Impact of Peritoneal Closure on Inguinal Hernia Incidence After Robot-Assisted Radical Prostatectomy
Abstract
1. Introduction
2. Materials and Methods
2.1. Patient Selection
2.2. Surgical Procedure
2.3. Data Collection
2.4. Endpoints
2.5. Statistical Analysis
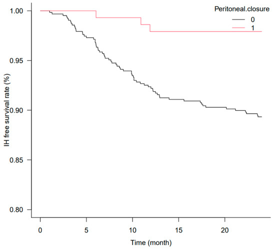
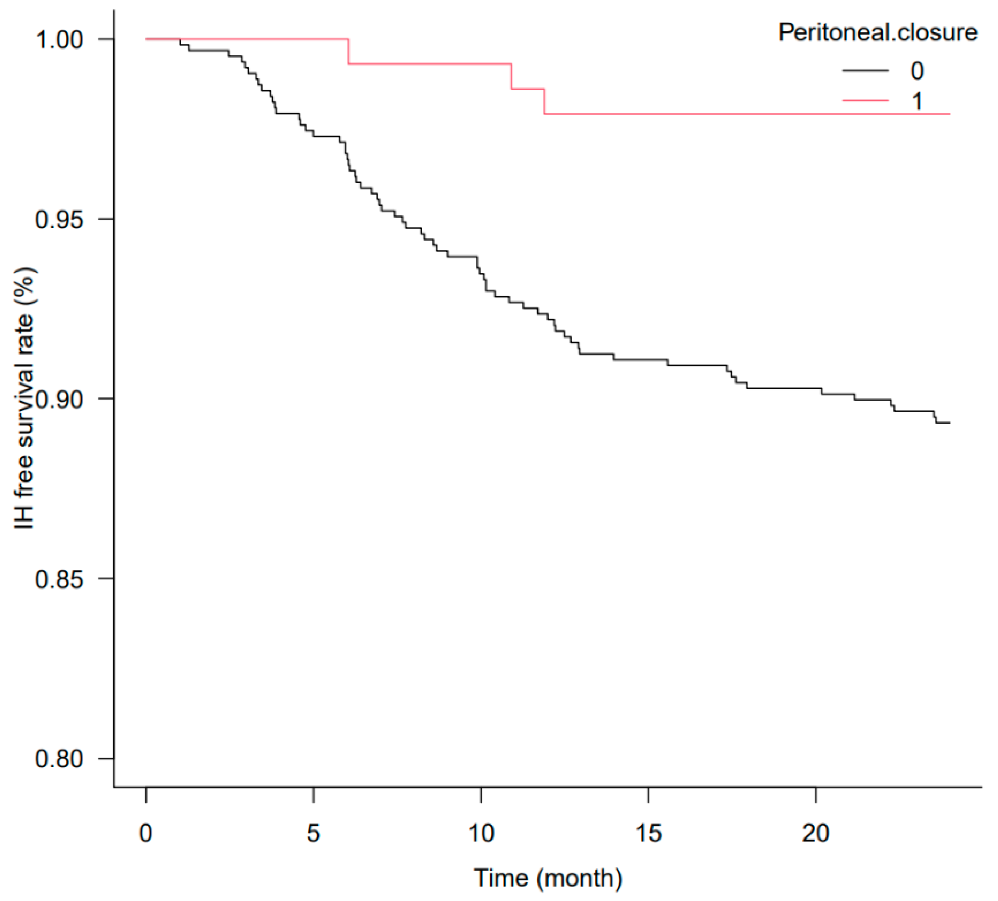
3. Results
4. Discussion
5. Conclusions
Author Contributions
Funding
Institutional Review Board Statement
Informed Consent Statement
Data Availability Statement
Conflicts of Interest
References
- Fujii, Y.; Yamamoto, S.; Yonese, J.; Kawakami, S.; Okubo, Y.; Suyama, T.; Komai, Y.; Kijima, T.; Fukui, I. A novel technique to prevent post radical retropubic prostatectomy inguinal hernia: The processus vaginalis transection method. Urology 2010, 75, 713–717. [Google Scholar] [CrossRef] [PubMed]
- Soma, T.; Fukuda, S.; Matsuyama, Y.; Ikeda, R.; Inoue, M.; Waseda, Y.; Tanaka, H.; Yoshida, S.; Yokoyama, M.; Matsuoka, Y.; et al. Peritoneal closure and the processus vaginalis transection method to prevent inguinal hernia after robot-assisted radical prostatectomy. Int. J. Urol. 2023, 30, 532–538. [Google Scholar] [CrossRef] [PubMed]
- Nilsson, H.; Stranne, J.; Stattin, P.; Nordin, P. Incidence of groin hernia repair after radical prostatectomy: A population-based nationwide study. Ann. Surg. 2014, 259, 1223–1227. [Google Scholar] [CrossRef] [PubMed]
- Nagatani, S.; Tsumura, H.; Kanehiro, T.; Yamaoka, H.; Kameda, Y. Inguinal hernia associated with radical prostatectomy. Surg. Today 2021, 51, 792–797. [Google Scholar] [CrossRef] [PubMed]
- Majima, T.; Yoshino, Y.; Matsukawa, Y.; Funahashi, Y.; Sassa, N.; Kato, M.; Gotoh, M. Causative factors for de novo inguinal hernia after robot-assisted radical prostatectomy. J. Robot. Surg. 2018, 12, 277–282. [Google Scholar] [CrossRef] [PubMed]
- Chen, H.R.; Ting, H.K.; Kao, C.C.; Tsao, C.W.; Meng, E.; Sun, G.H.; Yu, D.S.; Wu, S.T. Robot-assisted radical prostatectomy may induce inguinal hernia within the first 2 years: An 11-year single-surgeon experience of >400 patients. Medicine 2018, 97, e12208. [Google Scholar] [CrossRef] [PubMed]
- Rogers, T.; Parra-Davila, E.; Malcher, F.; Hartmann, C.; Mastella, B.; de Araújo, G.; Ogaya-Pinies, G.; Ortiz-Ortiz, C.; Hernandez-Cardona, E.; Patel, V.; et al. Robotic radical prostatectomy with concomitant repair of inguinal hernia: Is it safe? J. Robot. Surg. 2018, 12, 325–330. [Google Scholar] [CrossRef] [PubMed]
