosm assay was conducted to study the persistence of PDMT, OXF, and TFX in the selected soil and the effect of the addition of the two organic amendments (C and E). Three treatments were performed in parallel: soil with pesticides (S+P), soil with pesticides and compost (S+P+C), and soil with pesticides and cow manure (S+P+E). Each experiment was conducted in triplicate. Samples were taken at 0, 3, 5, 7, 14, and 21 days (Figure 3). To confirm the results of the extraction method, both extraction methods tested were applied to the sample at the beginning of the experiment (t = 0) for the S+P treatment.
Figure 3.
Experimental design of the microcosm persistence assay. Treatments: S+P (soil with pesticides); S+P+C (soil with pesticides and compost); S+P+E (soil with pesticides and cow manure).
For the preparation of the experiment, 4.5 kg of soil were weighed and distributed in equal parts of 1.5 kg in three plastic trays. In the compost tray, 30 g of compost was added since the agronomic application dose is between 20 t ha−1 and 40 t ha−1. Furthermore, 21.5 g were added to the manure tray, taking into account that the agronomic application dose is 20 t ha−1. The soil was completely homogenized, and the organic amendments were applied to ensure that there was contact between the two. Of the commercial pesticide products, 10 times the manufacturer’s recommended application dose for rice cultivation was placed in each soil tray, simulating conditions of high contamination in the soil. For Scorpio (PDMT), this dose was 0.25 kg ha−1, for Goal (OXF) it was 1 L ha−1, and for StompLE (TFXT) it was 3 L ha−1. Thus, in our case, the dose to be applied was calculated based on the amount of soil, and it was obtained that 260 µg of Scorpio, 30 µL of StompLE, and 10 µL of Goal had to be applied. As the amount for Scorpio was so small, a solution of 100 mg L−1 of commercial product was made, and 2.6 mL of this solution was applied. These quantities of commercial products were diluted in 315 mL of Milli-Q water, which was distributed in each of the trays. This amount of water was used because it was the amount corresponding to 70% of the soil’s water holding capacity.
Each dose of pesticide was added to a spray bottle together with 315 mL of water and distributed over the soil surface in the tray while mixing, spraying, and washing the walls of the bottle with the different applications of water. Thus, the theoretical initial application dose of the pesticides per soil mass was 6600 µg kg−1 of PDMT, 1600 µg kg−1 of OXF, and 86.6 µg kg−1 of TFXT. Subsequently, the soil was distributed in sterile 100 mL containers. Each control point of the study was performed in triplicate. A total of 80 g of their respective mixture was placed in each. Each container was correctly labeled, indicating the experiment, day, and repetition. All containers were incubated with the unclosed lids in a dark chamber at room temperature (25 ± 2 °C) for the 21-day duration of the experiment. The only ones that were not incubated were those on day 0, which were directly frozen. For each day of extraction, only the 9 soil samples corresponding to that day were frozen to perform the extraction together. Every 2 to 3 days, both temperature and humidity were monitored by weight.
To interpret the dissipation of the applied pesticides, in each case, first-order regression models were fitted (Equation (1)). Pesticide dissipation in soil is often assumed to be a first-order reaction [72,73,74,75,76,77].
where
C = Co e−kt
- -
- C is the concentration after a given time (t)
- -
- Co is the initial concentration
- -
- k is the dissipation constant
The half-life time was calculated with the regression equation using Equation (2):
t1/2 = Ln 0.5/k
All calculations were performed using Microsoft Office Excel (version 2021 18.0). In order to evaluate the effect of the treatments on the degradation time of the pesticides, a one-factor ANOVA and Tukey’s Post Hoc test were performed. Previously, the homogeneity of the variances was checked with Levene’s statistic, and a test for the normality of the variables (Kolmogorov-Smirnov test) was performed. A t-test for equality of means was also performed, in which the Levene test was previously carried out, as well as the normality test to determine the differences between the recoveries in the extraction methods. The program used was IBM’s SPSS Statistics (version 28).
3. Results and Discussion
3.1. Soil Characteristics
Table 3 shows the results obtained in the analyses of pH, electrical conductivity, humidity, oxidizable organic carbon (COOx), organic matter (MO), and carbonates. The particle size analysis showed the following composition: 31% sand, 39% clay, and 30% silt. Thus, it is a loamy, basic soil, without salinity problems, with a moderate content of organic matter and it is slightly calcareous. This suggests that the soil has a good retention capacity for contaminants.
Table 3.
Soil core properties.
3.2. Comparison of Extraction Method
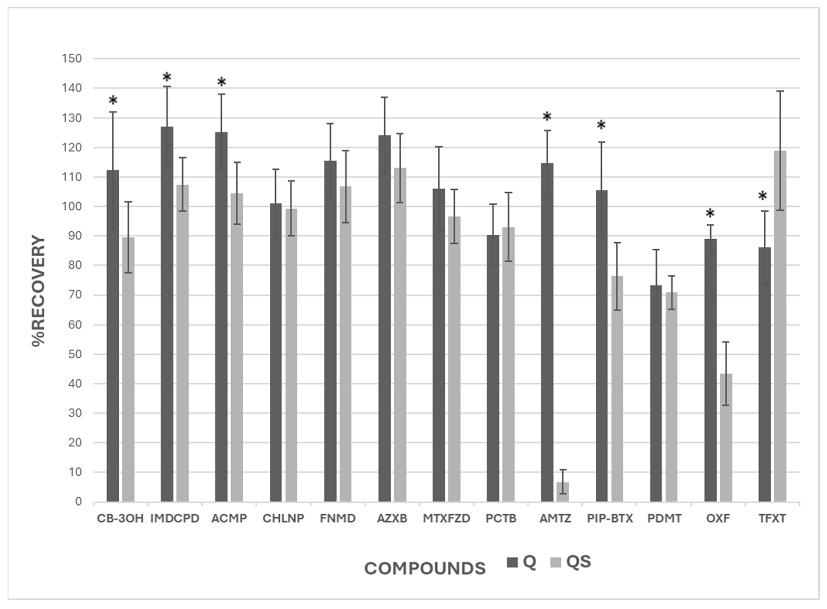
After extracting and quantifying the 13 compounds added to the soil, similar recovery percentages were obtained for 6 of the 13 pesticides. Figure 4 shows the recovery of the compounds in each of the extraction methods and their standard deviation. The recovery data for each method, along with their standard deviations and coefficient of variation (CV), are shown in Table A2.
Figure 4.
Recovery rates (%) of target pesticides using QuEChERS (Q) and QuEChERSER (QS) methods. Asterisks indicate significant differences between methods (mean equality t-test, p < 0.05).
