Taste Sensitivity and Taste Preference among Malay Children Aged 7 to 12 Years in Kuala Lumpur—A Pilot Study
Abstract
1. Introduction
2. Materials and Methods
2.1. Taste Sensitivity and Preference Testing
2.2. Procedures
2.3. Statistical Analysis
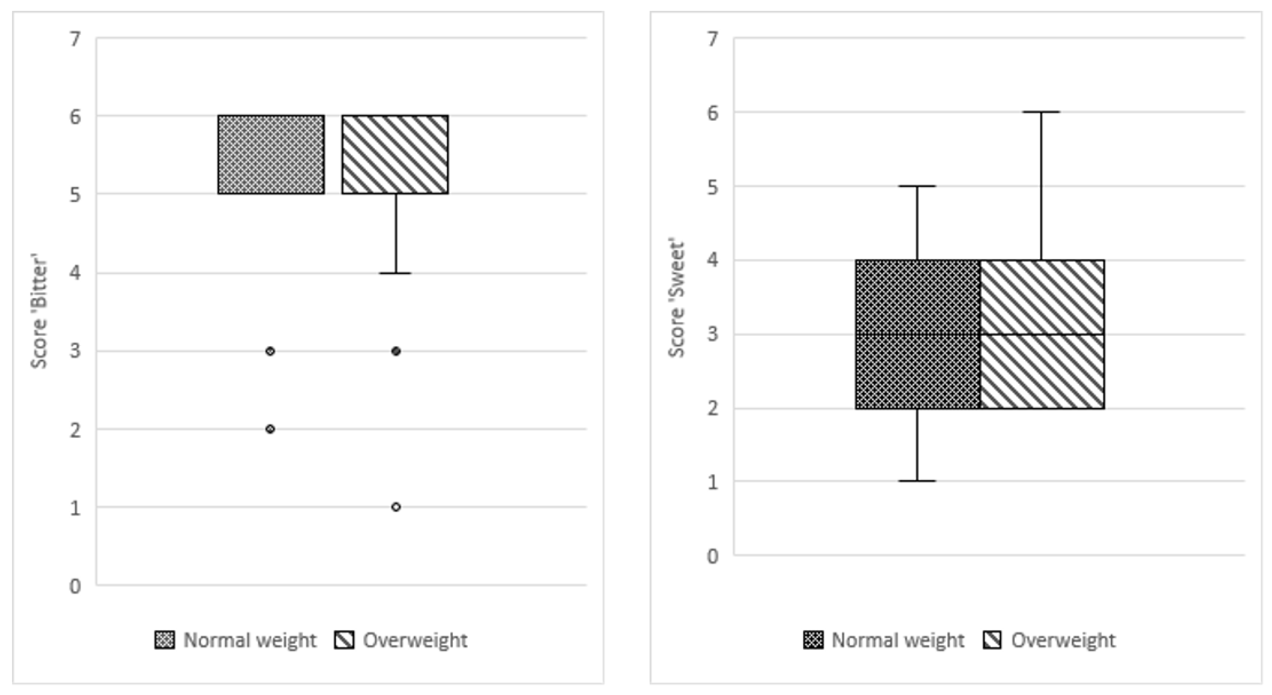
3. Results
4. Discussion
Limitations
5. Conclusions
Author Contributions
Funding
Institutional Review Board Statement
Informed Consent Statement
Data Availability Statement
Acknowledgments
Conflicts of Interest
References
- World Health Organization. Obesity and Overweight. Available online: https://www.who.int/news-room/fact-sheets/detail/obesity-and-overweight (accessed on 22 March 2021).
- National Health and Morbidity Survey—Non-Communicable Diseases, Risk Factors & Other Health Problems. 2015. Available online: http://iku.moh.gov.my/images/IKU/Document/REPORT/nhmsreport2015vol2.pdf (accessed on 14 May 2019).
- Childhood Obesity a Growing Health Crisis in Malaysia. Umsc.my. 2019. Available online: https://umsc.my/?umsc_news=childhoodobesity-a-growing-health-crisis-in-malaysia (accessed on 29 October 2019).