- Qazi, H.A.; Rai, B.P.; Do, M.; Rewhorn, M.; Häfner, T.; Liatsikos, E.; Kallidonis, P.; Dietel, A.; Stolzenburg, J.U. Robot-assisted laparoscopic total extraperitoneal hernia repair during prostatectomy: Technique and initial experience. Cent. Eur. J. Urol. 2015, 68, 240–244. [Google Scholar] [CrossRef] [PubMed]
- Abe, T.; Shinohara, N.; Harabayashi, T.; Sazawa, A.; Suzuki, S.; Kawarada, Y.; Nonomura, K. Postoperative inguinal hernia after radical prostatectomy for prostate cancer. Urology 2007, 69, 326–329. [Google Scholar] [CrossRef] [PubMed]
- Alder, R.; Zetner, D.; Rosenberg, J. Incidence of Inguinal Hernia after Radical Prostatectomy: A Systematic Review and Meta-Analysis. J. Urol. 2020, 203, 265–274. [Google Scholar] [CrossRef] [PubMed]
- Lee, D.H.; Koo, K.C.; Lee, S.H.; Chung, B.H. A simple procedure to prevent postoperative inguinal hernia after robot-assisted laparoscopic radical prostatectomy: A plugging method of the internal inguinal floor for patients with patent processus vaginalis. J. Urol. 2014, 191, 468–472. [Google Scholar] [CrossRef] [PubMed]
- Shimbo, M.; Endo, F.; Matsushita, K.; Iwabuchi, T.; Fujisaki, A.; Kyono, Y.; Hishiki, K.; Muraishi, O.; Hattori, K. Incidence, Risk Factors and a Novel Prevention Technique for Inguinal Hernia after Robot-Assisted Radical Prostatectomy. Urol. Int. 2017, 98, 54–60. [Google Scholar] [CrossRef] [PubMed]
- Amato, G.; Sciacchitano, T.; Bell, S.G.; Romano, G.; Cocchiara, G.; Lo Monte, A.I.; Romano, M. Sphincter-like motion following mechanical dilation of the internal inguinal ring during indirect inguinal hernia procedure. Hernia 2009, 13, 67–72. [Google Scholar] [CrossRef] [PubMed]
- Nakamura, K.; Shibasaki, S.; Fukaya, K.; Nakauchi, M.; Tanaka, T.; Inaba, K.; Shiroki, R.; Uyama, I.; Suda, K. A case of direct inguinal hernia incarceration after transperitoneal robot-assisted radical prostatectomy. Asian J. Endosc. Surg. 2022, 15, 652–655. [Google Scholar] [CrossRef] [PubMed]
- Yamada, Y.; Fujimura, T.; Fukuhara, H.; Sugihara, T.; Takemura, K.; Kakutani, S.; Suzuki, M.; Nakagawa, T.; Kume, H.; Igawa, Y.; et al. Incidence and risk factors of inguinal hernia after robot-assisted radical prostatectomy. World J. Surg. Oncol. 2017, 15, 61. [Google Scholar] [CrossRef] [PubMed]

| Total (N = 773) | No Peritoneal Closure (N = 628) | Peritoneal Closure (N = 144) | ||
|---|---|---|---|---|
