Abstract
The rapid, effective restoration of degraded peatlands is urgently needed to reduce their current high levels of carbon loss. The re-introduction of Sphagnum moss, along with re-wetting, is key to returning carbon sequestration and retention capabilities to northern degraded bogs. Micropropagated Sphagnum has already been applied in large quantities, and more is planned, for restoration projects in Britain and parts of Europe. A comparison with wild-sourced Sphagnum material is therefore pertinent to demonstrate its safety and suitability for wide-scale application. Six Sphagnum species of both micropropagated and wild-sourced origin were assessed for photosynthetic capacity, nutrient content, form parity, chlorocyst size, and chloroplast numbers. Micropropagated Sphagnum had significantly higher light-saturated photosynthesis (Pmax) rates, little color expression, an open growth habit, greater chloroplast numbers, and more numerous, smaller shoot apices than wild-sourced Sphagnum. Higher Pmax rates were associated with a lower bulk density and higher tissue nutrient concentrations. Potentially, greater chloroplast numbers in micropropagated Sphagnum facilitate higher photosynthesis rates, driving rapid growth in early-stage plants, particularly in optimum moisture conditions. Micropropagated Sphagnum can be used confidently, propagated in large quantities, and will likely establish well on application to sites where re-wetting has already occurred, therefore making it highly beneficial for the restoration of degraded bogs.
1. Introduction
Sphagnum is instrumental in its role as an ecosystem engineer in creating the cool, wet, acidic, low-nutrient conditions leading to the formation of peat in northern peatbogs, through chemical processes and recalcitrant plant tissues [1,2,3]. The uptake by Sphagnum of nutrients and water from rain and cloud water are well established in raised and blanket bogs [2]. Sphagnum absorbs aerially deposited nutrients rapidly and directly into plant tissue [4,5] and stores them efficiently, reducing their availability to the roots of vascular plants [6,7]. Moreover, the accumulation of carbohydrates occurs in environments that restrict plant growth and are stored as carbon, and those in Sphagnum, especially uronic acids (sphagnan), also form polymers in cell walls, responsible for ionic exchange, and are reckoned by Clymo [8] to make up 10–30% of fresh Sphagnum dry weight. Cation exchange between H+ and Ca2+ and Mg2+ especially, but also K+ and NH4+, traps nutrients for Sphagnum growth and creates an acid, nutrient-poor environment, most efficiently in the upper acrotelm [1,2]. Different species have also developed a range of adaptive or phylogenetic traits to specific ecological conditions of light, shade, and moisture [9,10,11,12], allowing them to outcompete vascular plants in the resulting hostile bog environment [2,7].
Intact peatlands store more atmospheric carbon per hectare than other terrestrial habitats [13,14]. However, many peatbogs are degraded through drainage and subsequent land-use change. Greenhouse gas (GHG) emissions from degraded peatlands are substantial; for example, in the UK they were estimated at approximately 23.1 Mt CO2e yr−1 by Evans et al. [15], which was 5% of the total GHG emissions for the UK in 2017 [16]. Restoration is vital to reduce this contribution to anthropogenic climate change [17,18]. Sphagnum is a key species for bog restoration [19], but the quantities available for re-introduction are insufficient from wild sources in many regions, including the UK, and sites are often protected [20]. Micropropagated Sphagnum (described below) has been developed to fill that gap in resources and has already proved successful on wide-scale introduction to blanket bogs in the north of England [21,22]. There is an urgent requirement to examine and understand the performance of micropropagated Sphagnum because of the scale of current and future peatland restoration needs.
The Sphagnum genus occupies a wide range of peatland ecological niches, and Sphagnum species vary widely in their photosynthetic rates, yet the plant and environmental factors driving production and carbon accumulation remain unclear [23]. Loisel et al. [24], in a wide-ranging review of global measurements, found Sphagnum stem-length growth and photosynthetically active radiation (PAR) were strongly correlated, with PAR a more important growth indicator than moisture levels, albeit for only two species assessed, S. magellanicum (probably S. medium or S. divinum [25]) and S. fuscum. However, studying the same two species, Bengtsson et al. [23] found that PAR had only a low annual effect on length increment, and that a range of other factors were more important, although the effects were species-specific. These included moisture levels, temperature, nitrogen deposition, and vascular plant cover, with the latter no doubt influencing the PAR levels available to Sphagnum. Photosynthesis is constrained by moisture levels in bryophytes as the plants are poikilohydric: too much moisture limits CO2 diffusion and reduces carboxylation, and too low moisture damages photosynthetic apparatus [26]. Low levels of nutrients, particularly nitrogen, support photosynthesis in mosses, although higher levels can be toxic and promote shading from vascular plants [27,28]. Sphagna utilize the same nutrient elements that all plants use for photosynthesis, respiration, and growth, but absorb them directly into cells [4] as they have no vascular transportation system for uptake from the soil, and allocate them differently, as nutrient resources are limited in an ombrotrophic bog system [9,29].
Photosynthesis rates generally decline following the ‘successional gradient’ of species in bog development towards ombrotrophic conditions [12]. Species with metabolic strategies, such as high bulk density and carotenoid concentration to tolerate drier, unshaded conditions, tend to have reduced rates of growth and photosynthesis [9], and shade-adapted species tend to have high photosynthesis rates [30]. Moreover, Hájek et al. [10], in laboratory conditions and under a range of light intensities, found a clear ranking of CO2 uptake between species, with those sourced from shaded habitats tending to rank higher than those sourced from open habitats. The authors surmised that species from open habitats suffered persistent photodamage, which reduced photosynthetic capacity, despite photoprotective pigments such as sphagnorubin. Additionally, greater numbers of chloroplasts in plants is known to be associated with a greater photosynthetic capacity [31].
Micropropagated Sphagnum has been produced in bulk quantities in the UK from a few shoots of wild-sourced material sourced from bogs in the north of England, primarily the Peak District and Cumbria. Production involves standard techniques of plant division, whereby the Sphagnum is surface-sterilized and tissue-cultured under aseptic conditions [32]. It is then grown on under greenhouse conditions with minimal, bespoke nutrient application [20]. Studying micropropagated Sphagnum is an opportunity for novel comparisons of species that have been cultured and grown under optimum light, moisture, and nutrient levels and are at the same stage of development.
Studies into the photosynthetic capacity of different species of Sphagnum moss from contrasting sources are pertinent to understanding production and, therefore, carbon sequestration in bogs [24]. Respiration is part of the net CO2 exchange, and so is also of study interest. The aims of this study were to make a comparison of photosynthesis and respiration rates and examine any differences in chlorocyst (cell containing chloroplasts) size (by observation, size appeared to vary between the same species of micropropagated and wild-sourced Sphagnum), number of chloroplasts and nutrient content of six Sphagnum species of both tissue-cultured (micropropagated) and wild-sourced plants. A greater understanding of the potential carbon sequestration of each micropropagated species will help direct both product development and restoration efforts where these products are used.
The objectives were, firstly, to measure the CO2 uptake (photosynthesis) and emission (respiration) of samples of S. capillifolium, S. fallax, S. medium/divinum, S. palustre, S. papillosum, and S. squarrosum in controlled conditions over a range of light intensities. These represent species from a broad environmental range and were readily available. Wild-sourced samples were taken from established, naturally occurring colonies in a range of peatland environments. Secondly, micropropagated and wild-sourced samples of the same six species used for photosynthesis rate studies were examined under a microscope and measurements made of chlorocyst size and number of chloroplasts to test for any differences that may influence capacity for photosynthesis. Thirdly, the nutritional content of samples used for photosynthesis measurements were analyzed to examine whether the levels of nutrients within tissues of micropropagated Sphagnum, which is a horticultural product, and wild-sourced Sphagnum had a bearing on their photosynthetic capacity.
Our research questions, which we succeeded in addressing, were:
- Which Sphagnum species, either grown under the same conditions (micropropagated) or grown in the wild, show the greatest rates of photosynthesis and respiration?
- Is there a difference in photosynthetic capacity and respiration rate between micropropagated and wild-sourced Sphagnum species?
- Are there differences in chlorocyst size, chloroplast number, and nutrient content between micropropagated and wild-sourced Sphagnum species that may explain differences in their photosynthetic capacity and respiration rate?
