Investigation of Engine Exhaust Heat Recovery Systems Utilizing Thermal Battery Technology
Abstract
1. Introduction
2. The Fundamental Design Framework of a Thermal Management System That Utilizes Thermal Battery for the Recovery of Engine Exhaust Heat
3. Engine Thermal Management System Model
3.1. Engine Thermal Balance Model
- (1)
- The total heat :
- (2)
- Heat converted into effective work :
- (3)
- The heat carried away by the engine coolant :
- (4)
- Heat carried away by engine exhaust :
- (5)
- Other heat losses of the engine :
3.2. Engine Cooling System Model
3.3. Engine Fuel Consumption Model
3.4. Control Strategy Model
4. Construction and Verification of Thermal Management Simulation Platform
5. Simulation and Analysis
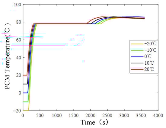
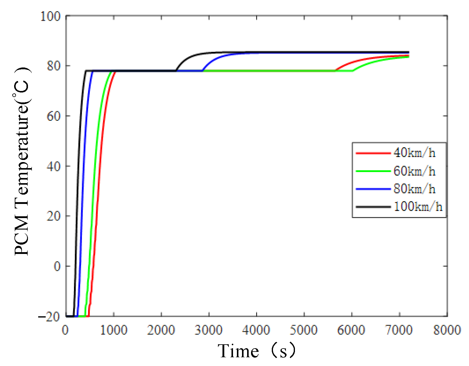
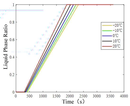
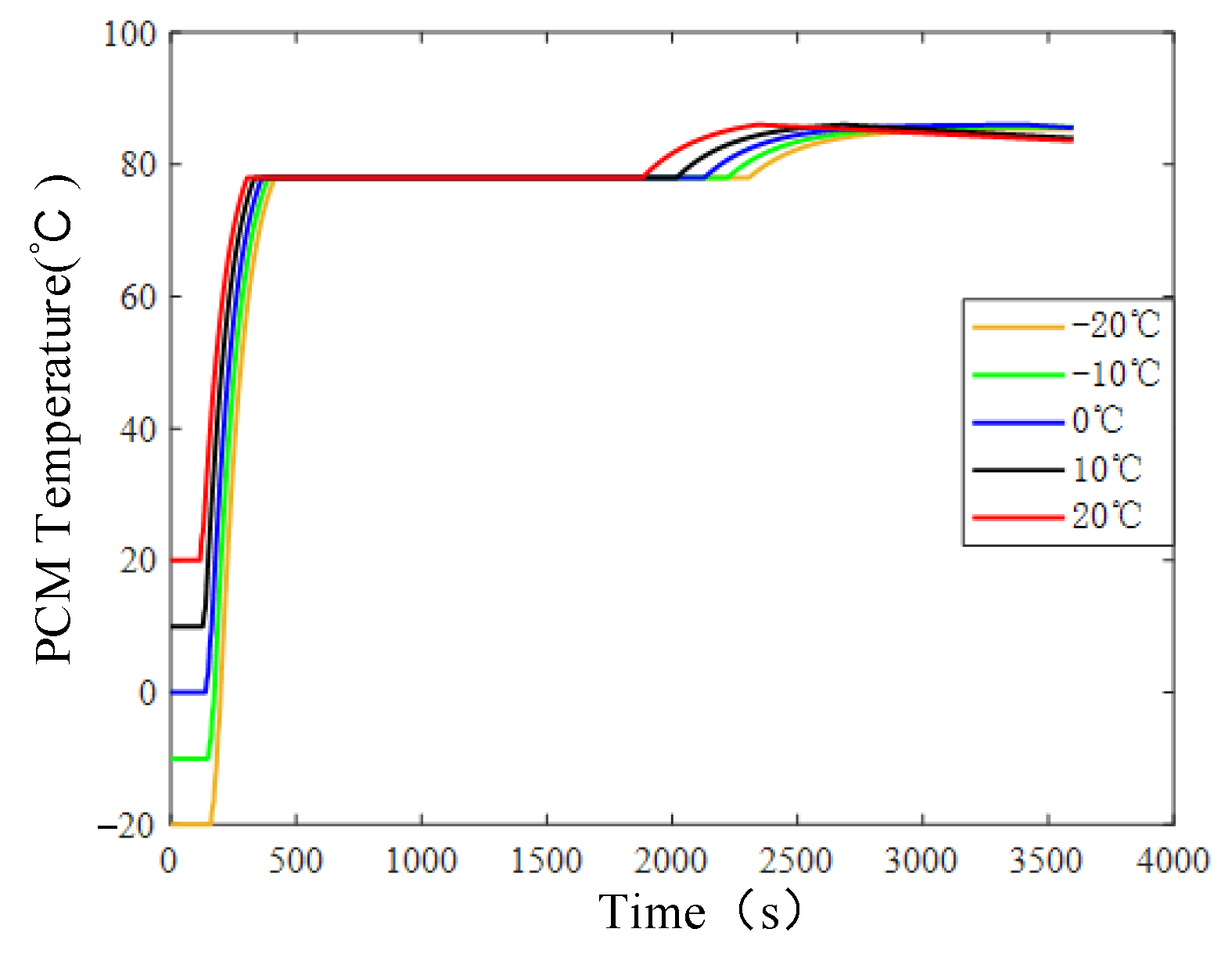
5.1. Thermal Battery Performance Analysis
- (1)
- Analysis of Thermal Storage Performance
- (2)
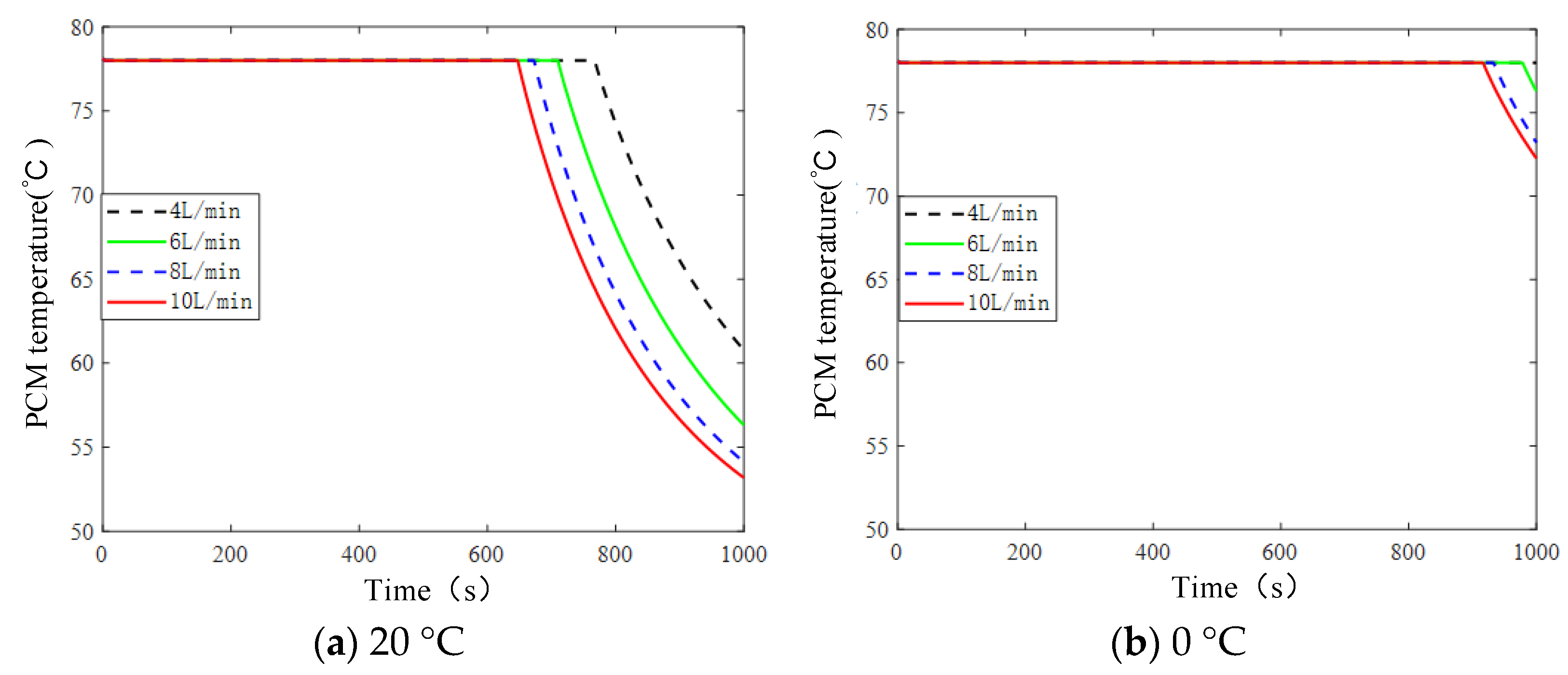
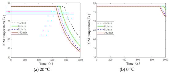
- Examination of Thermal Release Dynamics
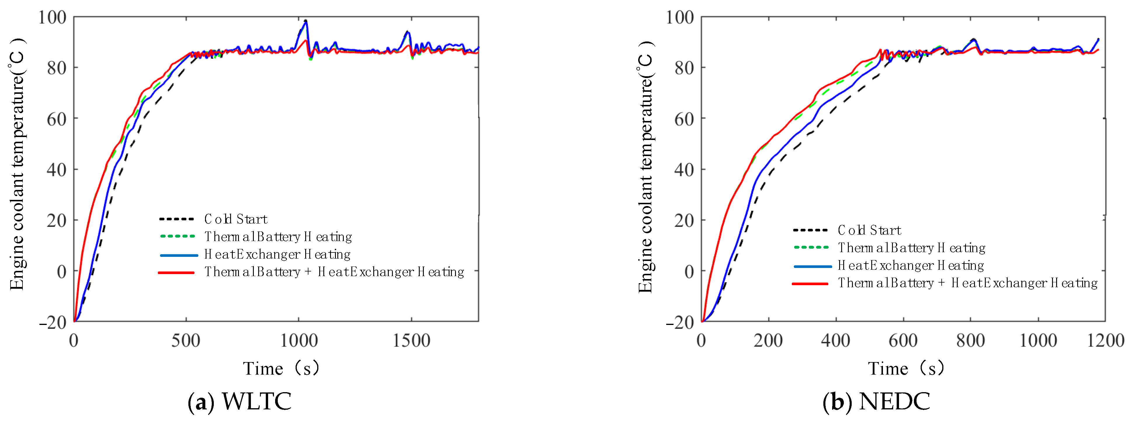
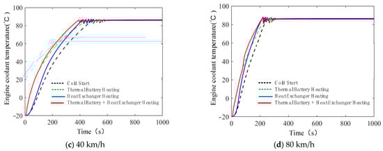
5.2. Simulation Analysis of Engine Warm-Up Time
5.3. Fuel Consumption Analysis of Engine Cold Start and Warm-Up
6. Conclusions
Author Contributions
Funding
Data Availability Statement
Conflicts of Interest
Nomenclature
| COP | Coefficient of performance |
| EGR | Exhaust gas recirculation |
| EHRS | Exhaust heat recovery system |
| PCM | Phase change materials |
| NEDC | New Europe Drive Cycle |
| NOx | Nitrogen oxides |
| WLTC | World Light Vehicle Test Cycle |
| The fuel consumption of the engine [kg/h] | |
| The specific fuel consumption rate of the engine [g/(kW·h)] | |
| The specific heat of the engine coolant [kJ/(kg·K)] | |
| The specific heat capacity of air at constant pressure [kJ/(kg·K)] | |
| The constant pressure specific heat capacity of the engine coolant [kJ/(kg·K)] | |