- Causes and Consequences of Childhood Obesity. Centers for Disease Control and Prevention. 2016. Available online: https://www.cdc.gov/obesity/childhood/causes.html (accessed on 10 October 2019).
- Amarra, M.S.V.; Khor, G.L.; Chan, P. Intake of added sugar in Malaysia: A review. Asia Pac. J. Clin. Nutr. 2016, 25, 227–240. Available online: https://www.researchgate.net/profile/Geok_Lin_Khor/publication/304164092_Intake_of_added_sugar_in_Malaysia_a_review/links/5768afa908ae7f0756a22a4b.pdf (accessed on 14 May 2019). [PubMed]
- Hardikar, S.; Höchenberger, R.; Villringer, A.; Ohla, K. Higher sensitivity to sweet and salty taste in obese compared to lean individuals. Appetite 2017, 111, 158–165. [Google Scholar] [CrossRef] [PubMed]
- Tepper, B.J.; Melis, M.; Koelliker, Y.; Gasparini, P.; Ahijevych, K.L.; Iole, T.B. Factors Influencing the Phenotypic Characterization of the Oral Marker, PROP. Nutrients 2017, 9, 1275. [Google Scholar] [CrossRef] [PubMed]
- Drewnowski, A. Taste preferences and food intake. Annu. Rev. Nutr. 1997, 17, 237–253. [Google Scholar] [CrossRef] [PubMed]
- Wardle, J.; Cooke, L. Genetic and environmental determinants of children’s food preferences. Br. J. Nutr. 2008, 99, S15–S21. [Google Scholar] [CrossRef]
- Epstein, J.B.; de Andrade, E.S.S.M.; Epstein, G.L.; Leal, J.H.S.; Barasch, A.; Smutzer, G. Taste disorders following cancer treatment: Report of a case series. Support Care Cancer 2019, 27, 4587–4595. [Google Scholar] [CrossRef]
- Epstein, J.B.; Smutzer, G.; Doty, R.L. Understanding the impact of taste changes in oncology care. Support Care Cancer 2016, 24, 1917–1931. [Google Scholar] [CrossRef]
- Shizukuda, S.; Marchini, J.S.; Adell, A.; Santos, M.A.; Brandao, C.F.C.; Lima, C.M.M.; Cunha, S.F.C.; Itikawa, E.N.; Silvah, J.H. Influences of weight, age, gender, genetics, diseases, and ethnicity on bitterness perception: A narrative review of current methodological aspects. Nutrire 2018, 43, 4. [Google Scholar] [CrossRef]
- Ventura, A.K.; Mennella, J.A. Innate and learned preferences for sweet taste during childhood. Curr. Opin. Clin. Nutr. Metab. Care 2011, 14, 379–384. [Google Scholar] [CrossRef]
- Mennella, J.A. Ontogeny of taste preferences: Basic biology and implications for health. Am. J. Clin. Nutr. 2014, 99, 704S–711S. [Google Scholar] [CrossRef]
- Rodrigues, L.; Espanca, R.; Costa, A.R.; Antunes, C.; Pomar, C.; Capela-Silva, F.; Pinheiro, C.C.; Domingues, P.; Amado, F.; Lamy, E. Comparison of salivary proteome of children with different sensitivities for bitter and sweet tastes: Association with body mass index. Int. J. Obes. 2018, 43, 701–712. [Google Scholar] [CrossRef]
- Ravasco, P. Aspects of taste and compliance in patients with cancer. Eur. J. Oncol. Nurs. 2005, 9 (Suppl. S2), S84–S91. [Google Scholar] [CrossRef] [PubMed]
- Tepper, B.J. Nutritional Implications of Genetic Taste Variation: The Role of PROP Sensitivity and Other Taste Phenotypes. Annu. Rev. Nutr. 2008, 28, 367–388. [Google Scholar] [CrossRef] [PubMed]
- Tepper, B.J.; Christensen, C.M.; Cao, J. Development of brief methods to classify individuals by PROP taster status. Physiol. Behav. 2001, 73, 571–577. [Google Scholar] [CrossRef]