2. Materials and Methods
2.1. Sphagnum Photosynthesis and Respiration
Approximately 2 liters of each wild-sourced Sphagnum species were collected in August 2017 from ombrotrophic mires and heaths in the north of England and Wales: S. capillifolium, S. fallax, and S. palustre from Chat Moss Remnants Site of Biological Importance (SBI) (now owned by Lancashire Wildlife Trust, and called ‘Rindle Moss’) (53°27′53.0″ N, 2°26′56.4″ W), S. medium/divinum from Borth Bog (Cors Fochno) (52°30′18.7″ N, 4°00′43.5″ W), and S. papillosum from Ruabon Moor (53°00′11.5″ N, 3°08′21.6″ W). S. squarrosum was collected from Alderley Edge (53°17′52.1″ N, 2°12′18.0″ W), a wooded basin mire.
Micropropagated samples of the same species were also collected in June–July 2017. Micropropagated Sphagnum material is cultivated in glasshouses, where shade is applied in summer and humidity and temperature conditions are controlled, with minimal, bespoke (commercially sensitive information) nutrient application. The samples used were grown from micropropagated Sphagnum suspended in a hydrocolloidal gel and applied directly onto the growing-medium surface. The species selected were typical of the micropropagated Sphagnum grown for restoration work.
All Sphagnum samples were acclimatized in a Fitotron growth cabinet (Weiss Technik, Lindenstruth-Reiskirchen) for a minimum of 5 days, set to typical summer-time environmental conditions in the local area: 20 °C during the day (0600–2200 h), 12 °C during the night, day-time light intensity of 750–800 µmol (photons) m−2 s−1 (values calculated from the nearby Astley Moss Weather Station mean data, 2012–2015), and 85% humidity. The Sphagnum was misted with rainwater as necessary to keep it hydrated.
A literature review was used to determine the range of light levels needed to capture the photosynthetic response of diverse Sphagnum species. Haraguchi and Yamada [33] found that optimum light levels for photosynthesis for a range of Sphagnum species were between 300 and 500 µmol (photons) m−2 s−1 of PPFD (Photosynthetic Photon Flux Density). However, Rice et al. [9] found that photoinhibition (to prevent high-light damage) in Sphagnum occurs at 800 µmol (photons) m−2 s−1 and Loisel et al. [24] reported an optimum from 500 to 900 µmol (photons) m−2 s−1. Hájek et al. [10] found that the light saturation point for all Sphagna they studied was similar at an average of 2124 ± 86 (SE) µmol (photons) m−2 s−1, much higher than those of other studies. In this study, 800 µmol (photons) m−2 s−1 was the highest light level used.
A clear acrylic cylinder measuring 5 cm diameter × 3 cm high, fitted with a mesh base to allow air circulation through the plants (Figure 1), was used to hold each Sphagnum sample. Five replicate samples of each species from each type (micropropagated and wild-sourced) were cut to 3 cm lengths from the 2 L bulk amounts of Sphagnum at growing shoot density and placed in the cylinder (i.e., not a standard number of shoots, or compressed to fit) with the top surface of the sample level with the top of the cylinder. The number of shoots per sample varied by species and type and ranged from 19 to 96 (micropropagated) and from 13 to 73 (wild-sourced). An LGR™, Ultraportable Greenhouse Gas Analyzer (UGGA), Model 915-0011 (Los Gatos, Research, Palo Alto, CA, USA) (LGR), was fitted to a 500 mL sealable clear-glass chamber via tubing through air-tight ports in the lid, and Sphagnum samples placed in the chamber for analysis. Change in CO2 concentration within the chamber was measured over 2 min and a light response curve determined for each species starting from light intensities of 800 µmol (photons) m−2 s−1 to zero in increments of 50 µmol (photons) m−2 s−1 for each sample. A Skye PAR quantum sensor, integral to the growth cabinet, was placed on a level with the sample being assessed to set an accurate light intensity. The reduction in light transmission through the clear-glass chamber (8%) was accounted for by increasing the light intensity in the cabinet accordingly for each light intensity measurement. Samples were lightly misted with rainwater after each measurement and acclimated to each change in light level between measurements, after the light intensity had stabilized (similar to methods used by Kangas et al. [34]), for approximately 5 min.
Figure 1.
Examples of Sphagnum species samples for the analysis of the photosynthesis rate. Micropropagated (top row of pair) and wild-sourced Sphagnum species samples show typical visual differences in pigmentation and form.
The samples were photographed prior to measurements (Figure 1) and the number of capitula per sample counted. Photography also allowed for the qualitative comparison of types, e.g., color expression. Samples were weighed to check for water loss between measurements, and the chamber was closed between each light level measurement to reduce drying. The LGR flow rate was 0.8 L min−1 with space between gas inlet and outlet points; air was released into the chamber along a small pipe with holes along the length to encourage mixing (LGR low flow rate threshold for analysis is ~0.35 L min−1 [personal communication, Lewis John, LGR™ Sales Representative]).
Net photosynthesis or respiration rate was calculated through Microsoft Excel from the rate of CO2 depletion or increase using linear regression over a two-minute period, and further expressed by the surface area of the plant chamber (As) and subsequently by the total plant dry weight (DW). Values are expressed using the leaf gas exchange sign convention, whereby plant uptake of CO2 from the atmosphere is expressed as positive and loss to the atmosphere is expressed as negative. The calculation to determine the photosynthesis (CO2 uptake) or respiration (CO2 emission) rate (adapted from Dossa et al. [35]) is:
(P (atm) = atmospheric pressure; V (m3) = chamber volume; R (L atm mol−1 K) = universal gas constant; T (K) = gas temperature in Kelvin; As (m2) = sample surface area; 44 g mol−1 = molecular weight of CO2); Photosynthesis or Respiration = g CO2 m−2 h−1.
2.2. Sphagnum Samples’ Bulk Density
High shoot density and bulk density are physiological aspects of Sphagnum’s protective adaptation to open conditions and may lead to reduced photosynthesis rates; so, bulk density measurements were made to quantify this. After photosynthesis measurements, samples were dried overnight at 105 °C (temperature used by other researchers, e.g., Limpens and Berendse [36], and McNeil and Waddington [37]) to obtain dry weight for calculations and for nutrient analysis. Dry weight bulk density was calculated from the dry weight divided by the known sample volume.
2.3. Sphagnum Samples’ Nutrient Analysis
The nitrogen content of the samples was obtained using a LECO FP628 elemental analyzer. A minimum of 0.05 g of dry Sphagnum was used per sample. Each sample measured for photosynthesis (n = 60) was analyzed, plus 4 replicates of one species from each type (micropropagated and wild-sourced) to determine the experimental error (total n = 68).
For other elements, samples (as above) were prepared for Inductively Coupled Plasma Optical Emission spectroscopy (ICP-OES) through acid and microwave digest, using HNO3 S.G. 1.42 (>68%) PrimerPlus-Trace analysis grade in a CEM Mars Xpress 5 Microwave, and the diluted solution was analyzed through ICP-OES (Thermo Fisher Scientific, Waltham, MA, USA).
2.4. Sphagnum Cell Measurements and Analysis
In addition to Sphagnum measured for photosynthesis and nutrient analysis, small samples (several plant shoots) of Sphagnum for microscopic analysis were collected in September 2019 from unheated greenhouses (micropropagated—daytime temperature ~20 °C) and from natural sources and assessed over the following week. Wild-sourced Sphagnum was from sites in the north of England: S. fallax, S. medium/divinum, and S. palustre from Cadishead Moss (53°27′07.9″ N, 2°27′18.9″ W); S. capillifolium and S. papillosum from Astley Moss (53°28′32.2″ N, 2°27′15.5″ W); and S. squarrosum from Windy Bank Wood (53°28′15.3″ N, 2°28′59.6″ W). Leaves on divergent branches just below the capitula are generally used for the microscopic observation of Sphagnum [38,39]. The cell structure changes across the leaf from proximal to distal ends and from edge to center, and between convex and concave aspects [39,40]. For the standardization of the results in this study, leaves from branches just below and immediately surrounding the capitulum (as indicated in Figure 2) were observed and measurements made centrally, on the concave aspect.