| The specific heat capacity of the engine exhaust at constant pressure [kJ/(kg·K)] | |
| The fuel calorific value [kJ/kg] | |
| The number of cylinders | |
| ,,,, | The mass fractions of each exhaust gas |
| The mass flow rate of the coolant [kg/s] | |
| The mass flow rate of the engine exhaust [kg/s] | |
| The mass flow rates of engine fuel [kg/s] | |
| The mass flow rates of engine intake air [kg/s] | |
| The engine speed [r/min] | |
| Compression ratio | |
| The engine total heat | |
| The heat converted into effective work | |
| The heat carried away by the engine coolant | |
| the heat carried away by engine exhaust | |
| The other heat losses of the engine | |
| The windward area of the radiator | |
| The engine torque [Nm] | |
| The inlet water temperatures of the engine water jacket coolant [K] | |
| The outlet water temperatures of the engine water jacket coolant [K] | |
| The intake temperatures of the engine exhaust [K] | |
| The outtake temperatures of the engine exhaust [K] | |
| The temperature difference between the inlet and outlet air of the radiator [K] | |
| The temperature difference of the coolant [K] | |
| The engine coolant temperature [°C] | |
| The heat exchanger’s set temperature [°C] | |
| The PCM temperature [°C] | |
| The coolant circulation rate [m3/h] | |
| The airflow velocity in front of the engine radiator [m/s] | |
| The actual fuel consumption of the engine [g/kWh] | |
| The air density [kg/m3] | |
| The engine coolant density [kg/m3] |
References
- Wang, Q. Study on the Economic Driving Mode of Light Commercial Vehicles. Master’s Thesis, Chang’an University, Xi’an, China, 2011. [Google Scholar]
- Shi, B. Heating System Utilizing Engine Waste Heat through Heat Pipes. Foreign Automob. 1990, 5, 1–3. [Google Scholar]
- Liu, P.; Shu, G.; Tian, H. Methodology for Achieving Optimal Practical Organic Rankine Cycle (OP-ORC) via Configuration Modifications for Diesel Engine Waste Heat Recovery. Energy 2019, 174, 543–552. [Google Scholar] [CrossRef]
