Enhancing the Growth and the Yield of Greenhouse Zucchini (Cucurbita pepo L.) Cultivars Using Desalinated Seawater in Semi-Arid Regions
Abstract
1. Introduction
2. Results
2.1. Substrate and Drainage Water Properties Under Different Irrigation Regimes
2.2. Vegetative Growth and Biomass Accumulation
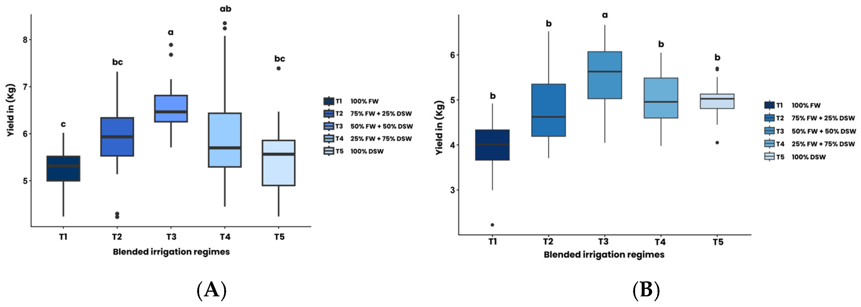
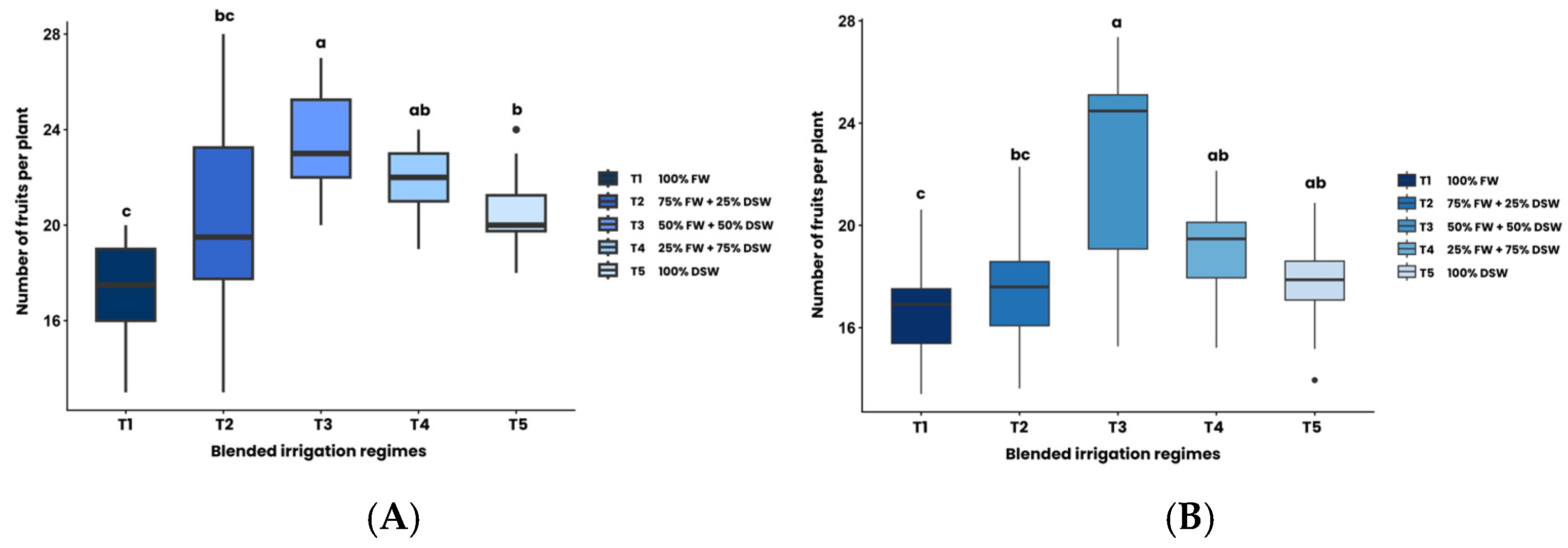
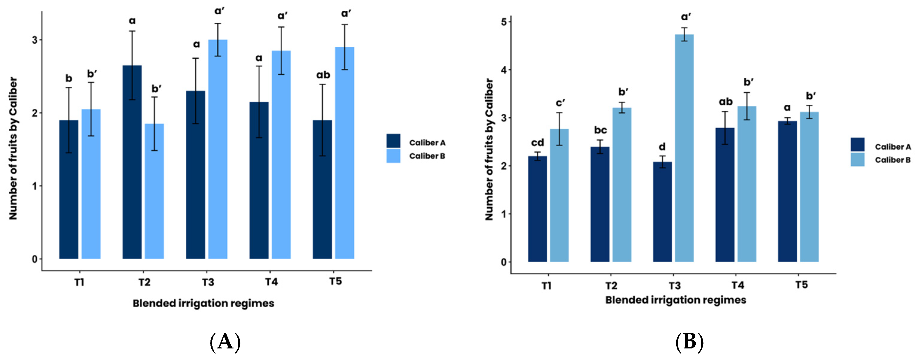
2.3. Fruit Production and Crop Yield
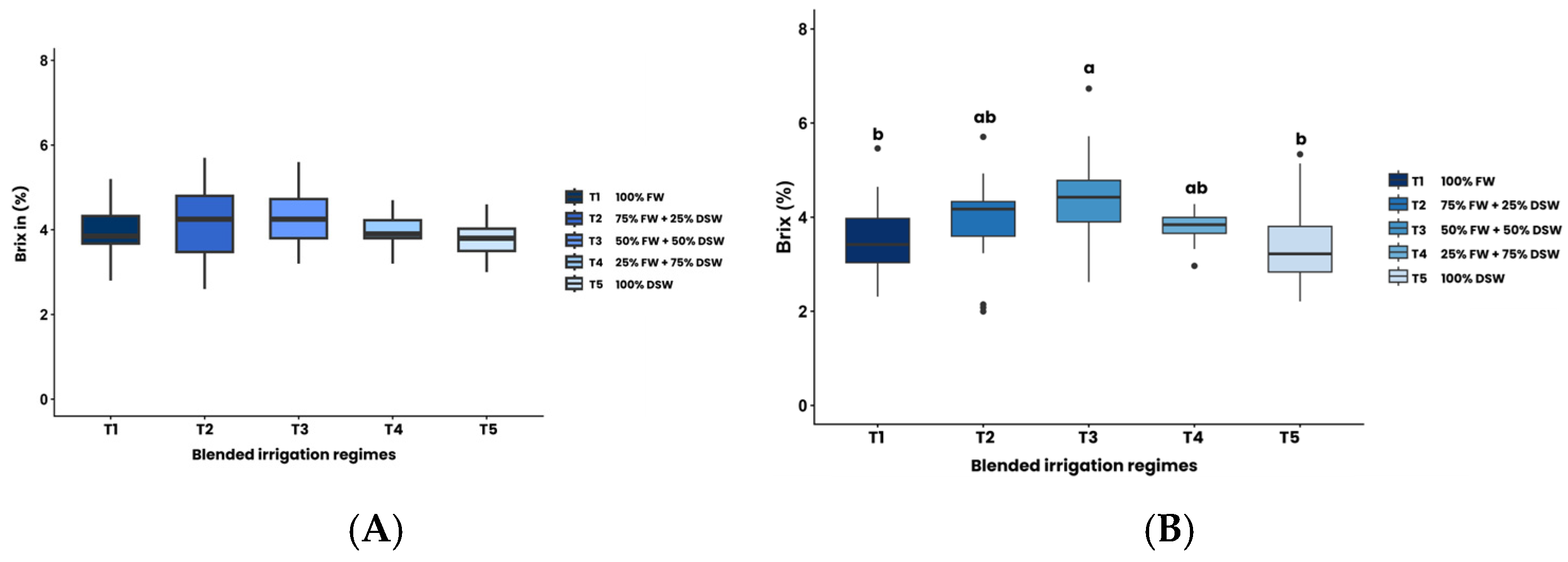
2.4. Fruit Quality
3. Discussion
4. Materials and Methods
4.1. Plant Material and Growth Conditions
4.2. Irrigation System and Water Source
4.3. Experimental Design and Irrigation Treatments
4.4. Data Collection and Measurements
4.5. Statistical Analysis
5. Conclusions
Author Contributions
Funding
Data Availability Statement
Acknowledgments
Conflicts of Interest
Abbreviations
| DSW | Desalinated Seawater |
| FW | Fresh Water |
| DAT | Day After Transplanting |
| NL | Number of Leaves per plant |
| PH | Plant Height (cm) |
| FL | Fresh Leaf Biomass (g) |
| DL | Dry Leaf Biomass (g) |
| FS | Fresh Stem Biomass (g) |
| DS | Dry Stem Biomass (g) |
References
- Chomicki, G.; Schaefer, H.; Renner, S.S. Origin and domestication of Cucurbitaceae crops: Insights from phylogenies, genomics and archaeology. New Phytol. 2020, 226, 1240–1255. [Google Scholar] [CrossRef]
- Martínez-Valdivieso, D.; Font, R.; Fernández-Bedmar, Z.; Merinas-Amo, T.; Gómez, P.; Alonso-Moraga, Á.; Del Río-Celestino, M. Role of zucchini and its distinctive components in the modulation of degenerative processes: Genotoxicity, anti-genotoxicity, cytotoxicity and apoptotic effects. Nutrients 2017, 9, 755. [Google Scholar] [CrossRef]
- Santosh, D.T.; Maitra, S.; Tiwari, K.N. Optimizing nutrients through drip fertigation and plastic mulch on the growth and yield in banana (Musa acuminata L.). Res. Crop. 2023, UME 24, 330–336. [Google Scholar] [CrossRef]
- Ayiecho, P.O.; Nyabundi, J.O. Origin of Agriculture, Crop Domestication and Centers of Diversity. In Conventional and Contemporary Practices of Plant Breeding; Springer: Berlin/Heidelberg, Germany, 2025; pp. 5–23. [Google Scholar]
- Formisano, L.; Pannico, A.; El-Nakhel, C.; Starace, G.; Poledica, M.; De Pascale, S.; Rouphael, Y. Improved porosity of insect proof screens enhances quality aspects of zucchini squash without compromising the yield. Plants 2020, 9, 1264. [Google Scholar] [CrossRef]
