The C/C Genotype of the C-1019G (rs6295) Polymorphism of the 5-HT1A Receptor Gene Is Associated with Lower Susceptibility to Depressive Symptoms in a Rural Population in Mexico
Abstract
1. Introduction
2. Materials and Methods
2.1. Participants
2.2. Beck Depression Inventory
2.3. Study Groups
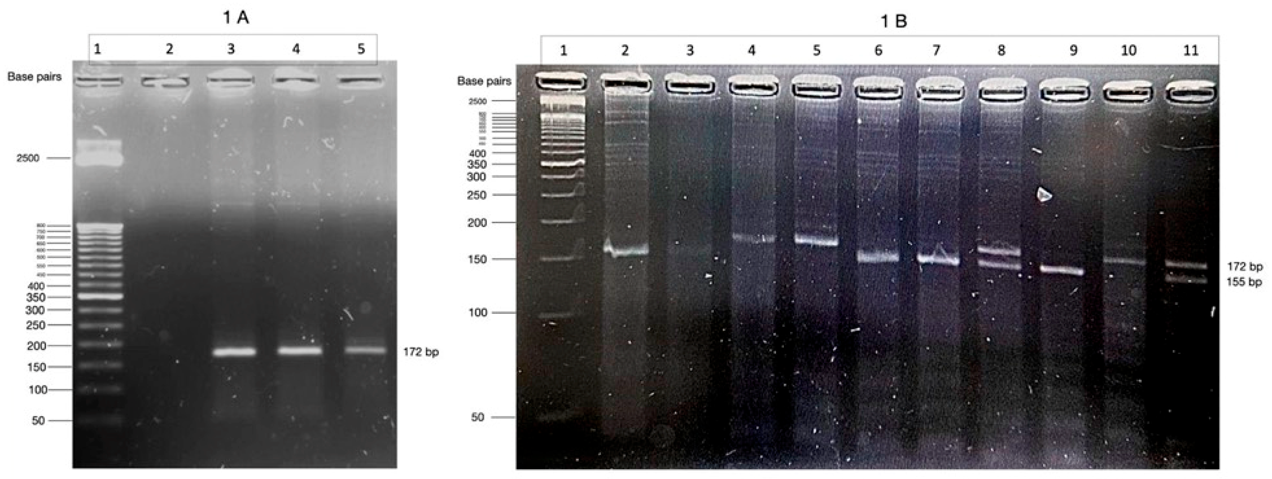
2.4. DNA Analysis and Genotyping
2.5. Statistical Analyses
3. Results
3.1. Demographic and Clinical Data of Study Population
3.1.1. Demographic Data
3.1.2. Clinical Data
3.2. Depressive Symptoms
3.3. C-1019G (rs6295) Polymorphism of 5-HT1A Receptor Gene
3.3.1. Genotypic Distribution of C-1019G (rs6295) Polymorphism of 5-HT1A Receptor Gene
3.3.2. Genotype and Recessive Model Frequencies of C-1019G (rs6295) Polymorphism of 5HT1A Receptor Gene Between Control and Depressive Symptom Groups
3.3.3. Genotype and Recessive Model Frequencies of C-1019G (rs6295) Polymorphism of 5HT1A Receptor Gene Between Control and Depressive Symptom Groups by Sex
4. Discussion
Author Contributions
Funding
Institutional Review Board Statement
Informed Consent Statement
Data Availability Statement
Acknowledgments
Conflicts of Interest
Abbreviations
| ADHD | Attention-deficit/hyperactivity disorder |
| AH | Arterial hypertension |
| BDI | Beck Depression Inventory |
| BMI | Body mass index |
| DEAF-1 | Deformed epidermal autoregulatory factor 1 |
| DNA | Deoxyribonucleic acid |
| dNTPs | Deoxynucleotide triphosphates |
| DM | Diabetes mellitus |
| GIRK | G protein-coupled inwardly rectifying potassium channels |
| GWAS | Genome-wide association |
| MeCp2 | Methyl-CpG binding protein |
| NUDR | Nuclear DEAF1-related |
| PCR-RFLP | Polymerase chain reaction–restriction fragment length polymorphism |
| siRNA | Small interfering RNA |
| SNP | Single-nucleotide polymorphism |
| SSRI | Selective serotonin reuptake inhibitor |
| TPH | Tryptophan hydroxylase |
| 5-HT | Serotonin |
| 5-HT1A | Serotonin 1A |
| 5-HT2A | Serotonin 2A |
References
- Errazuriz, A.; Avello-Vega, D.; Ramirez-Mahaluf, J.P.; Torres, R.; Crossley, N.A.; Undurraga, E.A.; Jones, P.B. Prevalence of depressive disorder in the adult population of Latin America: A systematic review and meta-analysis. Lancet Reg. Health Am. 2023, 26, 100587. [Google Scholar] [CrossRef]
- Yu, S. Uncovering the hidden impacts of inequality on mental health: A global study. Transl. Psychiatry 2018, 8, 98. [Google Scholar] [CrossRef]
- de Salud, S. 2° Diagnóstico Operativo de Salud Mental y Adicciones (Spanish). 2022. Available online: https://www.gob.mx/cms/uploads/attachment/file/730678/SAP-DxSMA-Informe-2022-rev07jun2022.pdf. (accessed on 28 February 2025).