- Xu, Y.; Cui, Y.; Wang, Y.; Wang, P. Simulation Analysis of Exhaust Turbine Power Generation for Waste Heat Recovery from a Diesel Engine Exhaust. Energy Rep. 2021, 7, 8378–8389. [Google Scholar] [CrossRef]
- Mohamed, E.S. Development and Performance Evaluation of a Thermoelectric Generator System Utilizing Exhaust Recovery for Light Diesel Vehicles, with Assessment of Fuel Economy and Emissions. Appl. Therm. Eng. 2019, 147, 661–674. [Google Scholar] [CrossRef]
- Shen, H.; Lin, L. Research on Engine Exhaust Heat Recovery Based on the Synergistic Effect of Superconducting Heat Pipes and Thermoelectric Power Generation Technology. Times Auto 2020, 15, 141–143. [Google Scholar]
- Li, Z. Research on Waste Heat Utilization Technology of Mining Vehicle Engines Based on the Rankine Cycle. Master’s Thesis, Xijing College, Xi’an, China, 2018. [Google Scholar]
- Ding, M. Research on Lithium Bromide Cooling System Driven by Automotive Engine Waste Heat. Master’s Thesis, Zhejiang University of Science and Technology, Hangzhou, China, 2019. [Google Scholar] [CrossRef]
- Kotrba, A.; Gardner, T.; Bellard, R.; Kunkel, B.; Morley, N.; Wang, X.; Qu, S. Solutions for Active Exhaust Waste Heat Recovery Systems. Automot. New Power 2021, 4, 12–18. [Google Scholar] [CrossRef]
- Xie, P.; Jin, L.; Qiao, G.; Lin, C.; Barreneche, C.; Ding, Y. Thermal energy storage for electric vehicles at low temperatures: Concepts, systems, devices, and materials. Renew. Sustain. Energy Rev. 2022, 160, 112263. [Google Scholar] [CrossRef]
- Kauranen, P.; Elonen, T.; Wikström, L.; Heikkinen, J.; Laurikko, J. Temperature Optimization of a Diesel Engine Utilizing Exhaust Gas Heat Recovery and Thermal Energy Storage (Diesel Engine with Thermal Energy Storage). Appl. Therm. Eng. 2010, 30, 631–638. [Google Scholar] [CrossRef]
- Johar, D.K.; Sharma, D.; Soni, S.L.; Gupta, P.K.; Goyal, R. Experimental Investigation on Latent Heat Thermal Energy Storage System for Stationary CI Engine Exhaust. Appl. Therm. Eng. 2016, 104, 64–73. [Google Scholar] [CrossRef]