Figure 2.
Examples of capitula used for microscopic study; arrows indicate typical branch selection.
Leaves from three branches from below three capitula of each sample (i.e., 9 leaves) were removed onto a slide and photographed using a Brunel Eyecam Plus attached to a compound microscope at 1000× magnification; cell dimensions were measured after calibration at the same magnification. There is a collection of five or six chlorocysts (cells containing chloroplasts) surrounding a hyalocyst (a dead, thin-walled, and hollow cell with a water storage function). The width (rather than length, which has a very wide variation) of all segments around one hyalocyst per leaf was measured centrally (Figure 3), and the number of chloroplasts counted in each. A mean value was calculated from each set of measurements for each leaf, and thus, there were 9 values for chlorocyst width and for number of chloroplasts for each species. Only chloroplasts within chlorocysts immediately surrounding each single hyalocyst assessed were included in the measurements.
Figure 3.
Examples of chlorocyst width measurement locations (double-ended arrows) and chloroplasts (single-arrowed) (A) S. palustre and (B) S. squarrosum).
2.5. Data Analysis
Data were analyzed using IBM SPSS Statistics for Windows (Version 25.0. Armonk, NY, USA: IBM Corp.) and PAST: Paleontological Statistics Software Package for Education and Data Analysis [41] where indicated. Data were tested for normality using Shapiro–Wilk tests. Data for maximum photosynthesis (Pmax), respiration rates, number of capitula per sample, fresh (FW) and dry weight (DW) bulk density, and also data for microscopic measurements of chlorocyst width and number of chloroplasts were found to be normally distributed, and so, parametric t-tests were used to test differences between Sphagnum types (micropropagated and wild-sourced), as well as one- and two-way ANOVAs with post-hoc Tukey’s HSD to test differences between species within types and between types for each species. Dependency of respiration rates on Pmax rates was tested using linear regression. Data for nutrients were not normally distributed, and so, non-parametric independent variable tests (Mann–Whitney U) were used to test differences in distribution between Sphagnum types (micropropagated and wild-sourced). Associations between nutrient levels, Pmax and respiration rates, and Sphagnum type and species were examined with a correlation matrix through a principal component analysis using the PAST software [41]. Statistical significance was determined with a p-value < 0.05.
3. Results
3.1. Sphagnum Photosynthesis and Respiration
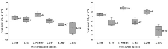
The response of net photosynthesis rate (Pn) to changing light levels showed a similar pattern across all species in both micropropagated and wild-sourced samples (Figure 4), reaching a maximum Pn (Pmax) between 400 and 650, and 400 and 750 µmol (photons) m−2 s−1, respectively (Table 1), either levelling or reducing thereafter. Significant inter-species differences were seen within both micropropagated and wild-sourced Sphagnum types for Pmax (F = 11.29 and 115.9, respectively; p < 0.001, df = 5 for both) and respiration rates (F = 12.0 and 39.15, respectively; p < 0.001, df = 5 for both). Significant differences between species are indicated on Figure 5. Pmax was significantly higher in micropropagated than in wild-sourced samples overall (t = 8.647, p < 0.001, df = 58). The Pmax of each species was higher in micropropagated than wild-sourced types (significant differences between species from two-way ANOVA Tukey’s post hoc tests are indicated in Table 1). The Pmax rates across micropropagated samples were less variable than wild-sourced samples (coefficient of variation of 32.2% and 74.7%, respectively). Respiration rates were significantly greater in micropropagated than in wild-sourced samples overall (t = 5.816, p < 0.001, df = 58) and by species (not significantly for S. fallax or S. palustre).

Figure 4.
Comparison of micropropagated and wild-sourced Sphagnum species net photosynthesis (Pn) response to light. A light intensity range from 0 to 800 µmol (photons) m−2 s−1 was used to test each sample. Results are shown on a dry weight basis (n = 5). Crosses indicate the mean, lines indicate the median, and interquartile range is exclusive with maximum and minimum values that are not outliers indicated by the whiskers.
Table 1.
Comparison of light-saturated photosynthesis (with associated PAR level) and respiration rates of Sphagnum species within each type.

Figure 5.
Inter-species differences in light-saturated photosynthesis (Pmax) and respiration (Resp) rates within Sphagnum types. Statistically significant differences between species on each graph are indicated by shared letters. Crosses indicate the mean, lines indicate the median, and interquartile range is exclusive with maximum and minimum values that are not outliers indicated by the whiskers.
Micropropagated species are ranked from the highest to lowest Pmax in Table 1, but the ranking for wild-sourced species was ordered differently for both Pmax and respiration rates. However, the ranking of micropropagated and wild-sourced species with the highest (S. squarrosum) and lowest (S. medium/divinum) Pmax and respiration rates were the same.
The ratio of Pmax to respiration on a DW basis was consistently higher in micropropagated samples (5.58) than wild-sourced samples (3.41). However, there was a strong positive linear regression between Pmax and respiration rates in wild-sourced samples (R2 = 0.90, p < 0.001), which was not as evident in micropropagated samples (R2 = 0.48, p < 0.001).
The weight (moisture) loss from samples during assessment through the range of light intensities was 6.9 ± 2.4% and 7.4 ± 2.9% for micropropagated and wild-sourced, respectively; minimum and maximum values were 4.4% (S. medium/divinum) and 10.5% (S. squarrosum) in micropropagated samples and 4.6% (S. papillosum) and 9.7% (S. fallax) in wild-sourced samples, respectively. The moisture content of samples at Pmax ([Sample Pmax fresh weight—sample dry weight]/sample dry weight × 100) was 2335 ± 420% (CV = 18%) (micropropagated) and 1551 ± 320% (CV = 21%) (wild-sourced).
There were significantly more capitula per sample in micropropagated than in wild-sourced Sphagnum overall (mean ± SD = 41.8 ± 24.2 and 27.0 ± 18.7, respectively; t = 2.635, p = 0.011, df = 58) (Examples in Figure 1). As noted in the Section 2, samples were placed carefully in a cylinder for analysis at growing shoot density. Moreover, there were more capitula in micropropagated than in wild-sourced samples of each species, although (according to two-way ANOVA post hoc Tukey’s HSD) this was not significant for S. fallax, S. medium/divinum, and S. squarrosum (S. capillifolium and S. papillosum, p < 0.001; S. palustre, p < 0.01, n = 10).
3.2. Sphagnum Samples’ Bulk Density
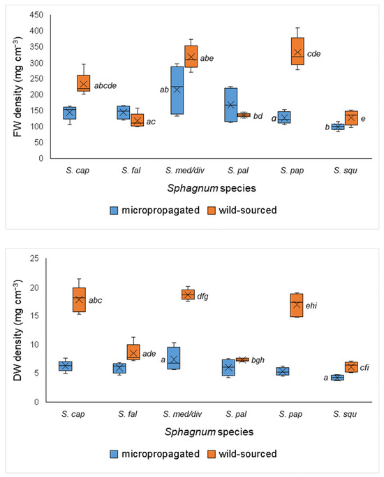
The FW and DW bulk density were greater in wild-sourced than in micropropagated samples (not S. fallax or S. palustre by FW) (F = 22.3 [FW], F = 73.6 [DW]; p < 0.001, df = 11 for both) (Figure 6). Differences between types (micropropagated and wild-sourced) were significant (ANOVA post hoc Tukey’s HSD) for S. capillifolium (FW p = 0.019, DW p < 0.001) S. medium/divinum (FW p = 0.003, DW p < 0.001), and S. papillosum (FW and DW p < 0.001) (n = 10 throughout). Within types, the bulk density across micropropagated samples was less variable than wild-sourced samples (coefficient of variation of 34.7% and 45.3% by FW and 25.0% and 44.5% by DW, respectively), with a greater bulk density in S. capillifolium, S. medium/divinum, and S. papillosum than other species in wild-sourced samples. There was a statistically significant difference between species within both micropropagated and wild-sourced samples as determined by one-way ANOVA (FW: F = 4.71, p = 0.004, F = 44.65, p < 0.001 and DW: F = 3.99, p = 0.009, F = 70.37, p < 0.001, respectively). One-way ANOVA post hoc Tukey’s HSD statistically significant differences are shown on Figure 6.
