Precision Audiometry and Ecological Validity: Exploring the Link Between Patient-Reported Outcome Measures and Speech Testing in CI Users
Abstract
1. Introduction
2. Materials and Methods
2.1. Study Design
2.2. Research Participants
2.3. Test Procedures
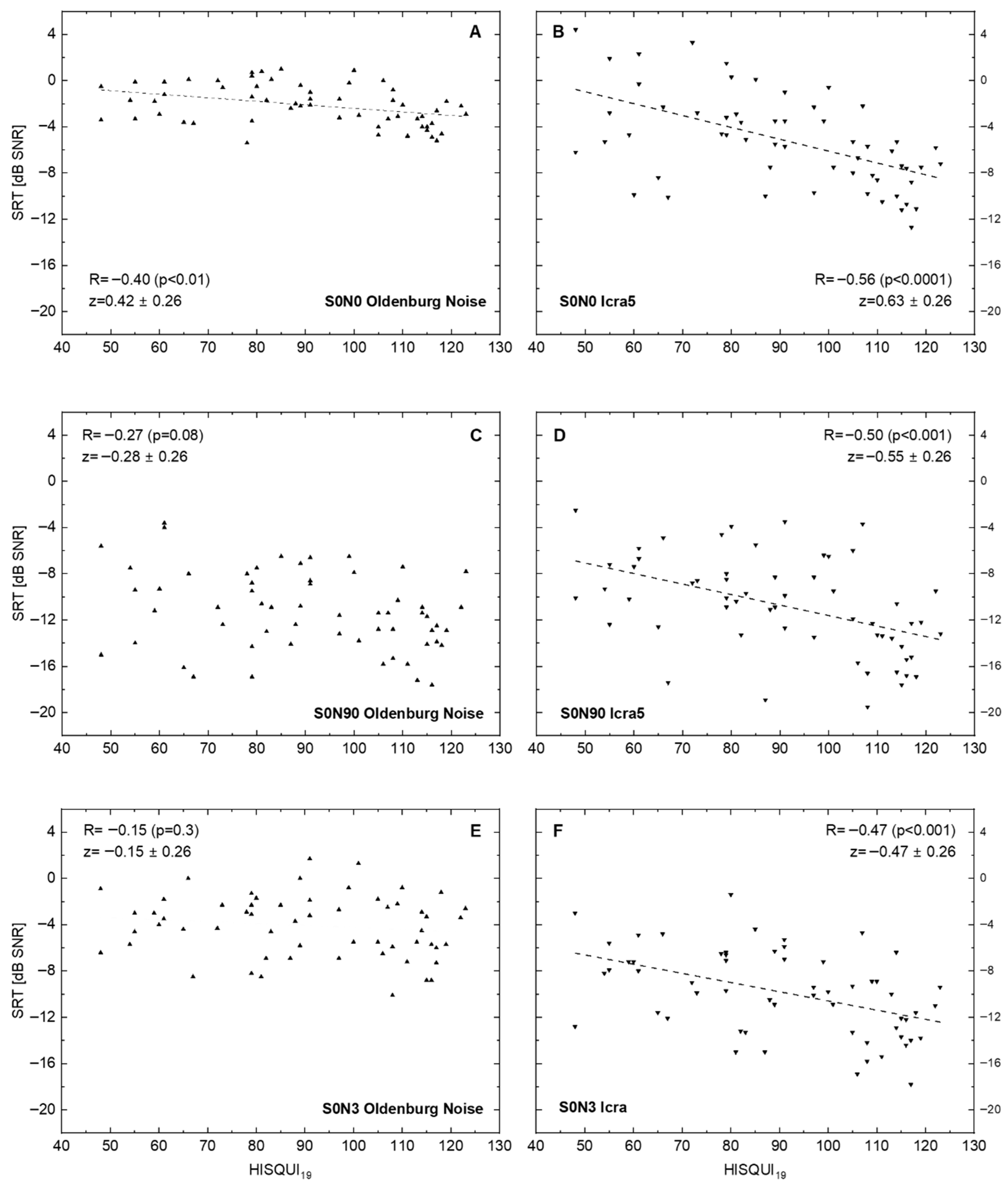
3. Results
4. Discussion
- The change from stationary to fluctuating noise resulted in a higher correlation of SRTs and PROMs.