- Daley, O.; Isaac, W.-A.; John, A.; Kahramanoğlu, İ. Preharvest factors, maturity indices and postharvest physiology of fruits and vegetables. In Postharvest Physiology and Handling of Horticultural Crops; CRC Press: Boca Raton, FL, USA, 2023; pp. 3–35. [Google Scholar]
- López-Peñuelas, V.M.; Figueroa-Pérez, M.G.; López-Valenzuela, J.Á.; Reynoso-Camacho, R.; Sandoval-Sicairos, E.S.; Cuevas-Rodríguez, E. Exogenous application of chemical elicitors affects crop yield and nutraceutical potential of yellow summer squash (Cucurbita pepo L. var. cylindrica) fruits. N. Z. J. Crop. Hortic. Sci. 2025, 53, 2145–2164. [Google Scholar] [CrossRef]
- Biswas, A.; Sarkar, S.; Das, S.; Dutta, S.; Choudhury, M.R.; Giri, A.; Bera, B.; Bag, K.; Mukherjee, B.; Banerjee, K.; et al. Water scarcity: A global hindrance to sustainable development and agricultural production—A critical review of the impacts and adaptation strategies. Camb. Prism. Water 2025, 3, e4. [Google Scholar] [CrossRef]
- Imbernón-Mulero, A.; Gallego-Elvira, B.; Martínez-Alvarez, V.; Acosta, J.A.; Antolinos, V.; Robles, J.M.; Navarro, J.M.; Maestre-Valero, J.F. Irrigation of young grapefruits with desalinated seawater: Agronomic and economic outcomes. Agric. Water Manag. 2024, 299, 108877. [Google Scholar] [CrossRef]
- Martínez-Alvarez, V.; Gallego-Elvira, B.; Maestre-Valero, J.; Martin-Gorriz, B.; Soto-Garcia, M. Assessing concerns about fertigation costs with desalinated seawater in south-eastern Spain. Agric. Water Manag. 2020, 239, 106257. [Google Scholar] [CrossRef]
- Vera, A.; Moreno, J.L.; García, C.; Nicolás, E.; Bastida, F. Agro-physiological and soil microbial responses to desalinated seawater irrigation in two crops. Ecotoxicol. Environ. Saf. 2023, 250, 114507. [Google Scholar] [CrossRef]
- Aende, A.; Gardy, J.; Hassanpour, A. Seawater desalination: A review of forward osmosis technique, its challenges, and future prospects. Processes 2020, 8, 901. [Google Scholar] [CrossRef]
- Bortolini, L.; Maucieri, C.; Borin, M. A tool for the evaluation of irrigation water quality in the arid and semi-arid regions. Agronomy 2018, 8, 23. [Google Scholar] [CrossRef]
- Burn, S.; Hoang, M.; Zarzo, D.; Olewniak, F.; Campos, E.; Bolto, B.; Barron, O. Desalination techniques—A review of the opportunities for desalination in agriculture. Desalination 2015, 364, 2–16. [Google Scholar] [CrossRef]
- Khawaji, A.D.; Kutubkhanah, I.K.; Wie, J.-M. Advances in seawater desalination technologies. Desalination 2008, 221, 47–69. [Google Scholar] [CrossRef]