Figure 6.
Comparison of micropropagated and wild-sourced Sphagnum density by fresh weight (FW) and dry weight (DW). Shared letters within types (micropropagated and wild-sourced) indicate significant differences in density between species (one-way ANOVA post hoc Tukey’s HSD). Crosses indicate the mean, lines indicate the median, and interquartile range is exclusive with maximum and minimum values that are not outliers indicated by the whiskers.
The linear regression revealed significant negative relationships between DW bulk density (mass/volume) and both Pmax (DW) and respiration (DW) (Pmax and respiration rates decreased as the bulk density increased) of micropropagated and particularly wild-sourced samples (Pmax: R2 = 0.573 and 0.827, respectively; respiration: R2 = 0.503 and 0.789 respectively; p < 0.001, df = 29 throughout).
3.3. Sphagnum Samples’ Nutrient Content
Macronutrient (Ca, K, Mg, N, P, S) concentrations were significantly higher in micropropagated than in wild-sourced samples overall (Mann–Whitney U test: S: p = 0.001, all other elements: p < 0.001; n = 60 throughout) (Table 2). N made up the largest proportion of the macronutrient content in all species throughout, and there was a high proportion of K in all micropropagated samples and in most of the wild-sourced samples. The principal component analysis (Figure 7) showed a noticeable clustering of wild-sourced samples away from micropropagated Sphagnum, and a disassociation from increasing macronutrients (Ca, Mg, P, N, K, S) in wild-sourced samples (Figure 7A), apart from S. squarrosum (a minerotrophic species), which was more closely associated with micropropagated Sphagnum. In contrast, micropropagated Sphagnum was associated with macronutrients, although there were differences between macronutrients and species. N, P, and K were closely associated, and there was an association between these macronutrients and the micropropagated S. palustre, S. papillosum, and S. squarrosum.
Table 2.
Macronutrient content of Sphagnum samples.
Figure 7.
Principal component analysis (PCA: correlation matrix) of Sphagnum element content. PCA graphs show (A) macronutrient and (B) micronutrient and trace element contents of Sphagnum samples with Pmax and respiration by dry weight.
The levels of trace elements Al, Fe, Mn, Na, Ni, and Pb were higher in wild-sourced than micropropagated samples overall (Al, Fe, Pb: p < 0.001; Mn: p = 0.01; Na and Ni: p NS; n = 60 throughout) (Table 3), with the highest levels of Al, Fe, Mn, and Na in S. papillosum. The levels of micronutrients Cu and Zn were higher in micropropagated than wild-sourced samples overall (p < 0.001; n = 60) (although not in S. squarrosum). Na made up the largest proportion of the micronutrient and trace element contents in all samples. The principal component analysis (Figure 7B) showed a clustering and association with Cu and Zn in micropropagated samples together with wild-sourced S. squarrosum. Other samples of wild-sourced Sphagnum were only loosely grouped by species and more closely associated with micronutrients other than Cu and Zn. Cu and Zn were closely associated, as were Fe and Pb, and Mn and Na. S. papillosum appeared to have a strong association with Na and Al, and S. capillifolium, S. medium/divinum and S. fallax with Fe and Pb.
Table 3.
Micronutrient and trace element contents of Sphagnum samples.
There was a lower N:P and N:K ratio, and a lower variation between species in micropropagated than in wild-sourced samples: N:P = 9.61 ± 1.24 (CV = 12.9%) and 31.18 ± 19.54 (CV = 62.7%) respectively, and N:K = 1.85 ± 0.09 (CV = 4.9%) and 3.13 ± 1.40 (CV = 44.8%), respectively. The N:P and N:K ratios in wild-sourced S. squarrosum (11.41 and 1.54) and, to a lesser extent, S. palustre (17.51 and 2.05) were the most similar to their micropropagated equivalents, and those of wild-sourced S. medium/divinum (64.59 and 5.24) and S. papillosum (42.56 and 3.86) the most dissimilar, respectively.
3.4. Sphagnum Cell Measurements and Analysis
There were significant differences between the groups of species by type (micropropagated or wild-sourced) in both chlorocyst width and number of chloroplasts (F = 49.9, F = 33.7, respectively; p < 0.001, df = 11 for both) (Table 4). There were no significant differences (ANOVA post hoc Tukey’s HSD) in chlorocyst width between micropropagated and wild-sourced species individually (Table 4), except for S. squarrosum (p < 0.05 wild-sourced > micropropagated). The widest chlorocysts were recorded in S. palustre (micropropagated and wild-sourced samples). There were more chloroplasts in micropropagated compared to wild-sourced species in all but S. squarrosum (Table 4), and differences were significant (ANOVA post hoc Tukey’s HSD) for S. capillifolium and S. palustre (p < 0.05) and S. papillosum (p < 0.001). The greatest chloroplast numbers in each type were found in S. palustre and S. papillosum (micropropagated) and S. palustre (wild-sourced). Physical differences between micropropagated and wild-sourced samples are limited to reduced color expression (S. capillifolium and S. medium/divinum) (Figure 1) and maturity (S. papillosum cell papillae) in micropropagated Sphagnum (Figure 8).
Table 4.
Comparison of microscopic features between micropropagated and wild-sourced Sphagnum samples.
Figure 8.
Examples of Sphagnum samples at 1000× magnification: micropropagated (top of pair) and wild-sourced Sphagnum samples. Scale bar = 50 µm.
4. Discussion
The routine micropropagation of Sphagnum in controlled environments has enabled a comparison of species physiology when grown under the same conditions without the confounding influences of habitat conditions and plastic responses. The maximum photosynthesis (Pmax) capacity and respiration rate measured on a range of Sphagnum species were broadly in line with the published data for these species (Table S1), although rates varied more across wild-sourced than micropropagated species, and all were typically much lower than vascular plants [9,12,33,34,42,43].
Several authors [9,10,43] suggest a rank in Sphagnum species photosynthesis rates, corresponding generally to the accepted phylogenetic order of growth rates and a gradient in production depending on light, moisture, and nutrient levels [34]. In general, highly productive Sphagna tend to be competitive or ruderal [44] species of hollows (such as S. squarrosum, S. fallax, and S. fimbriatum), thriving in shaded, high moisture, and nutrient environments (i.e., low-stress) and adopting an open, loose growth habit [10]. This open, loose growth habit also allows more of the plant access to any available light for photosynthesis and faster growth rates [45]. These species also tend to be green, likely due to a high chlorophyll content [10], with strong shoot growth and large capitula [30]. Sphagna with lower productivity tend to be stress-adapted species (such as S. capillifolium, S. medium/divinum, and S. papillosum), which grow in open (unshaded), ombrotrophic bogs, subject to high light intensity, occasional drought, and low nutrient levels (i.e., high-stress) [11,12]. In these conditions, short, dense growth forms for greater acquisition and retention of moisture [10,24] and perhaps tolerance of photoinhibition become more important to survival than the capacity for rapid growth [9,24]. Other more generalist species (such as S. palustre, and some other loose hummock-forming species) thrive at points along this stress gradient. There are few Sphagna in unshaded, dry sites. Thus, the capacity for photosynthesis is driven by moisture, light, and nutrient levels, and different phylogenetic traits, as described above, provide Sphagnum species competitive advantages to thrive in particular habitats [26]. This is reflected in our study, and to answer research question (1), whether grown in the same conditions (micropropagated) or sourced from the wild, the species with the highest capacity for photosynthesis and respiration (on a dry matter basis) was S. squarrosum and that with the lowest was S. medium/divinum, suggesting that the accepted rank, as described above, does have a phylogenetic basis.
The wide range of Pmax rates across samples in this study was likely due to the diversity of Sphagnum species and sources: micropropagated species grown in a commercial greenhouse environment (although original source material was from different sites); wild-sourced species developed each with a range of nutrient and shade regimes in their habitat. It is notable that S. medium/divinum Pmax rates were higher in shaded than open sites in a study by Bengtsson et al. [43] (Table S1). This not only demonstrates the plasticity of this species in its adaptation to a range of environmental conditions but suggests that a shaded environment is likely to promote moisture retention in Sphagnum due to reduced evaporative effects of wind and heat, which subsequently supports photosynthesis [10]. Regimes for the storage, hydration, acclimatization, and analysis of samples were standardized in our study. Hájek [26] suggested the water content of ‘well-hydrated’ Sphagnum is 1500 to 3000%, and both micropropagated and wild-sourced samples in this study were within this range. However, wild-sourced samples were at the lower end of the range and had 66% of the water content of micropropagated samples, which may have had some influence on comparative photosynthesis rates.
