Next Article in Journal
Battery Charging Simulation of a Passenger Electric Vehicle from a Traction Voltage Inverter with an Integrated Charger
Previous Article in Journal
An Optimal Multi-Zone Fast-Charging System Architecture for MW-Scale EV Charging Sites
 
 
Font Type:
Arial Georgia Verdana
Font Size:
Aa Aa Aa
Line Spacing:
Column Width:
Background:
Article

Research on Decision of Echelon Utilization of Retired Power Batteries Under Government Regulation

by
Xudong Deng
1,
Xiaoyu Zhang
1,
Yong Wang
1,2,3,* and
Lihui Wang
2
1
School of Management, Wuhan University of Science and Technology, Wuhan 430080, China
2
Department of Production Engineering, KTH Royal Institute of Technology, 114 28 Stockholm, Sweden
3
Center for Service Science and Engineering, Wuhan University of Science and Technology, Wuhan 430065, China
*
Author to whom correspondence should be addressed.
World Electr. Veh. J. 2025, 16(7), 390; https://doi.org/10.3390/wevj16070390
Submission received: 13 June 2025 / Revised: 4 July 2025 / Accepted: 7 July 2025 / Published: 10 July 2025

Abstract

With the rapid development of new energy vehicles, the echelon utilization of power batteries has become a key pathway to promoting efficient resource recycling and environmental sustainability. To address the limitation of the existing studies that overlook the dynamic strategic interactions among multiple stakeholders, this paper constructs a tripartite evolutionary game model involving the government, battery recycling enterprises, and consumers. By incorporating consumers’ battery usage levels into the strategy space, the model captures the behavioral evolution of all these parties under bounded rationality. Numerical simulations are conducted to analyze the impact of government incentives and penalties, consumer usage behaviors, and enterprise recycling modes on system stability. The results show that a “low-subsidy, high-penalty” mechanism can more effectively guide enterprises to prioritize echelon utilization and that moderate consumer usage significantly improves battery reuse efficiency. This study enriches the application of the evolutionary game theory in the field of battery recycling and provides quantitative evidence and practical insights for policy formulation.

1. Introduction

With the intensifying challenges of global climate change and energy shortages, the green transformation of the automotive industry has become a strategic priority for national energy security and sustainable development. Due to their significant advantages in energy conservation and emissions reduction, new energy vehicles (NEVs) are gradually becoming an important development direction for the global automotive industry. Since 2014, China has vigorously promoted the large-scale development of NEVs, resulting in a rapid increase in market penetration [1]. By 2023, China’s NEV production and sales reached 9.5728 million and 9.4812 million units, respectively, representing year-on-year growth rates of 36.16% and 38.25%. This marks the ninth consecutive year China has ranked first globally, establishing the country as the world’s largest producer and consumer of NEVs [2].
In the new energy vehicle (NEV) industry chain, power batteries are not only a core component, but also play a critical role in cost control and environmental performance. Currently, the commonly used power battery types include nickel–cadmium batteries, nickel–metal hydride batteries, lead–acid batteries, and lithium-ion batteries, among which lithium-ion batteries have gradually become dominant due to their high energy density and long cycle life [3]. After retirement, these batteries can be subjected to either echelon utilization or resource recovery based on their remaining capacity. From the perspective of echelon utilization, power batteries are considered retired when their capacity falls below 80% of the original, making them unsuitable for vehicle use. Batteries with 20–80% remaining capacity can be repurposed for low-load applications, such as home energy storage systems, low-speed electric vehicles, and telecom base stations. Those with less than 20% capacity require dismantling and smelting to recover valuable metals and raw materials [4].
It is estimated that by 2025, the cumulative volume of retired power batteries in China will reach 134.49 GWh. If not properly handled, this could result in the significant waste of critical metals such as nickel and cobalt [5], as well as serious environmental pollution and safety risks due to toxic electrolytes and their high residual voltage [6]. The traditional disposal methods, such as landfilling and incineration, pose substantial environmental hazards. In contrast, efficient recycling and reasonable echelon utilization not only support a closed-loop resource cycle, but also help reduce China’s reliance on imported raw materials for batteries [7]. Therefore, establishing a standardized, efficient, and sustainable power battery recycling system has become a pressing issue for the continued development of the NEV industry.
To better understand the challenges facing power battery recycling, it is essential to review the current state of recycling system development. Major European countries have generally established closed-loop battery management systems centered on the Extended Producer Responsibility (EPR) principle, which requires battery manufacturers and vehicle producers to assume responsibility for the recycling and reuse of retired batteries. For example, Germany has implemented a nationwide recycling system through federal regulations, achieving a compliant recycling rate of over 85% for power batteries, while countries such as Norway and Sweden have surpassed 90% efficiency [8].
In the United States, a combination of local legislation and market-based incentives has been adopted to promote the development of the recycling industry. Financial subsidies and a recycling credit system encourage businesses to engage in both the echelon utilization and resource recovery of retired batteries. However, coordination gaps and weaknesses in battery traceability in some states have led to uneven recycling performances. In Asia, Japan has established clear responsibilities for battery disposal through its Battery Recycling Act and adopted a centralized management system for highly polluting products. South Korea has focused on improving the efficiency of resource recovery technologies.
In contrast, China initially built a recycling network led by manufacturers and supported by regulatory platforms. A series of policy documents, such as the Interim Measures for the Administration of the Recycling and Utilization of New Energy Vehicle Power Batteries, were issued. Nevertheless, the overall system still faces challenges, including limited regulatory coverage, high technological costs, and poor participation from enterprises [9,10]. According to the incomplete statistics, the actual recycling rate of retired power batteries in China was below 50% in 2023. A portion of batteries entered the grey market through informal channels, posing significant environmental and resource risks [11]. This situation highlights the urgent need to improve the coordination between incentives and constraints at the institutional level in order to guide stakeholders toward more efficient and compliant recycling behaviors [12].
A review of the existing studies shows that the academic community has established a preliminary theoretical framework for power battery recycling mechanisms, covering various models, such as closed-loop supply chains, carbon incentive mechanisms, and deposit refund policies. However, most of these studies focus on bilateral game relationships or static optimization analyses, which fall short in capturing the behavioral evolution of enterprises, consumers, and governments under the conditions of incomplete information. In practice, recycling enterprises face trade-offs between cost and risk, consumers retain significant autonomy in battery usage, and governments operate with limited regulatory resources. The interactions among these three stakeholders are characterized by dynamic adjustments, bounded rationality, and strategic interdependence. Therefore, there is an urgent need to construct a dynamic game framework involving all three parties to systematically assess how different policy combinations influence behavioral evolution and system stability, thus providing a theoretical basis for institutional optimization.
Accordingly, this study focuses on the following three aspects:
(1)
A tripartite evolutionary game model is developed to capture the interactions among recycling enterprises, consumers, and the government. Unlike the previous studies, this model incorporates the battery usage level of providers as a key factor in its formulation.
(2)
Departing from the traditional single-factor analyses, this study employs numerical simulations to construct a dynamic evolutionary model. By setting multi-level combinations of government subsidies and penalties, it systematically quantifies the system’s evolutionary trajectory under varying policy intensities, offering precise quantitative insights for policy design. Moreover, this study moves beyond the conventional view of consumers as passive recipients, integrating complex consumer behavior patterns into the system evolution model. Through simulation, it reveals the impact of consumer behavior on system equilibrium and proposes evidence-based consumer guidance strategies, providing a novel approach for policy design and market regulation.
(3)
This research not only enriches the theoretical understanding of power battery recycling, but also offers strong practical implications. By uncovering the conflicts of interest and cooperation mechanisms in the recycling process, it provides theoretical and practical support for governments to formulate sound recycling policies, for recycling enterprises to optimize their strategies, and for consumers to enhance their environmental awareness.

2. Literature Review

2.1. Research on Power Battery Recycling

With the intensifying global warming and growing energy shortages, academic research on power battery recycling and echelon utilization has deepened significantly. Liu et al. [13] (2025), using the game theory, analyzed the role of government intervention and supply chain cooperation. Their findings suggest that both vertical and horizontal cooperation help improve recycling rates, while the effectiveness of deposit subsidy policies is limited. Stronger subsidy incentives are needed, and optimal social welfare can be achieved under certain cooperative scenarios. Tang et al. [14] (2024) further showed that under a deposit policy, the recycling model led by electric vehicle manufacturers performs better in terms of increasing the recycling rates and reducing the environmental impact.
Yan et al. [8] (2024) developed three pricing models for closed-loop supply chains and explored the effects of echelon utilization and Extended Producer Responsibility (EPR) policies. They found that when the recycling revenues are low, echelon utilization can enhance the overall profitability; while the EPR policies improve environmental performance, they reduce manufacturers’ profits. Echelon utilization alone proves most effective in enhancing consumer welfare.
Zhu et al. [15] (2024) employed a Stackelberg game model to study the impact of government policies on battery recycling and echelon utilization, finding that a combination of high tax rates and environmental taxes yields the best results. Li et al. [16] (2023), using the game theory, argued that a well-designed deposit refund mechanism can improve the recycling rates. However, high disposal costs may reduce the overall profits, and the optimal recycling alliance model is influenced by the level of market competition.
Zhang et al. [17] (2022) analyzed multi-channel recycling models under carbon trading policies, suggesting that competition among recycling channels and consumer price sensitivity significantly affect the recycling volumes. An increase in carbon pricing and heightened consumer awareness of low-carbon behavior contribute to emissions reduction. Relatedly, Fan et al. [18] (2022) studied the impact of consumer environmental awareness on recycling pricing and supply chain profits, concluding that third-party recycling models are more beneficial, and rising environmental awareness helps boost the total recycling returns.
Sun et al. [19] (2022) developed a model to assess the impact of carbon trading policies on recycling channel selection, finding that battery range and advertising effects exhibit a U-shaped influence on enterprise profits. Yu et al. [20] (2022) provided a review of current lithium-ion battery recycling practices, highlighting the high recovery value of cathode materials and proposing alternative recycling models.
Additionally, Tian et al. [21] (2022) investigated how corporate social responsibility affects recycling channel selection and coordination mechanisms, finding that coordinated decision-making models and equitable profit-sharing contracts are crucial for achieving supply chain alignment. Finally, Lyu et al. [22] (2021) examined the evolution of cooperative models between recycling and echelon utilization entities, recommending integrated strategies to mitigate negative effects during cooperation.

