Transmission Network Expansion Planning Method Based on Feasible Region Description of Virtual Power Plant
Abstract
1. Introduction
- (1)
- This paper employed the vertex search method to delineate the VPP dispatchable feasible region and constructed the VPP equivalent dispatch model, which explicitly characterizes the maximum charging/discharging power and capacity boundaries of the VPP.
- (2)
- Based on the VPP equivalent dispatch model, this paper proposed a TNEP method that explicitly incorporates the VPP feasible region.
- (3)
- Case study results on the Garver-6 bus and Garver-18 bus systems demonstrate that the rational placement of VPPs can reduce line expansion investment costs, lead to a more reasonable system power flow allocation, and ultimately help improve the economy and security of grid operation.
2. Equivalent Dispatch Model of the Virtual Power Plant
2.1. Equivalent Model of the VPP-Aggregated Feasible Region
2.2. Parameter Extraction Method of the Model
3. Transmission Line Expansion Planning Model Considering Virtual Power Plants
3.1. Objective Function
- Annualized investment cost of newly built transmission lineswhere is the planning period; r is the annual discount rate [28]; is the 0–1 decision variable for the construction investment of expansion line l; is the 0–1 decision variable for the construction investment of expansion line l; is the number of expansion lines l to be built; is the investment cost per unit power length of the expansion line; is the maximum transmission power of expansion line l; is the length of expansion line l; and is the set of planned expansion lines for the transmission network.
- Annual operating cost of the power gridwhere is the number of operating days per year; T is the day-ahead dispatch period, with a value of 24; is the operating cost of generator i at time t; and is the power of generator i at time t.
- Generator operating costwhere is the power generation of generator i at time t; and , , and are the cost coefficients of generator i.
- Annual operating cost of the virtual power plantwhere is the cost paid by the power grid to the virtual power plant; and is the active power of the virtual power plant at time t.
3.2. Constraints
- Power flow constraintswhere and are the active and reactive power of the generator at node i, respectively; and are the active and reactive power of the virtual power plant at node i, respectively; and are the active and reactive power of the load at node i, respectively; U is the voltage magnitude; is the set of nodes adjacent to node i; and are the real and imaginary parts of the admittance between nodes i and j, respectively; and is the voltage phase angle difference between nodes i and j.
- Generator operating constraintswhere and are the maximum active and reactive power of generator i, respectively; and is the maximum ramp rate of generator i.
- Line power flow and nodal voltage constraintswhere is the transmission power of line l at time t; and and are the minimum and maximum voltage magnitudes at node i, respectively.
- The virtual power plant operating constraints are as shown in Formula (1) and will not be repeated here.
- Transmission line expansion constraintswhere is the maximum number of expandable circuits for line l; and is the upper limit of expandable lines for the power grid.
4. Solution Process of the QPSO Algorithm Considering the VPP Feasible Region
5. Results
5.1. VPP Parameter Settings
5.2. Comparison of TNEP for VPPs Connected to Different Nodes
5.3. Load Changes at Nodes in the TNEP Scheme Considering VPP External Characteristics
5.4. Comparison of TNEP Scheme Economics Considering VPP Feasible Region
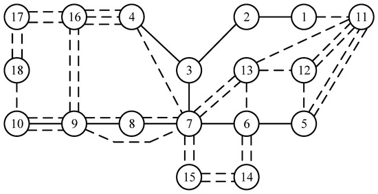
5.5. Analysis of the Garver-18 System Example
6. Conclusions and Future Work
- Considering the VPP dispatchable feasible region in TNEP effectively reduces line expansion investment costs. Furthermore, the VPP can effectively smooth the load curve, contributing to enhanced economy and security of the grid operation.
- Rational VPP placement significantly reduces line expansion investment costs, leading to a more reasonable system power flow distribution and effectively alleviating transmission line congestion.