- Martínez-Alvarez, V.; Martin-Gorriz, B.; Soto-García, M. Seawater desalination for crop irrigation—A review of current experiences and revealed key issues. Desalination 2016, 381, 58–70. [Google Scholar] [CrossRef]
- Ayaz, M.; Namazi, M.; Din, M.A.U.; Ershath, M.M.; Mansour, A.; Aggoune, E.-H.M. Sustainable seawater desalination: Current status, environmental implications and future expectations. Desalination 2022, 540, 116022. [Google Scholar] [CrossRef]
- Martínez-Alvarez, V.; González-Ortega, M.J.; Martín-Gorriz, B.; Soto-García, M.; Maestre Valero, J.F. The use of desalinated seawater for crop irrigation in the Segura River Basin (south-eastern Spain). Desalination 2017, 422, 153–164. [Google Scholar] [CrossRef]
- Schiffler, M. Perspectives and challenges for desalination in the 21st century. Desalination 2004, 165, 1–9. [Google Scholar] [CrossRef]
- Acosta, J.; Imbernón-Mulero, A.; Martínez-Álvarez, V.; Gallego-Elvira, B.; Maestre-Valero, J. Midterm effects of irrigation with desalinated seawater on soil properties and constituents in a Mediterranean citrus orchard. Agric. Ecosyst. Environ. 2025, 381, 109421. [Google Scholar] [CrossRef]
- Hilal, N.; Kim, G.; Somerfield, C. Boron removal from saline water: A comprehensive review. Desalination 2011, 273, 23–35. [Google Scholar] [CrossRef]
- Kim, H.; Kim, S.; Jeon, J.; Jeong, H. Effects of irrigation with desalinated water on lettuce grown under greenhouse in South Korea. Appl. Sci. 2020, 10, 2207. [Google Scholar] [CrossRef]
- Mendoza-Grimón, V.; Fernández-Vera, J.R.; Hernández-Moreno, J.M.; Palacios-Díaz, M.d.P. Sustainable irrigation using non-conventional resources: What has happened after 30 years regarding boron phytotoxicity? Water 2019, 11, 1952. [Google Scholar] [CrossRef]
- Silber, A.; Israeli, Y.; Elingold, I.; Levi, M.; Levkovitch, I.; Russo, D.; Assouline, S. Irrigation with desalinated water: A step toward increasing water saving and crop yields. Water Resour. Res. 2015, 51, 450–464. [Google Scholar] [CrossRef]
- Ben-Gal, A.; Yermiyahu, U.; Cohen, S. Fertilization and blending alternatives for irrigation with desalinated water. J. Environ. Qual. 2009, 38, 529–536. [Google Scholar] [CrossRef] [PubMed]
- Hipólito-Valencia, B.J.; Mosqueda-Jiménez, F.W.; Barajas-Fernández, J.; Ponce-Ortega, J.M. Incorporating a seawater desalination scheme in the optimal water use in agricultural activities. Agric. Water Manag. 2021, 244, 106552. [Google Scholar] [CrossRef]
