Improving Coil Misalignment Performance in Wireless Power Transfer for Electric Vehicles Using Magnetic Flux Density Analysis
Abstract
1. Introduction
- (1)
- This article designs methods for the automatic adjustment of the transmitter coil position in the event of misalignment with magnetic flux density analysis.
- (2)
- The automatic alignment transmitter system is employed in electric vehicle wireless charging applications that are designed in accordance with the SAE standard J2954 [21].
2. Effect of Misalignment on Wireless Charging System
2.1. Designing Wireless Charging for Electric Vehicles
2.1.1. Transmitter Section
2.1.2. Receiver Section
2.1.3. Efficiency of Wireless Charging
3. Simulation of Wireless Charging
4. Designing Automatic Alignment Transmitter System
5. Result and Discussion
6. Conclusions
Author Contributions
Funding
Data Availability Statement
Conflicts of Interest
References
- Zhang, X.; Yuan, Z.; Yang, Q.; Li, Y.; Zhu, J.; Li, Y. Coil design and efficiency analysis for dynamic wireless charging system for electric vehicles. IEEE Trans. Magn. 2016, 52, 8700404. [Google Scholar] [CrossRef]
- Anyapo, C.; Teerakawanich, N.; Mitsantisuk, C. Development of multi-coils full-bridge resonant inverter for dynamic wireless power transfer. In Proceedings of the 2017 14th International Conference on Electrical Engineering/Electronics, Computer, Telecommunications and Information Technology (ECTI-CON), Phuket, Thailand, 27–30 June 2017. [Google Scholar] [CrossRef]
- Ghazizadeh, S.; Ahmed, K.; Seyedmahmoudian, M.; Mekhilef, S.; Chandran, J.; Stojcevski, A. Critical analysis of simulation of misalignment in wireless charging of electric vehicles batteries. Batteries 2023, 9, 106. [Google Scholar] [CrossRef]
- Jia, Y.; Xiao, J.; Li, X.; Gong, W.; Wu, X.; Wang, Z. Research on misalignment tolerance optimization method for EV wireless power transfer system. In Proceedings of the 2022 IEEE 9th International Conference on Power Electronics Systems and Applications (PESA), Hong Kong, Hong Kong, 20–22 September 2022. [Google Scholar] [CrossRef]
- Galib, A.R.; Chowdhury, M.R.; Jobayer, A.M.; Islam, M.S.; Hossain, S.; Isalm, M.N. Maximum efficiency tracking of a three-coil inductive power transfer system for wireless EV battery charging applications. In Proceedings of the 2023 Third International Conference on Advances in Electrical, Computing, Communication and Sustainable Technologies (ICAECT), Bhilai, India, 5–6 January 2023. [Google Scholar] [CrossRef]
- Fu, C.; Wang, D.; Zhao, Q. A compact and coupling-smooth magnetic coupler design for AGV wireless charging application. IEEE Access 2023, 11, 11288–11297. [Google Scholar] [CrossRef]
- Kodeeswaran, S.; Fusic, S.J.; Kannabhiran, A.; Gayathri, M.N.; Padmanaban, S. Design of dual transmitter and single receiver coil to improve misalignment performance in inductive wireless power transfer system for electric vehicle charging applications. Results Eng. 2024, 24, 103602. [Google Scholar] [CrossRef]
- Ferdous, D.; Saha, S.; Ray, R. A resonance based inductive wireless power transfer system for charging autonomous underwater vehicle (AUV) batteries. In Proceedings of the 2024 International Conference on Electrical Electronics and Computing Technologies (ICEECT), Greater Noida, India, 29–31 August 2024. [Google Scholar] [CrossRef]