Author Contributions
Funding
Data Availability Statement
Conflicts of Interest
Abbreviations
| TNEP | Transmission Network Expansion Planning |
| VPP | Virtual Power Plant |
| QPSO | Quantum Particle Swarm Optimization |
| MINLP | Mixed-Integer Nonlinear Programming |
| PV | Distributed Photovoltaics |
| EV | Electric Vehicle |
References
- Li, J.; Huang, Y.; Dou, X.; Wang, S.; Chu, T. Optimal Energy Storage Configuration for Primary Frequency Regulation Performance Considering State of Charge Partitioning. IEEE Trans. Sustain. Energy 2025, 16, 1659–2668. [Google Scholar] [CrossRef]
- Zhou, Y.; Wang, L.; Fan, H.; Wang, Y.; Sun, Y. Research on Interaction between HEMS-VPP and Power System with High Renewable Energy Penetration under Net Zero Emissions: Operation Strategy and Economy Viability Boundary. Appl. Energy 2025, 390, 125773. [Google Scholar] [CrossRef]
- Kong, X.; Lu, W.; Wu, J.; Wang, C.; Zhao, X.; Hu, W.; Shen, Y. Real-Time Pricing Method for VPP Demand Response Based on PER-DDPG Algorithm. Energy 2023, 271, 127036. [Google Scholar] [CrossRef]
- Li, Q.; Yu, X.; Li, H. Batteries: From China’s 13th to 14th Five-Year Plan. eTransportation 2022, 14, 100201. [Google Scholar] [CrossRef]
- Qin, Y.; Rao, Y.; Xu, Z.; Lin, X.; Cui, K.; Du, J.; Ouyang, M. Toward Flexibility of User Side in China: Virtual Power Plant (VPP) and Vehicle-to-Grid (V2G) Interaction. eTransportation 2023, 18, 100291. [Google Scholar] [CrossRef]
- Li, Q.; Wei, F.; Zhou, Y.; Li, J.; Zhou, G.; Wang, Z.; Liu, J.; Yan, P.; Yu, D. A Scheduling Framework for VPP Considering Multiple Uncertainties and Flexible Resources. Energy 2023, 282, 128385. [Google Scholar] [CrossRef]
- Ndlela, N.W.; Moloi, K.; Kabeya, M. Comprehensive Analysis of Approaches for Transmission Network Expansion Planning. IEEE Access 2024, 12, 195778–195815. [Google Scholar] [CrossRef]
- Meneses, M.; Zamora, H.; Macedo, L.H.; Romero, R. Optimizing Transmission Network Expansion Planning Using Search Space Reduction. IEEE Access 2025, 13, 68773–68784. [Google Scholar] [CrossRef]
- Pezzati, N.; Innocenti, E.; Berzi, L.; Delogu, M. Scalable Energy Management Model for Integrating V2G Capabilities into Renewable Energy Communities. World Electr. Veh. J. 2025, 16, 450. [Google Scholar] [CrossRef]
- García-Cerezo, Á.; Baringo, L.; García-Bertrand, R. Expansion Planning of the Transmission Network with High Penetration of Renewable Generation: A Multi-Year Two-Stage Adaptive Robust Optimization Approach. Appl. Energy 2023, 349, 121653. [Google Scholar] [CrossRef]
- García-Cerezo, Á.; García-Bertrand, R.; Baringo, L. Acceleration Techniques for Adaptive Robust Optimization Transmission Network Expansion Planning Problems. Int. J. Electr. Power Energy Syst. 2023, 148, 108985. [Google Scholar] [CrossRef]
- García-Mercado, J.I.; Gutiérrez-Alcaraz, G.; Gonzalez-Cabrera, N.; Hinojosa, V.H. AC Security-Constrained Transmission Network Expansion Planning Problem Using an Improved Binary Particle Swarm Optimization. Electr. Power Syst. Res. 2025, 241, 111297. [Google Scholar] [CrossRef]
- Hong, L.; Wang, G.; Bai, R. A Particle Swarm Optimization-Based Ensemble Metaheuristic for Long-Term Transmission Network Expansion Planning. Appl. Soft Comput. 2025, 179, 113282. [Google Scholar] [CrossRef]
- García-Mercado, J.I.; Gutiérrez-Alcaraz, G.; Gonzalez-Cabrera, N. Improved Binary Particle Swarm Optimization for the Deterministic Security-Constrained Transmission Network Expansion Planning Problem. Int. J. Electr. Power Energy Syst. 2023, 150, 109110. [Google Scholar] [CrossRef]
- Habib, S. A Cumulative Capital Approach for Dynamic Transmission Expansion Planning: Enhancing Cost Efficiency and Grid Development. Expert Syst. Appl. 2025, 292, 128665. [Google Scholar] [CrossRef]