- Kaltakkiran, G.; Ceviz, M.A. Performance Enhancement of Direct Injection Engines in Cold Start Conditions through Integration with Phase Change Materials: Energy and Exergy Analysis. J. Energy Storage 2021, 42, 102895. [Google Scholar] [CrossRef]
- Soliman, A.S.; Radwan, A.; Xu, L.; Dong, J.; Cheng, P. Energy Harvesting in Diesel Engines to Mitigate Cold Start-Up Issues using Phase Change Materials. Case Stud. Therm. Eng. 2022, 31, 101807. [Google Scholar] [CrossRef]
- Kraft, W.; Altstedde, M.K. Utilization of Metallic Phase Change Materials (mPCM) for Thermal Storage in Electric and Hybrid Vehicles. In Proceedings of the 6th Hybrid and Electric Vehicles Conference (HEVC 2016), London, UK, 2–3 November 2016. [Google Scholar]
- Kraft, W.; Jilg, V.; Altstedde, M.K.; Lanz, T.; Schwarz, D. High-Performance Thermal Storage Solutions for Vehicle Applications. In Proceedings of the International Conference on Energy and Thermal Management, Air Conditioning, Waste Heat Recovery, Berlin, Germany, 22–23 November 2018; Springer: Berlin/Heidelberg, Germany, 2018. [Google Scholar]
- Wang, Y.; Yu, S.; Li, J. Experimental Study on the Application of Phase Change Thermal Storage Technology to Improve Engine Cold Start Performance. J. Sol. Energy 2013, 34, 160–164. [Google Scholar]
- Yang, Q.; Yan, J.; Liu, D. Parameter analysis of the ball-symmetric solidification process for recovering engine waste heat. J. Agric. Mach. 2006, 3, 27–30. [Google Scholar]
- Gao, Q.; Wang, Y.; Wang, G.; Wang, Y.; Li, M.; Ma, C. Analysis of the functional characteristics based on the utilization of vehicle waste heat energy storage. Therm. Sci. Technol. 2008, 7, 314–319. [Google Scholar]
- Hadden, T. Thermal Storage for Electric Vehicle Cabin Heating in Cold Weather Conditions. Ph.D. Thesis, McMaster University, Hamilton, ON, USA, 2017. [Google Scholar]