- Rajamanickam, N.; Ramachandaramurthy, V.K.; Gono, R.; Bernat, P. Misalignment-tolerant wireless power transfer for high endurance IoT sensors using UAVs and nonlinear resonant circuits. Results Eng. 2025, 26, 104879. [Google Scholar] [CrossRef]
- Zhang, Y.; Huang, Z.; Wang, H.; Liu, C.; Mao, X. Achieving misalignment tolerance with hybrid topologies in electric vehicle wireless charging systems. Energy Rep. 2023, 9, 259–265. [Google Scholar] [CrossRef]
- Jaafari, S.; Hafdaoui, H.E.; Ajabboune, K.; Khallaayoun, A.; Ahouzi, E. Optimization of circular coils with ferrite boxes for enhanced efficiency in wireless power transfer for electric vehicles. Green Energy Intell. Transp. 2025, 4, 100195. [Google Scholar] [CrossRef]
- Pahlavan, S.; Shooshtari, M.; Jafarabadi, A.S. Star-shaped coils in the transmitter array for receiver rotation tolerance in free-moving wireless power transfer applications. Energies 2022, 15, 8643. [Google Scholar] [CrossRef]
- Adepoju, W.O.; Bhattacharya, I.; Bima, M.E.; Banik, T. Novel metamaterial and ai-based multi-objective optimization of coil parameters for efficient wireless power transfer. In Proceedings of the 2021 IEEE Vehicle Power and Propulsion Conference (VPPC), Gijon, Spain, 25–28 October 2021. [Google Scholar] [CrossRef]
- Lu, C.; Huang, X.; Liu, X.; Zeng, Y.; Liu, R.; Rong, C. Design and optimization of the low-frequency metasurface shield for wireless power transfer system. IEEE Trans. Transp. Electrif. 2022, 8, 723–733. [Google Scholar] [CrossRef]
- Simonazzi, M.; Sandrolini, L.; Barmada, S.; Fontana, N. Optimal metamaterial configuration for magnetic field shielding in wireless power transfer systems. In Proceedings of the 2023 IEEE Wireless Power Technology Conference and Expo (WPTCE), San Diego, CA, USA, 4–8 June 2023. [Google Scholar] [CrossRef]
- Jeebklum, P.; Sumpavakup, C. Metamaterial slabs for electric vehicle wireless charging application. IEEE Access 2024, 12, 156717–156729. [Google Scholar] [CrossRef]
- Vatsala; Ahmad, A.; Alam, M.S.; Chaban, R.C. Efficiency enhancement of wireless charging for electric vehicles through reduction of coil misalignment. In Proceedings of the 2017 IEEE Transportation Electrification Conference and Expo (ITEC), Chicago, IL, USA, 22–24 June 2017. [Google Scholar] [CrossRef]
- Chabaan, R. Automatic Lateral Alignment for Wireless Charging Systems. U.S. Patent 2019/0118663 A1, 25 April 2019. [Google Scholar]
- Ahmad, A.; Alam, M.S.; Rafat, Y.; Shariff, S. Designing and demonstration of misalignment reduction for wireless charging of autonomous electric vehicle. eTransportation 2020, 4, 100052. [Google Scholar] [CrossRef]
- Zhang, Y.; Lin, Y.; Lin, S.; Gao, W.; Chen, L.; Chang, W.; Hu, W.; Yu, C. An implementation of an automatic adjustment power transfer position wireless battery charging system for mobile devices. In Proceedings of the 2017 IEEE 6th Global Conference on Consumer Electronics (GCCE), Nagoya, Japan, 24–27 October 2017. [Google Scholar] [CrossRef]
- J2954; Wireless Power Transfer for Light-Duty Plug-in/Electric Vehicles and Alignment Methodology. SAE International: Warrendale, PA, USA, 2022.