- Maestre-Valero, J.F.; Imbernón-Mulero, A.; Martínez-Alvarez, V.; Ben Abdallah, S.; Gallego-Elvira, B. Regional analysis of technological alternatives for boron reduction in desalinated seawater for irrigation in south-eastern Spain. Irrig. Sci. 2025, 43, 403–418. [Google Scholar] [CrossRef]
- Martínez-Alvarez, V.; González-Ortega, M.J.; Martin-Gorriz, B.; Soto-García, M.; Maestre-Valero, J.F. Seawater desalination for crop irrigation—Current status and perspectives. In Emerging Technologies for Sustainable Desalination Handbook; Elsevier: Amsterdam, The Netherlands, 2018; pp. 461–492. [Google Scholar]
- Navarro, J.M.; Imbernón-Mulero, A.; Robles, J.M.; Hernández-Ballester, F.M.; Antolinos, V.; Gallego-Elvira, B.; Maestre-Valero, J.F. Physiological Responses of a Grapefruit Orchard to Irrigation with Desalinated Seawater. Plants 2024, 13, 781. [Google Scholar] [CrossRef]
- Awaad, H.A.; Mansour, E.; Akrami, M.; Fath, H.E.; Javadi, A.A.; Negm, A. Availability and feasibility of water desalination as a non-conventional resource for agricultural irrigation in the mena region: A review. Sustainability 2020, 12, 7592. [Google Scholar] [CrossRef]
- Gruda, N.S.; Dong, J.; Li, X. From salinity to nutrient-rich vegetables: Strategies for quality enhancement in protected cultivation. Crit. Rev. Plant Sci. 2024, 43, 327–347. [Google Scholar] [CrossRef]
- Hernández, D.L.; Hobbie, S.E. The effects of substrate composition, quantity, and diversity on microbial activity. Plant Soil 2010, 335, 397–411. [Google Scholar] [CrossRef]
- Aung, T.T.; Shi, F.; Zhai, Y.; Xue, J.; Wang, S.; Ren, X.; Zhang, X. Acidic and alkaline conditions affect the growth of tree peony plants via altering photosynthetic characteristics, limiting nutrient assimilation, and impairing ROS balance. Int. J. Mol. Sci. 2022, 23, 5094. [Google Scholar] [CrossRef]
- Riaz, M.U.; Ayub, M.A.; Khalid, H.; ul Haq, M.A.; Rasul, A.; ur Rehman, M.Z.; Ali, S. Fate of micronutrients in alkaline soils. In Resources Use Efficiency in Agriculture; Springer: Berlin/Heidelberg, Germany, 2020; pp. 577–613. [Google Scholar]
- Bernal, A.; Zafra, M.A.; Simón, M.J.; Mahía, J. Sodium homeostasis, a balance necessary for life. Nutrients 2023, 15, 395. [Google Scholar] [CrossRef]
- Srivastava, P.; Sachan, K.; Baskar, P.; Saikanth, D.R.K.; Lytand, W.; Kumar, R.K.M.H.; Singh, B.V. Soil microbes expertly balancing nutrient demands and environmental preservation and ensuring the delicate stability of our ecosystems-a review. Int. J. Plant Soil Sci. 2023, 35, 989–1000. [Google Scholar] [CrossRef]