| Number (%) or Median (Range) | Number (%) or Median (Range) | Number (%) or Median (Range) | p Value | |
| Age | 71 (66–75) | 70.1 (66–75) | 70.3 (65–76) | 0.674 |
| BMI | 23.4 (21.8–25.3) | 23.4 (21.9–32.4) | 23.2 (21.5–25.3) | 0.157 |
| ECOG-PS | ||||
| 0 | 767 (99.4) | 624 (99.4) | 143 (99.3) | 1 |
| 1 | 5 (0.6) | 4 (0.6) | 1 (0.7) | |
| The presence of smoking history | 559 (72.4) | 453 (72.7) | 106 (73.6) | 0.917 |
| The presence of abdominal surgical history | 139 (18.0) | 117 (21.8) | 22 (25.9) | 0.402 |
| iPSA | 8.4 (5.8–13.1) | 7.5 (5.9–14.1) | 7.5 (5.4–9.8) | <0.001 |
| Clinical T stage | ||||
| 1 | 57 (7.4) | 41 (6.6) | 16 (11.1) | 0.197 |
| 2 | 527 (68.4) | 436 (69.9) | 89 (61.8) | |
| 3 | 176 (22.8) | 141 (22.6) | 34 (23.6) | |
| 4 | 8 (0.1) | 5 (0.01) | 4 (2.8) | |
| Primary Gleason score | ||||
| 3 | 310 (43.3) | 256 (42.2) | 54 (49.1) | 0.100 |
| 4 | 365 (51.0) | 316 (52.1) | 49 (44.5) | |
| 5 | 39 (5.4) | 33 (5.4) | 6 (5.5) | |
| Secondory Gleason score | ||||
| 3 | 360 (46.1) | 227 (40.3) | 21 (29.2) | 0.249 |
| 4 | 329 (42.1) | 259 (46.0) | 41 (56.9) | |
| 5 | 91 (11.1) | 76 (13.5) | 10 (13.9) | |
| Total Gleason score | ||||
| 6 | 116 (15.0) | 97 (15.4) | 19 (13.3) | 0.146 |
| 7 | 367 (47.4) | 305 (48.6) | 61 (42.7) | |
| 8 | 160 (20.7) | 119 (18.9) | 40 (28.0) | |
| 9 | 118 (15.2) | 94 (15.0) | 23 (16.1) | |
| 10 | 10 (1.3) | 10 (1.6) | 0 (0) | |
| NCCN risk classification | ||||
| ≤Low | 54 (7.2) | 39 (6.2) | 15 (10.5) | <0.001 |
| Intermediate | 341 (44.2) | 263 (41.8) | 79 (55.2) | |
| High | 277 (35.9) | 232 (37.0) | 45 (31.5) | |
| Very high | 98 (12.7) | 94 (15.0) | 4 (2.8) | |
| The presence of neoadjuvant hormone therapy | 477 (61.8) | 324 (52.2) | 53 (39.0) | 0.006 |
| Postoperative IH within 2 years | 73 (9.4) | 68 (10.8) | 5 (3.5) | 0.012 |
| Surgical time (min) | 163 (137–191) | 166 (140–194) | 146 (120–175) | 0.014 |
| Blood loss (mL) | 75.5 (30–169.2) | 85.0 (32.8–176.3) | 59.5 (18.0–124.5) | <0.001 |
| Univariate Analysis | Multivariate Analysis | |||||
|---|---|---|---|---|---|---|
| Variables | HR | 95% CI | p Value | HR | 95% CI | p Value |
| Age, year | ||||||
| <70 | Ref | |||||
| ≥70 | 1.24 | 0.75–2.02 | 0.40 | |||
| BMI, kg/m2 | ||||||
| ≥23 | Ref | |||||
| <23 | 2.45 | 1.40–4.29 | 0.002 | 2.51 | 1.43–4.40 | 0.001 |
| Smoking | ||||||
| No | Ref | |||||
| Yes | 0.86 | 0.52–1.44 | 0.58 | |||
| Abdominal surgical history | ||||||
| No | Ref | |||||
| Yes | 1.14 | 0.66–1.97 | 0.64 | |||
