Two Screening Assays to Detect Vancomycin-Resistant Enterococcus spp.
Abstract
1. Introduction
2. Materials and Methods
2.1. Tester Strain
2.2. Culture Media
2.3. Vancomycin Stock Solution
⋅ concentration (μg/mL)
2.4. Broth Microdilution Test
2.5. Culture Media with Added Antibiotic and Their Inoculation
2.5.1. Barnes Agar
2.5.2. Brain Heart Infusion Broth with Added TTC
2.6. Reading of the Results
3. Results and Discussion
3.1. Broth Microdilution Test
3.2. BHI with 1% TTC
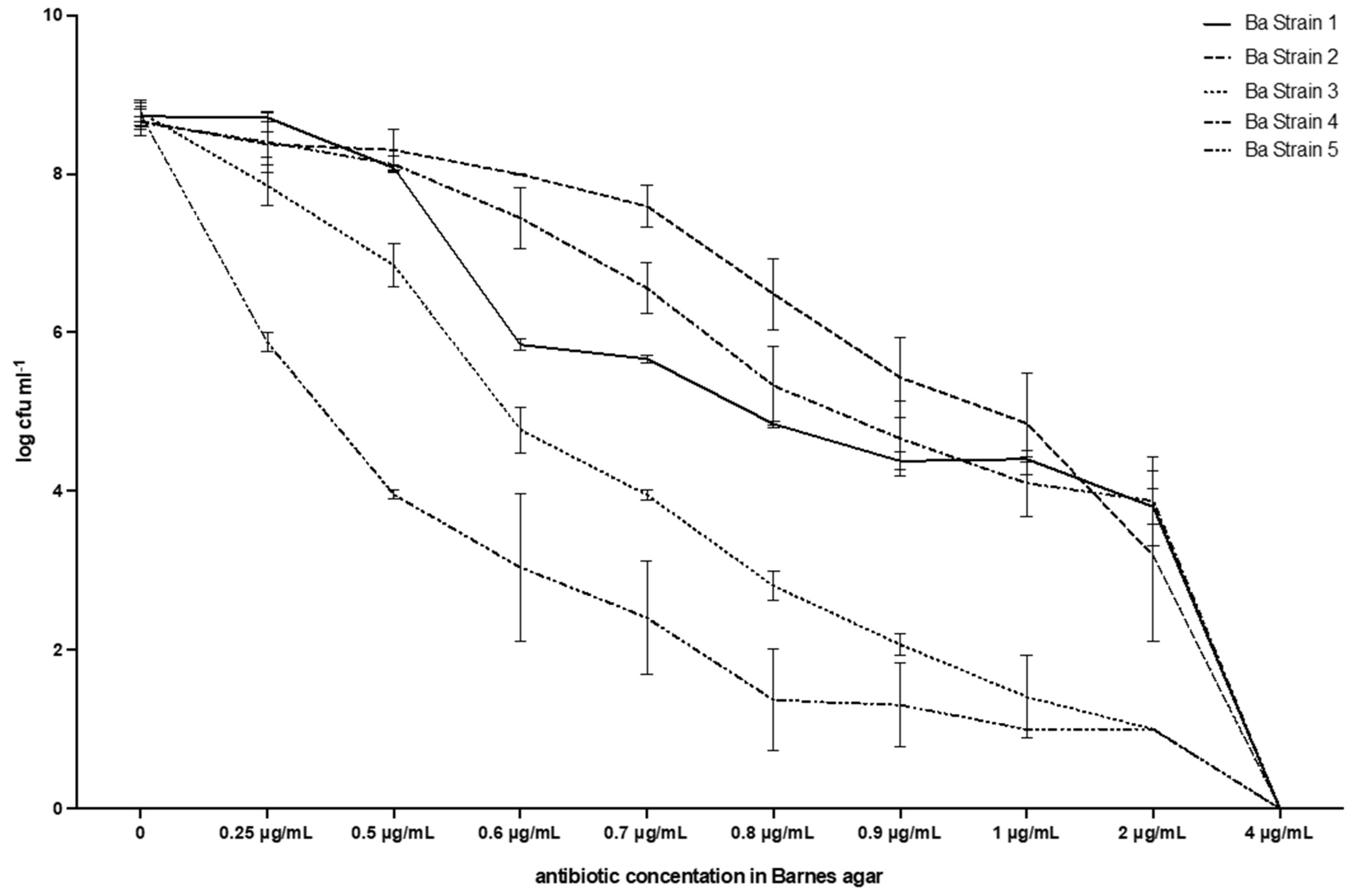
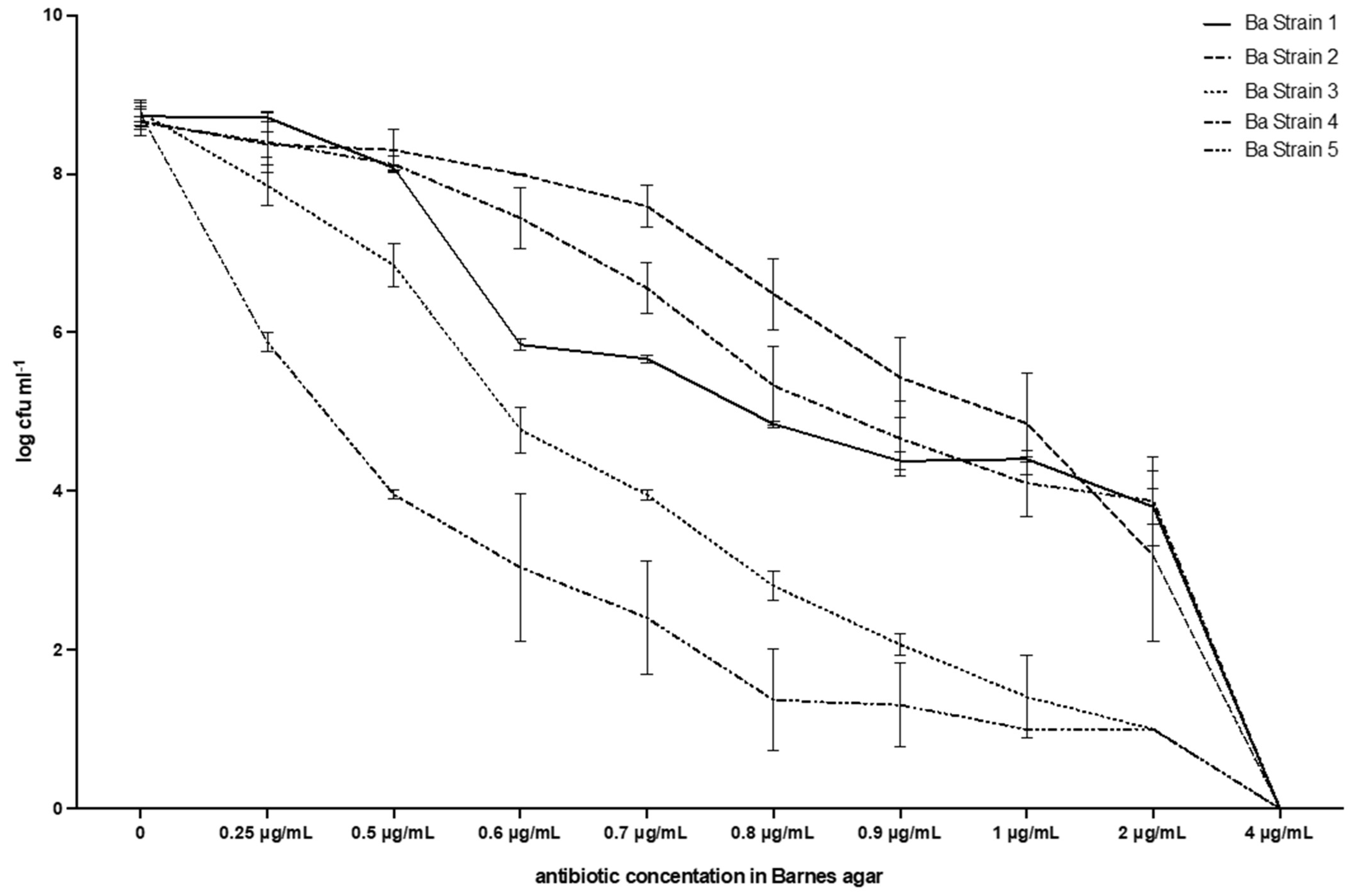
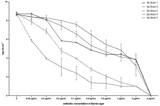
3.3. Barnes Agar
4. Conclusions
Author Contributions
Funding
Acknowledgments
Conflicts of Interest
References
- Dapkevicius, M.D.; Sgardioli, B.; Câmara, S.P.A.; Poeta, P.; Malcata, F.X. Current Trends of Enterococci in Dairy Products: A Comprehensive Review of Their Multiple Roles. Foods 2021, 10, 821. [Google Scholar] [CrossRef]
- Graham, K.; Stack, H.; Rea, R. Safety, beneficial and technological properties of enterococci for use in functional food applications—A review. Crit. Rev. Food Sci. Nutr. 2020, 60, 3836–3861. [Google Scholar] [CrossRef]
- Hanchi, H.; Mottawea, W.; Sebei, K.; Hammami, R. The Genus Enterococcus: Between Probiotic Potential and Safety Concerns—An Update. Front. Microbiol. 2018, 9, 1791. [Google Scholar] [CrossRef] [PubMed]
- Clementi, F.; Cenci-Goga, B.; Trabalza Marinucci, M.; Di Antonio, E. Use of selected starter cultures in the production of farm manufactured goat cheese from thermized milk. Ital. J. Food Sci. 1998, 10, 41–56. [Google Scholar]
- Franz, C.M.A.P.; Van Belkum, M.J.; Holzapfel, W.H.; Abriouel, H.; Gálvez, A. Diversity of enterococcal bacteriocins and their grouping in a new classification scheme. FEMS Microbiol. Rev. 2007, 31, 293–310. [Google Scholar] [CrossRef] [PubMed]