Micropropagated Sphagnum species had a markedly greater response to increasing light levels and higher Pmax and respiration rates than the wild-sourced ones, on a dry weight basis, which supports research question (2) that there is a difference in photosynthetic capacity and respiration between micropropagated and wild-sourced Sphagnum species. Across all species samples, the wild-sourced Sphagnum Pmax was 34.8% (by dry weight) that of the micropropagated Sphagnum. This is perhaps because the micropropagated samples in a shaded commercial greenhouse had not yet developed photo-inhibitive adaptations to light stress. However, in both micropropagated and wild-sourced samples, the competitive, shade species S. squarrosum had the highest rates of Pmax and respiration and the lowest bulk density (mass/volume), and the stress-adapted species S. medium/divinum had the lowest rates of Pmax and respiration, and the highest bulk density, demonstrating some parity in species behavior, despite the tissue-culture process.
Pmax and respiration rates were positively related throughout as typically found across ecosystems [46], most strongly in wild-sourced species, suggesting this more mature, natural material may have reached an equilibrium within its habitat, compared to the more even photosynthetic response of micropropagated species to light. There was a higher ratio of Pmax to respiration in micropropagated than in wild-sourced species, despite generally higher micropropagated respiration rates, suggesting potential carbon balance benefits on application to the field, at least in the early stages of establishment.
Differences in Pmax between micropropagated and wild-sourced samples were particularly apparent in species from section Sphagnum: S. medium/divinum, S. palustre, and S. papillosum, where photosynthetic activity was noticeably lower in wild-sourced than micropropagated samples. The difference between Pmax rates of micropropagated and wild-sourced samples of S. capillifolium was not so marked as other species. This species is adapted to a range of peatland habitats and ecological niches, and has tolerance to shade [11]. Wild-sourced, shade-tolerant species, S. squarrosum, S. fallax, and S. palustre, had the highest Pmax levels at the lowest light levels, on a dry weight basis, which concurs with findings by Rice et al. [9] and Hájek et al. [10].
The DW bulk density of wild-sourced Sphagnum for each species studied was significantly greater than that of micropropagated species, which were established under favorable light and moisture regimes, and were also in the early stages of rapid, linear growth [12]. There was also a relationship between increasing bulk density and declining Pmax in wild-sourced Sphagnum samples but not in micropropagated samples. In wild-sourced samples, there were two distinct groups by dry weight bulk density: S. fallax, S. palustre, S. squarrosum (low bulk density), and S. capillifolium, S. papillosum, S. medium/divinum (high bulk density), showing obvious differences between shade-adapted, moisture-dependent species, and light-adapted, moisture-retaining species, which are only fully expressed in the natural environment.
Micropropagated Sphagnum species were not visually different from those wild-sourced, although some characteristics, such as S. papillosum cell papillae, were less developed in micropropagated samples, suggesting immaturity (Figure 8), and there was less color expression in micropropagated Sphagnum (Figure 1), grown in a shaded greenhouse, as secondary pigments usually only develop in full light [40] (p. 61). Chlorocyst size was not significantly different, despite the relative immaturity of micropropagated samples, apart from S. squarrosum species, where those of wild-sourced samples were significantly larger than micropropagated samples and the number of chloroplasts per cell was also greater. S. squarrosum samples were sourced from a nutrient-rich, shaded environment, beneficial to continued upward growth; the greater cell size and number of chloroplasts were likely based on maturity and optimum growing conditions. In all other species, there was a significantly greater number of chloroplasts in micropropagated than in wild-sourced samples, apart from S. palustre, where the difference was not statistically significant. This is consistent with micropropagated plants being in the early stages of rapid growth [12] but also not exposed to conditions of high light intensity and low moisture, and so, they were perhaps acting more like shade plants [47]. Therefore, the aspect of research question (3) examining whether any differences in chlorocyst size and chloroplast number between micropropagated and wild-sourced Sphagnum species may affect their photosynthesis and respiration did not lead to a clear conclusion, as any differences were not directly linked to different photosynthetic capacity. However, the high rates of photosynthesis in micropropagated Sphagnum, the greater number of capitula per sample, as well as similar features to wild-sourced suggest that successful establishment in optimum field conditions is likely.
The nutrient analysis of the samples allowed the further examination of the causes of difference in photosynthesis rates. Micropropagated samples contained significantly higher levels of macronutrients, essential for plant photosynthesis and growth, than wild-sourced samples, and as CO2 uptake and emission rates were also higher in micropropagated Sphagnum, it appears that the aspect of research question (3), which examined whether any differences in nutrient content between micropropagated and wild-sourced Sphagnum species may affect their photosynthesis and respiration, was supported.
The higher levels of macronutrients in micropropagated Sphagnum may be explained through the standard horticultural processes of nutrient application associated with micropropagated production. Conversely, wild-sourced Sphagnum had higher levels than micropropagated of micronutrients, which are a smaller component of plant nutritional requirements but also support plant health. Concentrations of micronutrients may have become diluted in micropropagated plants due to their rapid growth rate. Additionally, higher levels of elements considered detrimental to plant health (such as Al, Fe, and Pb) in some wild-sourced species may reflect the capability of bryophytes to absorb certain levels of pollution and act as bioindicators [4,48].
The three main macronutrients associated with plant growth and photosynthesis, N, P, and K, were strongly positively associated with Pmax overall in this study and reflected species’ differences in macronutrient uptake and Pmax rates. For example, wild-sourced species with the highest content of NPK were S. squarrosum and S. palustre, and those with the lowest content were S. papillosum and S. medium/divinum, which corresponded with Pmax rates for those species.
In vascular plants, there is a strong positive relationship between both net photosynthesis and dark respiration and leaf N content in a wide range of global biomes [42]. Typically, mosses translocate nutrients into their tissues gradually over the growing season [49] and the N:P and N:K ratios remain balanced [50]. Granath et al. [51] and Mazziotta et al. [28] found a positive relationship between N concentration and photosynthesis rates in Sphagnum (as in this study). However, Sphagnum growth reportedly improves with increasing levels of N until a ‘critical concentration’ is reached, at which there is no further promotion of plant growth despite increasing levels of N in tissues [52]. In the context of aerial nitrogen pollution, Press et al. [53] found that increasing inorganic nitrogen supply slowed Sphagnum growth. Saturated N levels limit further P and K accumulation, and so, growth becomes P- and K-limited [4,54,55]. Excess N is also leached into the environment, promoting the growth of vascular plants that may outcompete Sphagnum in the field [27,55,56].
The balance between N, P, and K levels in Sphagnum tissues appears to be similar throughout natural bog settings, but differences may occur due to growth habit and conditions. Wang and Moore [57] reported averages of N = 9, P = 0.55, K = 7.5 mg g−1 DW content for ‘hummock’ Sphagna (S. capillifolium and S. medium/divinum) at the Mer Bleue ombrotrophic bog in Canada. Bragazza et al. [4] had similar values of N = 8.2 and 9.2, P = 0.41 and 0.44, K = 4 and 4.44 mg g−1 DW for hummock and lawn species, respectively, in European mires, which are reported to have higher N deposition than Canadian mires. NPK levels of wild-sourced species in this study had higher N values but were otherwise similar to European values: N = 12.0 ± 2.13, P = 0.44 ± 0.24, K = 4.05 ± 1.87 mg g−1 DW. Wild-sourced S. squarrosum, however, had a higher NPK content (N = 20.9 ± 2.05, P = 1.83 ± 0.16, K = 13.6 ± 0.75 mg g−1 DW) and, as the sample was sourced from wet woodland, suggests that nutrients may continue to accumulate in fast-growing Sphagnum in conditions of shade [58] and optimum moisture [37].