- Zeng, Z.Y.; Zhao, B.C.; Wang, R.Z. Water-based adsorption thermal battery: Sorption mechanisms and applications. Energy Storage Mater. 2023, 54, 794–821. [Google Scholar] [CrossRef]
- Zhao, H.; Dai, J.; Fu, B.; Ling, R. Design and application research of phase change thermal energy storage pools. Sci. Enterp. 2016, 3, 215–216. [Google Scholar]
- Dreissigacker, V.; Belik, S. High-temperature solid media thermal energy storage system with high effective storage densities for flexible heat supply in electric vehicles. Appl. Therm. Eng. 2019, 149, 173–179. [Google Scholar] [CrossRef]
- Bauer, S.; Suchaneck, A.; Leon, F. Thermal and energy battery management optimization in electric vehicles using Pontryagin’s maximum principle. J. Power Sources 2014, 246, 808–818. [Google Scholar] [CrossRef]
- Behi, H.; Karimi, D.; Behi, M.; Nargesi, N.; Aminian, M.; Ghanbarpour, A.; Mirmohseni, F.; Van Mierlo, J.; Berecibar, M. An enhanced phase change material composite for electrical vehicle thermal management. Designs 2022, 6, 70. [Google Scholar] [CrossRef]
- Xiao, Q.; Yuan, W.; Li, L.; Xu, T. Fabrication and characteristics of composite phase change material based on Ba(OH)2·8H2O for thermal energy storage. Sol. Energy Mater. Sol. Cells 2018, 6, 70. [Google Scholar] [CrossRef]
- Li, Z.; Zhong, D.; Zhou, H.; Cai, Q.; Liu, Y.; Liu, L.; Ma, F. Effect of nucleating agent on the thermal storage performance of Ba(OH)2·8H2O as a phase change material. Mater. Res. Express 2019, 9, 095514. [Google Scholar] [CrossRef]
- Cui, K.; Liu, L.; Sun, M. Study on improving the heat storage property of Ba(OH)₂·8H₂O with paraffin. Mater. Res. Express 2017, 4, 125502. [Google Scholar] [CrossRef]
- Jiao, Q. Analysis of Engine Thermal Balance and Calculation of Cooling Water Thermal Utilization for Large Buses. Master’s Thesis, Shandong University, Jinan, China, 2008. [Google Scholar]
- Cui, F. Research on the Characteristics of a Dual-Heat-Source Driven Absorption-Compression Hybrid Refrigeration Cycle. Master’s Thesis, Shandong University of Science and Technology, Qingdao, China, 2020. [Google Scholar]