- Alshamrani, A.M.; El-Meligy, M.A.; Sharaf, M.A.F.; Mohammed Saif, W.A.; Awwad, E.M. Transmission Expansion Planning Considering a High Share of Wind Power to Maximize Available Transfer Capability. IEEE Access 2023, 11, 23136–23145. [Google Scholar] [CrossRef]
- Aguado, J.A.; Martin, S.; Pérez-Molina, C.A.; Rosehart, W.D. Market Power Mitigation in Transmission Expansion Planning Problems. Policy Regul. IEEE Trans. Energy Mark. 2023, 1, 73–84. [Google Scholar] [CrossRef]
- Chen, Y.; Song, Z.; Hou, Y. Climate-Adaptive Transmission Network Expansion Planning Considering Evolutions of Resources. IEEE Trans. Ind. Inform. 2024, 20, 2063–2078. [Google Scholar] [CrossRef]
- García-Cerezo, Á.; Baringo, L.; García-Bertrand, R. Robust Transmission Network Expansion Planning Considering Non-Convex Operational Constraints. Energy Econ. 2021, 98, 105246. [Google Scholar] [CrossRef]
- Sasi Bhushan, M.A.; Sudhakaran, M.; Dasarathan, S.; Sowmya Sree, V. Reliability Enhancement of Puducherry Smart Grid System Through Optimal Integration of Electric Vehicle Charging Station–Photovoltaic System. World Electr. Veh. J. 2025, 16, 443. [Google Scholar] [CrossRef]
- Suresh, T.D.; Thirumalai, M.; Hemalatha, R.; Bajaj, M.; Blazek, V.; Prokop, L. Resilient VPP Cost Optimization in DER-Driven Microgrids for Large Distribution Systems Considering Uncertainty during Extreme Events. Energy Convers. Manag. X 2025, 27, 101176. [Google Scholar] [CrossRef]
- Türkoğlu, A.S.; Güldorum, H.C.; Sengor, I.; Çiçek, A.; Erdinç, O.; Hayes, B.P. Maximizing EV Profit and Grid Stability through Virtual Power Plant Considering V2G. Energy Rep. 2024, 11, 3509–3520. [Google Scholar] [CrossRef]
- Wang, Y.; Tong, X.; Xie, Y.; Chen, B.; Tong, N.; Wu, X. A Two-Stage Robust Optimization for EV User-Friendly VPP Participation in Ancillary Service Markets. Int. J. Electr. Power Energy Syst. 2025, 171, 111004. [Google Scholar] [CrossRef]
- Yin, X.; Chen, H.; Liang, Z.; Zhu, Y. A Flexibility-Oriented Robust Transmission Expansion Planning Approach under High Renewable Energy Resource Penetration. Appl. Energy 2023, 351, 121786. [Google Scholar] [CrossRef]
- Wu, Y.; Fang, J.; Ai, X.; Xue, X.; Cui, S.; Chen, X.; Wen, J. Robust Co-Planning of AC/DC Transmission Network and Energy Storage Considering Uncertainty of Renewable Energy. Appl. Energy 2023, 339, 120933. [Google Scholar] [CrossRef]
- Raman, N.S.; Barooah, P. On the Round-Trip Efficiency of an HVAC-Based Virtual Battery. IEEE Trans. Smart Grid 2020, 11, 403–410. [Google Scholar] [CrossRef]
- Guo, L.; Xue, G.; Xu, Z.; Li, H.; Li, J.; Dou, X. Multi-Objective Time-Domain Coupled Feasible Region Construction Method for Virtual Power Plant Considering Global Stability. Energies 2025, 18, 2974. [Google Scholar] [CrossRef]
- Bagheri, A.; Mobayen, S. Optimal Integration of Dynamic Line Rating and Transmission Expansion for Sustainable Grids: A Mixed-Integer Linear Programming Approach with Voltage Stability Constraints. Sustain. Energy Grids Netw. 2025, 44, 101932. [Google Scholar] [CrossRef]
- Zhang, L.; Yin, Q.; Zhang, Z.; Zhu, Z.; Lyu, L.; Hai, K.L.; Cai, G. A Wind Power Curtailment Reduction Strategy Using Electric Vehicles Based on Individual Differential Evolution Quantum Particle Swarm Optimization Algorithm. Energy Rep. 2022, 8, 14578–14594. [Google Scholar] [CrossRef]












| Bus | Max Load/MW | Generator Max Output/MW |
|---|---|---|
| 1 | 80 + j0 | 150 |
| 2 | 240 + j0 | / |
| 3 | 40 + j10 | 360 |
| 4 | 160 + j40 | / |
| 5 | 240 + j0 | / |
| 6 | / | 600 |
| Branch | AC Resistance p.u. | AC Reactance p.u. | Number of Existing Lines (Circuit) | Number of Expandable Lines (Circuit) | Max Capacity (MW) | Length (km) |
|---|---|---|---|---|---|---|