- Yang, Q.; Williamson, A.M.; Hasted, A.; Hort, J. Exploring the relationships between taste phenotypes, genotypes, ethnicity, gender and taste perception using Chi-square and regression tree analysis. Food Qual. Preference 2020, 83, 103928. [Google Scholar] [CrossRef]
- Tepper, B.J.; Nurse, R.J. PROP Taster Status is Related to Fat Perception and Preferencea. Ann. N.Y. Acad. Sci. 1998, 855, 802–804. [Google Scholar] [CrossRef]
- Bell, K.I.; Tepper, B.J. Short-term vegetable intake by young children classified by 6- n-propylthoiuracil bitter-taste phenotype. Am. J. Clin. Nutr. 2006, 84, 245–251. [Google Scholar] [CrossRef] [PubMed]
- Keller, K.L.; Steinmann, L.; Nurse, R.J.; Tepper, B.J. Genetic taste sensitivity to 6-n-propylthiouracil influences food preference and reported intake in preschool children. Appetite 2002, 38, 3–12. [Google Scholar] [CrossRef]
- Keller, K.L.; Adise, S. Variation in the Ability to Taste Bitter Thiourea Compounds: Implications for Food Acceptance, Dietary Intake, and Obesity Risk in Children. Annu. Rev. Nutr. 2016, 36, 157–182. [Google Scholar] [CrossRef]
- Oftedal, K.N.; Tepper, B.J. Influence of the PROP bitter taste phenotype and eating attitudes on energy intake and weight status in pre-adolescents: A 6-year follow-up study. Physiol. Behav. 2013, 118, 103–111. [Google Scholar] [CrossRef]
- Basson, M.D.; Bartoshuk, L.M.; Dichello, S.Z.; Panzini, L.; Weiffenbach, J.M.; Duffy, V.B. Association between 6-n-Propylthiouracil (PROP) Bitterness and Colonic Neoplasms. Dig. Dis. Sci. 2005, 50, 483–489. [Google Scholar] [CrossRef] [PubMed]
- Lim, J.; Pullicin, A.J. Oral carbohydrate sensing: Beyond sweet taste. Physiol. Behav. 2019, 202, 14–25. [Google Scholar] [CrossRef]
- Deshaware, S.; Singhal, R. Genetic variation in bitter taste receptor gene TAS2R38, PROP taster status and their association with body mass index and food preferences in Indian population. Gene 2017, 627, 363–368. [Google Scholar] [CrossRef] [PubMed]
- Forestell, C.A.; Mennella, J.A. The Ontogeny of Taste Perception and Preference throughout Childhood. In Handbook of Olfaction and Gustation; Wiley: Hoboken, NJ, USA, 2015; Volume 36, pp. 795–828. [Google Scholar]
- Mojet, J.; Christ-Hazelhof, E.; Heidema, J. Taste perception with age: Generic or specific losses in threshold sensitivity to the five basic tastes? Chem. Senses 2001, 26, 845–860. [Google Scholar] [CrossRef]
- Methven, L.; Allen, V.J.; Withers, C.A.; Gosney, M.A. Ageing and taste. Proc. Nutr. Soc. 2012, 71, 556–565. [Google Scholar] [CrossRef]
- Vignini, A.; Borroni, F.; Sabbatinelli, J.; Pugnaloni, S.; Alia, S.; Taus, M.; Ferrante, L.; Mazzanti, L.; Fabri, M. General Decrease of Taste Sensitivity is Related to Increase of BMI: A Simple Method to Monitor Eating Behavior. Dis. Markers 2019, 2019, 2978026. [Google Scholar] [CrossRef] [PubMed]
- Laugerette, F.; Passilly-Degrace, P.; Patris, B.; Niot, I.; Febbraio, M.; Montmayeur, J.P.; Besnard, P. CD36 involvement in orosensory detection of dietary lipids, spontaneous fat preference, and digestive secretions. J. Clin. Investig. 2005, 115, 3177–3184. [Google Scholar] [CrossRef]
- MyGovernment. Available online: https://malaysia.gov.my/portal/content/30114 (accessed on 22 March 2021).
