Survival After Shunt Therapy in Normal-Pressure Hydrocephalus: A Meta-Analysis of 1614 Patients
Abstract
1. Introduction
2. Materials and Methods
2.1. Search Strategy and Study Inclusion
2.2. Quality Assessment
2.3. Data Extraction
2.4. Statistics
3. Results
3.1. Study Selection and Study Characteristics
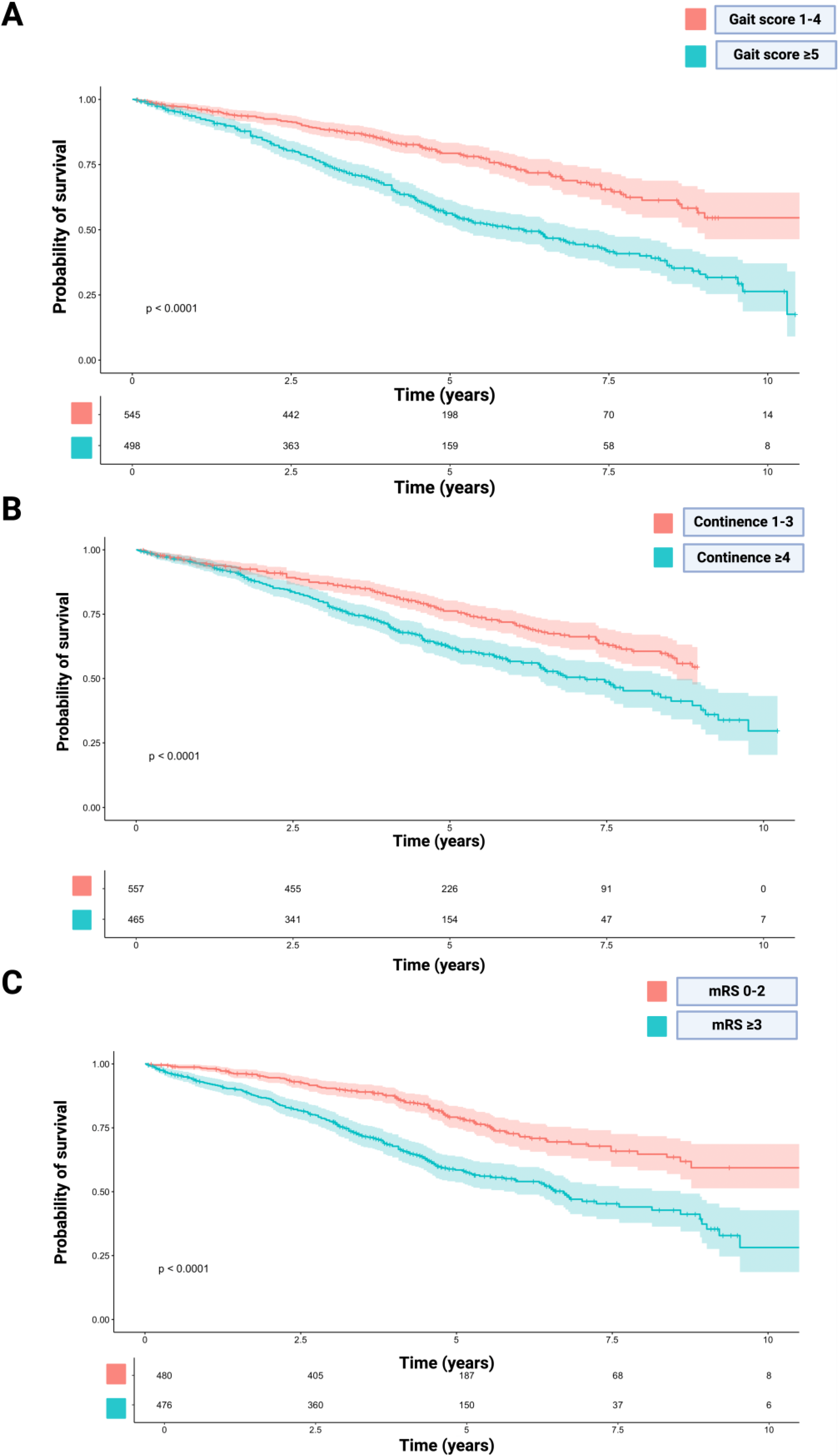
3.2. Reconstructed Pooled Survival Curves and One-Stage Meta-Analysis of the Impact of Baseline Symptom Burden on Survival After VP Shunt Therapy for NPH
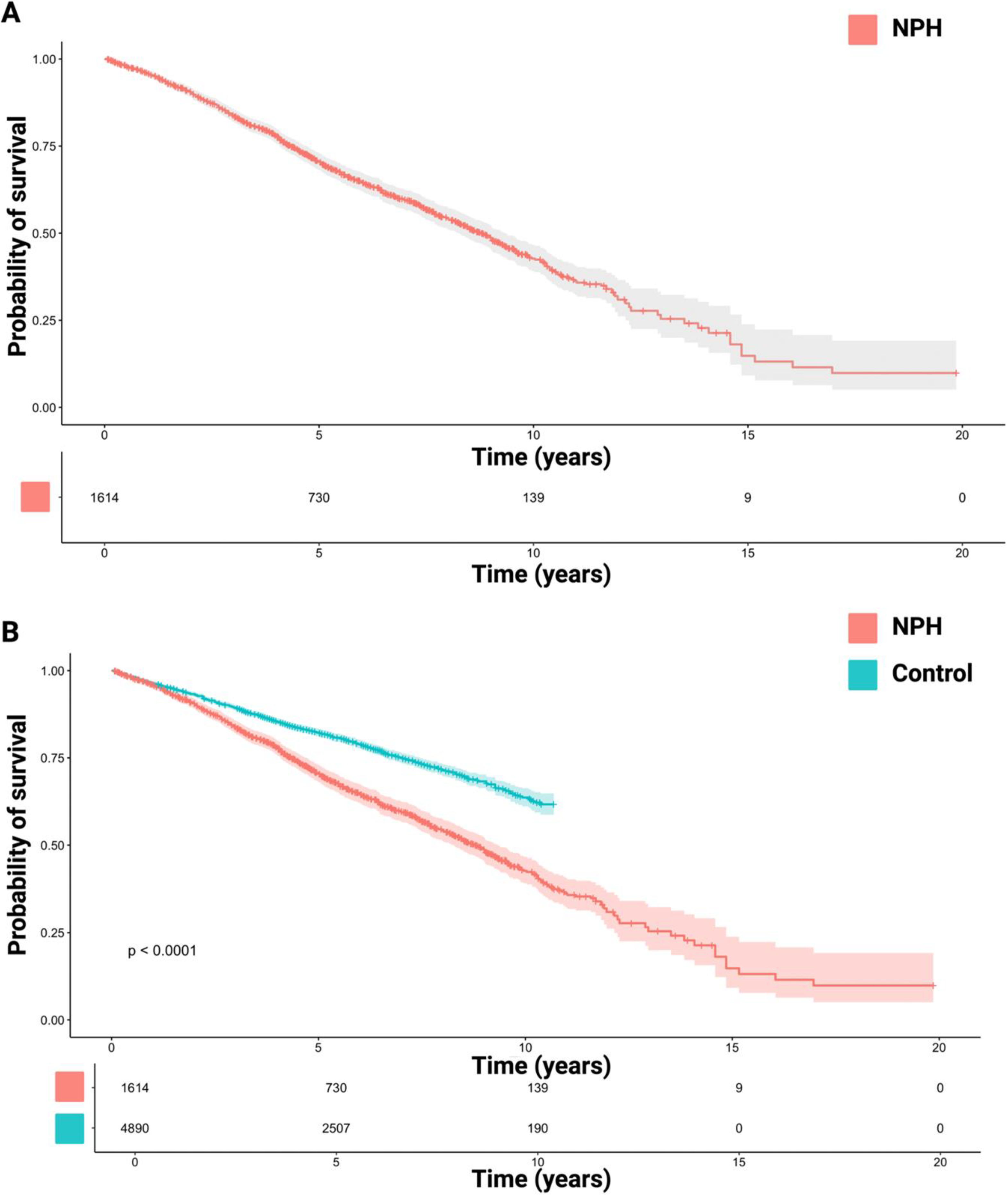
3.3. Reconstructed Pooled Survival Curves of All NPH Patients Treated by VP Shunt Therapy
3.4. Two-Stage Meta-Analysis of Overall Survival in Normal-Pressure Hydrocephalus Patients
3.5. Bias and Quality Evaluation
4. Discussion
4.1. Shunt-Related Deaths—Infection and Obstruction
4.2. Pathophysiology and Risk Factors for Clinical Deterioration
4.3. Gait Score
4.4. Continence Score
4.5. Clinical Implications
4.6. Strength and Limitations
5. Conclusions
Supplementary Materials
Author Contributions
Funding
Institutional Review Board Statement
Informed Consent Statement
Data Availability Statement
Acknowledgments
Conflicts of Interest
References
- Hadjiathanasiou, A.; Kilinc, F.; Behmanesh, B.; Bernstock, J.; Güresir, E.; Heimann, M.; Konczalla, J.; Scharnböck, E.; Schneider, M.; Weinhold, L.; et al. Impact of Comorbidities and Frailty on Early Shunt Failure in Geriatric Patients With Normal Pressure Hydrocephalus. Front. Med. 2020, 7, 596270. [Google Scholar] [CrossRef] [PubMed]
- Andersson, J.; Rosell, M.; Kockum, K.; Lilja-Lund, O.; Söderström, L.; Laurell, K. Prevalence of idiopathic normal pressure hydrocephalus: A prospective, population-based study. PLoS ONE 2019, 14, e0217705. [Google Scholar] [CrossRef] [PubMed]
- Petrella, G.; Ciarlo, S.; Elia, S.; Piaz, R.D.; Nucera, P.; Pompucci, A.; Palmieri, M.; Pesce, A. Idiopathic Normal Pressure Hydrocephalus: The Real Social and Economic Burden of a Possibly Enormous Underdiagnosis Problem. Tomography 2023, 9, 2006–2015. [Google Scholar] [CrossRef]
- Isaacs, A.M.; Hamilton, M. Natural History, Treatment Outcomes and Quality of Life in Idiopathic Normal Pressure Hydrocephalus (iNPH). Neurol. India 2021, 69 (Suppl. S2), S561–S568. [Google Scholar] [CrossRef]