All micropropagated species had a high NPK content (N = 24.2 ± 4.41, P = 2.55 ± 0.49, K = 13.2 ± 2.79 mg g−1 DW) due to greenhouse nutrient additions. Sphagnum N concentration thresholds of 11 to 12 mg g−1 [4,55], 15 mg g−1 (for S. recurvum—section Cuspidata) [59], and 20 mg g−1 (for a range of hummock and hollow species) [56] have been reported. Nitrogen content in wild-sourced S. squarrosum in this study was at the top of the reported threshold range, with no apparent limitation of P or K, although this may be due to the fast-growing nature of this species, and nutrients are readily replenished by the woodland habitat from which it was sourced. Nitrogen content in micropropagated samples was well above the highest reported threshold—as high as 30 mg g−1 in some samples, with no evidence of toxicity or limitation of P or K.
Growth reduction is reported when Sphagnum experiences a considerable increase in N availability relative to conditions at the site from which it was obtained [60], implying that Sphagnum tolerance of N is site-adapted. Bragazza et al. [4] found that, at elevated N levels, the N:P ratio increased to 33.8 and 33.6 and N:K ratio increased to 3.7 and 4.0 for hummock and lawn species, respectively. In this study, there were very high N:P and marginally high N:K ratios in S. medium/divinum (64.6 and 5.24) and S. papillosum (42.6 and 3.86 respectively) from open, ombrotrophic bogs compared to N:P and N:K ratios in S. squarrosum (11.4 and 1.54) and S. palustre (17.5 and 2.05, respectively) (from higher-nutrient, shaded environments), which are more aligned to ratios found in low nutrient sites by Wang and Moore [57] and Bragazza et al. [4]. In wild-sourced Sphagnum in this study, the lowest Pmax was found in S. papillosum and S. medium/divinum, and the highest in S. squarrosum and S. palustre. Although the plants with a high N:P ratio (S. papillosum and S. medium/divinum) appeared healthy and are likely adapted to these particular levels of nutrients, the limitation of P by higher levels of N (as described above) may have reduced their photosynthetic capacity [61], although Granath et al. [51] found that the negative effect of limited P was on production rather than photosynthetic rate.
This difference in stoichiometry between micropropagated and wild-sourced plants may be due both to issues of maturity [50], as levels of N may be naturally higher in young than in mature plants [52], and site adaptation in wild-sourced samples [60], i.e., plant adaptations to environmental stressors inhibited photosynthetic potential in wild-sourced plants. Although micropropagated plants were ‘mature’ in terms of development, they could be classed as ‘young’, being grown directly from tissue culture to the point at which they are available as plug plants, ready for site application, after only several months of growth. Micropropagated plants do not appear to be P- or K-limited (N:P = 9.61 ± 1.24 and N:K = 1.85 ± 0.09), suggesting that the right balance of nutrients is applied in the horticultural process for these new plants.
The most important aspect of Sphagnum reintroduction to peatland restoration sites is rapid establishment and growth, particularly lateral growth, to make an intact carpet as quickly as possible [62]. This will progress restoration by keeping a cool, moist layer at the peat surface [63], reducing evaporation and encouraging the development of an acrotelm to promote peat accumulation [19,64,65,66]. The capacity of micropropagated Sphagnum to absorb nitrogen above normally limited thresholds may also be useful on application to ex-agricultural sites as a paludiculture crop or for restoration purposes, at least in the critical establishment phase. This study on differences between micropropagated and wild-sourced Sphagnum in terms of net photosynthesis, phylogenetic and adaptive traits, and nutrient assimilation highlights potential reasons for the successful establishment and growth of micropropagated products reported in large-scale restoration projects [20,21,22] and their potential contribution to CO2 uptake. Future work could usefully determine whether the advantages conveyed in these early growth stages of micropropagated Sphagnum moss persist over longer time periods in the wild.
Supplementary Materials
The following supporting information can be downloaded at: https://www.mdpi.com/article/10.3390/ijpb15040068/s1, Table S1: Comparison of light-saturated photosynthesis and respiration rates between samples in this study and values in the literature.
Author Contributions
Conceptualization, A.T.K., C.D.F., J.G.R. and S.J.M.C.; methodology, A.T.K. and S.J.M.C.; software, A.T.K.; validation, A.T.K., C.D.F., J.G.R. and S.J.M.C.; formal analysis, A.T.K.; investigation, A.T.K.; resources, S.J.M.C.; data curation, A.T.K.; writing—original draft preparation, A.T.K.; writing—review and editing, A.T.K., C.D.F., J.G.R. and S.J.M.C.; visualization, A.T.K., C.D.F., J.G.R. and S.J.M.C.; supervision, S.J.M.C., C.D.F. and J.G.R.; project administration, S.J.M.C.; funding acquisition, S.J.M.C. All authors have read and agreed to the published version of the manuscript.
Funding
This paper was derived from a doctoral thesis (PhD) part-funded by Micropropagation Services (EM) Ltd. (trading as BeadaMoss®), match-funded by Manchester Metropolitan University (MMU). The authors wish to thank David McKendry and technical officers at MMU for their support, and are grateful to the examiners of the PhD thesis who provided valuable comments and corrections.
Institutional Review Board Statement
Not applicable.
Data Availability Statement
The original data presented in the study are openly available in Mendeley Data at DOI:10.17632/dfvmfmb3vz.1. https://data.mendeley.com/datasets/dfvmfmb3vz/1 (accessed on 24 April 2024).
Conflicts of Interest
Author J.G.R. was employed by the company Jacobs UK Limited. The remaining authors declare that the research was conducted in the absence of any commercial or financial relationships that could be construed as a potential conflict of interest. The funding sponsors had no role in the design of the study; in the collection, analyses, or interpretation of data; in the writing of the manuscript, and in the decision to publish the results.
References
- Verhoeven, J.T.; Liefveld, W.M. The ecological significance of organochemical compounds in Sphagnum. Acta Bot. Neerl. 1997, 46, 117–130. [Google Scholar] [CrossRef]
- Rydin, H.; Jeglum, J.K.; Bennett, K.D. The Biology of Peatlands, 2nd ed.; Oxford University Press: Oxford, UK, 2013. [Google Scholar]
- Lindsay, R.; Birnie, R.; Clough, J. Peat Bog Ecosystems: Key Definitions; International Union for the Conservation of Nature: Edinburgh, UK, 2014; Available online: https://repository.uel.ac.uk/item/85870 (accessed on 24 April 2024).
- Bragazza, L.; Tahvanainen, T.; Kutnar, L.; Rydin, H.; Limpens, J.; Hájek, M.; Grosvernier, P.; Hájek, T.; Hajkova, P.; Hansen, I.; et al. Nutritional constraints in ombrotrophic Sphagnum plants under increasing atmospheric nitrogen deposition in Europe. New Phytol. 2004, 163, 609–616. [Google Scholar] [CrossRef] [PubMed]
- Fritz, C.; Lamers, L.P.; Riaz, M.; van den Berg, L.J.; Elzenga, T.J. Sphagnum mosses-masters of efficient N-uptake while avoiding intoxication. PLoS ONE 2014, 9, e79991. [Google Scholar] [CrossRef]
- van Breemen, N. How Sphagnum bogs down other plants. TREE 1995, 10, 270–275. [Google Scholar] [CrossRef]
- Malmer, N.; Albinsson, C.; Svensson, B.M.; Wallén, B. Interferences between Sphagnum and vascular plants: Effects on plant community structure and peat formation. Oikos 2003, 100, 469–482. [Google Scholar] [CrossRef]
- Clymo, R.S. Interactions of Sphagnum with water and air. In Effects of Atmospheric Pollutants on Forests, Wetlands and Agricultural Systems; Hutchinson, T.C., Meema, K.M., Eds.; Springer: Berlin, Germany, 1987; pp. 513–530. [Google Scholar]
- Rice, S.K.; Aclander, L.; Hanson, D.T. Do bryophyte shoot systems function like vascular plant leaves or canopies? Functional trait relationships in Sphagnum mosses (Sphagnaceae). Am. J. Bot. 2008, 95, 1366–1374. [Google Scholar] [CrossRef]
- Hájek, T.; Tuittila, E.S.; Ilomets, M.; Laiho, R. Light responses of mire mosses–a key to survival after water-level drawdown? Oikos 2009, 118, 240–250. [Google Scholar] [CrossRef]
- Bonnett, S.A.; Ostle, N.; Freeman, C. Short-term effect of deep shade and enhanced nitrogen supply on Sphagnum capillifolium morphophysiology. Plant Ecol. 2010, 207, 347–358. [Google Scholar] [CrossRef]
- Laine, A.M.; Juurola, E.; Hájek, T.; Tuittila, E.S. Sphagnum growth and ecophysiology during mire succession. Oecologia 2011, 167, 1115–1125. [Google Scholar] [CrossRef]
- Joosten, H.; Sirin, A.; Couwenberg, J.; Laine, J.; Smith, P. The role of peatlands in climate regulation. In Peatland Restoration and Ecosystem Services: Science, Policy and Practice; Bonn, A., Allott, T., Evans, M., Joosten, H., Stoneman, R., Eds.; British Ecological Society, Cambridge University Press: Cambridge, UK, 2016; pp. 63–76. [Google Scholar]
- Gregg, R.; Elias, J.; Alonso, I.; Crosher, I.; Muto, P.; Morecroft, M. Carbon sequestration by habitat: A review of the evidence. In Natural England Research Report NERR094; Natural England: York, UK, 2021; Available online: https://www.cabidigitallibrary.org/doi/full/10.5555/20220357895 (accessed on 1 September 2024).