2.2. Research on Echelon Utilization of Power Batteries

Zeng [23] (2025) examined the feasibility of power battery echelon utilization in energy storage systems from both technical and economic perspectives, highlighting that key technologies, such as aging diagnostics and capacity estimation, are critical for large-scale application. Yang et al. [24] (2025), using a life cycle assessment approach, compared various recycling pathways and found that echelon utilization and hydrometallurgical processes offer significant environmental advantages. They also emphasized that optimizing the energy mix can help reduce the environmental burden of the recycling process.
Chu et al. [25] (2025) investigated the impact of government subsidy policies on closed-loop supply chain coordination, proposing a “dual-incentive mechanism” that can simultaneously optimize the economic benefits and the environmental goals. Xing et al. [26] (2024), using a Stackelberg game model, demonstrated that blockchain technology significantly improves battery capacity identification accuracy and transaction trust in the echelon recycling market, particularly under cost-sensitive and highly competitive market conditions.
Meanwhile, Zhang et al. [27] (2024) used content analysis to systematically examine policy tools, finding that central policies tend to favor mandatory instruments, whereas local policies show greater diversity. They recommended increasing the use of interactive policy tools to enhance alignment between policy design and industry needs. Liu et al. [28] (2024) reviewed the development status and challenges of power battery echelon utilization in China, stressing the importance of non-destructive dismantling and rapid classification reassembly technologies and exploring the potential applications of cloud computing and artificial intelligence in full life cycle battery management.
Zhao and Ma [29] (2024) constructed a supply chain model to analyze the role of external environmental factors and coordination contracts, concluding that profit-sharing and cost-allocation mechanisms can effectively enhance recycling volumes and promote supply chain collaboration. Xing and Yao [30] (2024), based on a closed-loop supply chain model, explored the application of blockchain technology in formulating optimal recycling strategies for manufacturers and retailers. Their findings indicate that when the proportion of retired batteries is high, blockchain improves information transmission efficiency and boosts the overall profitability.
Xu et al. [31] (2024) developed a closed-loop supply chain model incorporating low-carbon innovation and applied a Stackelberg game approach to analyze battery recycling and echelon utilization. The results show that low-carbon innovation significantly increases enterprise profits, and the initial recycling rate critically influences supply chain strategies and profitability. Wang et al. [32] (2024) reviewed the key technologies and the safety management issues related to the echelon utilization of retired batteries, evaluated their performance in energy storage systems, and proposed establishing early safety warning mechanisms to ensure process reliability and safety.
In addition, Yang et al. [33] (2024) used scenario analysis to forecast the recycling potential of retired batteries in China, predicting that by 2035, echelon utilization could generate hundreds of billions of CNY in economic benefits and play a significant role in easing resource shortages.

2.3. Research on Evolutionary Game Theory

Wu et al. [34] (2025) developed a tripartite evolutionary game model involving the government, recyclers, and echelon utilization enterprises. They found that government reward and punishment mechanisms can effectively guide enterprise behavior, but the trade-off between punishment delay and regulatory costs must be carefully managed during implementation. Xu et al. [35] (2025) integrated a closed-loop supply chain game model to examine the influence of consumers’ prosocial behavior on recycling innovation, revealing that manufacturers are more responsive to technology subsidies.
Li et al. [36] (2024) used a tripartite evolutionary game model to analyze the impact of government subsidies on enterprises’ low-carbon production and consumers’ low-carbon consumption. Their results suggest that appropriately allocating carbon credits and subsidies can effectively promote low-carbon choices, providing theoretical support for related policy development. Guan et al. [37] (2024) explored how government subsidies and internal supply chain incentives affect the coordinated development of battery recycling and echelon utilization, indicating that increasing remanufacturing profits and utilization efficiency contributes to better resource use.
Addressing the irregularities in China’s lead–acid battery recycling market, Du et al. [38] (2024) recommended that the government enhance policy support and subsidies, while avoiding excessive intervention to foster orderly market development. Zhang et al. [39] (2024), through a tripartite evolutionary game model, analyzed the impact of subsidy reductions on battery recycling. They found that while subsidies significantly boost early-stage profits, the overall returns can continue to grow even after subsidies are reduced.
Luo et al. [40] (2024), from the perspective of innovation alliances, studied cooperation mechanisms in low-carbon agricultural technology innovation. They suggested that enhancing the benefits of collaborative innovation and increasing the cost of default encourages stakeholders to choose joint innovation paths. Shi et al. [41] (2024) developed an evolutionary game model of value co-creation among enterprises, the government, and financial institutions. The study found that collaborative innovation, relaxed regulation, and policy support form the optimal strategy for value co-creation and that increasing government subsidies and financial returns can enhance motivation for innovation.
Tian et al. [42] (2024) constructed a four-party evolutionary game model to explore the pathways and the mechanisms for promoting low-carbon transformation in society. Their findings highlight that positive interaction and moderate policy intervention effectively support low-carbon transitions and that regulators should strengthen early warning systems against rent-seeking behaviors. Liu et al. [43] (2024), based on dynamic subsidy and tax mechanisms, proposed that moderate government intervention and dynamic incentive systems facilitate the rapid convergence to a stable state, with public participation playing a key role in curbing behavioral misconduct.
Wang et al. [44] (2024) analyzed cooperation among the government, consumers, and automobile manufacturers and found that increasing consumer subsidies and enhancing public awareness campaigns can effectively boost recycling participation. Li et al. [45] (2024) examined the impact of various policy tools on formal recycling behavior, identifying recycler subsidies and deposit refund schemes as critical to promoting standardization, while consumer subsidies were found to have a relatively limited effect.
Nie et al. [46] (2024) applied system dynamics to simulate a tripartite game, showing that although high subsidies can motivate strategy changes, they may also lead to dependency. In contrast, low-carbon procurement and carbon trading mechanisms offer more sustainable incentives and support the green transformation of the industry. Zou et al. [47] (2023) analyzed how government incentives and default penalties influence low-carbon technology transfer. They suggested that optimizing cost–benefit distribution and enhancing government incentives can effectively facilitate win–win outcomes among the three parties.

3. Model Assumptions and Parameters

3.1. Problem Description

With the worsening global climate crisis and energy shortages, the new energy vehicle (NEV) industry has become a key strategic pathway for countries aiming to achieve carbon neutrality.
Most existing studies focus on single stakeholders in power battery recycling—such as enterprises or governments—or rely on static economic models, lacking the systematic exploration of the dynamic game behaviors among multiple stakeholders. Given that the echelon utilization of power batteries involves strategic interactions among governments, recycling enterprises, and consumers—each exhibiting bounded rationality—this study adopts an evolutionary game model for analysis.
The model captures the dynamic interdependence among the three parties in terms of regulatory intensity, strategic choices, and usage behaviors. By employing replicator dynamic equations, it simulates the “trial-and-error–learning” process of strategy adjustment, overcoming the limitations of the traditional static models. This dynamic evolutionary perspective, combined with multi-parameter coupling analysis, not only reveals the system’s stable convergence states, but also provides theoretical and practical guidance for multi-stakeholder collaborative governance.
In response to the above issues, this study constructs a tripartite evolutionary game model involving the government, power battery recycling enterprises, and consumers, with a focus on addressing the following core conflicts:
  • The trade-off between economic and environmental considerations in power battery recycling enterprises’ strategy choices: Enterprises must seek an optimal strategy between echelon utilization (a low profit, but a high environmental value) and resource recovery (a high profit, but a low environmental value). Their decisions are significantly influenced by the consumer battery usage levels, government subsidy intensity, and the severity of punishments.
  • The conflict between short-term economic benefits and long-term sustainability in consumer battery usage behavior: Consumers tend to fully deplete batteries to reduce replacement costs. However, over-usage shortens the lifespan of batteries for echelon utilization, leading to resource wastage and increased environmental risks.
  • The contradiction between the incentive effects and implementation costs of government regulatory policies: The government needs to balance the subsidy inputs (economic incentives) and the severity of punishments (environmental constraints) to minimize regulatory costs, while maximizing social welfare.
By introducing consumer battery usage levels (λ1, λ2) as the key parameters and combining numerical simulation to analyze the impact of different initial strategies and policy parameters on the system’s evolutionary trajectory, this study aims to provide theoretical support for the collaborative optimization of the echelon utilization industry chain of power batteries. The research findings not only fill the theoretical gap in the interactive mechanisms among multiple stakeholders from a dynamic, theoretic game perspective, but also offer practical guidance for the government to formulate differentiated subsidy policies, recycling enterprises to optimize their recycling models, and consumers to enhance their environmental awareness. Ultimately, this study contributes to the efficient recycling and sustainable environmental development of power batteries throughout their entire life cycle.

3.2. Basic Assumptions and Parameters

Based on the relationship between the three players, the following hypothesis is proposed, and the relevant parameters are designed:
Assumption 1. The power battery recycling companies, the consumers, and the national market regulators represent participants 1, 2, and 3, respectively. All the participants have limited rationality and information asymmetry.
Assumption 2. The strategic space of power battery recycling enterprises includes priority echelon utilization and resource utilization. The probability of priority echelon utilization is expressed as x, and the probability of resource utilization is expressed as 1 − x, where x ∈ [0, 1]. Consumers’ strategic space includes two choices: appropriate use and total consumption. The probability of moderate utilization is expressed as y, and the probability of total consumption is expressed as 1 − y, where y ∈ [0, 1]. The strategic space of national market regulators consists of two choices: intense supervision and weak supervision. The probability of solid supervision is expressed as z, and the probability of weak supervision is expressed as 1 − z, where z ∈ [0, 1].
Assumption 3. The priority echelon utilization income of power battery recyclers includes echelon utilization income (R1) and resource utilization income (R2). The corresponding costs mainly include echelon utilization costs (C1), such as recovery system construction costs, operation and maintenance costs, collection costs, storage costs, and transportation costs; and other recovery costs, such as inspection, disassembly, and remanufacturing costs (C2). After enterprise testing, retired batteries with low echelon utilization value can be reused as resources. By multiplying the total echelon utilization profit and the total dismantling profit by the echelon utilization ratio (λ) minus the detection and classification cost (Ce), the total profit of the enterprise can be obtained as λ × (R1C1) + (1 − λ) × (R2C2) − Ce. For enterprises, the total profit of resource utilization is the difference between the income obtained from the resource utilization of batteries (R2) and the cost paid by the resource utilization of batteries (C2). C2 mainly includes the recovery cost, dismantling cost, and smelting cost, that is, R2C2.
Assumption 4. Different strategies chosen by enterprises will also impact the provider’s income, such as reducing battery price after echelon utilization, environmental improvement, and psychological benefits to meet consumers’ green consumption needs. The consumer benefit under priority echelon utilization is Rc1, the consumer benefit under resource utilization is Rc2, and the cost of providing batteries is V. The total payoff that can be obtained for the provider is RcV. According to the degree of use of consumers, when consumers use moderately, the battery echelon utilization rate is λ1; When the consumer is fully consumed, the battery echelon utilization rate is λ2. The current power battery recycling market is not mature, and there is an irregular market bidding to recycle batteries, resulting in the specific recovery price being affected by market supply and demand, battery quality, remaining life and performance, and other factors, and there is no precise pricing mechanism. Therefore, according to the current market pricing and development status of power battery recycling, it is assumed that Rc1 > Rc2, λ1 > λ2.
Assumption 5. When the government chooses a robust regulatory strategy, it will incur a regulatory cost C, give a subsidy K1 to the recycling enterprises that choose priority use, give a subsidy K2 to the consumers that choose moderate use, and give a penalty T to the enterprises that choose resource utilization. The green environment, public reputation, and carbon emission reduction benefits obtained by the government in establishing the echelon utilization and resource utilization industries are Rg1 and Rg2 (Rg1 > Rg2), respectively. The overuse of a battery will reduce the return to the original μx.
The parameters are summarized in Table 1 below.