- If stationary or fluctuating noise was used, an increased spatialness did not result in a higher correlation of SRTs and PROMs.
- Monosyllables in quiet showed a correlation of R = 0.57, which was the highest of the tested conditions.
Limits of the Study and Possible Improvements
5. Conclusions
Author Contributions
Funding
Institutional Review Board Statement
Informed Consent Statement
Data Availability Statement
Acknowledgments
Conflicts of Interest
References
- WHO. Summary Report on Proceedings Minutes and Final Acts of the International Health Conference. 1946, p. 143. Available online: http://apps.who.int/iris/bitstream/10665/85573/1/Official_record2_eng.pdf (accessed on 15 May 2025).
- Pennacchini, M.; Bertolaso, M.; Elvira, M.M.; De Marinis, M.G. A brief history of the quality of life: Its use in medicine and in philosophy. Clin. Ter. 2012, 162, e99–e103. [Google Scholar]
- Noble, W.G.; Atherley, G.R. The Hearing Measurement Scale: A questionnaire for the assessment of auditory disability. J. Audit. Res. 1970, 10, 229–250. [Google Scholar]
- Dieroff, H.G.; Meissner, W. Assessment of social hearing with a questionnaire in relation to average hearing loss. Laryngol. Rhinol. Otol. 1987, 66, 338–340. [Google Scholar] [CrossRef]
- Meister, H.; Lausberg, I.; Kiessling, J.; Von Wedel, H.; Walger, M. Identifying the needs of elderly, hearing-impaired persons: The importance and utility of hearing aid attributes. Eur. Arch. Oto-Rhino-Laryngol. 2002, 259, 531–534. [Google Scholar] [CrossRef] [PubMed]
- Keidser, G.; Naylor, G.; Brungart, D.S.; Caduff, A.; Campos, J.; Carlile, S.; Carpenter, M.G.; Grimm, G.; Hohmann, V.; Holube, I.; et al. The Quest for Ecological Validity in Hearing Science: What It Is, Why It Matters, and How to Advance It. Ear Hear. 2020, 41, 5S–19S. [Google Scholar] [CrossRef] [PubMed]
- Holube, I.; von Gablenz, P.; Bitzer, J. Ecological Momentary Assessment in Hearing Research: Current State, Challenges, and Future Directions. Ear Hear. 2020, 41, 79S–90S. [Google Scholar] [CrossRef] [PubMed]
- Hey, M.; Mewes, A.; Hocke, T. Speech comprehension in noise—Considerations for ecologically valid assessment of communication skills ability with cochlear implants. German version. HNO 2022, 70, 861–869. [Google Scholar] [CrossRef]
- Ramos-Macías, Á.; Falcón González, J.C.; Borkoski-Barreiro, S.A.; Ramos de Miguel, Á.; Batista, D.S.; Pérez Plasencia, D. Health-Related Quality of Life in Adult Cochlear Implant Users: A Descriptive Observational Study. Audiol. Neurotol. 2016, 21, 36–42. [Google Scholar] [CrossRef]
- Olze, H.; Knopke, S.; Gräbel, S.; Szczepek, A.J. Rapid Positive Influence of Cochlear Implantation on the Quality of Life in Adults 70 Years and Older. Audiol. Neurotol. 2016, 21, 43–47. [Google Scholar] [CrossRef]
- Muigg, F.; Rossi, S.; Kühn, H.; Weichbold, V. Perceived social support improves health-related quality of life in cochlear implant patients. Eur. Arch. Oto-Rhino-Laryngol. 2024, 281, 4757–4762. [Google Scholar] [CrossRef]
- Ambert-Dahan, E.; Laouénan, C.; Lebredonchel, M.; Borel, S.; Carillo, C.; Bouccara, D.; Sterkers, O.; Ferrary, E.; Mosnier, I. Evaluation of the impact of hearing loss in adults: Validation of a quality of life questionnaire. Eur. Ann. Otorhinolaryngol. Head Neck Dis. 2018, 135, 25–31. [Google Scholar] [CrossRef]
- Viergever, K.; Kraak, J.T.; Bruinewoud, E.M.; Ket, J.C.F.; Kramer, S.E.; Merkus, P. Questionnaires in otology: A systematic mapping review. Syst. Rev. 2021, 10, 119. [Google Scholar] [CrossRef] [PubMed]