- Evans, C.; Artz, R.; Moxley, J.; Smyth, M.A.; Taylor, E.; Archer, E.; Burden, A.; Williamson, J.; Donnelly, D.; Thomson, A.; et al. Implementation of an Emissions Inventory for UK Peatlands; Centre for Ecology and Hydrology: Report to the Department for Business, Energy and Industrial Strategy; Centre for Ecology and Hydrology: Bangor, UK, 2017. [Google Scholar]
- 2017 UK Greenhouse Gas emissions, final figures. In Statistical Release: National Statistics; Department for Business, Energy and Industrial Strategy: London, UK, 2019. Available online: https://assets.publishing.service.gov.uk/media/5c584a12e5274a317cc0eaf7/2017_Final_emissions_statistics_-_report.pdf (accessed on 24 April 2024).
- Wilson, D.; Farrell, C.; Mueller, C.; Hepp, S.; Renou-Wilson, F. Rewetted industrial cutaway peatlands in western Ireland: A prime location for climate change mitigation? Mires Peat 2013, 11(1), 1–22. [Google Scholar]
- Renou-Wilson, F.; Moser, G.; Fallon, D.; Farrell, C.A.; Müller, C.; Wilson, D. Rewetting degraded peatlands for climate and biodiversity benefits: Results from two raised bogs. Ecol. Eng. 2019, 127, 547–560. [Google Scholar] [CrossRef]
- Quinty, F.; Rochefort, L. Peatland Restoration Guide, 2nd ed.; Canadian Sphagnum Peat Moss Association and New Brunswick Department of Natural Resources and Energy: Québec, QC, Canada, 2003; Available online: https://www1.up.poznan.pl/glinbar/wp-content/uploads/2015/03/Restoration-Guide_2nd_2003.pdf (accessed on 27 May 2024).
- Caporn, S.J.; Rosenburgh, A.E.; Keightley, A.T.; Hinde, S.L.; Riggs, J.L.; Buckler, M.; Wright, N.A. Sphagnum restoration on degraded blanket and raised bogs in the UK using micropropagated source material: A review of progress. Mires Peat 2018, 20, 1–17. [Google Scholar]
- Crouch, T. Kinder Scout Sphagnum Trials: 2018 Update Report; Moors for the Future Report: Edale, UK, 2018; Available online: https://www.moorsforthefuture.org.uk/__data/assets/pdf_file/0027/93933/MFFP-Kinder-Scout-Sphagnum-Trials-Update-Report-2018.pdf (accessed on 27 May 2024).
- Pilkington, M.; Walker, J.; Fry, C.; Eades, P.; Meade, R.; Pollett, N.; Rogers, T.; Helliwell, T.; Chandler, D.; Fawcett, E.; et al. Diversification of Molinia-dominated blanket bogs using Sphagnum propagules. Ecol. Solut. Evid. 2021, 2, e12113. [Google Scholar] [CrossRef]
- Bengtsson, F.; Rydin, H.; Baltzer, J.L.; Bragazza, L.; Bu, Z.J.; Caporn, S.J.; Dorrepaal, E.; Flatberg, K.I.; Galanina, O.; Gałka, M.; et al. Environmental drivers of Sphagnum growth in peatlands across the Holarctic region. J. Ecol. 2021, 109, 417–431. [Google Scholar] [CrossRef]
- Loisel, J.; Gallego-Sala, A.V.; Yu, Z. Global-scale pattern of peatland Sphagnum growth driven by photosynthetically active radiation and growing season length. Biogeosciences 2012, 9, 2737–2746. [Google Scholar] [CrossRef]
- Hassel, K.; Kyrkjeeide, M.O.; Yousefi, N.; Prestø, T.; Stenøien, H.K.; Shaw, J.A.; Flatberg, K.I. Sphagnum divinum (sp. nov.) and S. medium Limpr. and their relationship to S. magellanicum Brid. J. Bryol. 2018, 40, 197–222. [Google Scholar] [CrossRef]
- Hájek, T. Physiological ecology of peatland bryophytes. In Photosynthesis in Bryophytes and Early Land Plants; Hanson, D.T., Rice, S.K., Eds.; Springer: Dordrecht, The Netherlands, 2013; pp. 233–252. [Google Scholar]
- Bubier, J.L.; Moore, T.R.; Bledzki, L.A. Effects of nutrient addition on vegetation and carbon cycling in an ombrotrophic bog. Glob. Change Biol. 2007, 13, 1168–1186. [Google Scholar] [CrossRef]
- Mazziotta, A.; Granath, G.; Rydin, H.; Bengtsson, F.; Norberg, J. Scaling functional traits to ecosystem processes: Towards a mechanistic understanding in peat mosses. J. Ecol. 2019, 107, 843–859. [Google Scholar] [CrossRef]
- Aldous, A.R. Nitrogen translocation in Sphagnum mosses: Effects of atmospheric nitrogen deposition. New Phytol. 2002, 156, 241–253. [Google Scholar] [CrossRef]
- Laing, C.; Granath, G.; Belyea, L.R.; Allton, K.E.; Rydin, H. Tradeoffs and scaling of functional traits in Sphagnum as drivers of carbon cycling in peatlands. Oikos 2014, 123, 817–828. [Google Scholar] [CrossRef]
- Black, C.C., Jr.; Mollenhauer, H.H. Structure and distribution of chloroplasts and other organelles in leaves with various rates of photosynthesis. Plant Physiol. 1971, 47, 15–23. [Google Scholar] [CrossRef] [PubMed][Green Version]
- Murashige, T.; Skoog, F. A revised medium for rapid growth and bio assays with tobacco tissue cultures. Physiol. Plant 1962, 15, 473–497. [Google Scholar] [CrossRef]
- Haraguchi, A.; Yamada, N. Temperature dependency of photosynthesis of Sphagnum spp. distributed in the warm-temperate and the cool-temperate mires of Japan. Am. J. Plant Sci. 2011, 2, 716. [Google Scholar] [CrossRef]
- Kangas, L.; Maanavilja, L.; Hájek, T.; Juurola, E.; Chimner, R.A.; Mehtätalo, L.; Tuittila, E.S. Photosynthetic traits of Sphagnum and feather moss species in undrained, drained and rewetted boreal spruce swamp forests. Ecol. Evol. 2014, 4, 381–396. [Google Scholar] [CrossRef]
- Dossa, G.G.; Paudel, E.; Wang, H.; Cao, K.; Schaefer, D.; Harrison, R.D. Correct calculation of CO2 efflux using a closed-chamber linked to a non-dispersive infrared gas analyzer. Methods Ecol. Evol. 2015, 6, 1435–1442. [Google Scholar] [CrossRef]
- Limpens, J.; Berendse, F. How litter quality affects mass loss and N loss from decomposing Sphagnum. Oikos 2003, 103, 537–547. [Google Scholar] [CrossRef]
- McNeil, P.; Waddington, J.M. Moisture controls on Sphagnum growth and CO2 exchange on a cutover bog. J. Appl. Ecol. 2003, 40, 354–367. [Google Scholar] [CrossRef]
- Smith, A.J. The Moss Flora of Britain and Ireland, 2nd ed.; Cambridge University Press: Cambridge, UK, 2004. [Google Scholar]
- Laine, J.; Flatberg, K.I.; Harju, P.; Timonen, T.; Minkkinen, K.J.; Laine, A.; Tuittila, E.S.; Vasander, H.T. Sphagnum mosses: The Stars of European Mires; Sphagna Ky: Helsinki, Finland, 2018. [Google Scholar]
- Atherton, I.; Bosanquet, S.; Lawley, M. (Eds.) Mosses and Liverworts of Britain and Ireland: A field guide; British Bryological Society: Plymouth, UK, 2010. [Google Scholar]