4. Construction of Evolutionary Game Model

4.1. Model Construction

According to the hypothesis, Table 2 shows the hybrid strategy game matrix of the government, the power battery recycling enterprises, and the consumers.

4.2. Analysis of Evolutionarily Stable Strategies of Stakeholders

4.2.1. Analysis of Strategic Stability of Power Battery Recycling Enterprises

The expected income of power battery recycling enterprises is U 11 for priority echelon and resource utilization and U 12 for resource utilization, and the mean anticipated revenue is denoted as U ¯ 1 . The specific formulas are as follows:
U 11 = z K 1 + y ( λ 1 λ 2 ) ( C 2 R 2 C 1 + R 1 ) [ C e + λ 2 ( C 1 R 1 C 2 + R 2 ) + ( C 2 R 2 ) ]  
U 12 = R 2 C 2 z T
U ¯ 1 = x   U 11 + 1 x U 12  
Table 2. Stakeholder strategy game matrix.
Table 2. Stakeholder strategy game matrix.
Power Battery RecyclerGovernment Strong Regulation ZGovernment Weak Supervision 1 − Z
ConsumerConsumer
Appropriate Use yFull Consumption 1 − yAppropriate Use yFull Consumption 1 − y
Priority echelon utilization xλ1 × (R1C1) + (1 − λ1) × (R2C2) − Ce + K1λ2 × (R1C1) + (1 − λ2) × (R2C2) − Ce + K1λ1 × (R1C1) + (1 − λ1) × (R2C2) − Ceλ2 × (R1C1) + (1 − λ2) × (R2C2) − Ce
Rc1V + K2μRc1VRc1VμRc1V
Rg1K1K2CμRg1K1CRg1μRg1
Resource utilization
1 − x
R2C2TR2C2TR2C2R2C2
Rc2V + K2μRc2VRc2VμRc2V
Rg2 + TK2CμRg2 + TCRg2μRg2
The replication dynamic equation and the first derivative of the strategy selection of power battery recyclers are as follows:
F ( x ) = d x d t = x ( U 11 U 1 ) = x ( x 1 ) [ z ( K 1 + T ) + y ( λ 1 λ 2 ) ( C 2 C 1 + R 1 R 2 ) + λ 2 ( C 2 C 1 + R 1 R 2 ) C e ]
F ( x ) x = ( 1 2 x ) [ z ( K 1 + T ) + y ( λ 1 λ 2 ) ( C 2 C 1 + R 1 R 2 ) + λ 2 ( C 2 C 1 + R 1 R 2 ) C e ]
Based on the stability theorem about differential equations, the probability of strategy selection for power battery recyclers in a stable equilibrium state must satisfy the following: F   (   x ) = 0  and F ( x ) x < 0 .
If F ( x ) = 0 , we get x * = 0 , x * = 1 , y * = λ 2 ( C 2 C 1 R 1 R 2 ) + C e ( K 1 + T ) z ( C 2 C 1 + R 1 R 2 ) ( λ 1 λ 2 ) .
When this is obtained, y = y * = λ 2 ( C 2 C 1 R 1 R 2 ) + C e ( K 1 + T ) z ( C 2 C 1 + R 1 R 2 ) ( λ 1 λ 2 ) , and this indicates that F ( x ) = d x d t 0 ; for any probability, the system is stable and will remain invariant over time.
When 0 < y < y * , in order for F ( x ) = 0 and F ( x ) x < 0 , x = 0 represents an evolutionarily stable equilibrium point. Expressly, when the likelihood of consumers opting for appropriate utilization falls below the threshold y*, power battery recyclers will adopt resource utilization as their evolutionarily stable strategy. This strategic choice involves transitioning from primary recycling steps to resource recycling, and the evolutionary trajectory is illustrated in Figure 1b.
When y * < y < 1 , in order for F ( x ) = 0 and F ( x ) x < 0 , x = 1 represents an evolutionarily stable equilibrium. Expressly, if the likelihood of consumers opting for moderate utilization surpasses the threshold y*, power battery recyclers will adopt a strategy of preferential gradient utilization as an evolutionarily stable option. This strategic shift embodies a transition from resource recycling to preferential echelon recycling, as Figure 1c illustrates.
Figure 1 shows the strategy evolution phase of power battery recyclers. The volume of A1 in the phase diagram indicates the probability that the power battery recyclers choose resource utilization, and the volume of A2 indicates the probability that the power battery recyclers choose priority echelon utilization.

4.2.2. Analysis of Consumers’ Strategic Stability

The expected income for moderate utilization is U 21 , the expected income for full consumption is U 22 , and the average expected income is U ¯ 2 . These are representative equations:
U 21 = R c 2 V + K 2 Z + ( R c 1 R c 2 ) x
U 22 = μ R c 2 V + μ x ( R c 1 R c 2 )
U ¯ 2 = y   U 21 + 1 y U 22
The replicator dynamic equation and its first derivative pertain to the process of consumer strategy selection:
F y = d y d t = y ( U 21 U ¯ 1 ) = y y 1 [ z K 2 + x ( 1 μ ) ( R c 1 R c 2 ) + R c 2 ( 1 μ ) ]
F ( y ) y = 1 2 y   [ z K 2 + x ( 1 μ ) ( R c 1 R c 2 ) + R c 2 ( 1 μ ) ]
Based on the stability theorem associated with differential equations, the probability of consumer strategy choice in a stable equilibrium state must satisfy the following conditions: F y = 0 and F ( y ) y < 0 .
If F y = 0 , we get y * = 0 , y * = 1 , z * = ( 1 μ ) [ R c 2 + x ( R c 1 R c 2 ) ] K 2 .
When z = z * = ( 1 μ ) [ R c 2 + x ( R c 1 R c 2 ) ] K 2 , we get F y = d y d t 0 , which means that for any probability of y, the system is in a stable state and does not evolve with time.
When 0 < z < z * , in order to make F y = 0 and F ( y ) y < 0 , y = 0 is the evolutional stable point. That is, when the probability of the government choosing strong regulation is lower than z*, consumers will choose sufficient consumption as the evolutionarily stable strategy, and this strategy choice represents the evolution from moderate utilization to sufficient consumption, as shown in Figure 2b.
When z * < z < 1 , y = 1 is the evolution-stable point for F y = 0 and F ( y ) y < 0 . That is, when the probability of the government choosing strong regulation is higher than z*, consumers will choose moderate utilization as the evolutionarily stable strategy, and this strategy choice represents the evolution from full consumption to moderate utilization, as shown in Figure 2c.
According to the model hypothesis, the strategy evolution phase of consumers is shown in Figure 2. The volume of B1 in the phase diagram is the probability that the consumer chooses full consumption, and the volume of B2 is the probability that the consumer chooses moderate utilization.

4.2.3. Analysis of the Government’s Strategic Stability

The expected return when the government chooses the policy of reward and punishment is U 31 , the expected return when it chooses the policy of no reward and punishment is U 32 , and the average expected return is U ¯ 3 . These are representative equations:
U 31 = x y ( 1 μ ) ( R g 1 R g 2 ) + y [ ( 1 μ ) R g 2 K 2 ] + x [ μ ( R g 1 R g 2 ) T K 1 ] + T C + μ R g 2
U 32 = [ R g 2 + ( R g 1 R g 2 ) x ] [ μ + y ( 1 μ ) ]
U ¯ 3 = z   U 31 + 1 z U 32
The replication dynamic equation and first derivative of government strategy selection are as follows:
F ( z ) = z z 1 [ C T + ( K 1 + T ) x + y K 2 ]
F ( z ) z = 2 × z 1 × [ C T + ( K 1 + T ) x + K 2 y ]
According to the stability theorem of differential equation, the probability that the government chooses the policy of reward and punishment is in a stable state must meet the following: F z = 0 and F ( z ) z < 0 .
If F z = 0 , we get z * = 0 , z * = 1 , x * = y K 2 C + T K 1 + T .
When x = x * = y K 2 C + T K 1 + T , F z = d z d t 0 is obtained, indicating that for any probability of z, the system is in a stable state and does not evolve with time.
When 0 < x < x * , in order for F z = 0 and F ( z ) z < 0 , z = 1 is the evolutionarily stable point. That is, when the probability of power battery recyclers choosing priority utilization is lower than x*, the government will choose strong supervision as the evolutionarily stable strategy, and this strategy choice represents the evolution from weak supervision to strong supervision, and the evolution path is shown in Figure 3b.
When x * < x < 1 , in order for F z = 0 and F ( z ) z < 0 , z = 0 is the evolutionarily stable point. That is, when the probability of power battery recyclers choosing priority utilization is higher than x*, the government will choose weak supervision as the evolutionarily stable strategy, and this strategy choice represents the evolution from strong supervision to weak supervision, and the evolution path is shown in Figure 3c.
The evolution phase of the government’s strategy is shown in Figure 3. The volume of C1 in the phase diagram is the probability that the government chooses a strong regulatory policy, and the volume of C2 is the probability that the government chooses a weak regulatory policy.