- Panchal, C.; Stegen, S.; Lu, J. Review of static and dynamic wireless electric vehicle charging system. Eng. Sci. Technol. Int. J. 2018, 21, 922–937. [Google Scholar] [CrossRef]
- Li, Z.; Zhu, C.; Jiang, J.; Song, K.; Wei, G. A 3-kW wireless power transfer system for sightseeing car supercapacitor charge. IEEE Trans. Power Electron. 2017, 32, 3301–3316. [Google Scholar] [CrossRef]
- Iqteit, N.; Yahya, K.; Ahmad Khan, S. Wireless power charging in electrical vehicles. IntechOpen 2021, 1–3, 96115. [Google Scholar] [CrossRef]
- Jayalath, S.; Khan, A. Design, challenges, and trends of inductive power transfer couplers for electric vehicles: A review. IEEE J. Emerg. Sel. Top. Power Electron. 2021, 9, 6196–6218. [Google Scholar] [CrossRef]
- Shi, L.; Martin-Segura, G.; Fonseca, J.; Rivas, H.A.; García, O.; Fernandez, A. Analysis and modelling of normative WPT3 system based on standard SAE J2954. In Proceedings of the 2022 Wireless Power Week (WPW), Bordeaux, France, 5–8 July 2022. [Google Scholar] [CrossRef]
- Dzulfikar, R.D.; Suryoatmojo, H.; Sidqi, F.Q. Coefficient analysis and adaptive frequency resonance control on wireless power transfer. In Proceedings of the 25th International Seminar on Intelligent Technology and Its Applications (ISITIA), Mataram, Indonesia, 10–12 July 2024. [Google Scholar] [CrossRef]
- Detka, K.; Górecki, K. Wireless power transfer—A review. Energies 2022, 15, 7236. [Google Scholar] [CrossRef]
- Drici, I.; Allag, H.; Chebout, M. Implemented frequency tracking technique for resonant wireless power transfer system. In Proceedings of the 2022 19th International Multi-Conference on Systems, Signals & Devices (SSD), Sétif, Algeria, 6–10 May 2022. [Google Scholar] [CrossRef]
- Gebril, A.M.; Mahgoub, A.; Sakr, M. Design procedure of a misalignment tolerant high-efficiency wireless power transfer system. In Proceedings of the 2023 IEEE Conference on Power Electronics and Renewable Energy (CPERE), Luxor, Egypt, 19–21 February 2023. [Google Scholar] [CrossRef]
- Annaselvaraj, B.; Srinivasa Rao Nayak, P.; Sundareswaran, K.; Simon, S.P. Systematic analysis and investigations on different coil structures with misalignments for WPT system. e-Prime—Adv. Electr. Eng. Electron. Energy 2025, 12, 100959. [Google Scholar] [CrossRef]
- Debnath, T.; Majumder, S.; De, K. High-efficiency coil design for wireless power transfer: Mitigating misalignment challenges in transportation. Energy 2025, 325, 135929. [Google Scholar] [CrossRef]
- Viqar, S.; Ahmad, A.; Kirmani, S.; Rafat, Y.; Hussan, M.R.; Saad Alam, M. Modelling, simulation and hardware analysis of misalignment and compensation topologies of wireless power transfer for electric vehicle charging application. Sustain. Energy Grids Netw. 2024, 38, 101285. [Google Scholar] [CrossRef]