- Hakim, S.; Adams, R.D. The special clinical problem of symptomatic hydrocephalus with normal cerebrospinal fluid pressure. Observations on cerebrospinal fluid hydrodynamics. J. Neurol. Sci. 1965, 2, 307–327. [Google Scholar] [CrossRef]
- Chotai, S.; Medel, R.; Herial, N.A.; Medhkour, A. External lumbar drain: A pragmatic test for prediction of shunt outcomes in idiopathic normal pressure hydrocephalus. Surg. Neurol. Int. 2014, 5, 12. [Google Scholar]
- Bovonsunthonchai, S.; Witthiwej, T.; Vachalathiti, R.; Hengsomboon, P.; Thong-On, S.; Sathornsumetee, S.; Ngamsombat, C.; Chawalparit, O.; Muangpaisan, W.; Richards, J. Clinical improvements in temporospatial gait variables after a spinal tap test in individuals with idiopathic normal pressure hydrocephalus. Sci. Rep. 2024, 14, 2053. [Google Scholar] [CrossRef] [PubMed]
- Grasso, G.; Torregrossa, F. The impact of cerebrospinal fluid shunting on quality of life in idiopathic normal pressure hydrocephalus: A long-term analysis. Neurosurg. Focus 2023, 54, E7. [Google Scholar] [CrossRef]
- Pyykkö, O.T.; Nerg, O.; Niskasaari, H.M.; Niskasaari, T.; Koivisto, A.M.; Hiltunen, M.; Pihlajamäki, J.; Rauramaa, T.; Kojoukhova, M.; Alafuzoff, I.; et al. Incidence, Comorbidities, and Mortality in Idiopathic Normal Pressure Hydrocephalus. World Neurosurg. 2018, 112, e624–e631. [Google Scholar] [CrossRef]
- Belotti, F.; Pertichetti, M.; Muratori, A.; Migliorati, K.; Panciani, P.P.; Draghi, R.; Godano, U.; Borghesi, I.; Fontanella, M.M. Idiopathic normal pressure hydrocephalus: Postoperative patient perspective and quality of life. Acta Neurochir. 2022, 164, 2855–2866. [Google Scholar] [CrossRef]
- Israelsson, H.; Eklund, A.; Malm, J. Cerebrospinal Fluid Shunting Improves Long-Term Quality of Life in Idiopathic Normal Pressure Hydrocephalus. Neurosurgery 2020, 86, 574–582. [Google Scholar] [CrossRef] [PubMed]
- Stewart, L.A.; Clarke, M.; Rovers, M.; Riley, R.D.; Simmonds, M.; Stewart, G.; Tierney, J.F. PRISMA-IPD Development Group. Preferred Reporting Items for Systematic Review and Meta-Analyses of individual participant data: The PRISMA-IPD Statement. JAMA 2015, 313, 1657–1665. [Google Scholar] [CrossRef]
- Schardt, C.; Adams, M.B.; Owens, T.; Keitz, S.; Fontelo, P. Utilization of the PICO framework to improve searching PubMed for clinical questions. BMC Med. Inform. Decis. Mak. 2007, 7, 16. [Google Scholar] [CrossRef] [PubMed]