As can be seen, except for AMTZ and OXF, the recovery percentages of all pesticides analyzed are valid in both methods since they are within the accepted range of 70–120%, or 70–130% if their relative standard deviation (RSD) is ≤20 % [78]. The QS method was less satisfactory for extracting AMTZ and OXF, which may be due to the properties of the compounds or the interaction with soil constituents. The low recovery of AMTZ observed in the QS method can be explained by several factors. Although hydrolysis of amitraz is a relevant process contributing to its degradation [79,80,81], it may not be the only cause. It has been observed that amitraz tends to strongly interact with soil constituents, leading to its adsorption onto soil colloids, which hinders its extraction [82,83,84]. Additionally, in the QS method, the absence of salts such as MgSO4 and NaCl, used in the Q method, plays a significant role in the reduced recovery. These salts act as ‘salting out’ agents, facilitating the transfer of relatively polar organic compounds into the organic phase, which enhances their extraction. The lack of these agents in the QS method could be one of the reasons why amitraz is not extracted as effectively. Thus, besides hydrolysis, the interaction with soil components and the absence of salts in the extraction procedure significantly contribute to the low recovery observed. In the case of OXF, as well as AMTZ, it is a pesticide that is strongly retained in the organic matter of soils [85], with high Kow, resulting in high persistence [39,86]. The QS method, which does not use salts to extract compounds in any of its phases, may not be able to remove this pesticide from the soil organomineral complex, which would also explain the low recovery result, showing it does not work well for both AMTZ and OXF pesticides. If we individually compare the recoveries of both methods, it is observed that Q and QS recover soil compounds similarly. The mean of all valid Q recoveries is 105.4%, whereas QS has a mean recovery of 100.6%. In most pesticides, where Q appears to be a slightly better extractor, it tends to overestimate the recoveries above 100%, while QS generally yields values closer to the ideal 100%, reflecting a more accurate estimation. The results of the statistical analysis showed that there were significant differences between the extraction methods for 7 of the 13 pesticides.
Furthermore, Figure 5 shows the results obtained for PDMT, OXF, and TFXT extracted by the two methods at the beginning of the experiment (t = 0) for the soil persistence study. Statistical analysis demonstrated significant differences between both methods for OXF and TFXT, while no significant difference was obtained for PDMT. The Q method was more effective at extracting OXF, while QS was more effective at extracting TFXT. These results confirmed those obtained in the previous trial.
Figure 5.
Initial recovery percentages (time = 0) of PDMT, OXF, and TFXT in the soil + pesticides (S+P) treatment. Asterisks denote significant differences between Q and QS methods (mean equality t-test, p < 0.05).
Although the recovery results were not the best for the OXF in QS, the main reasons for selecting QS as extraction method, and PDMT, OXF and TFX for the persistence experiment were: (i) they are widely used in soils dedicated to intensive agriculture in our area; (ii) we believed that greater or lesser recovery would have little effect on the dissipation results; (iii) moreover, our main interest was to obtain information about what occurred in the persistence trials using the QS extraction method, in order to confirm, or not, the results obtained in the extraction assay, and (iv) QS is faster and robust; then, as indicated by Lehotay (2022) [87], QS method is substantially better than Q for nonpolar analytes in matrices like soils. In addition, its use enables us to improve the knowledge we have about this method for the extraction of these three pesticides in soils.
3.3. Pesticide Persistence in Soil and Effect of Organic Amendment Applications
Table 4 shows the concentration of the pesticide products at each sampling time for the three treatments performed, and Table 5 shows the parameters of the first-order degradation kinetics equations, as well as the half-life times and the ANOVA result for each compound and treatment applied. The three pesticides showed different behaviors. Except in the OXF control, in all other cases, it can be observed that the concentration of the pesticides decreased after 21 days. The concentration of PDMT dissipated moderately; OXF also dissipated moderately, except in the control, in which it did not dissipate. TFXT dissipated much faster in all cases. In addition, it was observed that the application of organic amendments (S+P+C and S+P+E) also favored the dissipation of pesticides in all cases with respect to the control (S+P) (Table 4).
Table 4.
Pesticide concentration (µg kg−1) at each sampling date for the three treatments performed (S+P, soil with pesticides; S+P+C, soil + pesticides + compost addition; and S+P+E, soil + pesticides + manure addition). Data represent mean ± standard deviation, with dissipation percentages (%D) calculated from day 0 to day 21.
Table 5.
First-order kinetics parameters for each treatment and its half-life.
Regarding PDMT, in the S+P treatment, no measurable dissipation was observed. In contrast, after compost amendment, the reduction was 35.2%, and with manure it was 28.9%. In this sense, Garci-Valcarcel et al. (2003) [88] demonstrated that persistence is greater in soils that have not been treated with organic amendments, which is explained by the fact that PDMT interacts with the soluble organic matter provided by organic amendments, so it is more bioavailable for degradation. Another study by Tsiropoulos & Miliadis (1998) [89] showed that the half-life time of PDMT in soil increased slightly with dose. When the minimum recommended dose was applied, the half-life time was 37 days, whereas when the maximum recommended dose was applied, it was 39 days. In our case, 10 times the recommended average dose was applied, so the half-life time increased to 63 days in the control. Other authors [90] have shown that PDMT can persist in the soil for up to 90 days, coinciding with the wheat harvest period; however, it was observed that persistence can be influenced by cultivation practices, soil temperature and humidity, as well as soil type. Although a decrease in herbicide concentration was observed in amended soils at the end of the experiment (Table 4), no significant differences in half-life were found between treatments (Table 5).
OXF showed high variability at the beginning of the experiment on tree treatments, which may be due to the spraying, homogenization, and sampling process. This variability decreased due to the moistening and homogenization performed in each sampling. Then, OXF did not reduce its concentration in the S+P treatment during the experiment. Compost reduced its initial concentration by 23.3%, while manure did so by 25.8%. These results are similar to those obtained in other studies [86,91,92], which show that the low concentration of OXF in the soil is related to its high content of organic matter after the application of organic amendments, which favors microbiological activity, thus accelerating its biodegradation and decreasing its persistence. Furthermore, the study conducted by Mohamed et al. (2011) [93] shows that degradation in soil without the addition of organic matter is much lower at 28 °C than at 40 °C, so it is highly influenced by temperature. The temperature at which this experiment was carried out was around 25 °C, so degradation in the control was practically zero. This study also shows that the application of fertilizers increased the degradation of OXF. On the other hand, other studies [94,95] show that OXF degrades more poorly in clay soils. Kumbhar & Mukesh (2017) [94] observed that the concentration of this compound in clay soils was reduced by only 9% after 20 days. This experiment was conducted on loamy-clayed soil, so the high persistence of the pesticide in the control soil can also be explained by this aspect. Mantzos et al. (2014) [96] obtained that OXF has low mobility in the soil and does not leach, as it was detected in very low concentrations below 10 cm depth. This shows that its potential to contaminate adjacent waters is very low and that where it is applied is where it persists. The ANOVA results showed significant differences between the treatments, indicating that the application of organic amendments favors the dissipation of this herbicide in the soil, although the effect of compost or manure application was not significant between them. The half-lives were 53 days in compost and 58 days in manure (Table 5).