- Griffiths, M.; York, L.M. Targeting root ion uptake kinetics to increase plant productivity and nutrient use efficiency. Plant Physiol. 2020, 182, 1854–1868. [Google Scholar] [CrossRef]
- Nadeem, S.M.; Ahmad, M.; Zahir, Z.A.; Kharal, M.A. Role of phytohormones in stress tolerance of plants. In Plant, Soil and Microbes: Volume 2: Mechanisms and Molecular Interactions; Springer: Cham, Switzerland, 2016; pp. 385–421. [Google Scholar]
- Khondoker, M.; Mandal, S.; Gurav, R.; Hwang, S. Freshwater shortage, salinity increase, and global food production: A need for sustainable irrigation water desalination—A scoping review. Earth 2023, 4, 223–240. [Google Scholar] [CrossRef]
- Andriolo, J.L.; da Luz, G.L.; Witter, M.H.; Godoi, R.d.S.; Barros, G.T.; Bortolotto, O.C. Growth and yield of lettuce plants under salinity. Hortic. Bras. 2005, 23, 931–934. [Google Scholar] [CrossRef]
- Daghari, I.; El Zarroug, M.R.; Muanda, C.; Naima, S. Best irrigation scheduling way with saline water and desalinated water: Field experiments. La Houille Blanche 2020, 106, 72–74. [Google Scholar] [CrossRef]
- Iriany, A.; Hasanah, F.; Widyanto, N.D.; Farahdina, F.A.R. Supplemented desalinated seawater using sulfuric acid activated zeolit as hydroponic medium for mustard (Brassica juncea L.). In IOP Conference Series: Earth and Environmental Science; IOP Publishing: Bristol, UK, 2023. [Google Scholar]
- Marschner, H. Marschner’s Mineral Nutrition of Higher Plants, 3rd ed.; Academic Press: Cambridge, MA, USA, 2011; pp. 135–150. [Google Scholar]
- Ye, M.; Zhang, Z.; Huang, G.; Xiong, Z.; Peng, S.; Li, Y. High leaf mass per area Oryza genotypes invest more leaf mass to cell wall and show a low mesophyll conductance. AoB Plants 2020, 12, plaa028. [Google Scholar] [CrossRef]
- Peng, L.; Liu, H.; Wu, Y.; Bing, J.; Zhang, G. New advances in the regulation of stem growth in vascular plants. Plant Growth Regul. 2024, 103, 65–80. [Google Scholar] [CrossRef]
- Hussain, S.; Shaukat, M.; Ashraf, M.; Zhu, C.; Jin, Q.; Zhang, J. Salinity stress in arid and semi-arid climates: Effects and management in field crops. In Climate Change and Agriculture; Hussain, S., Ed.; IntechOpen: Rijeka, Croatia, 2019; pp. 201–655. [Google Scholar]
- Paranychianakis, N.; Chartzoulakis, K. Irrigation of Mediterranean crops with saline water: From physiology to management practices. Agric. Ecosyst. Environ. 2005, 106, 171–187. [Google Scholar] [CrossRef]
- Navarro, J.M.; Antolinos, V.; Botía, P.; Robles, J.M. Deficit irrigation applied to lemon trees grafted on two rootstocks and irrigated with desalinated seawater. Plants 2023, 12, 2300. [Google Scholar] [CrossRef]
