Improved Car-Following Model for Connected Vehicles on Curved Multi-Lane Road
Abstract
1. Introduction
2. The Extended Car-Following Model
- (1)
- The vehicle itself is able to sense the driving information of multiple vehicles around it and interact with the information;
- (2)
- The information interaction process is secure and in real time.
3. Stability Analysis
3.1. Linear Stability Analysis
3.2. Nonlinear Stability Analysis
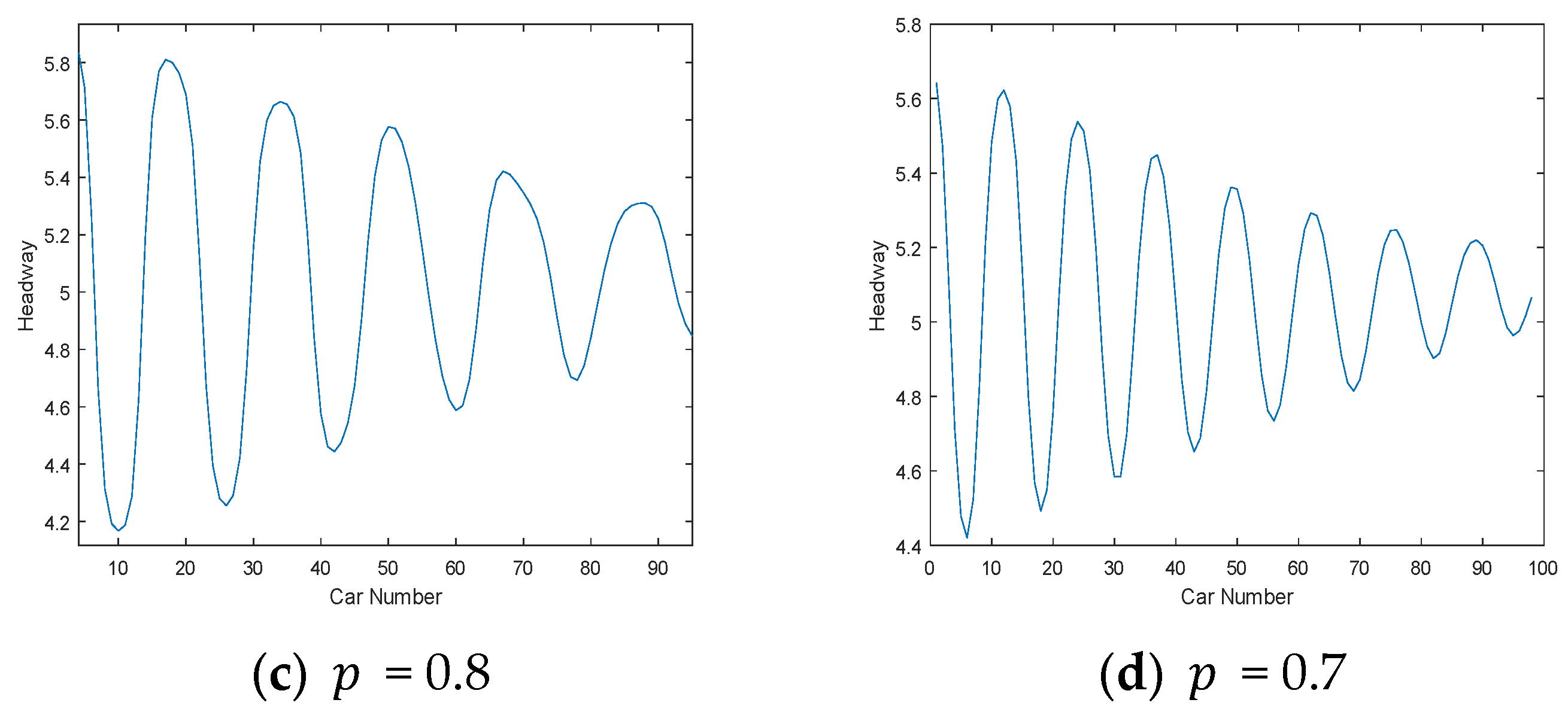
4. Numerical Simulation and Result Analysis
5. Conclusions
- (1)
- An improved car-following model applied to a curved multi-lane road is proposed, and the model validity and stability are verified;
- (2)
- In the connected environment, when the following vehicles increase their ability to perceive the information of the surrounding adjacent lanes, the traffic flow based on the proposed model is more stable, which helps to alleviate traffic congestion;
- (3)
- With the increase in the number of connected vehicles and the number of vehicles that can acquire information, the following model is more stable, and the trend of traffic flow evolution is smoother.