- Perez-Cano, H.J.; Moreno-Murguia, M.B.; Morales-Lopez, O.; Crow-Buchanan, O.; English, J.A.; Lozano-Alcazar, J.; Somilleda-Ventura, S.A. Anxiety, depression, and stress in response to the coronavirus disease-19 pandemic. Cir. Cir. 2020, 88, 562–568. [Google Scholar] [CrossRef]
- Howard, D.M.; Adams, M.J.; Clarke, T.K.; Hafferty, J.D.; Gibson, J.; Shirali, M.; Coleman, J.R.I.; Hagenaars, S.P.; Ward, J.; Wigmore, E.M.; et al. Genome-wide meta-analysis of depression identifies 102 independent variants and highlights the importance of the prefrontal brain regions. Nat. Neurosci. 2019, 22, 343–352. [Google Scholar] [CrossRef]
- Dall’Aglio, L.; Lewis, C.M.; Pain, O. Delineating the genetic component of gene expression in major depression. Biol. Psychiatry 2021, 89, 627–636. [Google Scholar] [CrossRef]
- Yoon, H.K.; Kim, Y.K. TPH2 -703G/T SNP may have important effect on susceptibility to suicidal behavior in major depression. Prog. Neuropsychopharmacol. Biol. Psychiatry 2009, 33, 403–409. [Google Scholar] [CrossRef]
- Luckhart, C.; Philippe, T.J.; Le Francois, B.; Vahid-Ansari, F.; Geddes, S.D.; Beique, J.C.; Lagace, D.C.; Daigle, M.; Albert, P.R. Sex-dependent adaptive changes in serotonin-1A autoreceptor function and anxiety in Deaf1-deficient mice. Mol. Brain 2016, 9, 77. [Google Scholar] [CrossRef][Green Version]
- Lemonde, S.; Du, L.; Bakish, D.; Hrdina, P.; Albert, P.R. Association of the C(-1019)G 5-HT1A functional promoter polymorphism with antidepressant response. Int. J. Neuropsychopharmacol. 2004, 7, 501–506. [Google Scholar] [CrossRef]
- Parsey, R.V.; Oquendo, M.A.; Ogden, R.T.; Olvet, D.M.; Simpson, N.; Huang, Y.Y.; Van Heertum, R.L.; Arango, V.; Mann, J.J. Altered serotonin 1A binding in major depression: A [carbonyl-C-11]WAY100635 positron emission tomography study. Biol. Psychiatry 2006, 59, 106–113. [Google Scholar] [CrossRef]
- Zhao, X.; Huang, Y.; Li, J.; Ma, H.; Jin, Q.; Wang, Y.; Wu, L.; Zhu, G. Association between the 5-HT1A receptor gene polymorphism (rs6295) and antidepressants: A meta-analysis. Int. Clin. Psychopharmacol. 2012, 27, 314–320. [Google Scholar] [CrossRef]
- Lemonde, S.; Turecki, G.; Bakish, D.; Du, L.; Hrdina, P.D.; Bown, C.D.; Sequeira, A.; Kushwaha, N.; Morris, S.J.; Basak, A.; et al. Impaired repression at a 5-hydroxytryptamine 1A receptor gene polymorphism associated with major depression and suicide. J. Neurosci. 2003, 23, 8788–8799. [Google Scholar] [CrossRef] [PubMed]
- Instituto Nacional de Estadística, Geografía e Informática (INEGI). Población Rural y Rural Ampliada 2000 (Spanish). 2005. Available online: https://www.inegi.org.mx/contenidos/productos/prod_serv/contenidos/espanol/bvinegi/productos/historicos/76/702825498122/702825498122_2.pdf (accessed on 28 April 2025).