- Andrén, K.; Wikkelsø, C.; Sundström, N.; Israelsson, H.; Agerskov, S.; Laurell, K.; Hellström, P.; Tullberg, M. Survival in treated idiopathic normal pressure hydrocephalus. J. Neurol. 2020, 267, 640–648. [Google Scholar] [CrossRef]
- Ma, L.L.; Wang, Y.Y.; Yang, Z.H.; Huang, D.; Weng, H.; Zeng, X.T. Methodological quality (risk of bias) assessment tools for primary and secondary medical studies: What are they and which is better? Mil. Med. Res. 2020, 7, 7. [Google Scholar] [CrossRef]
- Hellström, P.; Klinge, P.; Tans, J.; Wikkelsø, C. A new scale for assessment of severity and outcome in iNPH. Acta Neurol. Scand. 2012, 126, 229–237. [Google Scholar] [CrossRef] [PubMed]
- Rankin, J. Cerebral vascular accidents in patients over the age of 60. II. Prognosis. Scott. Med. J. 1957, 2, 200–215. [Google Scholar] [CrossRef]
- Rakap, S.; Rakap, S.; Evran, D.; Cig, O. Comparative evaluation of the reliability and validity of three data extraction programs: UnGraph, GraphClick, and DigitizeIt. Comput. Hum. Behav. 2016, 55, 159–166. [Google Scholar] [CrossRef]
- Liu, N.; Zhou, Y.; Lee, J.J. IPDfromKM: Reconstruct individual patient data from published Kaplan-Meier survival curves. BMC Med. Res. Methodol. 2021, 21, 111. [Google Scholar] [CrossRef]
- Higgins, J.P.T.; Thomas, J.; Chandler, J.; Tmpston, M.; Li, T.; Page, M.J.; Welch, V.A. Cochrane Handbook for Systematic Reviews of Interventions, Version 6.4; Cochrane: London, UK, 2023. [Google Scholar]
- Andrén, K.; Wikkelsø, C.; Hellström, P.; Tullberg, M.; Jaraj, D. Early shunt surgery improves survival in idiopathic normal pressure hydrocephalus. Eur. J. Neurol. 2021, 28, 1153–1159. [Google Scholar] [CrossRef]
- Eklund, S.A.; Israelsson, H.; Brunström, M.; Forsberg, K.; Malm, J. 10-year mortality, causes of death and cardiovascular comorbidities in idiopathic normal pressure hydrocephalus. J. Neurol. 2024, 27, 1311–1319. [Google Scholar] [CrossRef] [PubMed]
- Klinge, P.M.; Ma, K.L.; Leary, O.P.; Sastry, R.A.; Sayied, S.; Venegas, O.; Brinker, T.; Gokaslan, Z.L. Charlson comorbidity index applied to shunted idiopathic normal pressure hydrocephalus. Sci. Rep. 2023, 13, 5111. [Google Scholar] [CrossRef] [PubMed]