| iPSA, ng/ml | ||||||
| <15 | Ref | |||||
| ≥15 | 0.94 | 0.52–1.69 | 0.84 | |||
| Surgical time, min | ||||||
| <170 | Ref | |||||
| ≥170 | 1.09 | 0.72–1.66 | 0.69 | |||
| Neoadjuvant hormone | ||||||
| No | Ref | |||||
| Yes | 1.24 | 0.77–1.98 | 0.38 | |||
| Peritoneal closure | ||||||
| Performed | Ref | |||||
| No Performed | 4.35 | 1.39–14.1 | 0.012 | 4.55 | 1.11–18.9 | 0.04 |
| PLND | ||||||
| No performed | Ref | |||||
| Performed | 1.20 | 0.72–2.00 | 0.49 | |||
| NS | ||||||
| No performed | Ref | |||||
| Performed | 0.48 | 0.21–1.1 | 0.087 | |||
Disclaimer/Publisher’s Note: The statements, opinions and data contained in all publications are solely those of the individual author(s) and contributor(s) and not of MDPI and/or the editor(s). MDPI and/or the editor(s) disclaim responsibility for any injury to people or property resulting from any ideas, methods, instructions or products referred to in the content. |
© 2025 by the authors. Licensee MDPI, Basel, Switzerland. This article is an open access article distributed under the terms and conditions of the Creative Commons Attribution (CC BY) license (https://creativecommons.org/licenses/by/4.0/).
Share and Cite
Imasato, N.; Yajima, S.; Ogasawara, R.A.; Inoue, M.; Hirose, K.; Sekiya, K.; Kataoka, M.; Nakanishi, Y.; Masuda, H. Impact of Peritoneal Closure on Inguinal Hernia Incidence After Robot-Assisted Radical Prostatectomy. Surg. Tech. Dev. 2025, 14, 12. https://doi.org/10.3390/std14020012
Imasato N, Yajima S, Ogasawara RA, Inoue M, Hirose K, Sekiya K, Kataoka M, Nakanishi Y, Masuda H. Impact of Peritoneal Closure on Inguinal Hernia Incidence After Robot-Assisted Radical Prostatectomy. Surgical Techniques Development. 2025; 14(2):12. https://doi.org/10.3390/std14020012
Chicago/Turabian StyleImasato, Naoki, Shugo Yajima, Ryo Andy Ogasawara, Minoru Inoue, Kohei Hirose, Ken Sekiya, Madoka Kataoka, Yasukazu Nakanishi, and Hitoshi Masuda. 2025. "Impact of Peritoneal Closure on Inguinal Hernia Incidence After Robot-Assisted Radical Prostatectomy" Surgical Techniques Development 14, no. 2: 12. https://doi.org/10.3390/std14020012
APA StyleImasato, N., Yajima, S., Ogasawara, R. A., Inoue, M., Hirose, K., Sekiya, K., Kataoka, M., Nakanishi, Y., & Masuda, H. (2025). Impact of Peritoneal Closure on Inguinal Hernia Incidence After Robot-Assisted Radical Prostatectomy. Surgical Techniques Development, 14(2), 12. https://doi.org/10.3390/std14020012