- Segal, D.L.; Coolidge, F.L.; Cahill, B.S.; O’Riley, A.A. Psychometric properties of the Beck Depression Inventory II (BDI-II) among community-dwelling older adults. Behav. Modif. 2008, 32, 3–20. [Google Scholar] [CrossRef]
- Gatewood-Colwell, G.; Kaczmarek, M.; Ames, M.H. Reliability and validity of the Beck depression inventory for a white and Mexican-American gerontic population. Psychol. Rep. 1989, 65, 1163–1166. [Google Scholar] [CrossRef] [PubMed]
- Rothe, C.; Gutknecht, L.; Freitag, C.; Tauber, R.; Mossner, R.; Franke, P.; Fritze, J.; Wagner, G.; Peikert, G.; Wenda, B.; et al. Association of a functional 1019C>G 5-HT1A receptor gene polymorphism with panic disorder with agoraphobia. Int. J. Neuropsychopharmacol. 2004, 7, 189–192. [Google Scholar] [CrossRef] [PubMed][Green Version]
- Kato, M.; Fukuda, T.; Wakeno, M.; Okugawa, G.; Takekita, Y.; Watanabe, S.; Yamashita, M.; Hosoi, Y.; Azuma, J.; Kinoshita, T.; et al. Effect of 5-HT1A gene polymorphisms on antidepressant response in major depressive disorder. Am. J. Med. Genet. B Neuropsychiatr. Genet. 2009, 150B, 115–123. [Google Scholar] [CrossRef]
- Haslacher, H.; Michlmayr, M.; Batmyagmar, D.; Perkmann, T.; Ponocny-Seliger, E.; Scheichenberger, V.; Scherzer, T.M.; Nistler, S.; Pilger, A.; Dal-Bianco, P.; et al. rs6295 [C]-Allele protects against depressive mood in elderly endurance ethletes. J. Sport Exerc. Psychol. 2015, 37, 637–645. [Google Scholar] [CrossRef]
- Malaguti, A.; Rossini, D.; Lucca, A.; Magri, L.; Lorenzi, C.; Pirovano, A.; Colombo, C.; Smeraldi, E.; Zanardi, R. Role of COMT, 5-HT(1A), and SERT genetic polymorphisms on antidepressant response to transcranial magnetic stimulation. Depress. Anxiety 2011, 28, 568–573. [Google Scholar] [CrossRef]
- Scutt, G.; Overall, A.; Scott, R.; Patel, B.; Hachoumi, L.; Yeoman, M.; Wright, J. Does the 5-HT1A rs6295 polymorphism influence the safety and efficacy of citalopram therapy in the oldest old? Ther. Adv. Drug Saf. 2018, 9, 355–366. [Google Scholar] [CrossRef]
- Lim, S.W.; Ha, J.; Shin, D.W.; Woo, H.Y.; Kim, K.H. Associations between the serotonin- 1A receptor C(-1019)G polymorphism and disordered eating symptoms in female adolescents. J. Neural Transm. 2010, 117, 773–779. [Google Scholar] [CrossRef]
- Serretti, A.; Mandelli, L.; Giegling, I.; Schneider, B.; Hartmann, A.M.; Schnabel, A.; Maurer, K.; Moller, H.J.; Rujescu, D. HTR2C and HTR1A gene variants in German and Italian suicide attempters and completers. Am. J. Med. Genet. B Neuropsychiatr. Genet. 2007, 144B, 291–299. [Google Scholar] [CrossRef]