Author Contributions
Funding
Data Availability Statement
Conflicts of Interest
References
- Pipes, L.A. An Operational Analysis of Traffic Dynamics. J. Appl. Phys. 1953, 24, 274–281. [Google Scholar] [CrossRef]
- Newell, G.F. Nonlinear Effects in the Dynamics of Car Following. Oper. Res. 1961, 9, 209–229. [Google Scholar] [CrossRef]
- Bando, M.; Hasebe, K.; Nakayama, A.; Shibata, A.; Sugiyama, Y. Dynamical model of traffic congestion and numerical simulation. Phys. Rev. E 1995, 51, 1035–1042. [Google Scholar] [CrossRef]
- Helbing, D.; Tilch, B. Generalized force model of traffic dynamics. Phys. Rev. E 1998, 58, 133–138. [Google Scholar] [CrossRef]
- Jiang, R.; Wu, Q.; Zhu, Z. Full velocity difference model for a car-following theory. Phys. Rev. E 2001, 64, 017101. [Google Scholar] [CrossRef]
- Sun, D.; Zhang, J.; Zhao, M.; Tian, C. Effect of looking backward and velocity difference in an extended car following model. J. Sichuan Univ. 2012, 49, 115–120. [Google Scholar]
- Xiao, J.; Ma, M.; Liang, S.; Ma, G. The non-lane-discipline-based car-following model considering forward and backward vehicle information under connected environment. Nonlinear Dyn. 2022, 107, 2787–2801. [Google Scholar] [CrossRef]
- Tang, T.Q.; Li, C.Y.; Wu, Y.H.; Huang, H.J. Impact of the honk effect on the stability of traffic flow. Phys. Stat. Mech. Its Appl. 2011, 390, 3362–3368. [Google Scholar] [CrossRef]
- Peng, Y.; Liu, S.; Yu, D.Z. An improved car-following model with consideration of multiple preceding and following vehicles in a driver’s view. Phys. Stat. Mech. Its Appl. 2020, 538, 122967. [Google Scholar] [CrossRef]
- Ma, G.; Ma, M.; Liang, S.; Wang, Y.; Zhang, Y. An improved car-following model accounting for the time-delayed velocity difference and backward looking effect. Commun. Nonlinear Sci. Numer. Simul. 2020, 85, 105221. [Google Scholar] [CrossRef]
- Wen, H.; Rong, Y.; Zeng, C.; Qi, W. The effect of driver’s characteristics on the stability of traffic flow under honk environment. Nonlinear Dyn. 2016, 84, 1517–1528. [Google Scholar] [CrossRef]
- Tang, T.Q.; Huang, H.J.; Zhao, S.G.; Xu, G. An extended OV model with consideration of driver’s memory. Int. J. Mod. Phys. B 2009, 23, 743–752. [Google Scholar] [CrossRef]
- Yu, B.; Zhou, H.; Wang, L.; Wang, Z.; Cui, S. An extended two-lane car-following model considering the influence of heterogeneous speed information on drivers with different characteristics under honk environment. Phys. Stat. Mech. Its Appl. 2021, 578, 126022. [Google Scholar] [CrossRef]
- Peng, G.; Cheng, R. A new car-following model with the consideration of anticipation optimal velocity. Phys. Stat. Mech. Its Appl. 2013, 392, 3563–3569. [Google Scholar] [CrossRef]
- Chen, R.; Ge, H.; Wang, J. The nonlinear analysis for a new continuum model considering anticipation and traffic jerk effect. Appl. Math. Comput. 2018, 332, 493–505. [Google Scholar]
- Das, S.; Maurya, A.K.; Budhkar, A.K. Determinants of time headway in staggered car-following conditions. Transp. Lett. 2019, 11, 447–457. [Google Scholar] [CrossRef]
- Wang, X.; Wang, Y.; Hu, Y.; He, Y.; Yan, Z. Analysis of wireless power transfer using superconducting metamaterials. IEEE Trans. Appl. Supercond. 2018, 29, 5500605. [Google Scholar] [CrossRef]
- Kerner, B.S.; Klenov, S.L.; Brakemeier, A. Testbed for wireless vehicle communication: A simulation approach based on three-phase traffic theory. In Proceedings of the 2008 IEEE Intelligent Vehicles Symposium, Eindhoven, The Netherlands, 4–6 June 2008; pp. 180–185. [Google Scholar]
- Ge, H.; Meng, X.; Zhu, H.; Li, Z.P. Feedback control for car following model based on two-lane traffic flow. Phys. Stat. Mech. Its Appl. 2014, 408, 28–39. [Google Scholar] [CrossRef]
- Ponnu, B.; Coifman, B. Speed-spacing dependency on relative speed from the adjacent lane: New insights for car following models. Transp. Res. Part B Methodol. 2015, 82, 74–90. [Google Scholar] [CrossRef]
- Jiang, N.; Yu, B.; Cao, F.; Dang, P.; Cui, S. An extended visual angle car-following model considering the vehicle types in the adjacent lane. Phys. Stat. Mech. Its Appl. 2021, 566, 125665. [Google Scholar] [CrossRef]
- Gao, Z.; Zhang, N.; Mannini, L.; Cipriani, E. The Car Following Model with Relative Speed in Front on the Three-Lane Road. Discrete Dyn. Nat. Soc. 2018, 2018, 7560493. [Google Scholar] [CrossRef]