- Imura, T. Wireless Power Transfer: Using Magnetic and Electric Resonance Coupling Techniques, 1st ed.; Springer: Singapore, 2020. [Google Scholar] [CrossRef]
- Shu, X.; Wu, G.; Jiang, Y.W.; Zhang, X. Study on magnetic field characteristics of typicals wireless power transfer systems. In Proceedings of the 2024 IEEE 7th International Electrical and Energy Conference (CIEEC), Harbin, China, 10–12 May 2024. [Google Scholar] [CrossRef]
- Raju, S.; Wu, R.; Chan, M.; Yue, C.P. Modeling of mutual coupling between planar inductors in wireless power applications. IEEE Trans. Power Electron. 2014, 29, 481–490. [Google Scholar] [CrossRef]
- Wheeler, H.A. Simple inductance formulas for radio coils. Proc. Institude Radio Eng. 1928, 16, 1398–1400. [Google Scholar] [CrossRef]
- Aditya, K.; Sood, V.K.; Williamson, S.S. Magnetic characterization of unsymmetrical coil pairs using archimedean spirals for wider misalignment tolerance in IPT systems. IEEE Trans. Transp. Electrif. 2017, 3, 454–463. [Google Scholar] [CrossRef]






















| Symbol | Parameter | Quantity |
|---|---|---|
| DIT | internal diameter of the transmitter coil | 0.10 m |
| NT | number of turns in the transmitter coil | 77 turns |
| DOT | outer diameter of the transmitter coil | 0.72 m |
| DIR | internal diameter of the receiver coil | 0.25 m |
| NR | number of turns in the receiver coil | 61 turns |
| DOR | outer diameter of the receiver coil | 0.74 m |
| LT | inductance of the transmitter coil | 1900 µH |
| CT | capacitance of the transmitter coil | 2 nF |
| LR | inductance of the receiver coil | 1900 µH |
| CR | capacitance of the receiver coil | 2 nF |
| W | conductor diameter | 3 mm |
| G | air gap distance between the coils | 0.15 m |
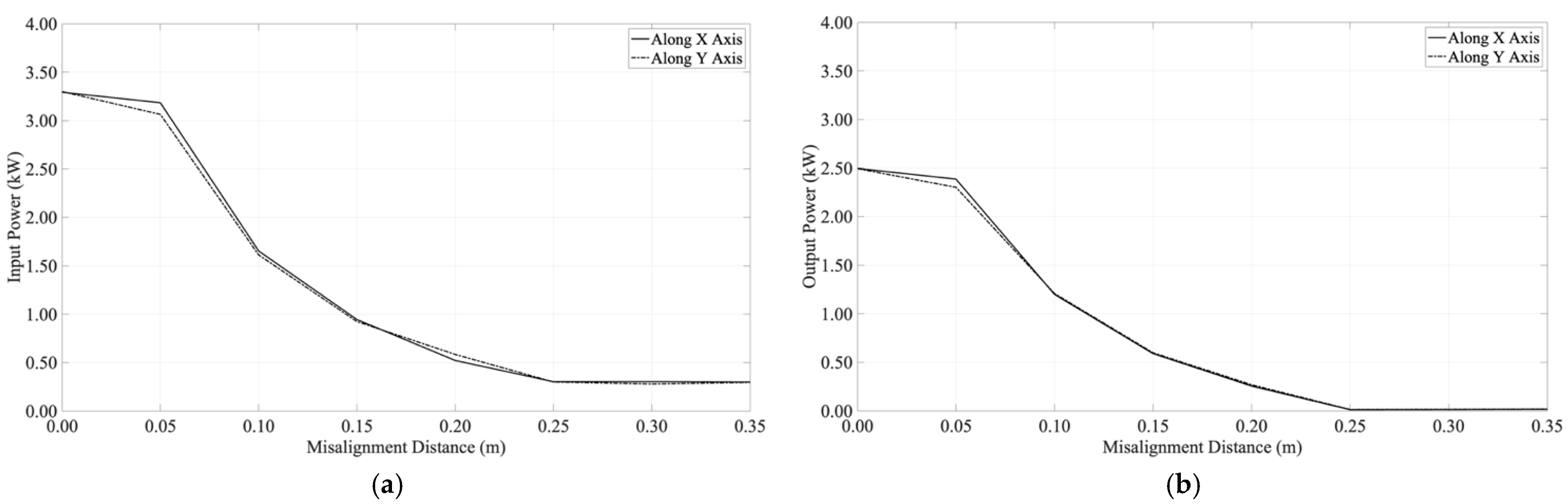
| Misalignment Distance (m) | Along x-Axis | Along y-Axis | ||||
|---|---|---|---|---|---|---|
| PIN (kW) | POUT (kW) | ηX (%) | PIN (kW) | POUT (kW) | ηY (%) | |
| 0.00 | 3.29 | 2.50 | 75.78 | 3.30 | 2.49 | 75.60 |
| 0.05 | 3.18 | 2.39 | 74.95 | 3.06 | 2.30 | 75.12 |
| 0.10 | 1.65 | 1.20 | 72.53 | 1.61 | 1.21 | 74.92 |
| 0.15 | 0.94 | 0.59 | 62.38 | 0.92 | 0.60 | 64.70 |
| 0.20 | 0.52 | 0.26 | 48.89 | 0.58 | 0.27 | 46.01 |
| 0.25 | 0.30 | 0.01 | 3.80 | 0.30 | 0.01 | 4.51 |
| 0.30 | 0.30 | 0.01 | 4.32 | 0.28 | 0.02 | 5.37 |
| 0.35 | 0.30 | 0.02 | 5.31 | 0.30 | 0.02 | 6.10 |
| Symbol | Parameter | Quantity |
|---|---|---|
| LT | Inductance of the transmitter coil | 1916 µH |
| LR | Inductance of the receiver coil | 1916 µH |
| M | Mutual inductance | 776.60 µH |
| K | Coupling coefficient | 0.4063 |
| ϕT | Magnetic flux of transmitter coil | 0.0185 Wb |
| ϕR | Magnetic flux of receiver coil | 0.0183 Wb |