- Strobel, A.; Gutknecht, L.; Rothe, C.; Reif, A.; Mossner, R.; Zeng, Y.; Brocke, B.; Lesch, K.P. Allelic variation in 5-HT1A receptor expression is associated with anxiety- and depression-related personality traits. J. Neural Transm. 2003, 110, 1445–1453. [Google Scholar] [CrossRef] [PubMed]
- Huang, J.H.; Chang, H.A.; Fang, W.H.; Ho, P.S.; Liu, Y.P.; Wan, F.J.; Tzeng, N.S.; Shyu, J.F.; Chang, C.C. Serotonin receptor 1A promoter polymorphism, rs6295, modulates human anxiety levels via altering parasympathetic nervous activity. Acta Psychiatr. Scand. 2018, 137, 263–272. [Google Scholar] [CrossRef] [PubMed]
- Blaya, C.; Salum, G.A.; Moorjani, P.; Seganfredo, A.C.; Heldt, E.; Leistner-Segal, S.; Smoller, J.W.; Manfro, G.G. Panic disorder and serotonergic genes (SLC6A4, HTR1A and HTR2A): Association and interaction with childhood trauma and parenting. Neurosci. Lett. 2010, 485, 11–15. [Google Scholar] [CrossRef] [PubMed]
- Donaldson, Z.R.; le Francois, B.; Santos, T.L.; Almli, L.M.; Boldrini, M.; Champagne, F.A.; Arango, V.; Mann, J.J.; Stockmeier, C.A.; Galfalvy, H.; et al. The functional serotonin 1a receptor promoter polymorphism, rs6295, is associated with psychiatric illness and differences in transcription. Transl. Psychiatry 2016, 6, e746. [Google Scholar] [CrossRef]
- Albert, P.R.; Le Francois, B.; Vahid-Ansari, F. Genetic, epigenetic and posttranscriptional mechanisms for treatment of major depression: The 5-HT1A receptor gene as a paradigm. J. Psychiatry Neurosci. 2019, 44, 164–176. [Google Scholar] [CrossRef]
- Wasserman, D.; Geijer, T.; Sokolowski, M.; Rozanov, V.; Wasserman, J. The serotonin 1A receptor C(-1019)G polymorphism in relation to suicide attempt. Behav. Brain Funct. 2006, 2, 14. [Google Scholar] [CrossRef]
- Popova, N.K.; Naumenko, V.S. 5-HT1A receptor as a key player in the brain 5-HT system. Rev. Neurosci. 2013, 24, 191–204. [Google Scholar] [CrossRef]
- Gonzalez-Castro, T.B.; Tovilla-Zarate, C.A.; Juarez-Rojop, I.; Pool Garcia, S.; Genis, A.; Nicolini, H.; Lopez Narvaez, L. Association of 5HTR1A gene variants with suicidal behavior: Case-control study and updated meta-analysis. J. Psychiatr. Res. 2013, 47, 1665–1672. [Google Scholar] [CrossRef]
- Philippe, T.J.; Vahid-Ansari, F.; Donaldson, Z.R.; Le François, B.; Zahrai, A.; Turcotte-Cardin, V.; Daigle, M.; James, J.; Hen, R.; Merali, Z.; et al. Loss of MeCP2 in adult 5-HT neurons induces 5-HT1A autoreceptors, with opposite sex-dependent anxiety and depression phenotypes. Sci. Rep. 2018, 8, 5788. [Google Scholar] [CrossRef]