- Ariaratnam, S.; Hasani, W.S.R.; Krishnapillai, A.D.; Hamid, H.A.A.; Ling, M.Y.J.; Ho, B.K.; Ghazali, S.S.; Tohit, N.M.; Yusoff, M.F.M. Prevalence of obesity and its associated risk factors among the elderly in Malaysia: Findings from The National Health and Morbidity Survey (NHMS) 2015. PLoS ONE 2020, 15, e0238566. [Google Scholar] [CrossRef]
- Naidu, B.M.; Mahmud, S.Z.; Ambak, R.; Sallehuddin, S.M.; Mutalip, H.A.; Saari, R.; Sahril, N.; Hamid, H.A.A. Overweight among primary school-age children in Malaysia. Asia Pac. J. Clin. Nutr. 2013, 22, 408. [Google Scholar]
- Rampal, L.; Rampal, S.; Azhar, M.Z.; Sherina, M.S.; Ambigga, D.; Rahimah, A. A population-based study on the prevalence and factors associated with obesity in Selangor. Malays. J. Med. Health Sci. 2006, 2, 89–97. [Google Scholar]
- Wang, H.; Chow, S.C. Sample size calculation for comparing proportions. Encycl. Stat. Sci. 2004, 15, 1–4. [Google Scholar]
- WHO Multicentre Growth Reference Study Group. WHO Child growth standards based on length/height, weight and age. Acta Paediatr. Suppl. 2006, 450, 76–85. [Google Scholar]
- Jani, R.; Byrne, R.; Love, P.; Agarwal, C.; Peng, F.; Yew, Y.W.; Panagiotakos, D.; Naumovski, N. The Environmental and Bitter Taste Endophenotype Determinants of Picky Eating in Australian School-Aged Children 7–12 years—A Cross-Sectional Pilot Study Protocol. Int. J. Environ. Res. Public Health 2020, 17, 1573. [Google Scholar] [CrossRef] [PubMed]
- Chung, B.S.; Kang, K.O.; Lee, J.K. Studies on the taste sensitivity and eating habits of Koreans. J. Korean Soc. Food Sci. Nutr. 1984, 13, 86–96. [Google Scholar]
- Leon, F.; Courone, T.; Marcuz, M.C.; Koster, E.P. Measuring food liking in children: A comparison of non verbal methods. Food Qual. Preference 1999, 10, 93–100. [Google Scholar] [CrossRef]
- Besser, G.; Prassl, A.; Mueller, C.; Renner, B. Testing gustatory function using either a forced-choice or a non-forced-choice paradigm—Does it make a difference? Rhinology 2019, 57, 385–391. [Google Scholar] [CrossRef]
- Isbell, R.; Sobol, J.; Lindauer, L.; Lowrance, A. The Effects of Storytelling and Story Reading on the Oral Language Complexity and Story Comprehension of Young Children. Early Child. Educ. J. 2004, 32, 157–163. [Google Scholar] [CrossRef]
- Sherman, P.W.; Billing, J. Darwinian Gastronomy: Why We Use Spices. BioScience 1999, 49, 453–463. [Google Scholar] [CrossRef]
- Puputti, S.; Hoppu, U.; Sandell, M. Taste Sensitivity is Associated with Food Consumption Behavior but not with Recalled Pleasantness. Foods 2019, 8, 444. [Google Scholar] [CrossRef]
- Mennella, J.A.; Bobowski, N.K. The sweetness and bitterness of childhood: Insights from basic research on taste preferences. Physiol. Behav. 2015, 152, 502–507. [Google Scholar] [CrossRef]
- Wise, P.; Nattress, L.; Flammer, L.; Beauchamp, G. Reduced dietary intake of simple sugars alters perceived sweet taste intensity but not perceived pleasantness. Am. J. Clin. Nutr. 2015, 103, 50–60. [Google Scholar] [CrossRef] [PubMed]
- Fry Vennerød, F.; Nicklaus, S.; Lien, N.; Almli, V. The development of basic taste sensitivity and preferences in children. Appetite 2018, 127, 130–137. [Google Scholar] [CrossRef] [PubMed]
- Vennerød-Diesen, F. The Development of Taste Preferences in Children 2018. Available online: https://www.duo.uio.no/bitstream/handle/10852/65957/PhD-VennerodDiesen-DUO.pdf?sequence=1&isAllowed=y (accessed on 12 May 2020).