- Cenci-Goga, B.T.; Karama, M.; Sechi, P.; Iulietto, M.F.; Novelli, S.; Selvaggini, R.; Mattei, S. Growth Inhibition of Selected Microorganisms by an Association of Dairy Starter Cultures and Probiotics. Ital. J. Anim. Sci. 2015, 14, 3745. [Google Scholar] [CrossRef][Green Version]
- Grispoldi, L.; Giglietti, R.; Traina, G.; Cenci-Goga, B. How to Assess in vitro Probiotic Viability and the Correct Use of Neutralizing Agents. Front. Microbiol. 2020, 11, 204. [Google Scholar] [CrossRef] [PubMed]
- Werner, G.; Coque, T.M.; Franz, C.M.A.P.; Grohmann, E.; Hegstad, K.; Jensen, L.; van Schaik, W.; Weaver, K. Antibiotic resistant enterococci—Tales of a drug resistance gene trafficker. Int. J. Med. Microbiol. 2013, 303, 360–379. [Google Scholar] [CrossRef] [PubMed]
- European Centre for Disease Prevention Control. Surveillance of Antimicrobial Resistance in Europe 2018; ECDC Stockholm: Stockholm, Sweden, 2019. [Google Scholar]
- Cenci-Goga, B.T.; Crotti, S.; Costarelli, S.; Rondini, C.; Karama, M.; Bennett, P. Detection of tet(M) Gene from Raw Milk by Rapid DNA Extraction Followed by a Two-Step PCR with Nested Primers. J. Food Prot. 2004, 67, 2833–2838. [Google Scholar] [CrossRef] [PubMed]
- Barnes, E.M. Methods for the isolation of faecal streptococci (Lancefield group D) from bacon factories. J. Appl. Bacteriol. 1956, 19, 193–203. [Google Scholar] [CrossRef]
- Barnes, E.M. Tetrazolium Reduction as a Means of DifferentiatingA Streptococcus faecalis from Streptococcus faecium. Microbiology 1956, 14, 57–68. [Google Scholar] [CrossRef] [PubMed]
- Kenner Bernard, A.; Clark Harold, F.; Kabler Paul, W. Fecal Streptococci. Appl. Microbiol. 1961, 9, 15–20. [Google Scholar] [CrossRef] [PubMed]