4.2.4. Stability Analysis of Tripartite Evolutionary Game

By analyzing the stability strategy of the evolutionary game among the three parties of power battery recyclers, consumers, and the government, we can proceed to solving the equations F(x) = 0, F(y) = 0, and F(z) = 0 in order to ascertain the equilibrium point among power battery recyclers, consumers, and the government within the dynamic framework of the evolutionary game. E1(0, 0, 0), E2(1, 0, 0), E3(0, 1, 0), E4(0, 0, 1), E5(1, 1, 0), E6(1, 0, 1), E7(0, 1, 1), E8(1, 1, 1), and E9–15(x, y, z) are equilibrium points. E9–15(x, y, z) represents a chaotic strategic equilibrium within the context of an asymmetric dynamic game, and its stability remains indeterminate [48].
About the remaining eight pure strategy equilibrium points, this study employs the indirect Lyapunov method to assess the stability of the evolutionary game system. It advances the perspective that an equilibrium point is considered asymptotically stable when all the eigenvalues of the Jacobian matrix are negative. Based on the tripartite replication dynamic equations, the Jacobian matrix J can be obtained, which can be expressed as follows:
J = F 1 ( x ) x F 1 ( x ) y F 1 ( x ) z F 2 ( y ) x F 2 ( y ) y F 2 ( y ) z F 3 ( z ) x F 3 ( z ) y F 3 ( z ) z = J 11 J 12 J 13 J 21 J 22 J 23 J 31 J 32 J 33
The specific formulas are as follows:
J 11 = ( 1 2 × x ) { ( C 2 C 1 + R 1 R 2 )   × [ λ 2 + y ( λ 1 λ 2 ) ] C e + ( K 1 + T ) z }  
J 12 = x ( x 1 ) ( C 1 C 2 R 1 + R 2 ) ( λ 1 λ 2 )
J 13 = x ( x 1 ) K 1 + T
J 21 = y ( y 1 ) R c 1 R c 2 λ 1 λ 2
J 22 = 1 2 × y [ z K 2 + x ( R c 1 R c 2 ) ( λ 1 λ 2 ) ]
J 23 = y ( y 1 ) K 2
J 31 = z ( z 1 ) K 1 + T
J 32 = z z 1 K 2
J 33 = 2 z 1 [ ( K 1 + T ) x + C T + y K 2 ]
Table 3 presents the eigenvalues of the Jacobian matrix corresponding to each equilibrium point. Utilizing these eigenvalues, the analysis of the stability of each equilibrium point can be conducted by examining them under various scenarios. Specifically, when all the eigenvalues of the Jacobian matrix possess negative genuine parts, the equilibrium point in question is designated as an asymptotically stable point within the system. When the eigenvalue of the Jacobian matrix is positive, the equilibrium point is unstable.
Combined with the hypothesis and eigenvalues, it can be concluded that E2, E5, and E7 have asymptotic evolutionary stability under specific conditions, as analyzed in the following scenario.
Table 3. Jacobian matrix eigenvalues corresponding to equilibrium points.
Table 3. Jacobian matrix eigenvalues corresponding to equilibrium points.
Equalization Pointλ1, λ2, λ3SymbolAsymptotic Stability
E1(0, 0, 0)TC(×, +, ×)Saddle point/unstable point
Rc2 × (1 − μ)
(C2C1 + R1R2) × λ2Ce
E2(1, 0, 0)CK1(−, +, ×)Saddle point
Rc1 × (1 − μ)
(C1C2R1 + R2) × λ2 + Ce
E3(0, 1, 0)Rc2 × (μ− 1)(−, ×, ×)Scenario 1
TK2C
(C2C1 + R1R2) × λ1Ce
E4(0, 0, 1)CT(−, +, ×)Saddle point/unstable point
K2 + Rc2 × (1 − μ)
(C2C1 + R1R2) × λ2Ce + T + K1
E5(1, 1, 0)CK1K2(−, −, ×)Scenario 2
Rc1 × (μ− 1)
(C1C2R1 + R2) × λ1 + Ce
E6(1, 0, 1)C + K1(+, +, ×)Saddle point/unstable point
K2 + Rc1 × (1 − μ)
(C1C2R1 + R2) × λ2 + CeK1T
E7(0, 1, 1)Rc2 × (μ − 1) − K2(−, ×, ×)Scenario 3
C + K2T
(C2C1 + R1R2) × λ1 + K1Ce + T
E8(1, 1, 1)C + K1 + K2(+, −, ×)Saddle point
Rc1 × (μ − 1) − K2
(C1C2R1 + R2) × λ1 + CeK1T
Scenario 1:
When TK2C < 0 and (C2C1 + R1R2) × λ1Ce < 0, there is only one stable point E3 (0, 1, 0). In this scenario, the benefit of resource utilization by enterprises is better than that of priority echelon utilization, and the subsidy amount K2 given by the government to consumers for moderate utilization is higher. However, for the government, the benefit from solid supervision is worse than that from weak supervision. The steady state of the equilibrium point (0, 1, 0) is for recycling enterprises to choose resource utilization. Consumers choose to provide batteries to recycling enterprises after moderate use. The government exercised weak supervision and did not set a system of rewards and punishments.
Scenario 2:
When (C1C2R1 + R2) × λ1 + Ce < 0, there is only one stable point E5 (1, 1, 0). In this scenario, the income of enterprises choosing priority echelon utilization is higher than that of resource utilization, and enterprises are more inclined to choose priority echelon utilization. Currently, the enterprise selects the steady state of the equilibrium point (1, 1, 0) for priority echelon utilization. Consumers choose to provide batteries to recycling companies after moderate use. The government exercised weak supervision and did not set a system of rewards and punishments.
Scenario 3:
When C + K2T < 0 and (C2C1 + R1R2) × λ1 + K1Ce + T < 0, there is only one stable point E7 (0, 1, 1). In this scenario, the income of enterprises choosing echelon utilization is lower than that of resource utilization. The government’s income during intense supervision is smaller than that during weak supervision. At this time, the steady state of the equilibrium point (0, 1, 1) is that recycling enterprises choose resource utilization, consumers provide batteries to recycling enterprises after moderate use, and the government implements intense supervision and sets a reward and punishment system.

5. Simulation Analysis

Based on the theoretical derivation of the aforementioned model, this paper employs numerical analysis to verify the stable strategy of the equilibrium point E5(1, 1, 0) in the model. Meanwhile, the influences of different initial conditions, as well as the government’s rewards and punishments, are discussed to provide references for local governments in constructing the power battery recycling industry chain.

5.1. Analysis of System Evolutionary Trajectories

Based on the analysis of the above evolutionary game model, the equilibrium point E5 (1, 1, 0) is considered under its stability conditions, as follows:
(C1C2R1 + R2) × λ1 + Ce < 0, Rc1 > Rc2, λ1 > λ2, Rg1 > Rg2
These conditions ensure both the stability and solvability of the model, allowing for the derivation of reasonable strategy evolution outcomes that reflect the behavioral characteristics of each stakeholder.
On this basis, and with reference to the parameter settings used in the studies by Guan et al. [37] and Wang Wenbin et al. [49], as well as practical factors such as the technical characteristics and service life of power batteries, the initial values for the parameters in the payoff matrix are estimated as shown in Table 4.
By setting the initial strategy probabilities x, y, and z for power battery recycling enterprises, consumers, and the government at 0.1, respectively, the evolutionary stable strategies for the three parties are obtained as shown in Figure 4a. Despite the differing evolutionary rates of power battery recyclers and consumers, both ultimately tend towards cooperation, with consumers exhibiting the fastest evolutionary trend towards stability. Meanwhile, the government evolves towards a state of weak regulation.
To further analyze the impact of different initial strategies of the three entities on the overall evolutionary trajectory, the initial strategy probabilities x, y, and z for local power battery recyclers, consumers, and the government are cyclically selected at intervals of 0.20 within the range [0, 1]. The overall evolutionary trajectories for the three parties are depicted in Figure 4b, where each line represents the evolutionary path under different initial probabilities of x, y, and z. Although the initial strategy probabilities vary among the lines, the evolutionary trajectories still satisfy the stability conditions, that is, the overall evolutionary stable strategy is E7(1, 1, 0). This confirms the correctness of the aforementioned theoretical derivation.