- Gao, C. Interactive Thermal Analysis of the Power Cabin of Range-Extended Electric Vehicles and Design of the Thermal Management System. Master’s Thesis, Jilin University, Changchun, China, 2016. [Google Scholar]




















| Phase Change Temperature/°C | Latent Heat/kJ·kg−1 | Solid Density/kg·m−3 | Specific Heat Capacity/J/kg·k−1 |
|---|---|---|---|
| 78 | 265 | 2180 | 1556 |
| Parameters | Values |
|---|---|
| Length × Width × Height/mm | 4468 × 1802 × 1470 |
| Curb weight/kg | 1350 |
| Wheelbase/mm | 2620 |
| Rolling resistance coefficient | 0.014 |
| Coefficient of air resistance | 0.35 |
| Vehicle frontal area/m2 | 3.17 |
| Wheel rolling radius/mm | 379 |
| Speed/(km/h) | Sensible Heat Storage Time/s | Latent Heat Storage Time/s | Total Heat Storage Time/s |
|---|---|---|---|
| 40 | 568 | 4601 | 5169 |
| 60 | 558 | 5044 | 5607 |
| 80 | 321 | 2300 | 2621 |
| 100 | 257 | 1881 | 2138 |
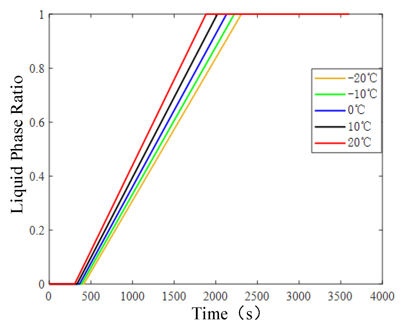
| Ambient Temperature/°C | Sensible Heat Storage Time/s | Latent Heat Storage Time/s | Total Heat Storage Time/s |
|---|---|---|---|
| −20 | 257 | 1890 | 2147 |
| −10 | 243 | 1829 | 2072 |
| 0 | 227 | 1762 | 1989 |
| 10 | 207 | 1682 | 1889 |
| 20 | 191 | 1575 | 1766 |
| Environmental Temperature/°C | Cooling Liquid Flow Rate/(L/min) | Time of the Cooling Liquid Rises to 30 °C/s | Reduction Rate of Heating Time with a Flow Rate Increase of 2 L/min/% |
|---|---|---|---|
| −20 | 4 | 415 | - |
| 6 | 371 | 10.6 | |
| 8 | 361 | 2.7 | |
| 10 | 359 | 0.554 | |
| 0 | 4 | 223 | — |
| 6 | 192 | 13.9 | |
| 8 | 182 | 5.21 | |
| 10 | 178 | 2.2 |
| Heating Mode | Engine Warm Up Time/s | |||
|---|---|---|---|---|
| WLTC | NEDC | 40 km/h | 80 km/h | |
| Cold start | 501 | 543 | 444 | 231 |
| Thermal battery heating | 456 | 475 | 394 | 216 |
| Heat exchanger heating | 460 | 528 | 378 | 195 |
| Thermal battery + Heat exchanger heating | 430 | 464 | 344 | 190 |
| Heating Mode | Accumulated Fuel Consumption of 300 s/g | ||
|---|---|---|---|