- Hashimoto, M.; Ishikawa, M.; Mori, E.; Kuwana, N. Study of INPH on neurological improvement (SINPHONI). Diagnosis of idiopathic normal pressure hydrocephalus is supported by MRI-based scheme: A prospective cohort study. Cerebrospinal Fluid Res. 2010, 7, 18. [Google Scholar] [CrossRef]
- Samuelson, S.; Long, D.M.; Chou, S.N. Subdural hematoma as a complication of shunting procedures for normal pressure hydrocephalus. J. Neurosurg. 1972, 37, 548–551. [Google Scholar] [CrossRef]
- Hansson, W.; Johansson, E.; Birgander, R.; Eklund, A.; Malm, J. Cerebral Microbleeds-Long-Term Outcome After Cerebrospinal Fluid Shunting in Idiopathic Normal Pressure Hydrocephalus. Neurosurgery 2023, 93, 300–308. [Google Scholar] [CrossRef]
- Sæhle, T.; Farahmand, D.; Eide, P.K.; Tisell, M.; Wikkelsö, C. A randomized controlled dual-center trial on shunt complications in idiopathic normal-pressure hydrocephalus treated with gradually reduced or "fixed" pressure valve settings. J. Neurosurg. 2014, 121, 1257–1263. [Google Scholar] [CrossRef] [PubMed]
- Khan, Q.U.A.; Wharen, R.E.; Grewal, S.S.; Thomas, C.S.; Deen, H.G.; Reimer, R.; Van Gerpen, J.A.; Crook, J.E.; Graff-Radford, N.R. Overdrainage shunt complications in idiopathic normal-pressure hydrocephalus and lumbar puncture opening pressure. J. Neurosurg. 2013, 119, 1498–1502. [Google Scholar] [CrossRef]
- Vattipally, V.N.; Ran, K.R.; Giwa, G.A.; Myneni, S.; Dardick, J.M.; Rincon-Torroella, J.; Ye, X.; Byrne, J.P.; Suarez, J.I.; Lin, S.C.; et al. Impact of Antithrombotic Medications and Reversal Strategies on the Surgical Management and Outcomes of Traumatic Acute Subdural Hematoma. World Neurosurg. 2023, 182, e431–e441. [Google Scholar] [CrossRef]
- Jaraj, D.; Agerskov, S.; Rabiei, K.; Marlow, T.; Jensen, C.; Guo, X.; Kern, S.; Wikkelsø, C.; Skoog, I. Vascular factors in suspected normal pressure hydrocephalus: A population-based study. Neurology 2016, 86, 592–599. [Google Scholar] [CrossRef]
- Israelsson, H.; Larsson, J.; Eklund, A.; Malm, J. Risk factors, comorbidities, quality of life, and complications after surgery in idiopathic normal pressure hydrocephalus: Review of the INPH-CRasH study. Neurosurg. Focus 2020, 49, E8. [Google Scholar] [CrossRef]
- Rasmussen, M.K.; Mestre, H.; Nedergaard, M. The glymphatic pathway in neurological disorders. Lancet Neurol. 2018, 17, 1016–1024. [Google Scholar] [CrossRef]