- Hammer, Ø.; Harper, D.A. Past: Paleontological statistics software package for education and data analysis. Palaeont. Electr. 2001, 4, 1. [Google Scholar]
- Reich, P.B.; Walters, M.B.; Ellsworth, D.S. From tropics to tundra: Global convergence in plant functioning. Proc. Natl. Acad. Sci. USA 1997, 94, 13730–13734. [Google Scholar] [CrossRef]
- Bengtsson, F.; Granath, G.; Rydin, H. Photosynthesis, growth, and decay traits in Sphagnum–A multispecies comparison. Ecol. Evol. 2016, 6, 3325–3341. [Google Scholar] [CrossRef]
- Grime, J.P. Evidence for the existence of three primary strategies in plants and its relevance to ecological and evolutionary theory. Am. Nat. 1977, 111, 1169–1194. [Google Scholar] [CrossRef]
- Krebs, M.; Gaudig, G.; Joosten, H. Record growth of Sphagnum papillosum in Georgia (Transcaucasus): Rain frequency, temperature and microhabitat as key drivers in natural bogs. Mires Peat 2016, 18, 1–16. [Google Scholar]
- Chapin, F.S.; Matson, P.A.; Vitousek, P.M.; Chapin, F.S.; Matson, P.A.; Vitousek, P.M. Principles of Terrestrial Ecosystem Ecology; Springer: Berlin/Heidelberg, Germany, 2011. [Google Scholar]
- Marschall, M.; Proctor, M.C. Are bryophytes shade plants? Photosynthetic light responses and proportions of chlorophyll a, chlorophyll b and total carotenoids. Ann. Bot. 2004, 94, 593–603. [Google Scholar] [CrossRef] [PubMed]
- Blagnytė, R.; Paliulis, D. Research into heavy metals pollution of atmosphere applying moss as bioindicator: A literature review. Environ. Res. Eng. Manag. 2010, 54, 26–33. [Google Scholar]
- Chapin, F.S., III; Johnson, D.A.; McKendrick, J.D. Seasonal movement of nutrients in plants of differing growth form in an Alaskan tundra ecosystem: Implications for herbivory. J. Ecol. 1980, 68, 189–209. [Google Scholar]
- Sterner, R.W.; Elser, J.J. Ecological stoichiometry: The biology of elements from molecules to the biosphere. In Ecological Stoichiometry; Princeton University Press: Princeton, NJ, USA, 2017. [Google Scholar]
- Granath, G.; Strengbom, J.; Rydin, H. Direct physiological effects of nitrogen on Sphagnum: A greenhouse experiment. Funct. Ecol. 2012, 26, 353–364. [Google Scholar] [CrossRef]
- Barker, A.V.; Pilbeam, D.J. (Eds.) Handbook of Plant Nutrition, 2nd ed.; CRC Press: Boca Raton, FL, USA, 2015. [Google Scholar]
- Press, M.C.; Woodin, S.J.; Lee, J.A. The potential importance of an increased atmospheric nitrogen supply to the growth of ombrotrophic Sphagnum species. New Phytol. 1986, 103, 45–55. [Google Scholar] [CrossRef]
- Aerts, R.; Wallen, B.O.; Malmer, N. Growth-limiting nutrients in Sphagnum-dominated bogs subject to low and high atmospheric nitrogen supply. J. Ecol. 1992, 80, 131–140. [Google Scholar] [CrossRef]
- Lamers, L.P.; Bobbink, R.; Roelofs, J.G. Natural nitrogen filter fails in polluted raised bogs. Glob. Change Biol. 2000, 6, 583–586. [Google Scholar] [CrossRef]
- Berendse, F.; van Breemen, N.; Rydin, H.; Buttler, A.; Heijmans, M.; Hoosbeek, M.R.; Lee, J.A.; Mitchell, E.; Saarinen, T.; Vasander, H.; et al. Raised atmospheric CO2 levels and increased N deposition cause shifts in plant species composition and production in Sphagnum bogs. Glob. Change Biol. 2001, 7, 591–598. [Google Scholar] [CrossRef]
- Wang, M.; Moore, T.R. Carbon, nitrogen, phosphorus, and potassium stoichiometry in an ombrotrophic peatland reflects plant functional type. Ecosystems 2014, 17, 673–684. [Google Scholar] [CrossRef]
- Ma, J.Z.; Bu, Z.J.; Zheng, X.X.; Ge, J.L.; Wang, S.Z. Effects of shading on relative competitive advantage of three species of Sphagnum. Mires Peat 2015, 16, 1–17. [Google Scholar]
- van der Heijden, E.; Verbeek, S.K.; Kuiper, P.J. Elevated atmospheric CO2 and increased nitrogen deposition: Effects on C and N metabolism and growth of the peat moss Sphagnum recurvum P. Beauv. var. mucronatum (Russ.) Warnst. Glob. Change Biol. 2000, 6, 201–212. [Google Scholar] [CrossRef]
- Limpens, J.; Berendse, F. Growth reduction of Sphagnum magellanicum subjected to high nitrogen deposition: The role of amino acid nitrogen concentration. Oecologia 2003, 135, 339–345. [Google Scholar] [CrossRef]
- Reich, P.B.; Oleksyn, J.; Wright, I.J. Leaf phosphorus influences the photosynthesis–nitrogen relation: A cross-biome analysis of 314 species. Oecologia 2009, 160, 207–212. [Google Scholar] [CrossRef]
- Rochefort, L. Sphagnum—A keystone genus in habitat restoration. The Bryologist 2000, 103, 503–508. [Google Scholar] [CrossRef]
- Waddington, J.M.; Warner, K. Atmospheric CO2 sequestration in restored mined peatlands. Ecoscience 2001, 8, 359–368. [Google Scholar] [CrossRef]
- Lucchese, M.; Waddington, J.M.; Poulin, M.; Pouliot, R.; Rochefort, L.; Strack, M. Organic matter accumulation in a restored peatland: Evaluating restoration success. Ecol. Eng. 2010, 36, 482–488. [Google Scholar] [CrossRef]
- Waddington, J.M.; Lucchese, M.C.; Duval, T.P. Sphagnum moss moisture retention following the re-vegetation of degraded peatlands. Ecohydrology 2011, 4, 359–366. [Google Scholar] [CrossRef]
- Worrall, F.; Chapman, P.; Holden, J.; Evans, C.; Artz, R.; Smith, P.; Grayson, R. A Review of Current Evidence on Carbon Fluxes and Greenhouse Gas Emissions from UK Peatlands; JNCC Report: Peterborough, UK, 2011; Available online: https://nora.nerc.ac.uk/id/eprint/15889/1/jncc442_webfinal.pdf (accessed on 11 September 2024).
Disclaimer/Publisher’s Note: The statements, opinions and data contained in all publications are solely those of the individual author(s) and contributor(s) and not of MDPI and/or the editor(s). MDPI and/or the editor(s) disclaim responsibility for any injury to people or property resulting from any ideas, methods, instructions or products referred to in the content. |
© 2024 by the authors. Licensee MDPI, Basel, Switzerland. This article is an open access article distributed under the terms and conditions of the Creative Commons Attribution (CC BY) license (https://creativecommons.org/licenses/by/4.0/).