| Misalignment Distance (m) | M (µH) | K | ϕT (Wb) | ϕR (Wb) |
|---|---|---|---|---|
| 0.00 | 776.60 | 0.4063 | 0.0185 | 0.0183 |
| 0.05 | 759.64 | 0.3975 | 0.0179 | 0.0176 |
| 0.10 | 710.82 | 0.3717 | 0.0176 | 0.0173 |
| 0.15 | 635.43 | 0.3325 | 0.0063 | 0.0057 |
| 0.20 | 541.08 | 0.2831 | 0.0036 | 0.0028 |
| 0.25 | 436.45 | 0.2282 | 0.0024 | 0.0008 |
| 0.30 | 330.29 | 0.1728 | 0.0024 | 0.0008 |
| 0.35 | 230.29 | 0.1202 | 0.0024 | 0.0006 |
| Axis | Iteration | Movement Distance Values with Misalignment Distance (m) | ||||||
|---|---|---|---|---|---|---|---|---|
| 0.0500 | 0.1000 | 0.1500 | 0.2000 | 0.2500 | 0.3000 | 0.3500 | ||
| positive x | 1 | 0.0500 | 0.1000 | 0.1500 | 0.2000 | 0.2500 | 0.3010 | 0.3500 |
| 2 | 0.0500 | 0.1000 | 0.1510 | 0.2000 | 0.2500 | 0.2990 | 0.3500 | |
| 3 | 0.0490 | 0.1000 | 0.1500 | 0.2000 | 0.2490 | 0.3000 | 0.3500 | |
| average | 0.0497 | 0.1000 | 0.1503 | 0.2000 | 0.2497 | 0.3000 | 0.3500 | |
| SD | 0.0006 | 0.0000 | 0.0006 | 0.0000 | 0.0006 | 0.0010 | 0.0000 | |
| negative x | 1 | 0.0500 | 0.1000 | 0.1510 | 0.2010 | 0.2500 | 0.3010 | 0.3500 |
| 2 | 0.0490 | 0.1000 | 0.1500 | 0.2000 | 0.2500 | 0.3000 | 0.3500 | |
| 3 | 0.0490 | 0.1000 | 0.1500 | 0.2000 | 0.2500 | 0.2990 | 0.3500 | |
| average | 0.0493 | 0.1000 | 0.1503 | 0.2003 | 0.2500 | 0.3000 | 0.3500 | |
| SD | 0.0006 | 0.0000 | 0.0006 | 0.0006 | 0.0000 | 0.0010 | 0.0000 | |
| positive y | 1 | 0.0500 | 0.1000 | 0.1500 | 0.2000 | 0.2500 | 0.3000 | 0.3490 |
| 2 | 0.0500 | 0.1000 | 0.1500 | 0.1990 | 0.2490 | 0.3000 | 0.3490 | |
| 3 | 0.0500 | 0.1000 | 0.1500 | 0.1990 | 0.2490 | 0.3000 | 0.3490 | |
| average | 0.0500 | 0.1000 | 0.1500 | 0.1993 | 0.2493 | 0.3000 | 0.3490 | |
| SD | 0.0000 | 0.0000 | 0.0000 | 0.0006 | 0.0006 | 0.0000 | 0.0000 | |
| negative y | 1 | 0.0500 | 0.1000 | 0.1510 | 0.2000 | 0.2500 | 0.3010 | 0.3500 |
| 2 | 0.0500 | 0.1000 | 0.1500 | 0.2010 | 0.2500 | 0.3000 | 0.3500 | |
| 3 | 0.0500 | 0.1000 | 0.1500 | 0.2000 | 0.2510 | 0.3010 | 0.3500 | |
| average | 0.0500 | 0.1000 | 0.1503 | 0.2003 | 0.2503 | 0.3006 | 0.3500 | |
| SD | 0.0000 | 0.0000 | 0.0006 | 0.0006 | 0.0006 | 0.0006 | 0.0000 | |
| Axis | Iteration | Error Values with Misalignment Distance (%) | ||||||
|---|---|---|---|---|---|---|---|---|
| 0.0500 | 0.1000 | 0.1500 | 0.2000 | 0.2500 | 0.3000 | 0.3500 | ||
| positive x | 1 | 0.00 | 0.00 | 0.00 | 0.00 | 0.00 | 0.33 | 0.00 |
| 2 | 0.00 | 0.00 | 0.67 | 0.00 | 0.00 | 0.33 | 0.00 | |
| 3 | 2.00 | 0.00 | 0.00 | 0.00 | 0.40 | 0.00 | 0.00 | |
| average | 0.67 | 0.00 | 0.22 | 0.00 | 0.13 | 0.00 | 0.00 | |
| negative x | 1 | 0.00 | 0.00 | 0.67 | 0.50 | 0.00 | 0.33 | 0.00 |
| 2 | 2.00 | 0.00 | 0.00 | 0.00 | 0.00 | 0.00 | 0.00 | |
| 3 | 2.00 | 0.00 | 0.00 | 0.00 | 0.00 | 0.33 | 0.00 | |