- Boisvert, I.; Reis, M.; Au, A.; Cowan, R.; Dowell, R.C. Cochlear implantation outcomes in adults: A scoping review. PLoS ONE 2020, 15, e0232421. [Google Scholar] [CrossRef] [PubMed]
- Hahlbrock, K. Speech audiometry and new word-tests. Arch. Ohren-Nasen-Kehlkopfheilkd. 1953, 162, 394–431. [Google Scholar] [CrossRef] [PubMed]
- Zöllner, F. Geleitwort. In Sprachaudiometrie: Grundlagen und Praktische Anwendung einer Sprachaudiometrie für das Deutsche Sprachgebiet; Hahlbrock, K.H., Ed.; Thieme Verlag: Stuttgart, Germany, 1957; p. III. [Google Scholar]
- Markides, A. Localisation of Speech Through Similar and Dissimilar Binaural Hearing Aid Listening Modes. Br. J. Audiol. 1978, 12, 65–68. [Google Scholar] [CrossRef] [PubMed]
- Tjellström, A.; Lindström, J.; Hallén, O.; Albrektsson, T.; Brånemark, P.I. Osseointegrated titanium implants in the temporal bone. A clinical study on bone-anchored hearing aids. Am. J. Otol. 1981, 2, 304–310. [Google Scholar]
- Bentzen, O. Psychological Aspects of Patients with Binaural Hearing Aids. Int. J. Audiol. 1980, 19, 202–204. [Google Scholar] [CrossRef]
- Tannahill, J.C. The Hearing Handicap Scale as a Measure of Hearing Aid Benefit. J. Speech Hear. Disord. 1979, 44, 91–99. [Google Scholar] [CrossRef]
- Clark, G.M.; Tong, Y.C.; Black, R.; Forster, I.C.; Patrick, J.F.; Dewhurst, D.J. A multiple electrode cochlear implant. J. Laryngol. Otol. 1977, 91, 935–945. [Google Scholar] [CrossRef]
- Burian, K.; Hochmair, E.; Hochmair-desoyer, I.; Lessel, M.R. Designing of and experience with multichannel cochlear implants. Acta Otolaryngol. 1979, 87, 190–195. [Google Scholar] [CrossRef]
- Chen, D.A.; Backous, D.D.; Arriaga, M.A.; Garvin, R.; Kobylek, D.; Littman, T.; Walgren, S.; Lura, D. Phase 1 Clinical Trial Results of the Envoy System: A Totally Implantable Middle Ear Device for Sensorineural Hearing Loss. Otolaryngol. Neck Surg. 2004, 131, 904–916. [Google Scholar] [CrossRef]
- Häusler, R.; Stieger, C.; Bernhard, H.; Kompis, M. A Novel Implantable Hearing System with Direct Acoustic Cochlear Stimulation. Audiol. Neurotol. 2008, 13, 247–256. [Google Scholar] [CrossRef] [PubMed]
- Gan, R.Z.; Wood, M.W.; Ball, G.R.; Dietz, T.G.; Dormer, K.J. Implantable hearing device performance measured by laser Doppler interferometry. Ear Nose Throat J. 1997, 76, 297–299, 302, 305–309. [Google Scholar] [CrossRef]
- Lenarz, T.; Weber, B.P.; Issing, P.R.; Gnadeberg, D.; Ambjørnsen, K.; Mack, K.F.; Winter, M. Vibrant Soundbridge System: Ein neuartiges Hörimplantat für Innenohrschwerhörige—Teil 2: Audiologische Ergebnisse. Laryngo-Rhino-Otol. 2001, 80, 370–380. [Google Scholar] [CrossRef]
- Kollmeier, B.; Wesselkamp, M. Development and evaluation of a German sentence test for objective and subjective speech intelligibility assessment. J. Acoust. Soc. Am. 1997, 102, 2412–2421. [Google Scholar] [CrossRef]
- Pollack, I.; Pickett, J.M. Cocktail Party Effect. J. Acoust. Soc. Am. 1957, 29, 1262. [Google Scholar] [CrossRef]
- Hagerman, B. Sentences for Testing Speech Intelligibility in Noise. Scand. Audiol. 1982, 11, 79–87. [Google Scholar] [CrossRef] [PubMed]
- Hagerman, B.; Kinnefors, C. Efficient Adaptive Methods for Measuring Speech Reception Threshold in Quiet and in Noise. Scand. Audiol. 1995, 24, 71–77. [Google Scholar] [CrossRef]