5.2. The Impact of Initial Strategies on Evolutionary Stability

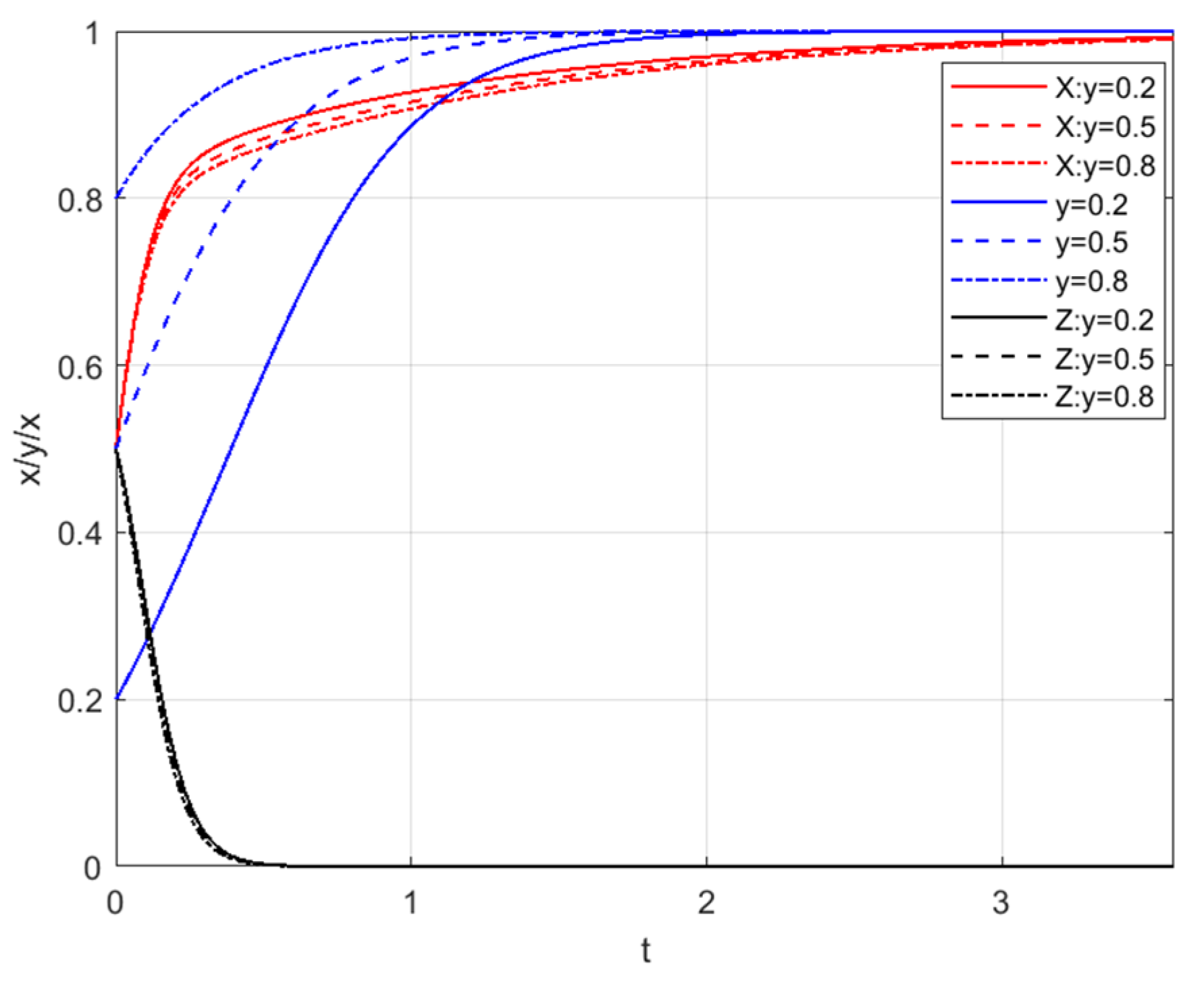
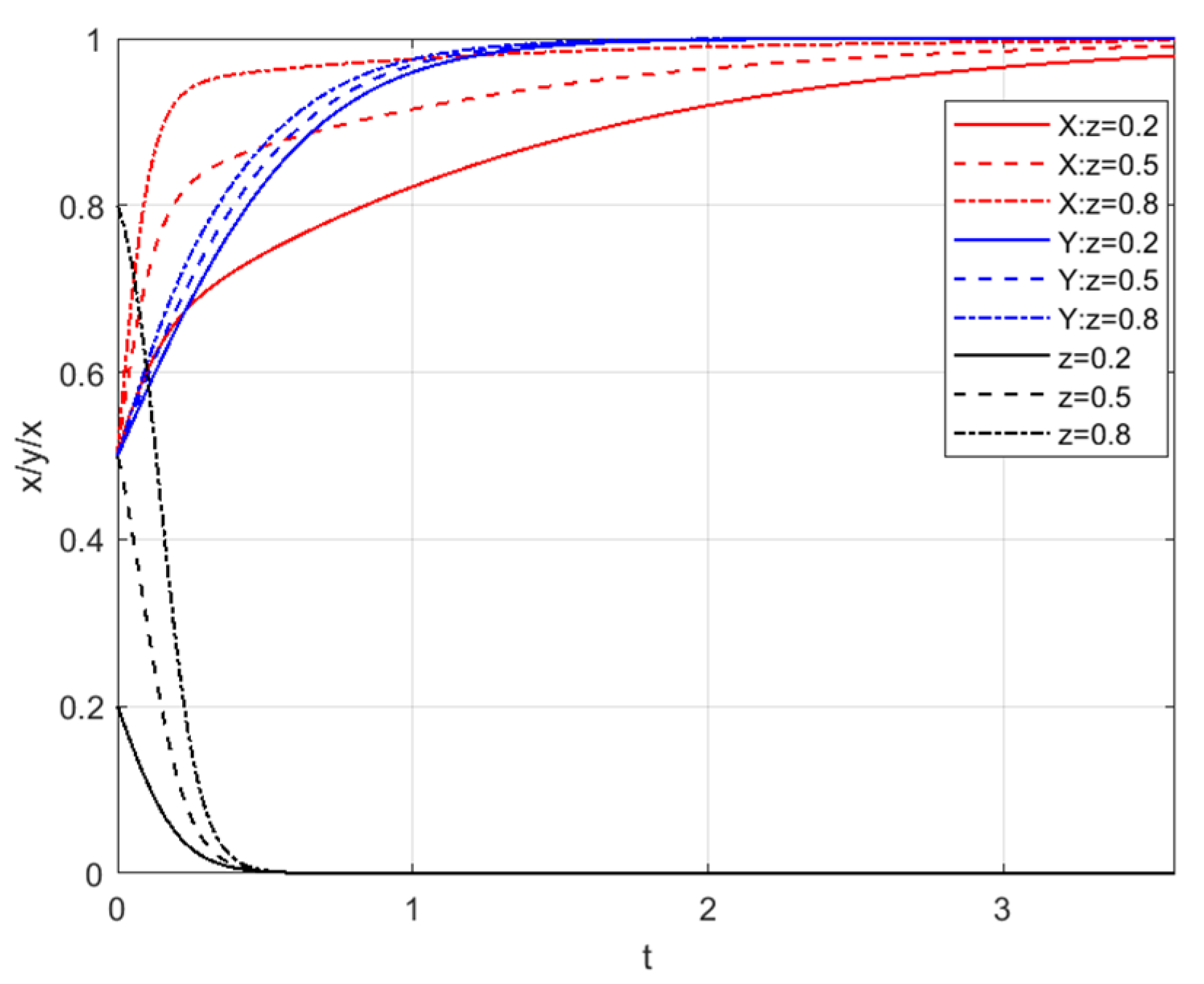
The initial strategy selection probabilities of two parties were fixed at 0.5 while the third party’s probability varied among 0.2, 0.5, and 0.8, generating nine datasets for each scenario. Specifically, when consumers and the government (y and z) were fixed, the effect of power battery recyclers’ (x) initial strategy was analyzed (Figure 5). When recyclers and government (x and z) were fixed, consumers’ (y) impact was studied (Figure 6). Lastly, with recyclers and consumers (x and y) fixed, the government’s (z) influence was examined (Figure 7). These analyses reveal the evolutionary outcomes of the three parties under different initial conditions.
As shown in Figure 5, the initial choice probability of power battery recyclers significantly impacts the government’s evolutionary path. Regardless of whether the probability is low or high, the government’s regulatory strategy tends to evolve towards weak regulation. Moreover, as the initial probability of power battery recyclers increases, the government’s evolution accelerates. This indicates that when power battery recyclers actively engage in echelon utilization, the reduced environmental impact prompts local governments to weaken regulation more quickly. In contrast, consumers’ strategy choices are not significantly affected by the initial probability of power battery recyclers’ strategy selection, and they ultimately evolve towards moderate utilization.
As shown in Figure 6, it is shown that the initial probability of consumers choosing moderate utilization can influence the strategy changes in power battery recycling enterprises, but the effect is relatively small. To be specific, regardless of whether consumers have a low or high initial probability of choosing moderate utilization, the strategy of power battery recycling enterprises will evolve towards prioritizing echelon utilization. Moreover, as the initial probability of consumers choosing moderate utilization increases, the evolutionary rate of power battery recycling enterprises’ strategy also increases. This is attributed to the fact that active moderate utilization by consumers can yield greater benefits for power battery recycling enterprises from the prioritized echelon utilization strategy. However, changes in consumers’ initial strategy selection probability have no significant impact on the government’s strategy choice; the government’s strategy will ultimately evolve towards weak regulation.
As shown in Figure 7, the government’s initial strategy selection probability significantly influences the evolutionary trajectories of power battery recyclers and consumers, with a more pronounced effect observed on the recyclers. Specifically, regardless of whether the government’s initial probability is low or high, the strategies of power battery recyclers and consumers tend to evolve towards prioritized echelon utilization and moderate utilization, respectively. Moreover, as the government’s initial probability increases, the evolutionary rates of both power battery recyclers and consumers accelerate.
When the government’s initial probability of supporting or promoting echelon utilization of power batteries is low, recyclers may adopt a wait-and-see attitude, making limited initial investments due to uncertainty regarding future government support and the actual market demand. However, as the initial probability rises, recyclers immediately perceive strong policy signals and optimistic market prospects, prompting them to rapidly adjust their strategies. They increase recycling efforts and invest in technological innovation to gain a first-mover advantage in the market. In this scenario, the evolutionary rate of recyclers accelerates, driven by the dual forces of policy incentives and market demand.
Although consumers are less directly influenced by government policies, their behavior can still be shaped by policy initiatives. When the government actively promotes the echelon utilization of power batteries and publicizes its importance through various channels, consumers’ environmental awareness gradually strengthens, and their willingness to participate in echelon recycling activities increases. Consequently, as the government’s initial probability rises, the probability of consumers’ strategies evolving towards moderate utilization accelerates, indicating a greater inclination to participate in power battery recycling.
It is worth noting that the evolutionary rate of consumers may be slightly slower than that of recyclers. This is because changing consumer behavior typically requires a more extended period of education and guidance. However, once a social trend and a habit are established, consumer participation is expected to steadily increase.

5.3. Sensitivity Analysis

5.3.1. Impact of Punishment Intensity on Evolutionary Dynamics

To investigate the influence of punishment intensity on the evolutionary equilibrium of local governments and power battery recyclers, the punishment parameter T in the regulatory strategy of local governments was varied, while keeping other parameters constant. This analysis was based on a benchmark value of T = 15. Two scenarios were considered: a low-intensity case with T = 15 and a high-intensity case with T = 20. The evolutionary outcomes for the government and power battery recyclers are illustrated in Figure 8.
Overall, the evolutionary trajectories of the government and power battery recyclers are influenced by the intensity of punishment. Irrespective of the level of punishment intensity, the government entity ultimately evolves towards weak regulation, while power battery recyclers consistently evolve towards prioritizing echelon utilization. However, as the punishment intensity increases, the evolutionary rate of recyclers accelerates. This indicates that higher punishment costs incentivize recyclers to prioritize echelon utilization strategies.
For the government, the evolutionary rate exhibits a non-linear pattern, initially decreasing, and then increasing. When the punishment intensity is low, the regulatory costs incurred by the government significantly exceed the revenue generated from punishments. This imbalance leads to insufficient regulatory intensity. As the punishment intensity increases, the gap between regulatory costs and punishment revenue narrows. This allows the government to have more adequate funding to maintain its regulatory efforts. However, excessively high punishment costs can accelerate the strategy evolution of recyclers, leading to the quicker stabilization of the system. This, in turn, also accelerates the government’s transition to a weaker regulatory intensity.

5.3.2. Impact of Subsidy Intensity on Evolutionary Dynamics

To investigate the influence of subsidy intensity on the evolutionary equilibrium of power battery recyclers and consumers, the reward parameters K1 and K2 in the regulatory strategy of local governments were varied. This analysis was based on a benchmark scenario, where K1 = 5 and K2 = 2. Three scenarios were considered: a low-subsidy case with K1 = 2 and K2 = 1, a benchmark case, and a high-subsidy case with K1 = 8 and K2 = 5. The evolutionary outcomes for power battery recyclers and consumers are illustrated in Figure 9.
As shown in Figure 9a, the evolution rate of the probability of power battery recyclers adopting prioritized echelon utilization initially increases with the subsidy intensity, but eventually evolves in the opposite direction over time. This suggests that when the government implements a regulatory mechanism that combines punishment and subsidies, blindly increasing subsidies can be counterproductive and may actually impede the evolutionary speed of power battery recyclers.
Figure 9b indicates that although the convergence rate of consumer evolution is proportional to the subsidy intensity, the impact of subsidy intensity on consumer behavior is relatively minor.