Regarding TFXT, the results show that there is a constant and noticeable decrease in its concentration in all cases. After 15 days, it had practically dissipated in the S+P treatment and the amended soils. This fungicide is undoubtedly a case of the pesticide dissipating the fastest in the soil, both after the application of organic amendments and without their application. At the end of the experiment, the concentration in S+P was reduced by 91.4%, while that of S+P+C was 94.2%, and in S+P+E was 97%. Quite a few studies have demonstrated the degradation of TFXT in soil, as well as in soil and crop mixtures susceptible to fungal diseases [44,97,98,99]. In some cases, it has been observed to decompose rapidly in soils, and its residues have been shown to dissipate below the detection limit in 15 days. Additionally, its half-life time was 3.48 days when its application dose is doubled in grape leaves [44]. Its half-life times vary depending on the dose of application, but they show the pattern that an increase in dose leads to an increase in half-life time. They all lie between the maximum value of 6.2 days and the minimum of 1.58 days. The half-life time obtained in our experiment was 5.2 days in the S+P and in S+P+C soil and 4.5 days in the S+P+E treatment, consistent with the results previously discussed. Another study conducted by Banerjee et al. (2006) [100] showed that TFXT degradation is independent of latitude and that it is effectively degraded in different soils in different geographical regions. In addition, it confirms that it is strongly adsorbed in the soils studied. We have not found studies demonstrating the effectiveness of the application of organic amendments in the degradation of TFXT; however, other studies with other strobilurins have shown that the application of organic amendments improves its degradation AZXB, PCTB and TFXT, all share the characteristic methoxyacrylate pharmacophore and a highly lipophilic aromatic core—features that promote strong soil adsorption and render them susceptible to microbial hydrolysis [101,102]. Although bibliographic data on TFXT is limited, these structural and physicochemical similarities among the three strobilurins suggest that TFXT may respond to organic amendments in much the same way as AZXB and PCTB. Thus, it has been observed that the degradation of AZXB showed a significant decrease in its half-life time after compost application [103]. Other authors [74] observed that the half-life times of AZXB decreased in soils with a higher content of organic matter, nitrogen, and biomass carbon, as well as with higher respiration rates, which supports the role of biological activity in the degradation of this type of fungicide. Zhang et al. (2021) [104] also observed that the application of biochar to soils reduced the inhibitory impact of PCTB on soil microbiota, as well as the pesticide concentration itself in the soil. In our case, the statistical analysis showed that the application of a compost is not significant for the half-life time of TFXT in soil. However, the application of cow manure did significantly reduce the average lifetime. Either way, TFXT’s half-life time was very short in all cases.
Finally, it should be noted that the application of organic amendments led to a decrease in half-life times in all cases, except for TFXT after compost application. In this case, the half-life remained as short as in the control (5.2 days). Compost decreased, to a greater extent, the half-life time with respect to manure (33 days with respect to 50 days for PDMT and 53–58 days for OXF) (Table 5), which is equivalent to reductions of 45% and 77% respectively. For TFXT, it remained the same. With the application of cow manure, the half-life time was reduced by 20% for PDMT, 74.9% for OXF, and 13.5% for TFXT.
4. Conclusions
In this study, the QS mega-method was compared with the classical Q method for the analysis of 13 pesticides in a Mediterranean calcic Luvisol. Additionally, the persistence of three of these pesticides (PDMT, OXF, and TFXT) was evaluated in this soil under three conditions: without amendment (S+P), with biowaste compost (S+P+C), and with cow manure (S+P+E).
The application of both extraction methods showed that, in most cases, Q and QS recovered a significant proportion of the target compounds, although the efficiency varied depending on the pesticide. Notably, the QS method showed low recoveries for AMTZ, and OXF, showing that it is not a suitable method for their extraction. These results suggest that further research is needed to clarify under which conditions and for which compounds the QS method performs reliably, in order to validate its broader application across different soil types.
Following the evaluation of the persistence of PDMT, OXF, and TFTX in the selected soil and the effect of the application of two organic amendments (biowaste compost and cow manure), it was found that the herbicide OXF was the most persistent, while the fungicide TFXT showed very little persistence; the herbicide PDMT showed an intermediate behavior. PMDT and OXF were persistent in the non-amended soil. The soil persistence of the three pesticides decreased after the application of compost or cow manure. The half-life times obtained in the S+P+C and S+P+E treatments were: 33 d and 50 d for the herbicide PDMT, and 53 d and 58 d for OXF. For the ungicide TFXT, the half-life times were 5.2 d, 5.2 d, and 4.5 d for S+P, S+P+C, and S+P+E, respectively. The application of the two organic amendments, under laboratory conditions, significantly decreased the half-life time of PMDT, OXF, and TFXT. PDMT and OXF significantly reduced their half-life time after application of both compost and cow manure; the TXFT did so after the manure application.
Future studies might perform validation in different soils and evaluate the recovery of other pesticides. In addition, more studies are needed in order to determine whether the application of organic amendments facilitates the degradation of these pesticides and under what conditions they are more effective. It is also necessary to study the impact of these compounds on soil biodiversity and soil properties in order to promote more appropriate legislation and standards for the use of these substances, as well as stricter controls to avoid their excessive use and unnecessary risks.
Author Contributions
Conceptualization, R.B., A.A.-C., M.G., L.R.-P., and O.A.-S.; methodology, R.B., A.A.-C., E.F.-G., and M.G.; validation, M.G.; investigation, A.A.-C. and E.F.-G.; data curation, R.B., and A.A.-C.; writing—original draft preparation, A.A.-C.; writing—review and editing, R.B., L.R.-P., and O.A.-S.; supervision, R.B., E.F.-G., M.G., L.R.-P., and O.A.-S.; project administration, R.B., M.G., L.R.-P., and O.A.-S.; funding acquisition, R.B., L.R.-P., and O.A.-S. All authors have read and agreed to the published version of the manuscript.
Funding
This research received no external funding.
Institutional Review Board Statement
Not applicable.
Informed Consent Statement
Not applicable.
Data Availability Statement
The authors confirm that the data supporting the findings of this study are available within the article.
Acknowledgments
This work was supported by the Research Unit in Soils, Waste, and Environment (SUREyMA), Faculty of Pharmacy, Department of Plant Biology, University of Valencia. Special thanks to Màrius Tarrés and Scharlab S.L. for their assistance in preparing the materials for the QuEChERSER method. The authors wish to acknowledge the invaluable contributions of Miguel Gamón Vila (recently deceased), whose work was essential to this study (In Memoriam).
Conflicts of Interest
The authors declare no conflicts of interest.
Appendix A
Table A1.
Physicochemical properties of target pesticides.
Table A1.