- Levin, M.A.; Fischer, J.R.; Cabelli, V.J. Membrane filter technique for enumeration of enterococci in marine waters. Appl. Microbiol. 1975, 30, 66–71. [Google Scholar] [CrossRef] [PubMed]
- Slanetz, L.W.; Bent, D.F.; Bartley, C.H. Use of the membrane filter technique to enumerate enterococci in water. Public Health Rep. 1955, 70, 67–72. [Google Scholar] [CrossRef] [PubMed]
- Slanetz, L.W.; Bartley, C.H. Numbers of enterococci in water, sewage, and feces determined by the membrane filter technique with an improved medium. J. Bacteriol. 1957, 74, 591–595. [Google Scholar] [CrossRef] [PubMed]
- Cenci Goga, B.T.; Aquilanti, L.; Osimani, A.; Miraglia, D.; Aloisio, F. Identification with Multiplex PCR Assay of Enterococcus Species Isolated from Dairy Products in Umbria, Italy. Vet. Res. Commun. 2003, 27, 671–674. [Google Scholar] [CrossRef] [PubMed]
- Codega de Oliveira, A.; Bartocci, E.; Ortenzi, R.; Vizzani, A.; Cenci Goga, B.T. Detection of Enterococcus faecalis Resistant to Tetracycline by a Two-Step PCR with Nested Primers. Vet. Res. Commun. 2006, 30, 353. [Google Scholar] [CrossRef]
- CLSI. M02-A12 Performence Standards for Antimicrobial Disk Susceptibility Tests, 13th ed.; Clinical and Laboratory Standards Institute (CLSI): Wayne, PA, USA, 2018. [Google Scholar]
- CLSI. M100. Performance Standards for Antimicrobial Susceptibility Testing, 31st ed.; Clinical and Laboratory Standards Institute (CLSI): Wayne, PA, USA, 2021. [Google Scholar]
- ISO CH. ISO 4831:2006 Microbiology of Food and Animal Feeding Stuffs—Horizontal Method for the Detection and Enumeration of Coliforms—Most Probable Number Technique; ISO CH: Geneva, Switzerland, 2006. [Google Scholar]