5.3.3. Impact of Government’s Singular Regulatory Approach on the Evolution of Power Battery Recyclers

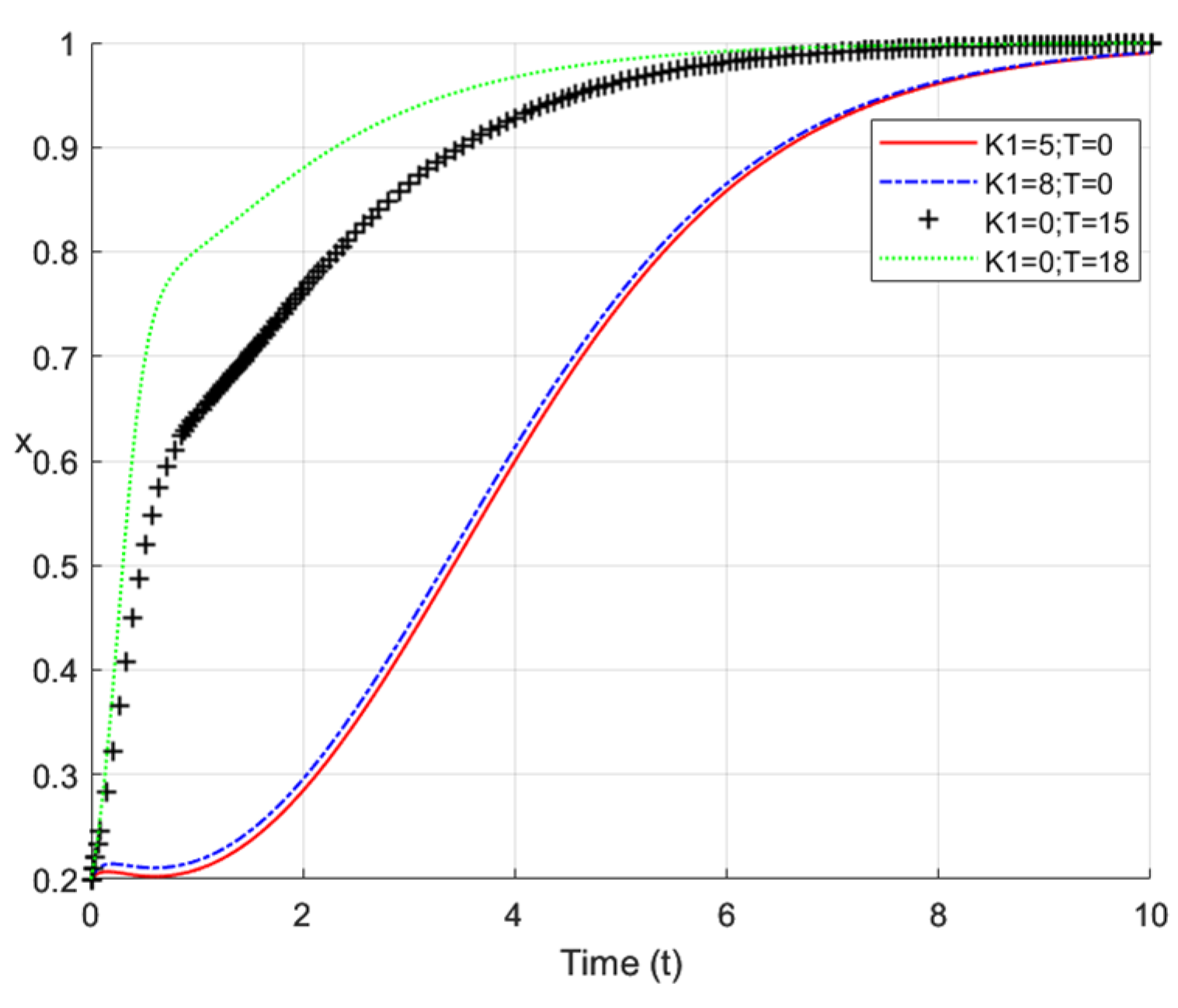
To comprehensively compare the effects of punishment and subsidy, as individual regulatory tools implemented by local governments, on the evolution of power battery recyclers, four distinct composite scenarios were designed and analyzed. These scenarios included the following: (1) a subsidy without punishment, (2) a high subsidy without punishment, (3) no subsidy with punishment, and (4) no subsidy with extreme punishment. The specific parameter settings for these scenarios were as follows: (1) K1 = 5, T = 0, (2) K1 = 8, T = 0, (3) K1 = 0, T = 15, and (4) K1 = 0, T = 18. The evolutionary strategies of power battery recyclers under these scenarios are illustrated in Figure 10.
As shown in Figure 10, when local governments employ either a punishment or subsidy alone without adjusting the intensity of the strategy, power battery recyclers tend to choose the strategy of prioritizing echelon utilization. However, recyclers exhibit different sensitivities to subsidies and punishments. An increase in either subsidy or punishment intensity accelerates the evolution of recyclers towards prioritizing echelon utilization. Compared to subsidies, recyclers are more sensitive to punishment. To avoid punishment, recyclers are more likely to accelerate their transformation into echelon utilization enterprises.
Overall, when the government adopts a singular regulatory approach, a strategy of “no subsidy with high punishment” can be effective. This approach can achieve system stabilization at a lower cost by leveraging the higher sensitivity of recyclers to punishment.

5.3.4. Impact of Power Battery Utilization Level on Evolutionary Dynamics

To comprehensively compare the effects of consumer battery utilization intensity on the evolutionary strategies of governments and power battery recyclers, four distinct composite scenarios with varying levels of moderate and intensive utilization and echelon utilization recycling rates were designed. The specific parameter settings for these scenarios were as follows: (1) λ1 = 0.8, λ2 = 0.5, (2) λ1 = 0.6, λ2 = 0.5, (3) λ1 = 0.8, λ2 = 0.3, and (4) λ1 = 0.6, λ2 = 0.3. The evolutionary strategies of power battery recyclers and governments under these scenarios are illustrated in Figure 11.
As shown in Figure 11a, under high echelon utilization recycling rates, the government gradually withdraws from the market, allowing for battery recycling to be driven by market competition. This approach not only reduces the government regulatory costs, but also enhances corporate resource allocation efficiency and innovation capabilities through competition, ultimately leading to more reasonable returns for consumers. However, the long-term overuse of power batteries reduces the echelon utilization recycling rate. The extensive resource-based recycling of batteries leads to resource wastage and environmental pollution, prompting the government to increase the regulatory intensity.
For power battery recyclers, as shown in Figure 11b, a higher echelon utilization rate results in higher corporate profits, incentivizing them to strengthen echelon recycling efforts. When consumers overuse batteries, the profits from echelon utilization decrease, causing recyclers to gradually shift their strategies towards resource-based recycling. In response, the government suddenly increases the regulatory intensity. To comply, power battery recyclers enhance echelon utilization. However, when the government gradually reduces regulatory intensity, recyclers revert to resource-based recycling, leading to fluctuations in their strategies and less willingness.
In summary, overuse by consumers not only fails to provide reasonable returns for consumers, but also prevents the market from forming a spontaneous green recycling loop, resulting in significant resource wastage.

6. Conclusions and Policy Recommendations

6.1. Conclusions

This study constructs an evolutionary game model involving the government, power battery recycling enterprises, and consumers to analyze their strategic interactions and dynamic evolution in the echelon utilization of retired power batteries from new energy vehicles. The findings highlight the strong interdependence among stakeholders, shaped by government regulation and incentive policies. The main conclusions are as follows:
Recycling enterprises tend to prioritize echelon utilization over direct resource recovery to better align with environmental objectives, despite potentially lower economic returns. Proper government subsidies encourage this shift, especially when consumers adopt moderate battery usage, thereby improving the overall utilization rates and reducing the environmental impact.
Consumer behavior is critical to echelon utilization efficiency. Moderate usage prolongs battery life and increases reuse potential, whereas overuse accelerates degradation and environmental risks. Enhancing public awareness and promoting sustainable usage are therefore essential.
The government’s role is vital in designing effective incentives and penalties. Sensitivity analysis identifies the key policy thresholds: Subsidies (K1) above five and penalties (T) above fifteen markedly speed up enterprises’ transition toward echelon utilization. Consumer subsidies (K2) exceeding two significantly boost participation. Recycling firms are more responsive to penalties than subsidies, supporting a “low-subsidy, high-penalty” policy for rapid and cost-effective market transformation.
Policy implementation should proceed in phases: the short-term enforcement of scrapping regulations with basic incentives; a medium-term focus on technological R&D to enhance utilization efficiency; and long-term dynamic policy adjustment alongside consumer education to foster environmental responsibility.
While consumer behavior evolves more gradually, growing environmental awareness and social norms will drive increased participation, reinforcing echelon utilization adoption.
This study acknowledges its limitations. The parameter assumptions reflect the current market and technology conditions and may shift with future developments; the model focuses on the government, enterprises, and consumers, excluding other stakeholders; and it assumes bounded rationality, not fully capturing complex behavioral factors. These limitations introduce avenues for future research.

6.2. Policy Recommendations

Based on the construction of the tripartite evolutionary game model involving the government, recycling enterprises, and consumers, as well as the simulation analysis results, this study proposes the following four policy recommendations from a life cycle management perspective to promote the standardized and efficient development of the power battery recycling and echelon utilization system.
First, a mandatory retirement system for power batteries should be established and improved as soon as possible, with clear standards for battery retirement and defined responsibilities for recycling. The simulation results indicate that in the absence of strict regulatory enforcement, recycling enterprises—lacking information on the residual value of batteries—tend to favor direct material recovery due to cost and risk considerations, thereby limiting the potential for echelon utilization. It is therefore recommended that retirement be mandated when the remaining capacity of a battery falls below 80% or its usage exceeds a specified lifespan (e.g., eight years). A full life cycle traceability platform should be implemented to close the information loop from production and use to recycling. At the same time, market supervision should be strengthened by imposing administrative penalties on the enterprises and the vehicle owners who fail to properly dispose of retired batteries. This would help eliminate informal circulation channels, ensure that batteries are effectively routed into compliant recycling networks, and enhance both system controllability and resource utilization efficiency.
Second, based on the sensitivity analysis results, the incentive and penalty mechanisms in the recycling process should be optimized to form a more behaviorally effective policy toolkit. Specifically, numerical simulations reveal that enterprises are significantly more responsive to penalties than to subsidies. Therefore, a “low-subsidy, high-penalty” strategy is recommended to achieve stronger behavioral guidance at a lower fiscal cost. On this basis, it is advised that the ratio between the penalty for prioritizing direct recycling (T) and the subsidy for choosing echelon utilization (K1) should not be lower than 1.5, in order to establish a sufficiently strong deterrent. Additionally, a green credit rating system for enterprises could be introduced to strengthen their long-term commitment to green transformation. Through this combined incentive structure, enterprise strategies can be effectively guided toward stable convergence in favor of echelon utilization, thereby enhancing the overall sustainability of the industry.
Third, at the consumer level, greater emphasis should be placed on their behavioral role in guiding the echelon utilization of power batteries. Specifically, efforts should be made to enhance consumer motivation for moderate battery use and environmental awareness. The game model analysis indicates that consumer usage behavior directly affects the value of echelon recycling; frequent deep discharges significantly reduce the battery’s residual value and compatibility for second-life applications, whereas moderate use helps extend the battery’s lifespan and improve recovery efficiency. Therefore, it is recommended to establish a green usage incentive mechanism targeting consumers. By leveraging battery condition monitoring data, users who consistently maintain good charging and discharging habits can receive monetary rewards or points-based incentives. Platforms can also provide timely notifications to guide consumers in choosing optimal battery replacement timing. Moreover, for users who voluntarily return retired batteries after moderate use, a subsidy of K2 ∈[2, 3] can be provided to create a positive feedback loop of “environmental behavior–economic reward.” The goal is to increase the proportion of consumers practicing moderate battery use to over 65%, thereby fostering a mutually reinforcing green behavior system between consumers and recycling enterprises.
Finally, to ensure cost-effective and technically feasible echelon utilization, it is essential to accelerate the development and deployment of key technologies and supporting infrastructure. The simulation results show that when detection and dismantling costs are too high (e.g., Ce ≥ 0.5 and C1 ≥ 3), enterprises tend to favor direct material recovery, undermining the economic viability of echelon utilization. Thus, priority should be given to advancing critical technologies in the echelon process—such as rapid residual value detection, standardized module reassembly, and optimized non-destructive dismantling techniques—to improve processing efficiency and enhance the accuracy of second-life battery matching. In parallel, industry alliances should be formed to promote unified testing standards and traceability platform development, thereby reducing the information screening costs and decision risks for recycling enterprises. The target is to reduce Ce to below 0.3 and keep C1 under 2.5, thereby enhancing the cost advantage of echelon utilization and improving the market feasibility of the technical pathways.
In conclusion, building an efficient power battery recycling and echelon utilization system requires coordinated efforts from governments, enterprises, and consumers. By integrating behavioral mechanism design, technological and economic support, and institutional development, a closed-loop and stable green recycling network can be formed. The policy recommendations proposed in this study—grounded in the evolutionary game theory and numerical simulation—offer both theoretical rigor and practical feasibility, providing strong support for the sustainable development of power batteries in China’s new energy vehicle sector.