Physicochemical properties of target pesticides.
| Compound | Water Solubility (mg/L) (20 °C) | Log Kow (21°) | VP (mmHg) (25 °C) |
|---|---|---|---|
| CB-3OH | NA | NA | NA |
| IMDCPD | 610 | 0.570 | 4.4 × 10−5 |
| ACMP | 4250 | 0.8 | NA |
| CHLNP | 1 | 2.76 | NA |
| FNMD | NA | NA | NA |
| AZXB | 6 | 2.50 | 8.3 × 10−13 |
| MTXFZD | 3.3 | 3.7 | NA |
| PCTB | 1.9 | 3.99 | 1.95 × 10−10 |
| AMTZ | 1 | 5.5 | 2 × 10−6 |
| PIP-BTX | 14.3 | 4.75 | 2.6 × 10−7 |
| PDMT | 0.33 | 5.20 | 2.4 × 10−6 |
| OXF | 0.116 | 4.73 | 2.1 × 10−7 |
| TFXT | 0.61 | 4.5 | 2.5 × 10−8 |
NA: not available. Source: National library of medicine. PubChem.US 2024. [105].
Table A2.
Recovery rates (mean), standard deviation (SD), and relative standard deviation (RSD) of target pesticides using QuEChERS (Q) and QuEChERSER (QS) methods.
Table A2.
Recovery rates (mean), standard deviation (SD), and relative standard deviation (RSD) of target pesticides using QuEChERS (Q) and QuEChERSER (QS) methods.
| Q | QS | |||||
|---|---|---|---|---|---|---|
| Compound | Mean | SD | RSD | Mean | SD | RSD |
| CB-3OH | 112.2 | 19.8 | 17.7 | 89.6 | 12.0 | 13.4 |
| IMDCPD | 126.9 | 13.6 | 10.7 | 107.5 | 9.1 | 8.4 |
| ACMP | 125.2 | 12.8 | 10.2 | 104.5 | 10.5 | 10.1 |
| CHLNP | 100.9 | 11.5 | 11.4 | 99.3 | 9.2 | 9.3 |
| FNMD | 115.5 | 12.7 | 11.0 | 106.7 | 12.1 | 11.4 |
| AZXB | 124.2 | 12.8 | 10.3 | 113.1 | 11.7 | 10.3 |
| MTXFZD | 106.1 | 14.2 | 13.4 | 96.6 | 9.2 | 9.5 |
| PCTB | 90.4 | 10.4 | 11.5 | 93.1 | 11.6 | 12.4 |
| AMTZ | 114.7 | 11.0 | 9.6 | 6.8 | 4.1 | 60.4 |
| PIP-BTX | 105.6 | 16.2 | 15.3 | 76.3 | 11.5 | 15.0 |
| PDMT | 73.3 | 12.2 | 16.6 | 70.8 | 5.5 | 7.8 |
| OXF | 89.1 | 4.5 | 5.1 | 43.5 | 10.8 | 24.9 |
| TFXT | 86.0 | 12.4 | 14.4 | 118.9 | 20.2 | 16.9 |
References
- Soares, A.F.S.; Leao, M.M.D.; Neto, M.R.V. Environmental fate of pesticides applied on coffee crops in southeast of Brazil. Afr. J. Environ. Sci. Technol. 2017, 11, 103–112. [Google Scholar] [CrossRef]
- Chen, S.; Bo, X.; Xu, Z. Mapping pesticide residues in soil for China: Characteristics and risks. J. Hazard Mater. 2024, 479, 135696. [Google Scholar] [CrossRef] [PubMed]
- Satiroff, J.A.; Messer, T.L.; Mittelstet, A.R.; Snow, D.D. Pesticide occurrence and persistence entering recreational lakes in watersheds of varying land uses. Environ. Pollut. 2021, 273, 116399. [Google Scholar] [CrossRef]
- Pathan, A.R.K.; Jakhar, B.L.; Dhaka, S.R.; Nitharwal, M.; Jatav, H.S.; Dudwal, R.G.; Yadav, A.K.; Choudhary, S.K.; Gauttam, V.; Rajput, V.D.; et al. Persistence and dissipation kinetics of novaluron 9.45% + lambda-cyhalothrin 1.9% ZC insecticides in tomato crop under semi-arid region. Environ. Geochem. Health 2023, 3, 9293–9302. [Google Scholar] [CrossRef]
- Galon, L.; Bragagnolo, L.; Korf, E.P.; dos Santos, J.B.; Barroso, G.M.; Ribeiro, V.H.V. Mobility and environmental monitoring of pesticides in the atmosphere—A review. Environ. Sci. Pollut. Res. 2021, 28, 32236–32255. [Google Scholar] [CrossRef]
- Yao, X.F.; Zhang, N.; Liu, J.; Yang, H. Transport and Environmental Risks of Propachlor Within the Soil-Plant-Water Phase as Affected by Dissolved Organic Matter as a Nonionic Surfactant. ACS Omega 2023, 8, 4694–4702. [Google Scholar] [CrossRef]
- Vašíčková, J.; Hvězdová, M.; Kosubová, P.; Hofman, J. Hofman. Ecological risk assessment of pesticide residues in arable soils of the Czech Republic. Chemosphere 2019, 216, 479–487. [Google Scholar] [CrossRef] [PubMed]
- Hao, N.; Zhang, H.; Jia, H.; Zhao, Y.; Li, J.; Feng, X.; Tang, B.; Zhao, B.; Liu, Y. Effects of chlorantraniliprole on soil microbial communities and enzymatic activities. J. Xenobiotics 2025, 15, 4. [Google Scholar] [CrossRef]
- Kumar, V.; Yadav, C.S.; Banerjee, B.D. Xeno-Estrogenic Pesticides and the Risk of Related Human Cancers. J. Xenobiot. 2022, 12, 344–355. [Google Scholar] [CrossRef]
- Perez, C.N.; Carré, F.; Hoarau-Belkhiri, A.; Joris, A.; Leonards, P.E.G.; Lamoree, M.H. Innovations in analytical methods to assess the occurrence of microplastics in soil. J. Environ. Chem. Eng. 2022, 10, 107421. [Google Scholar] [CrossRef]
- Phillips, J.D. Soil Complexity and Pedogenesis. Soil Sci. 2017, 182, 117–127. [Google Scholar] [CrossRef]
- Brammer, H.; Nachtergaele, F.O. Implications of soil complexity for environmental monitoring. Int. J. Environ. Stud. 2015, 72, 56–73. [Google Scholar] [CrossRef]
- Anastassiades, M.; Lehotay, S.J.; Štajnbaher, D.; Schenck, F.J. Fast and Easy Multiresidue Method Employing Acetonitrile Extraction/Partitioning and “Dispersive Solid-Phase Extraction” for the Determination of Pesticide Residues in Produce. J. AOAC Int. 2003, 86, 412–431. [Google Scholar] [CrossRef]
- Cvetkovic, J.S.; Mitic, V.D.; Jovanovic, V.P.S.; Dimitrijevic, M.V.; Petrovic, G.M.; Nikolic-Mandic, S.D.; Stojanovic, G.S. Optimization of the QuEChERS extraction procedure for the determination of polycyclic aromatic hydrocarbons in soil by gas chromatography-mass spectrometry. Anal. Methods 2016, 8, 1711–1720. [Google Scholar] [CrossRef]