- Suárez, N.; Medina, E. Salinity effect on plant growth and leaf demography of the mangrove, Avicennia germinans L. Trees 2005, 19, 722–728. [Google Scholar] [CrossRef]
- Falchi, R.; Bonghi, C.; Drincovich, M.F.; Famiani, F.; Lara, M.V.; Walker, R.P.; Vizzotto, G. Sugar metabolism in stone fruit: Source-sink relationships and environmental and agronomical effects. Front. Plant Sci. 2020, 11, 573982. [Google Scholar] [CrossRef]
- Azeem, M.; Shoujun, Y.; Qasim, M.; Abbasi, M.W.; Ahmed, N.; Hanif, T.; Adnan, M.Y.; Ahmad, R.; Dong, R. Foliar enrichment of potassium and boron overcomes salinity barriers to improve growth and yield potential of cotton (Gossypium hirsutum L.). J. Plant Nutr. 2021, 44, 438–454. [Google Scholar] [CrossRef]
- Ehret, D.L.; Ho, L. The effects of salinity on dry matter partitioning and fruit growth in tomatoes grown in nutrient film culture. J. Hortic. Sci. Biotechnol. 1986, 61, 361–367. [Google Scholar] [CrossRef]
- Kaya, C.; Tuna, A.L.; Ashraf, M.; Altunlu, H. Improved salt tolerance of melon (Cucumis melo L.) by the addition of proline and potassium nitrate. Environ. Exp. Bot. 2007, 60, 397–403. [Google Scholar] [CrossRef]
- Meiri, A.; Plaut, Z.; Pincas, L. Salt tolerance of glasshouse-grown muskmelon. Soil Sci. 1981, 131, 189–193. [Google Scholar] [CrossRef]
- Mendlinger, S.; Pasternak, D. Effect of time of salinization on flowering, yield and fruit quality factors in melon, Cucumis melo L. J. Hortic. Sci. 1992, 67, 529–534. [Google Scholar] [CrossRef]
- Pesce, G.R.; Salicola, S.A.; Formenti, C.; Pandino, G.; Mauromicale, G.; Lombardo, S. Sustainability of organic zucchini in Mediterranean environment: An on-farm experimentation. J. Sci. Food Agric. 2025, 105, 6406–6416. [Google Scholar] [CrossRef]
- Zuccarini, P. Biological and technological strategies against soil and water salinization I—Rhizosphere. J. Plant Nutr. 2010, 33, 1287–1300. [Google Scholar] [CrossRef]
- Ali, A.; Niu, G.; Masabni, J.; Ferrante, A.; Cocetta, G. Integrated nutrient management of fruits, vegetables, and crops through the use of biostimulants, soilless cultivation, and traditional and modern approaches—A mini review. Agriculture 2024, 14, 1330. [Google Scholar] [CrossRef]
- UNECE Standard FFV-46; UNECE Standard Concerning the Marketing and Commercial Quality Control of Tomatoes. United Nations Economic Commission for Europe (UNECE): Geneva, Switzerland, 2017.