6.3. Model Limitations and Future Research Directions

While the tripartite evolutionary game model developed in this study effectively reveals the strategic evolution patterns in the echelon utilization of power batteries, several limitations remain.
Limitations in Empirical Validation:
The model parameters (e.g., λ1, λ2, and K1) were primarily derived from the literature data and the industry standards (see Section 5.1). Although sensitivity analysis confirmed the robustness of these parameters (see Section 5.3.4), the model lacks empirical calibration using large-scale data on retired batteries (e.g., the distribution of echelon utilization rates under different usage conditions) and actual enterprise-level cost data. Future research could integrate real-world recycling data from firms such as CATL and GEM to develop machine learning models for improved parameter accuracy.
Impact of Simplified Strategy Space:
Consumer behavior in the model is simplified into a binary choice between “moderate use” and “full consumption,” without considering intermediate strategies such as “partial consumption” and “wait-and-see.” Similarly, government regulation is modeled only as “strong” or “weak,” omitting continuous variations in regulatory intensity (e.g., inspection frequency and enforcement strength). While such simplifications facilitate theoretical modeling, they may overlook the influence of more nuanced behavioral patterns on system dynamics. Future studies could apply the fuzzy game theory or differential game approaches to expand the strategic space.
Boundaries of the Bounded Rationality Assumption:
The model assumes that all three stakeholders adjust their strategies through a “trial-and-error learning” process. However, in reality, enterprises may possess more sophisticated forecasting abilities—such as anticipating policy shifts—while consumer decisions may also be shaped by social norms, brand trust, and other non-economic factors. Incorporating concepts from behavioral economics—such as social preferences and cognitive biases—into future models could help enhance the realism of the decision-making mechanisms.
Neglect of Regional Development Disparities in China:
The current model does not explicitly account for significant regional differences across China in terms of infrastructure, economic development, and policy enforcement capacity. For example, the eastern regions have begun to form industrial clusters with large-scale echelon utilization capabilities, whereas the central and western regions face challenges such as sparse recycling networks, high logistics costs, and weak policy enforcement. As a result, the effectiveness of uniform national policies may vary significantly by region. Future research could incorporate regional heterogeneity parameters into the model and construct stratified regional game models to explore differentiated policy responses and co-evolutionary pathways, thereby offering decision support for the region-specific implementation of national echelon utilization strategies.

Author Contributions

Conceptualization, X.D., X.Z. and Y.W.; methodology, X.D., X.Z., Y.W. and L.W.; software, X.Z.; validation, X.D., Y.W. and L.W.; formal analysis, X.D.; investigation, X.D., X.Z., Y.W. and L.W.; resources, X.D., Y.W. and L.W.; data curation, X.D., X.Z., Y.W. and L.W.; writing—original draft preparation, X.D.; writing—review and editing, X.Z., Y.W. and L.W.; visualization, X.Z.; supervision, Y.W.; project administration, Y.W.; funding acquisition, Y.W. and L.W. All authors have read and agreed to the published version of the manuscript.

Funding

This research was funded by The Major Project of Philosophy and Social Science Research in Hubei Province Higher Education Institutions (22ZD046); the Wuhan University of Science & Technology Research Project (2022H20537, 2023H10254, 2024H10109, 2024H10143, 2024H20281); and the Department of Education of Hubei Province Young and Middle-Aged Talents Project (20211102).

Institutional Review Board Statement

Not applicable.

Informed Consent Statement

Not applicable.

Data Availability Statement

Dataset available upon request from the authors.

Conflicts of Interest

The authors declare no conflicts of interest.