| average | 1.33 | 0.00 | 0.22 | 0.17 | 0.00 | 0.00 | 0.00 | |
| positive y | 1 | 0.00 | 0.00 | 0.00 | 0.00 | 0.00 | 0.00 | 0.29 |
| 2 | 0.00 | 0.00 | 0.00 | 0.50 | 0.40 | 0.00 | 0.29 | |
| 3 | 0.00 | 0.00 | 0.00 | 0.50 | 0.40 | 0.00 | 0.29 | |
| average | 0.00 | 0.00 | 0.00 | 0.33 | 0.27 | 0.00 | 0.29 | |
| negative y | 1 | 0.00 | 0.00 | 0.67 | 0.00 | 0.00 | 0.33 | 0.00 |
| 2 | 0.00 | 0.00 | 0.00 | 0.50 | 0.00 | 0.00 | 0.00 | |
| 3 | 0.00 | 0.00 | 0.00 | 0.00 | 0.40 | 0.33 | 0.00 | |
| average | 0.00 | 0.00 | 0.22 | 0.17 | 0.13 | 0.22 | 0.00 | |
| Parameter | [17] | [18] | [19] | [20] | This Work |
|---|---|---|---|---|---|
| Power | - | - | - | - | 3.7 kVA |
| Coil adjustment | receiver coil | receiver coil | receiver coil | transmitter coil | transmitter coil |
| Air gap between the coils | 0.10 m | - | 0.10 m | - | 0.15 m |
| Determining | magnetic flux density | WPT efficiency | magnetic flux density | communication | magnetic flux density and wireless communication |
| Application | EV | EV | AEV | mobile devices | EV |
Disclaimer/Publisher’s Note: The statements, opinions and data contained in all publications are solely those of the individual author(s) and contributor(s) and not of MDPI and/or the editor(s). MDPI and/or the editor(s) disclaim responsibility for any injury to people or property resulting from any ideas, methods, instructions or products referred to in the content. |
© 2026 by the authors. Published by MDPI on behalf of the World Electric Vehicle Association. Licensee MDPI, Basel, Switzerland. This article is an open access article distributed under the terms and conditions of the Creative Commons Attribution (CC BY) license.
Share and Cite
Jeebklum, P.; Imura, T.; Sumpavakup, C. Improving Coil Misalignment Performance in Wireless Power Transfer for Electric Vehicles Using Magnetic Flux Density Analysis. World Electr. Veh. J. 2026, 17, 81. https://doi.org/10.3390/wevj17020081
Jeebklum P, Imura T, Sumpavakup C. Improving Coil Misalignment Performance in Wireless Power Transfer for Electric Vehicles Using Magnetic Flux Density Analysis. World Electric Vehicle Journal. 2026; 17(2):81. https://doi.org/10.3390/wevj17020081
Chicago/Turabian StyleJeebklum, Pharida, Takehiro Imura, and Chaiyut Sumpavakup. 2026. "Improving Coil Misalignment Performance in Wireless Power Transfer for Electric Vehicles Using Magnetic Flux Density Analysis" World Electric Vehicle Journal 17, no. 2: 81. https://doi.org/10.3390/wevj17020081
APA StyleJeebklum, P., Imura, T., & Sumpavakup, C. (2026). Improving Coil Misalignment Performance in Wireless Power Transfer for Electric Vehicles Using Magnetic Flux Density Analysis. World Electric Vehicle Journal, 17(2), 81. https://doi.org/10.3390/wevj17020081