- Juan, C.; Mañes, J.; Font, G.; Juan-García, A. Determination of mycotoxins in fruit berry by-products using QuEChERS extraction method. LWT 2017, 86, 344–351. [Google Scholar] [CrossRef]
- Norli, H.R.; Christiansen, A.; Deribe, E. Application of QuEChERS method for extraction of selected persistent organic pollutants in fish tissue and analysis by gas chromatography mass spectrometry. J. Chromatogr. A 2011, 1218, 7234–7241. [Google Scholar] [CrossRef]
- Westland, J.L.; Dorman, F.L. QuEChERS extraction of benzodiazepines in biological matrices. J. Pharm. Anal. 2013, 3, 509–517. [Google Scholar] [CrossRef]
- Song, J.-G.; Cao, C.; Li, J.; Xu, Y.-J.; Liu, Y. Development and Validation of a QuEChERS-LC-MS/MS Method for the Analysis of Phenolic Compounds in Rapeseed Oil. J. Agric. Food Chem. 2019, 67, 4105–4112. [Google Scholar] [CrossRef]
- Tian, F.; Qiao, C.; Luo, J.; Guo, L.; Pang, T.; Pang, R.; Li, J.; Wang, C.; Wang, R.; Xie, H. Development and validation of a method for the analysis of five diamide insecticides in edible mushrooms using modified QuEChERS and HPLC-MS/MS. Food Chem. 2020, 333, 127468. [Google Scholar] [CrossRef]
- Acosta-Dacal, A.; Rial-Berriel, C.; Díaz-Díaz, R.; Bernal-Suárez, M.M.; Luzardo, O.P. Optimization and validation of a QuEChERS-based method for the simultaneous environmental monitoring of 218 pesticide residues in clay loam soil. Sci. Total Environ. 2020, 78, 142015. [Google Scholar] [CrossRef]
- De Mastro, F.; Cocozza, C.; Traversa, A.; Cacace, C.; Mottola, F.; Mezzina, A.; Brunetti, G. Validation of a modified QuEChERS method for the extraction of multiple classes of pharmaceuticals from soils. Chem. Biol. Technol. Agric. 2022, 9, 49. [Google Scholar] [CrossRef]
- Goon, A.; Kundu, C.; Ganguly, P. Development of a Modified QuEChERS Method Coupled with LC-MS/MS for Determination of Spinetoram Residue in Soybean (Glycine max) and Cotton (Gossypium hirsutum). J. Xenobiotics 2023, 13, 2–15. [Google Scholar] [CrossRef]
- Monteiro, S.H.; Lehotay, S.J.; Sapozhnikova, Y.; Ninga, E.; Lightfield, A.R. High-Throughput Mega-Method for the Analysis of Pesticides. Veterinary Drugs. and Environmental Contaminants by Ultra-High-Performance Liquid Chromatography-Tandem Mass Spectrometry and Robotic Mini-Solid-Phase Extraction Cleanup + Low-Pressure Gas Chromatography-Tandem Mass Spectrometry. Part 1: Beef. J. Agric. Food Chem. 2021, 69, 1159–1168. [Google Scholar] [CrossRef]
- Michlig, N.; Lehotay, S.J.; Lightfield, A.R.; Beldoménico, H.; Repetti, M.R. Validation of a high-throughput method for analysis of pesticide residues in hemp and hemp products. J. Chromatogr. A 2021, 1645, 462097. [Google Scholar] [CrossRef] [PubMed]
- Monteiro, S.H.; Lehotay, S.J.; Sapozhnikova, Y.; Ninga, E.; Andrade, G.C.M.; Lightfield, A.R. Validation of the QuEChERSER mega-method for the analysis of pesticides. veterinary drugs. and environmental contaminants in tilapia (Oreochromis niloticus). Food Addit. Contam. Part A 2022, 39, 699–709. [Google Scholar] [CrossRef]
- Ninga, E.; Lehotay, S.J.; Sapozhnikova, Y.; Lightfield, A.R.; Strahan, G.D.; Monteiro, S.H. Analysis of pesticides. veterinary drugs. and environmental contaminants in goat and lamb by the QuEChERSER mega-method. Anal. Methods 2022, 14, 2761–2770. [Google Scholar] [CrossRef] [PubMed]
- García, M.G.; Sánchez, J.I.L.; Bravo, K.A.S.; Cabal, M.D.C.; Pérez-Santín, E. Review: Presence. distribution and current pesticides used in Spanish agricultural practices. Sci. Total Environ. 2022, 845, 157291. [Google Scholar] [CrossRef]
- Sathishkumar, P.; Mohan, K.; Ganesan, A.R.; Govarthanan, M.; Yusoff, A.R.M.; Gu, F.L. Persistence. toxicological effect and ecological issues of endosulfan—A review. J. Hazard Mater. 2021, 416, 125779. [Google Scholar] [CrossRef]
- Martins-Gomes, C.; Silva, T.L.; Andreani, T.; Silva, A.M. Glyphosate vs. Glyphosate-Based Herbicides Exposure: A Review on Their Toxicity. J. Xenobiotics 2022, 12, 21–40. [Google Scholar] [CrossRef]
- Singh, Z.; Kaur, J.; Kaur, R.; Hundal, S.S. Toxic Effects of Organochlorine Pesticides: A Review. Am. J. Biosci. 2016, 4, 11. [Google Scholar] [CrossRef]
- Kwong, T.C. Organophosphate Pesticides: Biochemistry and Clinical Toxicology. Ther. Drug Monit. 2002, 24, 144–149. [Google Scholar] [CrossRef] [PubMed]
- Niu, S.; Dong, Z.; Li, L.; Ng, C. Identifying long-term health risks associated with environmental chemical incidents. J. Hazard Mater. 2024, 478, 135432. [Google Scholar] [CrossRef]
- Kar, A.; Deole, S.; Nayak, R.R.; Gupta, A.K.; Gadratagi, B.G.; Patil, N.; Guru-Pirasanna-Pandi, G.; Mahapatra, B.; Mahanty, A.; Adak, T. Distribution and risk assessment of pesticide pollution in small streams adjoining paddy fields. J. Hazard Mater. 2024, 469, 133852. [Google Scholar] [CrossRef] [PubMed]
- Strandberg, M.; Scott-Fordsmand, J.J. Effects of pendimethalin at lower trophic levels—A review. Ecotoxicol. Environ. Saf. 2004, 57, 190–201. [Google Scholar] [CrossRef] [PubMed]
- New Jersey Department of Health. Pendimethalin—Hazardous Substance Fact Sheet. Right to Know Program; August 2012. Available online: https://www.nj.gov/health/eoh/rtkweb/documents/fs/3415.pdf (accessed on 25 May 2025).