| Radia | Kayssar | ||||||||||
|---|---|---|---|---|---|---|---|---|---|---|---|
| T1 | T2 | T3 | T4 | T5 | T1 | T2 | T3 | T4 | T5 | ||
| Vegetative attributes | NL | 28.70 ± 1.30 (c) | 30.30 ± 3.44 (c) | 37.10 ± 3.74 (a) | 31.85 ± 4.65 (bc) | 35.10 ± 3.29 (ab) | 26.52 ± 2.14 (CD) | 30.36 ± 2.03 (C) | 34.28 ± 1.04 (AB) | 35.93 ± 3.81 (A) | 31.81 ± 1.49 (BC) |
| PH | 91.16 ± 9.69 (c) | 92.29 ± 7.85 (c) | 109.89 ± 10.78 (a) | 106.08 ± 4.65 (ab) | 100.03 ± 4.05 (bc) | 79.14 ± 6.79 (C) | 88.78 ± 5.15 (B) | 96.98 ± 5.81 (A) | 96.72 ± 7.97 (A) | 99.28 ± 10.33 (A) | |
| Biomass | FL | 238.24 ± 21.98 (c) | 458.84 ± 40.96 (ab) | 503.51 ± 23.87 (a) | 404.67 ± 44.73 (b) | 461.72 ± 46.49 (ab) | 124.59 ± 14.65 (C) | 303.33 ± 25.91 (B) | 489.31 ± 28.47 (A) | 319.53 ± 28.78 (B) | 316.77 ± 23.94 (B) |
| DL | 27.88 ± 1.27 (d) | 40.80 ± 5.01 (bc) | 58.57 ± 4.52 (a) | 38.26 ± 2.69 (c) | 45.46 ± 2.68 (ab) | 23.85 ± 2.07 (C) | 32.04 ± 1.86 (BC) | 48.89 ± 2.29 (A) | 40.35 ± 3.20 (B) | 42.00 ± 3.88 (A) | |
| FS | 466.32 ± 34.80 (d) | 534.61 ± 29.46 (c) | 635.11 ± 39.23 (a) | 587.99 ± 32.82 (b) | 566.03 ± 44.20 (bc) | 429.95 ± 24.84 (B) | 511.59 ± 27.01 (B) | 543.33 ± 26.21 (A) | 514.44 ± 52.94 (B) | 512.58 ± 21.25 (B) | |
| DS | 46.93 ± 4.26 (c) | 53.32 ± 3.12 (b) | 60.30 ± 5.02 (a) | 55.71 ± 4.65 (b) | 46.39 ± 3.86 (c) | 47.61 ± 4.21 (C) | 55.84 ± 2.74 (B) | 64.51 ± 5.14 (A) | 58.51 ± 4.82 (B) | 48.93 ± 4.48 (C) | |
| Properties | Value | |
|---|---|---|
| Organic matter | (%) | 3.07 |
| EC | (mS cm−1) | 0.32 |
| pH | 8.4 | |
| K2O | meq/100 g | 0.17 |
| Na+ | meq/100 g | 0.16 |
| MgO | meq/100 g | 0.18 |
| Ca2+ | meq/100 g | 0.74 |
| P2O5 | meq/100 g | 0.02 |
| Cl− | meq/100 g | 0.24 |
| N–NH4+ | meq/100 g | 0.03 |
| N–NO3− | meq/100 g | 0.36 |
| Phenological Stage | N (g. plant−1) | P2O5 (g. plant−1) | K2O (g. plant−1) |
|---|---|---|---|
| Vegetative growth | 2.25 | 3.00 | 4.50 |
| Flowering stage | 2.25 | 3.00 | 4.50 |
| Fruit development | 3.00 | – | 3.75 |
| Maturity and harvest | 3.00 | – | 3.75 |
| pH | EC (dS m−1) at 25 °C | Ca2+ (meq L−1) | Na+ (meq L−1) | Mg2+ (meq L−1) | K+ (meq L−1) | NH4+ (meq L−1) | |
|---|---|---|---|---|---|---|---|
| DSW | 7.55 | 0.68 | 1.44 | 3.91 | <0.31 | 0.08 | 0.02 |
| FW | 7.71 | 0.81 | 3.53 | 1.88 | 3.93 | 0.06 | 0.00 |
| Treatment | (FW) | (DSW) | Description |
|---|---|---|---|
| EC | 0.81 dS m−1 | 0.68 dS m−1 | |
| T1 | 100% | 0% | Control (freshwater only) |