- Workman, A.; Palmer, J.; Adappa, N.; Cohen, N. The Role of Bitter and Sweet Taste Receptors in Upper Airway Immunity. Curr. Allergy Asthma Rep. 2015, 15, 1–8. [Google Scholar] [CrossRef] [PubMed]
- Attention Deficit/Hyperactivity Disorder (ADHD) 2020. Available online: https://www.summitmedicalgroup.com/library/pediatric_health/pahhgbeh_attention/ (accessed on 29 April 2020).
- Overberg, J.; Hummel, T.; Krude, H.; Wiegand, S. Differences in taste sensitivity between obese and non-obese children and adolescents. Arch. Dis. Child. 2012, 97, 1048–1052. [Google Scholar] [CrossRef]
- Dinehart, M.E.; Hayes, J.E.; Bartoshuk, L.M.; Lanier, S.L.; Duffy, V.B. Bitter taste markers explain variability in vegetable sweetness, bitterness, and intake. Physiol. Behav. 2006, 87, 304–313. [Google Scholar] [CrossRef]




| All (n = 30) | Normal Weight (n = 15) | Overweight (n = 15) | p-Value | |
|---|---|---|---|---|
| Age (years), mean ± SD | 10.13 ± 1.57 | 10.13 ± 1.69 | 10.13 ± 1.51 | 0.600 a |
| Gender, n (%) | 1.000 b | |||
| Male | 12 (40) | 6 (50) | 6 (50) | |
| Female | 18 (60) | 9 (50) | 9 (50) | |
| Anthropometry, mean ± SD | ||||
| Weight, kg | 35.70 ± 13.11 | 27.52 ± 8.47 | 43.87 ± 11.87 | < 0.001 a |
| Height, cm | 135.28 ± 12.62 | 130.51 ± 11.88 | 140.05 ± 11.83 | 0.036 a |
| BMI, kg/m2 | 18.89 ± 3.99 | 15.83 ± 2.10 | 21.94 ± 2.92 | < 0.001 a |
| Father’s education, n (%) | 0.054 | |||
| No formal | 1 (3.3) | 1 | 0 | |
| Primary | 5 (16.7) | 4 | 1 | |
| Secondary | 20 (66.7) | 9 | 11 | |
| Tertiary | 4 (13.3) | 1 | 3 | |
| Mother’s education, n (%) | 1 | |||
| No formal | 0 | 0 | 0 | |
| Primary | 4 | 2 | 2 | |
| Secondary | 20 | 10 | 10 | |
| Tertiary | 6 | 3 | 3 | |
| Family household income (RM), n (%) | 0.153 | |||
| <4500 | 28 | 15 | 13 | |
| 4501–10,000 | 2 | 0 | 2 | |
| >10,000 | 0 | 0 | 0 |
| Normal Weight (n = 15) | Overweight/Obese (n = 15) | p-Value | Normal Weight (n = 15) | Overweight/Obese (n = 15) | p-Value | |
|---|---|---|---|---|---|---|
| Taste Intensity Rating, Median (IQR) | Taste Preference, Median | |||||
| Bitter (PROP Solution) | ||||||
| Concentration 1 | 19 (36) | 35 (43) | 0.189 | 2 | 2 | 0.713 |
| Concentration 2 | 36 (42) | 52 (39) | 0.647 | 0 | 0 | 0.902 |
| Concentration 3 | 52 (75) | 53 (47) | 0.189 | 0 | 0 | 0.512 |
| Concentration 4 | 68 (81) | 56 (47) | 0.441 | 0 | 0 | 0.567 |
| Concentration 5 | 77 (67) | 100 (12) | 0.075 | 0 | 0 | 0.775 |
| Concentration 6 | 95 (64) | 96 (48) | 0.686 | 0 | 0 | 0.870 |
| Sweet (Sucrose solution) | ||||||
| Concentration 1 | 12 (18) | 17 (79) | 0.183 | 3 | 2 | 0.267 |
| Concentration 2 | 16 (46) | 35 (36) | 0.158 | 4 | 3 | 0.539 |
| Concentration 3 | 16 (15) | 20 (37) | 0.055 | 3 | 4 | 0.595 |
| Concentration 4 | 6 (34) | 20 (79) | 0.024 * | 4 | 3 | 0.367 |