- Arici, M.; Abudayyak, M.; Boran, T.; Özhan, G. Does pendimethalin develop in pancreatic cancer induced inflammation? Chemosphere 2020, 252, 126644. [Google Scholar] [CrossRef]
- Kumar Singh, B.; Walker, A.; Wright, D.J. Persistence of Chlorpyrifos, Fenamiphos, Chlorothalonil, and Pendimethalin in Soil and Their Effects on Soil Microbial Characteristics. Bull. Environ. Contam. Toxicol. 2002, 69, 181–188. [Google Scholar] [CrossRef]
- Huang, B.; Li, J.; Fang, W.; Liu, P.; Guo, M.; Yan, D.; Wang, Q.; Cao, A. Effect of Soil Fumigation on Degradation of Pendimethalin and Oxyfluorfen in Laboratory and Ginger Field Studies. J. Agric. Food Chem. 2016, 64, 8710–8721. [Google Scholar] [CrossRef]
- Priya, R.S.; Janaki, P.; Arthanari, P.M.; Priya, S.; Chinnusamy, C. Persistence and carryover effect of oxyfluorfen residues in red sandy clay loam soil. J. Pharmacogn. Phytochem. 2017, 6, 527–532. Available online: https://www.phytojournal.com/archives/2017.v6.i3.1269/persistence-and-carryover-effect-of-oxyfluorfen-residues-in-red-sandy-clay-loam-soil (accessed on 23 May 2025).
- Stagg, N.J.; LeBaron, M.J.; Eisenbrandt, D.L.; Gollapudi, B.B.; Klaunig, J.E. Assessment of possible carcinogenicity of oxyfluorfen to humans using mode of action analysis of rodent liver effects. Toxicol. Sci. 2012, 128, 334–345. [Google Scholar] [CrossRef]
- Bartlett, D.W.; Clough, J.M.; Godwin, J.R.; Hall, A.A.; Hamer, M.; Parr-Dobrzanski, B. The strobilurin fungicides. Pest Manag. Sci. 2002, 58, 649–662. [Google Scholar] [CrossRef]
- National Center for Biotechnology Information (NCBI). PubChem Database. Trifloxystrobin. Available online: https://pubchem.ncbi.nlm.nih.gov/compound/Trifloxystrobin (accessed on 25 May 2025).
- Cui, F.; Chai, T.; Liu, X.; Wang, C. Toxicity of three strobilurins (kresoxim-methyl. pyraclostrobin. and trifloxystrobin) on Daphnia magna. Environ. Toxicol. Chem. 2017, 36, 182–189. [Google Scholar] [CrossRef] [PubMed]
- Jyot, G.; Arora, P.K.; Sahoo, S.K.; Singh, B.; Battu, R.S. Persistence of trifloxystrobin and tebuconazole on grape leaves. grape berries and soil. Bull. Environ. Contam. Toxicol. 2010, 84, 305–310. [Google Scholar] [CrossRef] [PubMed]
- Larson, W.E.; Pierce, F.J. The Dynamics of Soil Quality as a Measure of Sustainable Management. In Defining Soil Quality for a Sustainable Environment; Soil Science Society of America, Inc.: Madison, WI, USA, 1994. [Google Scholar] [CrossRef]
- Doran, J.W.; Parkin, T.B. Defining and Assessing Soil Quality. In Defining Soil Quality for a Sustainable Environment; Soil Science Society of America, Inc.: Madison, WI, USA, 1994. [Google Scholar] [CrossRef]
- Sales da Silva, I.G.; Gomes de Almeida, F.C.; Padilha da Rocha e Silva, N.M.; Casazza, A.A.; Converti, A.; Asfora Sarubbo, L. Soil Bioremediation: Overview of Technologies and Trends. Energies 2020, 13, 4664. [Google Scholar] [CrossRef]
- Grifoni, M.; Pedron, F.; Franchi, E.; Fusini, D.; Reverberi, A.P.; Vocciante, M. Green Remediation for the Sustainable Management of Oil Spills in Agricultural Areas. Chem. Eng. Trans. 2022, 94, 829–834. [Google Scholar] [CrossRef]
- Iranzo, M.; Sainz-Pardo, I.; Boluda, R.; Sánchez, J.; Mormeneo, S. The use of microorganisms in environmental remediation. Ann. Microbiol. 2001, 51, 135–143. Available online: https://www.researchgate.net/publication/238087329_The_use_of_microorganisms_in_environmental_remediation (accessed on 23 May 2025).
- Gibert, O.; Sánchez, D.; Luis Cortina, J. Removal of nitrate and pesticides from groundwater by nano zero-valent iron injection pulses under biostimulation and bioaugmentation scenarios in continuous-flow packed soil columns. J. Environ. Manag 2022, 321, 115965. [Google Scholar] [CrossRef]
- Silva, M.G.; Volcão, L.M.; Seus, E.R.; Machado, M.I.; Mirlean, N.; Baisch, P.R.M.; da Silva Júnior, F.M.R. Comparative evaluation of different bioremediation techniques for crude oil-contaminated soil. Int. J. Environ. Sci. Technol. 2022, 19, 2823–2834. [Google Scholar] [CrossRef]
- Iranzo, M.; Gamón, M.; Boluda, R.; Mormeneo, S. Analysis of pharmaceutical biodegradation of WWTP sludge using composting and identification of certain microorganisms involved in the process. Sci. Total Environ. 2018, 640, 840–848. [Google Scholar] [CrossRef]
- Isakovski, M.K.; Jevrosimov, I.; Tamindžija, D.; Apostolović, T.; Knicker, H.; de la Rosa, J.M.; Rončević, S.; Maletić, S. Enhanced retention of hydrophobic pesticides in subsurface soils using organic amendments. J. Hazard Mater. 2024, 480, 135738. [Google Scholar] [CrossRef]
- Cai, X.; Yuan, Y.; Yu, L.; Zhang, B.; Li, J.; Liu, T.; Yu, Z.; Zhou, S. Biochar enhances bioelectrochemical remediation of pentachlorophenol-contaminated soils via long-distance electron transfer. J. Hazard Mater. 2020, 391, 122213. [Google Scholar] [CrossRef]
- Purnomo, A.S.; Koyama, F.; Mori, T.; Kondo, R. DDT degradation potential of cattle manure compost. Chemosphere 2010, 80, 619–624. [Google Scholar] [CrossRef] [PubMed]
- Coppola, L.; del Pilar Castillo, M.; Vischetti, C. Degradation of isoproturon and bentazone in peat- and compost-based biomixtures. Pest Manag. Sci. 2011, 67, 107–113. [Google Scholar] [CrossRef]
- Baldantoni, D.; Morelli, R.; Bellino, A.; Prati, M.V.; Alfani, A.; De Nicola, F. Anthracene and benzo(a)pyrene degradation in soil is favoured by compost amendment: Perspectives for a bioremediation approach. J. Hazard Mater. 2017, 339, 395–400. [Google Scholar] [CrossRef]
- Ren, X.; Zeng, G.; Tang, L.; Wang, J.; Wang, J.; Deng, Y.; Liu, Y.; Peng, B. The potential impact on the biodegradation of organic pollutants from composting technology for soil remediation. Waste Manag. 2018, 72, 138–149. [Google Scholar] [CrossRef] [PubMed]
- Gaonkar, O.D.; Nambi, I.M.; Govindarajan, S.K. Govindarajan. Soil organic amendments: Impacts on sorption of organophosphate pesticides on an alluvial soil. J. Soils Sediments 2019, 19, 566–578. [Google Scholar] [CrossRef]
- Das, S.K.; Mukherjee, I. Effect of moisture and organic manure on persistence of flubendiamide in soil. Bull Environ Contam. Toxicol. 2012, 88, 515–520. [Google Scholar] [CrossRef] [PubMed]
- FAO. Guía Para la Descripción de Suelos. 2009. Available online: https://openknowledge.fao.org/handle/20.500.14283/a0541s (accessed on 23 May 2025).