- Eide, P.K.; Ringstad, G. Delayed clearance of cerebrospinal fluid tracer from entorhinal cortex in idiopathic normal pressure hydrocephalus: A glymphatic magnetic resonance imaging study. J. Cereb. Blood Flow Metab. 2019, 39, 1355–1368. [Google Scholar] [CrossRef]
- Angelucci, F.; Cechová, K.; Pruša, R.; Hort, J. Amyloid beta soluble forms and plasminogen activation system in alzheimer’s disease: Consequences on extracellular maturation of brain-derived neurotrophic factor and therapeutic implications. CNS Neurosci. Ther. 2019, 25, 303–313. [Google Scholar] [CrossRef]
- Capone, P.M.; Bertelson, J.A.; Ajtai, B. Neuroimaging of Normal Pressure Hydrocephalus and Hydrocephalus. Neurol. Clin. 2020, 38, 171–183. [Google Scholar] [CrossRef]
- Vorstrup, S.; Christensen, J.; Gjerris, F.; Sørensen, P.S.; Thomsen, A.M.; Paulson, O.B. Cerebral blood flow in patients with normal-pressure hydrocephalus before and after shunting. J. Neurosurg. 1987, 66, 379–387. [Google Scholar] [CrossRef]
- Ishii, K.; Hashimoto, M.; Hayashida, K.; Hashikawa, K.; Chang, C.C.; Nakagawara, J.; Nakayama, T.; Mori, S.; Sakakibara, R. A multicenter brain perfusion SPECT study evaluating idiopathic normal-pressure hydrocephalus on neurological improvement. Dement. Geriatr. Cogn. Disord. 2011, 32, 1–10. [Google Scholar] [CrossRef]
- Virhammar, J.; Laurell, K.; Ahlgren, A.; Larsson, E.M. Arterial Spin–Labeling Perfusion MR Imaging Demonstrates Regional CBF Decrease in Idiopathic Normal Pressure Hydrocephalus. AJNR Am. J. Neuroradiol. 2017, 38, 2081–2088. [Google Scholar] [CrossRef]
- Gutowski, P.; Rot, S.; Fritsch, M.; Meier, U.; Gölz, L.; Lemcke, J. Secondary deterioration in patients with normal pressure hydrocephalus after ventriculoperitoneal shunt placement: A proposed algorithm of treatment. Fluids Barriers CNS 2020, 17, 18. [Google Scholar] [CrossRef]
- Dias, S.F.; Graf, C.; Jehli, E.; Oertel, M.F.; Mahler, J.; Schmid Daners, M.; Stieglitz, L.H. Gait pattern analysis in the home environment as a key factor for the reliable assessment of shunt responsiveness in patients with idiopathic normal pressure hydrocephalus. Front. Neurol. 2023, 14, 1126298. [Google Scholar] [CrossRef]
- Okubo, Y.; Osuka, Y.; Jung, S.; Rafael, F.; Tsujimoto, T.; Aiba, T.; Kim, T.; Tanaka, K. Walking can be more effective than balance training in fall prevention among community-dwelling older adults. Geriatr. Gerontol. Int. 2016, 16, 118–125. [Google Scholar] [CrossRef]