- Ou, H.; Tang, T.Q. An extended two-lane car-following model accounting for inter-vehicle communication. Phys. Stat. Mech. Its Appl. 2018, 495, 260–268. [Google Scholar] [CrossRef]
- Li, H.; Ge, H.; Cheng, R. An extended car-following model considering the effect of two-sided lateral gap with uncertain velocity on curved road. Eng. Comput. 2022, 39, 1038–1050. [Google Scholar] [CrossRef]
- Sun, Y.; Ge, H.; Cheng, R. An extended car-following model considering driver’s desire for smooth driving on the curved road. Phys. Stat. Mech. Its Appl. 2019, 527, 121426. [Google Scholar] [CrossRef]
- Zheng, Y.M.; Cheng, R.J.; Ge, H.X. The feedback control research on straight and curved road with car-following model. Phys. Lett. A 2017, 381, 2137–2143. [Google Scholar] [CrossRef]
- Jiao, S.; Zhang, S.; Zhou, B.; Zhang, Z.; Xue, L. An extended car-following model considering the drivers’ characteristics under a V2V communication environment. Sustainability 2020, 12, 1552. [Google Scholar] [CrossRef]
- Chen, L.; Zhang, Y.; Li, K.; Li, Q.; Zheng, Q. Car-following model of connected and autonomous vehicles considering both average headway and electronic throttle angle. Mod. Phys. Lett. B 2021, 35, 2150257. [Google Scholar] [CrossRef]
- Sun, D.; Kang, Y.; Yang, S. A novel car following model considering average speed of preceding vehicles group. Phys. Stat. Mech. Its Appl. 2015, 436, 103–109. [Google Scholar] [CrossRef]
- Zhu, W.X.; Zhang, L.D. A new car-following model for autonomous vehicles flow with mean expected velocity field. Phys. Stat. Mech. Its Appl. 2018, 492, 2154–2165. [Google Scholar]
- Wiseman, Y. Autonomous vehicles. In Research Anthology on Cross-Disciplinary Designs and Applications of Automation; IGI Global: Hershey, PA, USA, 2022; pp. 878–889. [Google Scholar]
- Venzano, E.; Pousseur, H.; Victorino, A.C.; Garcia, P.C. Motion Control for Aerial and Ground Vehicle Autonomous Platooning. In Proceedings of the 2022 IEEE 17th International Conference on Advanced Motion Control (AMC), Padova, Italy, 18–20 February 2022. [Google Scholar]
- Jin, Y.; Xu, M.; Gao, Z. KdV and Kink-Antikink Solitons in an Extended Car-Following Model. J. Comput. Nonlinear Dyn. 2011, 6, 52–63. [Google Scholar] [CrossRef]








| Parameter | Unit | Definition |
|---|---|---|
| The driver’s sensitivity coefficient to self lane car-following behavior | ||
| The driver’s sensitivity coefficient to current speed and optimal speed | ||
| r | The curve radius | |
| Response coefficient to speed difference | ||
| \ | The driving safety factor under the condition of a curved road | |
| The friction coefficient of the road | ||
| The safe distance between the car and the car in front under the condition of a curved road | ||
| Distance between this vehicle and the vehicle ahead under the condition of a curved road | ||
| Optimal velocity function on curved road for self lane | ||
| Optimal velocity function on curved road for adjacent lane |
Disclaimer/Publisher’s Note: The statements, opinions and data contained in all publications are solely those of the individual author(s) and contributor(s) and not of MDPI and/or the editor(s). MDPI and/or the editor(s) disclaim responsibility for any injury to people or property resulting from any ideas, methods, instructions or products referred to in the content. |
© 2024 by the authors. Licensee MDPI, Basel, Switzerland. This article is an open access article distributed under the terms and conditions of the Creative Commons Attribution (CC BY) license (https://creativecommons.org/licenses/by/4.0/).
Share and Cite
Han, X.; Ma, M.; Liang, S.; Yang, J.; Wu, C. Improved Car-Following Model for Connected Vehicles on Curved Multi-Lane Road. World Electr. Veh. J. 2024, 15, 82. https://doi.org/10.3390/wevj15030082
Han X, Ma M, Liang S, Yang J, Wu C. Improved Car-Following Model for Connected Vehicles on Curved Multi-Lane Road. World Electric Vehicle Journal. 2024; 15(3):82. https://doi.org/10.3390/wevj15030082
Chicago/Turabian StyleHan, Xu, Minghui Ma, Shidong Liang, Jufen Yang, and Chaoteng Wu. 2024. "Improved Car-Following Model for Connected Vehicles on Curved Multi-Lane Road" World Electric Vehicle Journal 15, no. 3: 82. https://doi.org/10.3390/wevj15030082
APA StyleHan, X., Ma, M., Liang, S., Yang, J., & Wu, C. (2024). Improved Car-Following Model for Connected Vehicles on Curved Multi-Lane Road. World Electric Vehicle Journal, 15(3), 82. https://doi.org/10.3390/wevj15030082