- Ferrés-Coy, A.; Santana, N.; Castañé, A.; Cortés, R.; Carmona, M.C.; Toth, M.; Montefeltro, A.; Artigas, F.; Bortolozzi, A. Acute 5-HT₁A autoreceptor knockdown increases antidepressant responses and serotonin release in stressful conditions. Psychopharmacology 2013, 225, 61–74. [Google Scholar] [CrossRef]
- Sandstrom, Y.K.; Ljunggren, G.; Wandell, P.; Wahlstrom, L.; Carlsson, A.C. Psychiatric comorbidities in patients with hypertension--a study of registered diagnoses 2009–2013 in the total population in Stockholm County, Sweden. J. Hypertens. 2016, 34, 414–420, discussion 420. [Google Scholar] [CrossRef] [PubMed]
- Wang, Z.; Du, Z.; Lu, R.; Zhou, Q.; Jiang, Y.; Zhu, H. Causal relationship between diabetes and depression: A bidirectional Mendelian randomization study. J. Affect. Disord. 2024, 351, 956–961. [Google Scholar] [CrossRef] [PubMed]
- Filatova, E.V.; Shadrina, M.I.; Slominsky, P.A. Major depression: One brain, one disease, one set of intertwined processes. Cells 2021, 10, 1283. [Google Scholar] [CrossRef] [PubMed]


| All Subjects (n = 83) | Control Group (n = 51) | Depressive Symptom Group (n = 32) | p | |
|---|---|---|---|---|
| Age in years (mean ± standard deviation) | 59.03 ± 11.91 | 57.76 ± 11.42 | 61.06 ± 12.57 | 0.2214 a |
| Sex, number (%) Male Female | 19 (22.89) 64 (77.11) | 12 (23.53) 39 (76.47) | 7 (21.875) 25 (78.125) | 0.542 b |
| Body mass index in kg/m2 (mean ± standard deviation) | 29.31 ± 6.50 | 29.16 ± 6.13 | 29.56 ± 7.16 | 0.8002 a |
| Blood pressure in mmHg (mean ± standard deviation) Systolic Diastolic | 135.50 ± 21.50 79.10 ± 13.21 | 134.84 ± 21.65 77.9 ± 10.37 | 136.56 ± 21.56 81.1 ± 16.96 | 0.7251 a 0.2974 a |
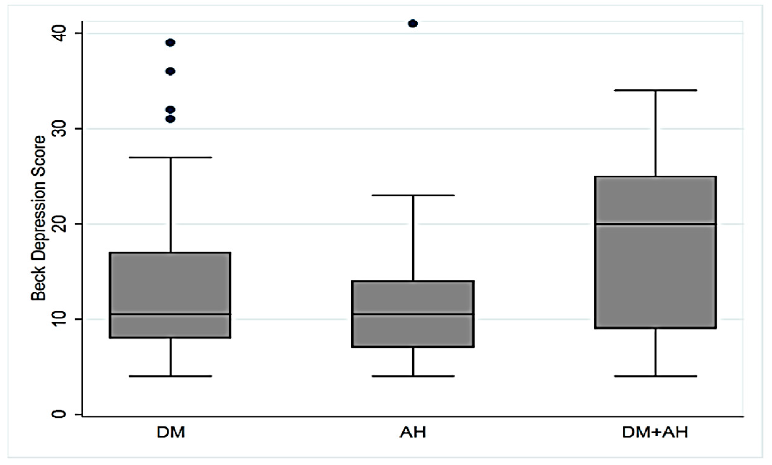
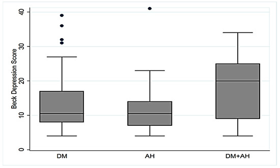
| Diagnosis, number (%) Diabetes mellitus Arterial hypertension Diabetes mellitus plus arterial hypertension | 48 (57.83) 20 (24.10) 15 (18.07) | 32 (62.75) 14 (27.45) 5 (9.80) | 16 (50) 6 (18.75) 10 (31.25) | 0.252 c 0.367 c 0.013 c |
| Beck Depression Inventory score (median, interquartile range) | 11 (8–18) | 8 (6–11) | 21.5 (18–27.5) | <0.001 d |
| Genotype | Recessive Model | ||||||
| Entire population (n = 83) | G/G | C/G | C/C | p | G/G + G/C | C/C | p |
| Controls (n = 51) | 3 | 25 | 23 | 0.035 a | 28 | 23 | 0.014 b |
| Individuals with depressive symptoms (n = 32) | 3 | 23 | 6 | 26 | 6 | ||
| Females (n = 64) | |||||||
| Controls (n = 39) | 2 | 20 | 17 | 0.109 a | 22 | 17 | 0.111 b |
| Individuals with depressive symptoms (n = 25) | 0 | 19 | 6 | 19 | 6 | ||
| Males (n = 19) | |||||||
| Controls (n = 12) | 1 | 5 | 6 | 0.047 a | 6 | 6 | 0.034 a |
| Individuals with depressive symptoms (n = 7) | 3 | 4 | 0 | 7 | 0 | ||