- UNE-EN 16179; Sludge, Treated Biowaste and Soil—Guidance for Sample Pretreatment. Spanish Association for Standardization (AENOR): Madrid, Spain, 2013.
- UNE-EN 16586; Soil Quality—Determination of Soil Moisture Content as a Volume Fraction Based on Bulk Density—Gravimetric Method. Spanish Association for Standardization (AENOR): Madrid, Spain, 2006.
- UNE-EN 10390; Sludge, Treated Biowaste and Soil—Determination of pH. Spanish Association for Standardization (AENOR): Madrid, Spain, 2022.
- UNE-EN 77308; Soil Quality—Determination of Specific Electrical Conductivity. Spanish Association for Standardization (AENOR): Madrid, Spain, 2001.
- NTC 6299; Soil Quality—Determination of Texture by the Bouyoucos Method. Instituto Colombiano de Normas Técnicas y Certificación (ICONTEC): Bogotá, Colombia, 2018.
- UNE-EN 10693; Soil Quality—Determination of Carbonate Content—Volumetric Method. Spanish Association for Standardization (AENOR): Madrid, Spain, 2014.
- UNE 103204; Determination of Oxidizable Organic Matter Content in Soil by Potassium Permanganate Method. Spanish Association for Standardization (AENOR): Madrid, Spain, 2019.
- UNE-EN 13039; Soil Improvers and Growing Media—Determination of Organic Matter Content and Ash. Spanish Association for Standardization (AENOR): Madrid, Spain, 2012.
- Bruzzoniti, M.C.; Checchini, L.; De Carlo, R.M.; Orlandini, S.; Rivoira, L.; Del Bubba, M. QuEChERS sample preparation for the determination of pesticides and other organic residues in environmental matrices: A critical review. Anal. Bioanal. Chem. 2014, 406, 4089–4116. [Google Scholar] [CrossRef]
- U.S. Food and Drug Administration (FDA). Bioanalytical Method Validation Guidance for Industry; FDA: Silver Spring, MD, USA, 2018.
- Pennell, K.D.; Hornsby, A.G.; Jessup, R.E.; Rao, P.S.C. Evaluation of five simulation models for predicting Aldicarb and Bromide behaviour under field conditions. Water Resour. 1990, 26, 2679–2693. [Google Scholar]
- Redondo, M.J.; Ruiz, M.J.; Font, G.; Boluda, R. Dissipation and Distribution of Atrazine, Simazine, Chlorpyrifos, and Tetradifon Residues in Citrus Orchard Soil. Arch. Environ. Contam. Toxicol. 1997, 32, 346–352. [Google Scholar] [CrossRef]
- Vila, M.G.; Sancenón, J.; Roca, L.; Boluda, R. Persistencia de azoxystrobin. imidacloprid y MCPA en suelos mediterráneos bajo diferentes usos. In Química Agrícola: Plaguicidas, Contaminación Agroindustrial, Ecoeficiencia y Toxicología; ADC Alternativas de comunicación SL: Murcia, Spain, 2021; pp. 43–68. [Google Scholar]
- FOCUS (Forum for the Co-Ordination of Pesticide Fate Models and Their Use). Guidance Document on Estimating Persistence and Degradation Kinetics from Environmental Fate Studies on Pesticides in EU Registration; Version 1.1; European Commission: Brussels, Belgium, 2014. [Google Scholar]
- El-Aswad, A.F.; Mohamed, A.E.; Fouad, M.R. Investigation of dissipation kinetics and half-lives of fipronil and thiamethoxam in soil under various conditions using experimental modeling design by Minitab software. Sci. Rep. 2024, 14, 5717. [Google Scholar] [CrossRef]
- Cervantes-Díaz, A.; Alonso-Prados, E.; Alonso-Prados, J.; Sandín-España, P. Assessing the effect of organic amendments on the degradation of profoxydim in paddy soils: Kinetic modeling and identification of degradation products. Sci. Total Environ. 2024, 912, 169072. [Google Scholar] [CrossRef]
- E.C. Health and Food Safety. Analytical Quality Control and Method Validation Procedures for Pesticide Residues Analysis in Food and Feed. SANTE 11312/2021. 2021. Available online: https://www.eurl-pesticides.eu/docs/public/tmplt_article.asp?CntID=727 (accessed on 23 May 2025).
- Brimecombe, R.D.; Limson, J.L. Electrochemical Investigation of the Effect of pH and Solvent on Amitraz Stability. Agric. Food Chem. 2006, 54, 8139–8143. [Google Scholar] [CrossRef] [PubMed]
- Bommuraj, V.; Chen, Y.; Klein, H.; Sperling, R.; Barel, S.; Shimshoni, J.A. Pesticide and trace element residues in honey and beeswax combs from Israel in association with human risk assessment and honey adulteration. Food Chem. 2019, 299, 125123. [Google Scholar] [CrossRef]
- Van Eeden, C.M.; Liebenberg, W.; Du Preez, J.L.; De Villiers, M.M. Solvent and Surfactant Enhanced Solubilization. Stabilization. and Degradation of Amitraz. J. Environ. Sci. Health B 2004, 39, 33–51. [Google Scholar] [CrossRef] [PubMed]
- de Villiers, M.M.; van Eeden, C.M.; Malan, S.F.; Devarakonda, B.; Liebenberg, W.; Kolling, W.M. The Relationship Between Surface Adsorption and the Hydrolysis of Amitraz in Anionic Surfactant Solutions. J. Environ. Sci. Health B 2005, 40, 215–231. [Google Scholar] [CrossRef] [PubMed]
- Gülen, J.; Altın, Z.; Özgür, M. Adsorption of amitraz on the clay. Am. J. Eng. Res. 2013, 2, 1–8. [Google Scholar]
- Filazi, A.; Yurdakok-Dikmen, B. Chapter 40—Amitraz. In Veterinary Toxicology, 4th ed.; Gupta, R.C., Ed.; Academic Press: Cambridge, MA, USA, 2025; pp. 531–537. [Google Scholar] [CrossRef]
- Sireesha, A.; Rao, P.C.; Swapna, G.; Ramalakshmi, C.S. Persistence of pendimethalin and oxyfluorfen at different temperature and moisture levels in an alfisol and vertisol. Indian J. Weed Sci. 2011, 43, 181–187. Available online: https://isws.org.in/IJWSn/File/2011_43_Issue-3&4_181-187.pdf (accessed on 23 May 2025).