- Mariano, V.; McCrindle, C.M.E.; Cenci-Goga, B.; Picard, J.A. Case-Control Study To Determine whether River Water Can Spread Tetracycline Resistance to Unexposed Impala (Aepyceros melampus) in Kruger National Park (South Africa). Appl. Environ. Microbiol. 2009, 75, 113. [Google Scholar] [CrossRef] [PubMed]





| Strain 1 | Strain 2 | Strain 3 | Strain 4 | Strain 5 | ||||||
|---|---|---|---|---|---|---|---|---|---|---|
| BHI | Mean | sd | Mean | sd | Mean | sd | Mean | sd | Mean | sd |
| 0 µg/mL | 8.30 | 0.00 | 8.86 | 0.06 | 8.77 | 0.02 | 8.57 | 0.30 | 8.85 | 0.12 |
| 0.25 µg/mL | 7.81 | 0.24 | 8.53 | 0.14 | 7.94 | 0.45 | 8.18 | 0.24 | 6.24 | 0.32 |
| 0.5 µg/mL | 7.31 | 0.10 | 8.22 | 0.11 | 6.52 | 0.90 | 7.69 | 0.06 | 4.67 | 0.19 |
| 0.6 µg/mL | 6.59 | 0.38 | 7.87 | 0.11 | 4.95 | 0.56 | 7.08 | 0.45 | 3.14 | 0.54 |
| 0.7 µg/mL | 5.29 | 0.08 | 7.41 | 0.13 | 3.89 | 0.62 | 6.40 | 0.40 | 2.60 | 0.76 |
| 0.8 µg/mL | 4.15 | 0.19 | 6.30 | 0.33 | 3.19 | 0.83 | 5.48 | 0.62 | 2.06 | 0.71 |
| 0.9 µg/mL | 3.78 | 0.73 | 5.26 | 0.34 | 2.67 | 0.11 | 4.53 | 0.61 | 1.52 | 0.51 |
| 1 µg/mL | 2.96 | 0.32 | 4.70 | 0.63 | 2.11 | 0.13 | 4.04 | 0.61 | 1.26 | 0.45 |
| 2 µg/mL | 1.95 | 0.41 | 2.99 | 0.90 | 1.11 | 0.09 | 3.58 | 0.44 | 1.00 | 0.00 |
| 4 µg/mL | 0.00 | 0.00 | 0.00 | 0.00 | 0.00 | 0.00 | 0.00 | 0.00 | 0.00 | 0.00 |
| Barnes | mean | sd | mean | sd | mean | sd | mean | sd | mean | sd |
| 0 µg/mL | 8.73 | 0.12 | 8.66 | 0.06 | 8.78 | 0.13 | 8.65 | 0.17 | 8.75 | 0.19 |
| 0.25 µg/mL | 8.71 | 0.06 | 8.37 | 0.16 | 7.85 | 0.25 | 8.40 | 0.38 | 5.88 | 0.12 |
| 0.5 µg/mL | 8.07 | 0.05 | 8.30 | 0.26 | 6.85 | 0.27 | 8.12 | 0.10 | 3.96 | 0.06 |
| 0.6 µg/mL | 5.85 | 0.07 | 7.99 | 0.01 | 4.77 | 0.29 | 7.44 | 0.39 | 3.04 | 0.93 |
| 0.7 µg/mL | 5.67 | 0.05 | 7.59 | 0.27 | 3.95 | 0.07 | 6.56 | 0.33 | 2.40 | 0.72 |
| 0.8 µg/mL | 4.85 | 0.04 | 6.48 | 0.45 | 2.80 | 0.18 | 5.33 | 0.49 | 1.37 | 0.64 |