- Liu, L.; Zheng, Y.; Tian, J.; Li, L.; Ruan, H.; Jia, S.; Zhang, X.; Ye, R.; Zuo, X.; Chen, X.; et al. Disparities in overall survival by varying duration of disability in activities of daily living in older people: A population-based cohort from Chinese Longitudinal Healthy Longevity Survey (CLHLS). J. Nutr. Health Aging 2024, 28, 100022. [Google Scholar] [CrossRef]
- Studenski, S.; Perera, S.; Patel, K.; Rosano, C.; Faulkner, K.; Inzitari, M.; Brach, J.; Chandler, J.; Cawthon, P.; Connor, E.B.; et al. Gait speed and survival in older adults. JAMA 2011, 305, 50–58. [Google Scholar] [CrossRef]
- Damián, J.; Pastor-Barriuso, R.; García López, F.J.; de Pedro-Cuesta, J. Urinary incontinence and mortality among older adults residing in care homes. J. Adv. Nurs. 2017, 73, 688–699. [Google Scholar] [CrossRef]
- Li, M.; Wang, H.; Ouyang, Y.; Yin, M.; Yin, X. Efficacy and safety of programmable shunt valves for hydrocephalus: A meta-analysis. Int. J. Surg. 2017, 44, 139–146. [Google Scholar] [CrossRef]
- Ho, Y.J.; Chiang, W.C.; Huang, H.Y.; Lin, S.Z.; Tsai, S.T. Effectiveness and safety of ventriculoperitoneal shunt versus lumboperitoneal shunt for communicating hydrocephalus: A systematic review and meta-analysis with trial sequential analysis. CNS Neurosci. Ther. 2023, 29, 804–815. [Google Scholar] [CrossRef]





| Study | Year | Country | Reported Timeframe | Study Design/ Treatment Arms | Number of Patients (n) | Outcomes |
|---|---|---|---|---|---|---|
| Andrén et al. [14] | 2020 | Sweden | 2004–2011 | Retrospective/NPH vs. control group | NPH group = 979 Control group n = 4890 | Overall survival Gait score Continence score mRS |
| Andrén et al. [21] | 2021 | Sweden | 2010–2011 | Retrospective/delayed vs. early treatment group | Delayed n = 33 Early n = 69 | Survival Age-adjusted survival mRS |
| Eklund et al. [22] | 2023 | Sweden | 2008–2011 | Prospective cohort study | NPH patients n = 140 Matched controls n = 325 | Overall survival |
| Pyykkö et al. [9] | 2018 | Finland | 1993–2010 | Retrospective cohort study | NPH patients n = 283 Matched controls n = 259 | Overall survival |
| Klinge et al. [23] | 2023 | USA | 2015–2021 | Retrospective cohort study | NPH patients n = 208 | Charlson comorbidity index Gait score Continence score mRS |