References

  1. Wang, J.; Huang, X. Hazards and recycling of spent power batteries. Ecol. Econ. 2021, 37, 5–8. [Google Scholar]
  2. Fang, H.; Chen, H. Current situation and development suggestions for the recycling system of retired power batteries from new energy vehicles. Automob. Parts 2024, 6, 58–61. [Google Scholar]
  3. Hao, S.; Dong, Q.; Li, J. Analysis and trend research on recycling models of spent power batteries based on cost accounting. China Environ. Sci. 2021, 41, 4745–4755. [Google Scholar]
  4. Jiang, Z. Research on Screening and Comprehensive Performance Evaluation Methods for Second-Life Batteries; Beijing Jiaotong University: Beijing, China, 2021. [Google Scholar]
  5. Gu, X.; Zhou, L.; Huang, H.; Shi, X.; Ieromonachou, P. Electric vehicle battery secondary use under government subsidy: A closed-loop supply chain perspective. Int. J. Prod. Econ. 2021, 234, 108035. [Google Scholar] [CrossRef]
  6. Dong, Q.; Tan, Q.; Hao, S.; Li, J.; Liu, J. Analysis of the recycling models and economic feasibility of new energy vehicle power batteries in Beijing. Sci. Technol. Manag. Res. 2020, 40, 219–225. [Google Scholar]
  7. Qiu, Z.; Zheng, Y.; Xu, Y. Recycling subsidy strategy for closed-loop supply chain of new energy vehicle power batteries: An analysis based on evolutionary game theory. Commer. Res. 2020, 8, 28–36. [Google Scholar]
  8. Yan, Y.; Cao, J.; Zhou, Y.; Zhou, G.; Chen, J. Decisions for power battery closed-loop supply chain: Cascade utilization and extended producer responsibility. Ann. Oper. Res. 2024, 1–41. [Google Scholar] [CrossRef]
  9. Zeng, X.; Li, J.; Liu, L. Solving Spent Lithium-Ion Battery Problems in China: Opportunities and Challenges. Renew. Sustain. Energy Rev. 2015, 52, 1759–1767. [Google Scholar] [CrossRef]
  10. Li, X. Research on Recycling Decisions of Power Battery Closed-Loop Supply Chain for Electric Passenger Vehicles under Different Policies; Beijing Jiaotong University: Beijing, China, 2020. [Google Scholar]
  11. Dinger, A.; Martin, R.; Mosquet, X.; Rabl, M.; Rizoulis, D.; Russo, M.; Sticher, G. Batteries for Electric Cars: Challenges, Opportunities, and the Outlook to 2020. Boston Consult. Group 2010, 7, 2017. [Google Scholar]
  12. He, X. Study on Evolutionary Game of Power Battery Recycling Decision Based on Closed-Loop Supply Chain; Jiangxi University of Science and Technology: Ganzhou, China, 2021. [Google Scholar]
  13. Liu, K. How government intervention and supply chain competition and cooperation affect power battery recycling from a game theory perspective? Int. J. Low-Carbon Technol. 2025, 20, 1121–1135. [Google Scholar] [CrossRef]
  14. Tang, J.; Sheng, Z.; Zhao, D. Research on the trade-in modes for electric vehicle power batteries under deposit and fund policies. Int. J. Low-Carbon Technol. 2024, 19, 733–746. [Google Scholar] [CrossRef]
  15. Zhu, J.; Feng, T.; Lu, Y.; Xue, R. Optimal government policies for carbon–neutral power battery recycling in electric vehicle industry. Comput. Ind. Eng. 2024, 189, 109952. [Google Scholar] [CrossRef]
  16. Li, X.; Du, J.; Liu, P.; Wang, C.; Hu, X.; Ghadimi, P. Optimal choice of power battery joint recycling strategy for electric vehicle manufacturers under a deposit-refund system. Int. J. Prod. Res. 2023, 61, 7281–7301. [Google Scholar] [CrossRef]
  17. Zhang, C.; Tian, Y.-X.; Han, M.-H. Recycling mode selection and carbon emission reduction decisions for a multi-channel closed-loop supply chain of electric vehicle power battery under cap-and-trade policy. J. Clean. Prod. 2022, 375, 134060. [Google Scholar] [CrossRef]
  18. Fan, J.; Teng, H.; Wang, Y. Research on recycling strategies for new energy vehicle waste power batteries based on consumer responsibility awareness. Sustainability 2022, 14, 10016. [Google Scholar] [CrossRef]
  19. Sun, Q.; Chen, H.; Long, R.; Li, Q.; Huang, H. Comparative evaluation for recycling waste power batteries with different collection modes based on Stackelberg game. J. Environ. Manag. 2022, 312, 114892. [Google Scholar] [CrossRef]
  20. Yu, W.; Guo, Y.; Shang, Z.; Zhang, Y.; Xu, S. A review on comprehensive recycling of spent power lithium-ion battery in China. Etransportation 2022, 11, 100155. [Google Scholar] [CrossRef]
  21. Tian, T.; Zheng, C.; Yang, L.; Luo, X.; Lu, L. Optimal recycling channel selection of power battery closed-loop supply chain considering corporate social responsibility in China. Sustainability 2022, 14, 16712. [Google Scholar] [CrossRef]
  22. Lyu, X.; Xu, Y.; Sun, D. An evolutionary game research on cooperation mode of the NEV power battery recycling and gradient utilization alliance in the context of China’s NEV power battery retired tide. Sustainability 2021, 13, 4165. [Google Scholar] [CrossRef]
  23. Zeng, J. Technical-economic analysis for cascade utilization of spent power batteries in the energy storage system. J. Energy Storage 2025, 114, 115783. [Google Scholar] [CrossRef]
  24. Yang, J.; Jiang, Q.; Zhang, J. Bridging the regulatory gap: A policy review of extended producer responsibility for power battery recycling in China. Energy Sustain. Dev. 2025, 86, 101697. [Google Scholar] [CrossRef]
  25. Chu, H.; Zhang, W.; Zhu, L. The impact of government policies on the coordination of power battery closed-loop supply chain. J. Clean. Prod. 2025, 519, 145961. [Google Scholar] [CrossRef]
  26. Xing, Q.; Ran, L.; Li, Y.; Zhou, B. Blockchain technology embedded in the power battery for echelon recycling selection under the mechanism of traceability. Sci. Rep. 2024, 14, 15069. [Google Scholar] [CrossRef] [PubMed]
  27. Zhang, H.; Huang, J.; Hu, R.; Zhou, D.; Khan, H.U.R.; Ma, C. Echelon utilization of waste power batteries in new energy vehicles: Review of Chinese policies. Energy 2020, 206, 118178. [Google Scholar] [CrossRef]
  28. Liu, C.; Huang, S.; Fu, Z.; Li, C.; Tao, Y.; Tang, H.; Liao, Q.; Wang, Z. Recycling and echelon utilization of used lithium-ion batteries from electric vehicles in China. Int. J. Electrochem. Sci. 2022, 17, 220658. [Google Scholar] [CrossRef]
  29. Zhao, S.; Ma, C. Research on the coordination of the power battery echelon utilization supply chain considering recycling outsourcing. J. Clean. Prod. 2022, 358, 131922. [Google Scholar] [CrossRef]
  30. Xing, P.; Yao, J. Power battery echelon utilization and recycling strategy for new energy vehicles based on blockchain technology. Sustainability 2022, 14, 11835. [Google Scholar] [CrossRef]
  31. Xu, N.; Xu, Y.; Zhong, H. Pricing Decisions for Power Battery Closed-Loop Supply Chains with Low-Carbon Input by Echelon Utilization Enterprises. Sustainability 2023, 15, 16544. [Google Scholar] [CrossRef]
  32. Wang, Y.; Hu, F.; Wang, Y.; Guo, J.; Yang, Z.; Jiang, F. Revolutionizing the Afterlife of EV Batteries: A Comprehensive Guide to Echelon Utilization Technologies. ChemElectroChem 2024, 11, e202300666. [Google Scholar] [CrossRef]
  33. Yang, D.; Wang, M.; Luo, F.; Liu, W.; Chen, L.; Li, X. Evaluating the recycling potential and economic benefits of end-of-life power batteries in China based on different scenarios. Sustain. Prod. Consum. 2024, 47, 145–155. [Google Scholar] [CrossRef]
  34. Wu, Y.; Sun, Y.; Zhou, Y.; Hu, X. Equilibrium analysis of the tripartite evolutionary game of power battery recycling and utilization. Clean Technol. Environ. Policy 2025, 1–16. [Google Scholar] [CrossRef]
  35. Xu, Y.; Zheng, Y.; Xu, N. NEV battery recycling innovation strategy considering pro-social behavior from the game theory perspective. Sci. Rep. 2025, 15, 16221. [Google Scholar] [CrossRef]
  36. Li, F.; Guo, Y.; Liu, B. Impact of government subsidies and carbon inclusion mechanism on carbon emission reduction and consumption willingness in low-carbon supply chain. J. Clean. Prod. 2024, 449, 141783. [Google Scholar] [CrossRef]
  37. Guan, Y.; He, T.-H.; Hou, Q. Tripartite evolutionary game analysis of power battery cascade utilization under government subsidies. IEEE Access 2023, 11, 66382–66399. [Google Scholar] [CrossRef]
  38. Du, B.; Hou, H.; Xu, H.; Zhang, M. How to solve the problem of irregular recycling of spent lead-acid batteries in China?—An analysis based on evolutionary game theory. J. Clean. Prod. 2023, 421, 138514. [Google Scholar] [CrossRef]
  39. Zhang, H.; Zhu, K.; Hang, Z.; Zhou, D.; Zhou, Y.; Xu, Z. Waste battery-to-reutilization decisions under government subsidies: An evolutionary game approach. Energy 2022, 259, 124835. [Google Scholar] [CrossRef]
  40. Luo, J.; Hu, M.; Huang, M.; Bai, Y. How does innovation consortium promote low-carbon agricultural technology innovation: An evolutionary game analysis. J. Clean. Prod. 2023, 384, 135564. [Google Scholar] [CrossRef]
  41. Shi, T.; Han, F.; Chen, L.; Shi, J.; Xiao, H. Study on value co-creation and evolution game of low-carbon technological innovation ecosystem. J. Clean. Prod. 2023, 414, 137720. [Google Scholar] [CrossRef]
  42. Tian, T.; Sun, S. Low-carbon transition pathways in the context of carbon-neutral: A quadrilateral evolutionary game analysis. J. Environ. Manag. 2022, 322, 116105. [Google Scholar] [CrossRef]
  43. Liu, D.; Feng, M.; Liu, Y.; Wang, L.; Hu, J.; Wang, G.; Zhang, J. A tripartite evolutionary game study of low-carbon innovation system from the perspective of dynamic subsidies and taxes. J. Environ. Manag. 2024, 356, 120651. [Google Scholar] [CrossRef]
  44. Wang, Y.; Dong, B.; Ge, J. How can the recycling of power batteries for EVs be promoted in China? A multiparty cooperative game analysis. Waste Manag. 2024, 186, 64–76. [Google Scholar] [CrossRef]
  45. Li, J.; Wang, Z.; Li, H.; Jiao, J. Which policy can effectively promote the formal recycling of power batteries in China? Energy 2024, 299, 131445. [Google Scholar] [CrossRef]
  46. Nie, S.; Cai, G.; Huang, Y.; He, J. Deciphering stakeholder strategies in electric vehicle battery recycling: Insights from a tripartite evolutionary game and system dynamics. J. Clean. Prod. 2024, 452, 142174. [Google Scholar] [CrossRef]
  47. Zou, C.; Huang, Y.; Hu, S.; Huang, Z. Government participation in low-carbon technology transfer: An evolutionary game study. Technol. Forecast. Soc. Change 2023, 188, 122320. [Google Scholar] [CrossRef]
  48. Friedman, D. A simple testable model of double auction markets. J. Econ. Behav. Organ. 1991, 15, 47–70. [Google Scholar] [CrossRef]
  49. Wang, W.; Liu, Y.; Zhong, L.; Qi, J.; Tong, P. Study on the recycling decision of waste power batteries under subsidy and penalty policies. China Manag. Sci. 2023, 31, 90–102. [Google Scholar] [CrossRef]
Figure 1. Strategy evolution phase diagram of power battery recycling enterprises.
Figure 1. Strategy evolution phase diagram of power battery recycling enterprises.
Wevj 16 00390 g001
Figure 2. Phase diagram of consumer strategy evolution.
Figure 2. Phase diagram of consumer strategy evolution.
Wevj 16 00390 g002
Figure 3. Phase diagram of government strategy evolution.
Figure 3. Phase diagram of government strategy evolution.
Wevj 16 00390 g003
Figure 4. The (“ priority use “, “moderate use”, and “weak regulation”) evolution results.
Figure 4. The (“ priority use “, “moderate use”, and “weak regulation”) evolution results.
Wevj 16 00390 g004
Figure 5. Influence of initial intention change in power battery recyclers on tripartite players.
Figure 5. Influence of initial intention change in power battery recyclers on tripartite players.
Wevj 16 00390 g005
Figure 6. Influence of initial intention change in consumers on tripartite game players.
Figure 6. Influence of initial intention change in consumers on tripartite game players.
Wevj 16 00390 g006
Figure 7. The influence of the change in the government’s initial intention on the tripartite players.
Figure 7. The influence of the change in the government’s initial intention on the tripartite players.
Wevj 16 00390 g007
Figure 8. The influence of penalty intensity on the evolutionary path of the system.
Figure 8. The influence of penalty intensity on the evolutionary path of the system.
Wevj 16 00390 g008
Figure 9. The influence of subsidy intensity on the evolution path of the system.
Figure 9. The influence of subsidy intensity on the evolution path of the system.
Wevj 16 00390 g009
Figure 10. Influence of local government’s single regulatory approach on evolution strategy of power battery recyclers.
Figure 10. Influence of local government’s single regulatory approach on evolution strategy of power battery recyclers.
Wevj 16 00390 g010
Figure 11. Influence of power battery usage on evolution strategy.
Figure 11. Influence of power battery usage on evolution strategy.
Wevj 16 00390 g011
Table 1. Parameter summary table.
Table 1. Parameter summary table.
ArgumentImplication
R1Power battery recyclers echelon the use of battery income
R2Power battery recyclers make use of the benefits of batteries
Rc1The benefits obtained by the provider under the echelon utilization strategy
Rc2The benefits of the provider under the resource utilization strategy
Rg1The benefits of echelon utilization to the government
Rg2Income from resource utilization to the government
C1Power battery recyclers take advantage of battery costs
C2Power battery recyclers pay for the cost of recycling batteries
CePower battery recyclers measure the cost of batteries
CThe cost of heavy government regulation
VThe cost of the battery provided by the consumer
λ1The battery can be used in steps after moderate use
λ2The battery can be used up after full utilization
K1Government subsidies for power battery recyclers when they prioritize their use
K2Government subsidies when consumers use them appropriately
μFully extend the residual coefficient of income
TPower battery recyclers need to pay fines when using resources
Table 4. Empirical simulation values of tripartite evolutionary game.
Table 4. Empirical simulation values of tripartite evolutionary game.
Variable NameVariable ValueVariable NameVariable ValueVariable NameVariable Value
R19λ10.8C13
R28λ20.5C24
Rc14K15Ce0.5
Rc23K22C10
Rg110μ0.3V1
Rg25T15
Disclaimer/Publisher’s Note: The statements, opinions and data contained in all publications are solely those of the individual author(s) and contributor(s) and not of MDPI and/or the editor(s). MDPI and/or the editor(s) disclaim responsibility for any injury to people or property resulting from any ideas, methods, instructions or products referred to in the content.

Share and Cite

MDPI and ACS Style

Deng, X.; Zhang, X.; Wang, Y.; Wang, L. Research on Decision of Echelon Utilization of Retired Power Batteries Under Government Regulation. World Electr. Veh. J. 2025, 16, 390. https://doi.org/10.3390/wevj16070390

AMA Style

Deng X, Zhang X, Wang Y, Wang L. Research on Decision of Echelon Utilization of Retired Power Batteries Under Government Regulation. World Electric Vehicle Journal. 2025; 16(7):390. https://doi.org/10.3390/wevj16070390

Chicago/Turabian Style

Deng, Xudong, Xiaoyu Zhang, Yong Wang, and Lihui Wang. 2025. "Research on Decision of Echelon Utilization of Retired Power Batteries Under Government Regulation" World Electric Vehicle Journal 16, no. 7: 390. https://doi.org/10.3390/wevj16070390

APA Style

Deng, X., Zhang, X., Wang, Y., & Wang, L. (2025). Research on Decision of Echelon Utilization of Retired Power Batteries Under Government Regulation. World Electric Vehicle Journal, 16(7), 390. https://doi.org/10.3390/wevj16070390

Article Metrics

Back to TopTop