- Wagener, K.C.; Brand, T.; Kollmeier, B. Entwicklung und Evaluation eines Satztests für die deutsche Sprache Teil II: Optimierung des Oldenburger Satztests. J. Audiol. 1999, 38, 44–56. [Google Scholar]
- Brand, T.; Kollmeier, B. Efficient adaptive procedures for threshold and concurrent slope estimates for psychophysics and speech intelligibility tests. J. Acoust. Soc. Am. 2002, 111, 2801–2810. [Google Scholar] [CrossRef]
- Kollmeier, B.; Warzybok, A.; Hochmuth, S.; Zokoll, M.A.; Uslar, V.; Brand, T.; Wagener, K.C. The multilingual matrix test: Principles, applications, and comparison across languages: A review. Int. J. Audiol. 2015, 54, 3–16. [Google Scholar] [CrossRef]
- ISO 8253-3:2022; Acoustics–Audiometric Test Methods—Part 3: Speech Audiometry. International Organization for Standardization: Geneva, Switzerland, 2022; pp. 1–50. [CrossRef]
- Hey, M.; Hocke, T.; Hedderich, J.; Müller-Deile, J. Investigation of a matrix sentence test in noise: Reproducibility and discrimination function in cochlear implant patients. Int. J. Audiol. 2014, 53, 895–902. [Google Scholar] [CrossRef]
- Wagener, K.C.; Brand, T. Sentence intelligibility in noise for listeners with normal hearing and hearing impairment: Influence of measurement procedure and masking parameters La inteligibilidad de frases en silencio para sujetos con audición normal y con hipoacusia: La influencia. Int. J. Audiol. 2005, 44, 144–156. [Google Scholar] [CrossRef] [PubMed]
- Rählmann, S.; Meister, H. Speech audiometric assessment of informational masking. HNO 2017, 65, 109–115. [Google Scholar] [CrossRef]
- Rader, T.; Doms, P.; Adel, Y.; Weissgerber, T.; Strieth, S.; Baumann, U. A method for determining precise electrical hearing thresholds in cochlear implant users. Int. J. Audiol. 2018, 57, 502–509. [Google Scholar] [CrossRef]
- Weissgerber, T.; Rader, T.; Baumann, U. Effectiveness of directional microphones in bilateral/bimodal cochlear implant users-impact of spatial and temporal noise characteristics. Otol. Neurotol. 2017, 38, e551–e557. [Google Scholar] [CrossRef] [PubMed]
- Thümmler, R.; Liebscher, T.; Hoppe, U. Einfluss einer Hörgeräteversorgung auf das Einsilberverstehen und das subjektiv erlebte Alltagshören. HNO 2016, 64, 595–600. [Google Scholar] [CrossRef] [PubMed]
- Steffens, T. Die systematische Auswahl von sprachaudiometrischen Verfahren. HNO 2017, 65, 219–227. [Google Scholar] [CrossRef]
- Hey, M.; Böhnke, B.; Mewes, A.; Munder, P.; Mauger, S.J.; Hocke, T. Speech comprehension across multiple CI processor generations: Scene dependent signal processing. Laryngoscope Investig. Otolaryngol. 2021, 6, 807–815. [Google Scholar] [CrossRef]
- Warkentin, L.; Holube, I.; Winkler, A.; Denk, F.; Husstedt, H. Use of speech tests in a free field in Germany. GMS J. Audiol. (Audiol. Acoust.) 2024, 6, Doc09. [Google Scholar] [CrossRef]
- Amann, E.; Anderson, I. Development and validation of a questionnaire for hearing implant users to self-assess their auditory abilities in everyday communication situations: The Hearing Implant Sound Quality Index (HISQUI19). Acta Otolaryngol. 2014, 134, 915–923. [Google Scholar] [CrossRef]
- Volleth, N.; Hast, A.; Lehmann, E.K.; Hoppe, U. Subjektive Hörverbesserung durch Cochleaimplantatversorgung. HNO 2018, 66, 613–620. [Google Scholar] [CrossRef]
- DIN EN ISO 8253-2; Acoustics—Audiometric Test methods—Part 2: Sound Field Audiometry with Pure-Tone and Narrow-Band Test Signals. International Organization for Standardization: Geneva, Switzerland, 2009.