| Concentration 5 | 35 (35) | 52 (78) | 0.117 | 4 | 4 | 0.595 |
| Concentration 6 | 52 (60) | 53 (82) | 0.502 | 4 | 4 | 1.000 |
| Taste | Solute Concentration (mmol/L) | Spearman’s Rho Correlation (r), p-Value | ||
|---|---|---|---|---|
| Overall (n = 30) | Normal Weight (n = 15) | Overweight (n = 15) | ||
| Bitter (PROP solution)) | ||||
| Concentration 1 | 0.017 | −0.220, 0.243 | −0.285, 0.304 | −0.179, 0.523 |
| Concentration 2 | 0.056 | −0.129, 0.497 | −0.297, 0.283 | −0.113, 0.687 |
| Concentration 3 | 0.18 | −0.504, 0.005 | −0.568, 0.027 | −0.295, 0.286 |
| Concentration 4 | 0.56 | −0.538, 0.002 | −0.541, 0.037 | −0.232, 0.406 |
| Concentration 5 | 1.80 | −0.215, 0.255 | −0.111, 0.694 | −0.180, 0.520 |
| Concentration 6 | 3.20 | −0.257, 0.171 | −0.459, 0.085 | −0.137, 0.627 |
| Sweet (Sucrose solution) | ||||
| Concentration 1 | 0.263 | 0.155, 0.413 | −0.162, 0.564 | 0.556, 0.032 |
| Concentration 2 | 0.646 | 0.292, 0.118 | 0.133, 0.636 | 0.623, 0.013 |
| Concentration 3 | 2.375 | 0.204, 0.279 | 0.019, 0.948 | 0.541, 0.037 |
| Concentration 4 | 7.128 | −0.095, 0.617 | 0.079, 0.781 | −0.243, 0.383 |
| Concentration 5 | 21.385 | 0.186, 0.326 | 0.167, 0.551 | 0.161, 0.567 |
| Concentration 6 | 48.613 | 0.216, 0.253 | 0.162, 0.565 | 0.289, 0.296 |
Publisher’s Note: MDPI stays neutral with regard to jurisdictional claims in published maps and institutional affiliations. |
© 2021 by the authors. Licensee MDPI, Basel, Switzerland. This article is an open access article distributed under the terms and conditions of the Creative Commons Attribution (CC BY) license (https://creativecommons.org/licenses/by/4.0/).
Share and Cite
Lim, L.S.; Tang, X.H.; Yang, W.Y.; Ong, S.H.; Naumovski, N.; Jani, R. Taste Sensitivity and Taste Preference among Malay Children Aged 7 to 12 Years in Kuala Lumpur—A Pilot Study. Pediatr. Rep. 2021, 13, 245-256. https://doi.org/10.3390/pediatric13020034
Lim LS, Tang XH, Yang WY, Ong SH, Naumovski N, Jani R. Taste Sensitivity and Taste Preference among Malay Children Aged 7 to 12 Years in Kuala Lumpur—A Pilot Study. Pediatric Reports. 2021; 13(2):245-256. https://doi.org/10.3390/pediatric13020034
Chicago/Turabian StyleLim, Ler Sheang, Xian Hui Tang, Wai Yew Yang, Shu Hwa Ong, Nenad Naumovski, and Rati Jani. 2021. "Taste Sensitivity and Taste Preference among Malay Children Aged 7 to 12 Years in Kuala Lumpur—A Pilot Study" Pediatric Reports 13, no. 2: 245-256. https://doi.org/10.3390/pediatric13020034
APA StyleLim, L. S., Tang, X. H., Yang, W. Y., Ong, S. H., Naumovski, N., & Jani, R. (2021). Taste Sensitivity and Taste Preference among Malay Children Aged 7 to 12 Years in Kuala Lumpur—A Pilot Study. Pediatric Reports, 13(2), 245-256. https://doi.org/10.3390/pediatric13020034