| 1–2 | 0.12 | 0.42 | 1 | 3 | 90 | 40 |
| 1–3 | 0.1 | 0.34 | 0 | 4 | 100 | 38 |
| 1–4 | 0.12 | 0.63 | 1 | 3 | 80 | 60 |
| 1–5 | 0.06 | 0.25 | 1 | 3 | 100 | 20 |
| 1–6 | 0.18 | 0.62 | 0 | 4 | 70 | 68 |
| 2–3 | 0.06 | 0.26 | 1 | 3 | 90 | 20 |
| 2–4 | 0.11 | 0.49 | 1 | 3 | 100 | 40 |
| 2–5 | 0.09 | 0.34 | 0 | 4 | 100 | 31 |
| 2–6 | 0.07 | 0.32 | 0 | 4 | 90 | 30 |
| 3–4 | 0.15 | 0.53 | 0 | 4 | 82 | 59 |
| 3–5 | 0.06 | 0.26 | 1 | 3 | 100 | 20 |
| 3–6 | 0.13 | 0.47 | 0 | 4 | 100 | 48 |
| 4–5 | 0.15 | 0.61 | 0 | 4 | 75 | 63 |
| 4–6 | 0.098 | 0.38 | 0 | 4 | 90 | 30 |
| 5–6 | 0.12 | 0.62 | 0 | 4 | 78 | 61 |
| ES | Data | MT | Data |
|---|---|---|---|
| Bus | {2,5,8} | Bus | {1,2,3,4,6,7,8} |
| {6,4,5} (MW) | {20,20,24,24,20,20,20} (MW) | ||
| {10.8,7.2,9} (MWh) | {6,6,6,4,5,5,5} (MW/h) | ||
| {1.2,0.8,1} (MWh) | / | / |
| Scenario | Garver6-S1 | Garver6-S2 | Garver6-S3 |
|---|---|---|---|
| Line Expansion Results | 4–6 (3) 2–3 (3) 3–5 (2) | 2–6 (3) 3–5 (2) | 4–6 (3) 2–3 (3) 3–5 (1) |
| Annualized Line Investment Cost (Billion CNY) | 1.09 | 0.76 | 0.97 |
| Annual Grid Operating Cost (Billion CNY) | 12.02 | 12.26 | 12.19 |
| Total Cost (Billion CNY) | 13.11 | 13.02 | 13.16 |
| Scenario | Garver18-S1 | Garver18-S2 | Garver18-S3 | Garver18-S4 |
|---|---|---|---|---|
| Line Expansion Results | 7–8 (1) 8–9 (1) 9–10 (2) 1–11 (1) 5–12 (1) 6–14 (2) 7–13 (1) 9–16 (1) 14–15 (1) 16–17 (2) 17–18 (1) | 9–10 (2) 1–11 (1) 4–16 (1) 5–12 (1) 6–14 (2) 7–9 (1) 7–13 (1) 12–13 (1) 14–15 (1) 16–17 (2) 17–18 (1) | 9–10 (2) 1–11 (1) 4–16 (1) 5–11 (1) 5–12 (1) 6–13 (1) 6–14 (1) 7–9 (1) 10–18 (1) 14–15 (1) 16–17 (1) 17–18 (1) | 7–8 (1) 8–9 (1) 9–10 (1) 1–11 (1) 5–12 (1) 6–14 (2) 7–13 (1) 9–16 (2) 10–18 (1) 14–15 (1) 17–18 (2) |
| Annualized Line Investment Cost (Billion CNY) | 23.65 | 24.45 | 21.86 | 24.15 |
| Annual Grid Operating Cost (Billion CNY) | 34.81 | 31.85 | 32.71 | 32.71 |
| Total Cost (Billion CNY) | 58.46 | 56.30 | 54.57 | 56.86 |
Disclaimer/Publisher’s Note: The statements, opinions and data contained in all publications are solely those of the individual author(s) and contributor(s) and not of MDPI and/or the editor(s). MDPI and/or the editor(s) disclaim responsibility for any injury to people or property resulting from any ideas, methods, instructions or products referred to in the content. |
© 2025 by the authors. Published by MDPI on behalf of the World Electric Vehicle Association. Licensee MDPI, Basel, Switzerland. This article is an open access article distributed under the terms and conditions of the Creative Commons Attribution (CC BY) license (https://creativecommons.org/licenses/by/4.0/).
Share and Cite
Guo, L.; Xue, G.; Xu, Z.; Niu, W.; Wang, C.; Li, J.; Li, H.; Dou, X. Transmission Network Expansion Planning Method Based on Feasible Region Description of Virtual Power Plant. World Electr. Veh. J. 2025, 16, 590. https://doi.org/10.3390/wevj16110590
Guo L, Xue G, Xu Z, Niu W, Wang C, Li J, Li H, Dou X. Transmission Network Expansion Planning Method Based on Feasible Region Description of Virtual Power Plant. World Electric Vehicle Journal. 2025; 16(11):590. https://doi.org/10.3390/wevj16110590
Chicago/Turabian StyleGuo, Li, Guiyuan Xue, Zheng Xu, Wenjuan Niu, Chenyu Wang, Jiacheng Li, Huixiang Li, and Xun Dou. 2025. "Transmission Network Expansion Planning Method Based on Feasible Region Description of Virtual Power Plant" World Electric Vehicle Journal 16, no. 11: 590. https://doi.org/10.3390/wevj16110590
APA StyleGuo, L., Xue, G., Xu, Z., Niu, W., Wang, C., Li, J., Li, H., & Dou, X. (2025). Transmission Network Expansion Planning Method Based on Feasible Region Description of Virtual Power Plant. World Electric Vehicle Journal, 16(11), 590. https://doi.org/10.3390/wevj16110590