| Gait Score | ||
|---|---|---|
| Study, year | Estimated HR | Estimated 95% CI |
| Andrén et al. 2020 [14] | 2.23 | 1.76–2.81 |
| Klinge et al. 2023 [23] | 1.99 | 0.98–4.04 |
| Entire IPD cohort (n = 1043) | 2.25 | 1.81–2.81 |
| Continence Score | ||
| Study, year | Estimated HR | Estimated 95% CI |
| Andren et al. 2020 [14] | 1.81 | 1.43–2.29 |
| Klinge et al. 2023 [23] | 1.13 | 0.60–2.13 |
| Entire IPD cohort (n = 1022) | 1.66 | 1.33–2.06 |
| mRS | ||
| Study, year | Estimated HR | Estimated 95% CI |
| Andren et al. 2020 [14] | 2.24 | 1.74–2.90 |
| Klinge et al. 2023 [23] | 1.92 | 1.00–3.68 |
| Entire IPD cohort (n = 956) | 2.21 | 1.74–2.80 |
Disclaimer/Publisher’s Note: The statements, opinions and data contained in all publications are solely those of the individual author(s) and contributor(s) and not of MDPI and/or the editor(s). MDPI and/or the editor(s) disclaim responsibility for any injury to people or property resulting from any ideas, methods, instructions or products referred to in the content. |
© 2024 by the authors. Licensee MDPI, Basel, Switzerland. This article is an open access article distributed under the terms and conditions of the Creative Commons Attribution (CC BY) license (https://creativecommons.org/licenses/by/4.0/).
Share and Cite
Wach, J.; Güresir, A.; Güresir, E.; Vychopen, M. Survival After Shunt Therapy in Normal-Pressure Hydrocephalus: A Meta-Analysis of 1614 Patients. Neurol. Int. 2024, 16, 1438-1450. https://doi.org/10.3390/neurolint16060107
Wach J, Güresir A, Güresir E, Vychopen M. Survival After Shunt Therapy in Normal-Pressure Hydrocephalus: A Meta-Analysis of 1614 Patients. Neurology International. 2024; 16(6):1438-1450. https://doi.org/10.3390/neurolint16060107
Chicago/Turabian StyleWach, Johannes, Agi Güresir, Erdem Güresir, and Martin Vychopen. 2024. "Survival After Shunt Therapy in Normal-Pressure Hydrocephalus: A Meta-Analysis of 1614 Patients" Neurology International 16, no. 6: 1438-1450. https://doi.org/10.3390/neurolint16060107
APA StyleWach, J., Güresir, A., Güresir, E., & Vychopen, M. (2024). Survival After Shunt Therapy in Normal-Pressure Hydrocephalus: A Meta-Analysis of 1614 Patients. Neurology International, 16(6), 1438-1450. https://doi.org/10.3390/neurolint16060107