Disclaimer/Publisher’s Note: The statements, opinions and data contained in all publications are solely those of the individual author(s) and contributor(s) and not of MDPI and/or the editor(s). MDPI and/or the editor(s) disclaim responsibility for any injury to people or property resulting from any ideas, methods, instructions or products referred to in the content. |
© 2025 by the authors. Licensee MDPI, Basel, Switzerland. This article is an open access article distributed under the terms and conditions of the Creative Commons Attribution (CC BY) license (https://creativecommons.org/licenses/by/4.0/).
Share and Cite
Hernandez-Mixteco, M.; Valenzuela, O.L.; Balderas-Vazquez, C.L.; Castillo-Juárez, P.; Rivera-Gutiérrez, S.; García-Reyes, R.L.; Cornejo-Estudillo, G.; Soria-Herrera, R.J.; León-Juárez, M.; Helguera-Repetto, A.C.; et al. The C/C Genotype of the C-1019G (rs6295) Polymorphism of the 5-HT1A Receptor Gene Is Associated with Lower Susceptibility to Depressive Symptoms in a Rural Population in Mexico. Neurol. Int. 2025, 17, 87. https://doi.org/10.3390/neurolint17060087
Hernandez-Mixteco M, Valenzuela OL, Balderas-Vazquez CL, Castillo-Juárez P, Rivera-Gutiérrez S, García-Reyes RL, Cornejo-Estudillo G, Soria-Herrera RJ, León-Juárez M, Helguera-Repetto AC, et al. The C/C Genotype of the C-1019G (rs6295) Polymorphism of the 5-HT1A Receptor Gene Is Associated with Lower Susceptibility to Depressive Symptoms in a Rural Population in Mexico. Neurology International. 2025; 17(6):87. https://doi.org/10.3390/neurolint17060087
Chicago/Turabian StyleHernandez-Mixteco, Margarita, Olga Lidia Valenzuela, Cecilia Luz Balderas-Vazquez, Paola Castillo-Juárez, Sandra Rivera-Gutiérrez, Rocío Liliana García-Reyes, Gilberto Cornejo-Estudillo, Ricardo Jiovanni Soria-Herrera, Moises León-Juárez, Addy Cecilia Helguera-Repetto, and et al. 2025. "The C/C Genotype of the C-1019G (rs6295) Polymorphism of the 5-HT1A Receptor Gene Is Associated with Lower Susceptibility to Depressive Symptoms in a Rural Population in Mexico" Neurology International 17, no. 6: 87. https://doi.org/10.3390/neurolint17060087
APA StyleHernandez-Mixteco, M., Valenzuela, O. L., Balderas-Vazquez, C. L., Castillo-Juárez, P., Rivera-Gutiérrez, S., García-Reyes, R. L., Cornejo-Estudillo, G., Soria-Herrera, R. J., León-Juárez, M., Helguera-Repetto, A. C., Valencia-Trujillo, D., Campos-Peña, V., Garcia-Montalvo, E. A., & Cerna-Cortés, J. F. (2025). The C/C Genotype of the C-1019G (rs6295) Polymorphism of the 5-HT1A Receptor Gene Is Associated with Lower Susceptibility to Depressive Symptoms in a Rural Population in Mexico. Neurology International, 17(6), 87. https://doi.org/10.3390/neurolint17060087