| 0.9 µg/mL | 4.38 | 0.11 | 5.43 | 0.51 | 2.07 | 0.14 | 4.66 | 0.48 | 1.31 | 0.53 |
| 1 µg/mL | 4.40 | 0.03 | 4.85 | 0.64 | 1.41 | 0.52 | 4.10 | 0.42 | 1.00 | 0.00 |
| 2 µg/mL | 3.80 | 0.23 | 3.18 | 1.07 | 1.00 | 0.00 | 3.88 | 0.56 | 1.00 | 0.00 |
| 4 µg/mL | 0.00 | 0.00 | 0.00 | 0.00 | 0.00 | 0.00 | 0.00 | 0.00 | 0.00 | 0.00 |
Publisher’s Note: MDPI stays neutral with regard to jurisdictional claims in published maps and institutional affiliations. |
© 2022 by the authors. Licensee MDPI, Basel, Switzerland. This article is an open access article distributed under the terms and conditions of the Creative Commons Attribution (CC BY) license (https://creativecommons.org/licenses/by/4.0/).
Share and Cite
Cenci-Goga, B.T.; Karama, M.; El-Ashram, S.; Saraiva, C.; García-Díez, J.; Chalias, A.; Grispoldi, L. Two Screening Assays to Detect Vancomycin-Resistant Enterococcus spp. Microbiol. Res. 2022, 13, 332-341. https://doi.org/10.3390/microbiolres13020026
Cenci-Goga BT, Karama M, El-Ashram S, Saraiva C, García-Díez J, Chalias A, Grispoldi L. Two Screening Assays to Detect Vancomycin-Resistant Enterococcus spp. Microbiology Research. 2022; 13(2):332-341. https://doi.org/10.3390/microbiolres13020026
Chicago/Turabian StyleCenci-Goga, Beniamino T., Musafiri Karama, Saeed El-Ashram, Cristina Saraiva, Juan García-Díez, Athanasios Chalias, and Luca Grispoldi. 2022. "Two Screening Assays to Detect Vancomycin-Resistant Enterococcus spp." Microbiology Research 13, no. 2: 332-341. https://doi.org/10.3390/microbiolres13020026
APA StyleCenci-Goga, B. T., Karama, M., El-Ashram, S., Saraiva, C., García-Díez, J., Chalias, A., & Grispoldi, L. (2022). Two Screening Assays to Detect Vancomycin-Resistant Enterococcus spp. Microbiology Research, 13(2), 332-341. https://doi.org/10.3390/microbiolres13020026