| T2 | 75% | 25% | Low salinity mixture |
| T3 | 50% | 50% | Moderate salinity mixture |
| T4 | 25% | 75% | High salinity mixture |
| T5 | 0% | 100% | Desalinated seawater only |
| Caliber Code | Size Category | Fruit Size Range (cm) |
|---|---|---|
| A′ | Small grading | 7–14 |
| B′ | Medium grading | 21–30 |
Disclaimer/Publisher’s Note: The statements, opinions and data contained in all publications are solely those of the individual author(s) and contributor(s) and not of MDPI and/or the editor(s). MDPI and/or the editor(s) disclaim responsibility for any injury to people or property resulting from any ideas, methods, instructions or products referred to in the content. |
© 2026 by the authors. Licensee MDPI, Basel, Switzerland. This article is an open access article distributed under the terms and conditions of the Creative Commons Attribution (CC BY) license.
Share and Cite
Khouya, K.; Taimourya, H.; El Malahi, S.; Zim, J.; Lahrach, I.; Elatrassi, A.; Zakri, B.; Benbya, A.; Basaid, K.; Lahlou, O.; et al. Enhancing the Growth and the Yield of Greenhouse Zucchini (Cucurbita pepo L.) Cultivars Using Desalinated Seawater in Semi-Arid Regions. Int. J. Plant Biol. 2026, 17, 30. https://doi.org/10.3390/ijpb17040030
Khouya K, Taimourya H, El Malahi S, Zim J, Lahrach I, Elatrassi A, Zakri B, Benbya A, Basaid K, Lahlou O, et al. Enhancing the Growth and the Yield of Greenhouse Zucchini (Cucurbita pepo L.) Cultivars Using Desalinated Seawater in Semi-Arid Regions. International Journal of Plant Biology. 2026; 17(4):30. https://doi.org/10.3390/ijpb17040030
Chicago/Turabian StyleKhouya, Khadija, Houda Taimourya, Soumia El Malahi, Jamaâ Zim, Ibtissam Lahrach, Aya Elatrassi, Bahija Zakri, Abdellah Benbya, Khadija Basaid, Ouiam Lahlou, and et al. 2026. "Enhancing the Growth and the Yield of Greenhouse Zucchini (Cucurbita pepo L.) Cultivars Using Desalinated Seawater in Semi-Arid Regions" International Journal of Plant Biology 17, no. 4: 30. https://doi.org/10.3390/ijpb17040030
APA StyleKhouya, K., Taimourya, H., El Malahi, S., Zim, J., Lahrach, I., Elatrassi, A., Zakri, B., Benbya, A., Basaid, K., Lahlou, O., Imani, Y., & Ennami, M. (2026). Enhancing the Growth and the Yield of Greenhouse Zucchini (Cucurbita pepo L.) Cultivars Using Desalinated Seawater in Semi-Arid Regions. International Journal of Plant Biology, 17(4), 30. https://doi.org/10.3390/ijpb17040030