- Deutsche Gesellschaft für Hals-Nasen-Ohren-Heilkunde Kopf- und Hals-Chirurgie e.V. (DGHNO-KHC). S2k-Leitlinie Cochlea-Implantat Versorgung; Arbeitsgemeinschaft der Wissenschaftlichen Medizinischen Fachgesellschaften (AWMF): Frankfurt am Main, Germany, 2020; Available online: https://register.awmf.org/assets/guidelines/017-071l_S2k_Cochlea-Implantat-Versorgung-zentral-auditorische-Implantate_2020-12.pdf (accessed on 15 May 2025).
- Wagener, K.; Kühnel, V.; Kollmeier, B. Entwicklung und Evaluation eines Satztests in deutscher Sprache I–III: Design, Optimierung und Evaluation des Oldenburger Satztests. J. Audiol. Acoust. 1999, 38, 4–15. [Google Scholar]
- Dreschler, W.A.; Verschuure, H.; Ludvigsen, C.; Westermann, S. ICRA Noises: Artificial Noise Signals with Speech-like Spectral and Temporal Properties for Hearing Instrument Assessment. Int. J. Audiol. 2001, 40, 148–157. [Google Scholar] [CrossRef]
- Baljić, I.; Hoppe, U. Der Freiburger Einsilbertest auf dem Prüfstand. HNO 2016, 64, 538–539. [Google Scholar] [CrossRef]
- Hoth, S. Der Freiburger Sprachtest. HNO 2016, 64, 540–548. [Google Scholar] [CrossRef] [PubMed]
- Kießling, J.; Kollmeier, B.; Baumann, U. Grundlagen der Sprachwahrnehmung. In Versorgung mit Hörgeräten und Hörimplantaten; Thieme Publishers: Stuttgart, Germany, 2018; p. 49. ISBN 978-3-13–240217-1. [Google Scholar]
- Hoppe, U.; Hocke, T.; Digeser, F. Bimodal benefit for cochlear implant listeners with different grades of hearing loss in the opposite ear. Acta Otolaryngol. 2018, 138, 713–721. [Google Scholar] [CrossRef] [PubMed]
- Hey, M.; Hersbach, A.A.; Hocke, T.; Mauger, S.J.; Böhnke, B.; Mewes, A. to Obtain Signal Processing Technology Preference in Cochlear Implant Users. J. Clin. Med. 2022, 11, 2941. [Google Scholar] [CrossRef]


Disclaimer/Publisher’s Note: The statements, opinions and data contained in all publications are solely those of the individual author(s) and contributor(s) and not of MDPI and/or the editor(s). MDPI and/or the editor(s) disclaim responsibility for any injury to people or property resulting from any ideas, methods, instructions or products referred to in the content. |
© 2025 by the authors. Licensee MDPI, Basel, Switzerland. This article is an open access article distributed under the terms and conditions of the Creative Commons Attribution (CC BY) license (https://creativecommons.org/licenses/by/4.0/).
Share and Cite
Hey, M.; Hocke, T. Precision Audiometry and Ecological Validity: Exploring the Link Between Patient-Reported Outcome Measures and Speech Testing in CI Users. Audiol. Res. 2025, 15, 142. https://doi.org/10.3390/audiolres15050142
Hey M, Hocke T. Precision Audiometry and Ecological Validity: Exploring the Link Between Patient-Reported Outcome Measures and Speech Testing in CI Users. Audiology Research. 2025; 15(5):142. https://doi.org/10.3390/audiolres15050142
Chicago/Turabian StyleHey, Matthias, and Thomas Hocke. 2025. "Precision Audiometry and Ecological Validity: Exploring the Link Between Patient-Reported Outcome Measures and Speech Testing in CI Users" Audiology Research 15, no. 5: 142. https://doi.org/10.3390/audiolres15050142
APA StyleHey, M., & Hocke, T. (2025). Precision Audiometry and Ecological Validity: Exploring the Link Between Patient-Reported Outcome Measures and Speech Testing in CI Users. Audiology Research, 15(5), 142. https://doi.org/10.3390/audiolres15050142