| WLTC | NEDC | 40 km/h | |
| Cold start | 258 | 221 | 269 |
| Thermal battery heating | 205 | 179 | 225 |
| Heat exchanger heating | 245 | 213 | 251 |
| Thermal battery + Heat exchanger heating | 204 | 179 | 221 |
| Heating Mode | Accumulated Fuel Consumption during Warm-Up/g |
|---|---|
| Cold start | 336 |
| Thermal battery heating | 285 |
| Heat exchanger heating | 279 |
| Thermal battery + Heat exchanger heating | 253 |
Disclaimer/Publisher’s Note: The statements, opinions and data contained in all publications are solely those of the individual author(s) and contributor(s) and not of MDPI and/or the editor(s). MDPI and/or the editor(s) disclaim responsibility for any injury to people or property resulting from any ideas, methods, instructions or products referred to in the content. |
© 2024 by the authors. Published by MDPI on behalf of the World Electric Vehicle Association. Licensee MDPI, Basel, Switzerland. This article is an open access article distributed under the terms and conditions of the Creative Commons Attribution (CC BY) license (https://creativecommons.org/licenses/by/4.0/).
Share and Cite
Zhu, B.; Zhang, Y.; Wang, D. Investigation of Engine Exhaust Heat Recovery Systems Utilizing Thermal Battery Technology. World Electr. Veh. J. 2024, 15, 478. https://doi.org/10.3390/wevj15100478
Zhu B, Zhang Y, Wang D. Investigation of Engine Exhaust Heat Recovery Systems Utilizing Thermal Battery Technology. World Electric Vehicle Journal. 2024; 15(10):478. https://doi.org/10.3390/wevj15100478
Chicago/Turabian StyleZhu, Bo, Yi Zhang, and Dengping Wang. 2024. "Investigation of Engine Exhaust Heat Recovery Systems Utilizing Thermal Battery Technology" World Electric Vehicle Journal 15, no. 10: 478. https://doi.org/10.3390/wevj15100478
APA StyleZhu, B., Zhang, Y., & Wang, D. (2024). Investigation of Engine Exhaust Heat Recovery Systems Utilizing Thermal Battery Technology. World Electric Vehicle Journal, 15(10), 478. https://doi.org/10.3390/wevj15100478