- Sondhia, S. Persistence and bioaccumulation of oxyfluorfen residues in onion. Environ. Monit. Assess. 2010, 162, 163–168. [Google Scholar] [CrossRef]
- Lehotay, S.J. The QuEChERSER Mega-Method. LCGC N. Am. 2022, 40, 13–19. [Google Scholar] [CrossRef]
- García-Valcárcel, A.I.; Tadeo, J.L. Influence of organic fertilizer application on pendimethalin volatilization and persistence in soil. J. Agric. Food Chem. 2003, 51, 999–1004. [Google Scholar] [CrossRef]
- Tsiropoulos, N.G.; Miliadis, G.E. Field Persistence Studies on Pendimethalin Residues in Onions and Soil after Herbicide Postemergence Application in Onion Cultivation. J. Agric. Food Chem. 1998, 46, 291–295. [Google Scholar] [CrossRef]
- Chopra, I.; Chauhan, R.; Kumari, B. Persistence of Pendimethalin in/on Wheat. Straw. Soil and Water. Bull. Environ. Contam. Toxicol. 2015, 95, 694–699. [Google Scholar] [CrossRef] [PubMed]
- Gómez, I.; Rodríguez-Morgado, B.; Parrado, J.; García, C.; Hernández, T.; Tejada, M. Behavior of oxyfluorfen in soils amended with different sources of organic matter. Effects on soil biology. J. Hazard Mater. 2014, 273, 207–214. [Google Scholar] [CrossRef]
- Calderón, M.J.; Real, M.; Cabrera, A.; Koskinen, W.C.; Cornejo, J.; Hermosín, M.C. Influence of Olive Oil Mill Waste Amendment on Fate of Oxyfluorfen in Southern Spain Soils. Clean 2015, 43, 1107–1113. [Google Scholar] [CrossRef]
- Mohamed, A.T.; El Hussein, A.A.; El Siddig, M.A.; Osman, A.G. Degradation of oxyfluorfen herbicide by soil microorganisms biodegradation of herbicides. Biotechnology 2011, 10, 274–279. [Google Scholar] [CrossRef]
- Kumbhar, M.B.; Mukesh, C.; Kumbhar, B.; Prajapati, D.T.; Kp, B. To study the degradation and downward movement of oxyfluorfen in sandy. sandy loam and clayey soils. Int. J. Chem. Stud. 2017, 5, 498–501. Available online: https://www.chemijournal.com/archives/2017/vol5issue6/PartG/5-5-324-924.pdf (accessed on 23 May 2025).
- Wu, C.; Liu, X.; Wu, X.; Dong, F.; Xu, J.; Zheng, Y. Sorption. degradation and bioavailability of oxyfluorfen in biochar-amended soils. Sci. Total Environ. 2019, 658, 87–94. [Google Scholar] [CrossRef] [PubMed]
- Mantzos, N.; Karakitsou, A.; Hela, D.; Patakioutas, G.; Leneti, E.; Konstantinou, I. Persistence of oxyfluorfen in soil. runoff water. sediment and plants of a sunflower cultivation. Sci. Total Environ. 2014, 472, 767–777. [Google Scholar] [CrossRef]
- SSahoo, S.K.; Jyot, G.; Battu, R.S.; Singh, B. Dissipation kinetics of trifloxystrobin and tebuconazole on Chili and soil. Bull. Environ. Contam. Toxicol. 2012, 88, 368–371. [Google Scholar] [CrossRef]
- Mohapatra, S. Persistence and dissipation kinetics of trifloxystrobin and tebuconazole in onion and soil. J. Environ. Sci. Health B 2014, 49, 513–520. [Google Scholar] [CrossRef]
- Mohapatra, S. Comparison of the residue persistence of trifloxystrobin (25%) + tebuconazole (50%) on gherkin and soil at two locations. Environ. Monit. Assess. 2015, 187, 769. [Google Scholar] [CrossRef] [PubMed]
- Banerjee, K.; Ligon, A.P.; Spiteller, M. Environmental fate of trifloxystrobin in soils of different geographical origins and photolytic degradation in water. J. Agric. Food Chem. 2006, 54, 9479–9487. [Google Scholar] [CrossRef] [PubMed]
- Baćmaga, M.; Kucharski, J.; Wyszkowska, J. Microbial and enzymatic activity of soil contaminated with azoxystrobin. Environ. Monit. Assess. 2015, 187, 615. [Google Scholar] [CrossRef] [PubMed]
- Jiang, W.; Gao, Q.; Zhang, L.; Liu, Y.; Zhang, M.; Ke, Z.; Zhou, Y.; Hong, Q.; Pettinari, M.J. Detoxification esterase StrH initiates strobilurin fungicide degradation in Hyphomicrobium sp. strain DY-1. Appl. Environ. Microbiol. 2021, 87, e00103-21. [Google Scholar] [CrossRef]
- Ghosh, R.K.; Singh, N. Effect of organic manure on sorption and degradation of azoxystrobin in soil. J. Agric. Food Chem. 2009, 57, 632–636. [Google Scholar] [CrossRef]
- Zhang, Q.; Li, S.; Saleem, M.; Ali, M.Y.; Xiang, J. Biochar and earthworms synergistically improve soil structure. microbial abundance. activities and pyraclostrobin degradation. Appl. Soil Ecol. 2021, 168, 104154. [Google Scholar] [CrossRef]
- National Center for Biotechnology Information (NCBI). PubChem Database. Available online: https://pubmed.ncbi.nlm.nih.gov/ (accessed on 25 May 2025).
Disclaimer/Publisher’s Note: The statements, opinions and data contained in all publications are solely those of the individual author(s) and contributor(s) and not of MDPI and/or the editor(s). MDPI and/or the editor(s) disclaim responsibility for any injury to people or property resulting from any ideas, methods, instructions or products referred to in the content. |
© 2025 by the authors. Licensee MDPI, Basel, Switzerland. This article is an open access article distributed under the terms and conditions of the Creative Commons Attribution (CC BY) license (https://creativecommons.org/licenses/by/4.0/).




