Online Inductance Identification of Permanent Magnet Synchronous Motors Independent of Rotor Position Information
Abstract
1. Introduction
2. Sensorless Control Systems
2.1. Mathematical Model of PMSMs
2.2. Rotor Position Estimator
3. Inductance Identification Accuracy Analysis with Position Error
4. Proposed Online Inductance Identification Method
4.1. Parametric Equation Derivation of q-Axis Inductance
4.2. Online Identification of q-Axis Inductance Using PSO
4.3. Parametric Iquation Derivation of d-Axis Inductance
4.4. Online Identification of d-Axis Inductance Using RLS
5. Experimental Results
5.1. Execution Time Test
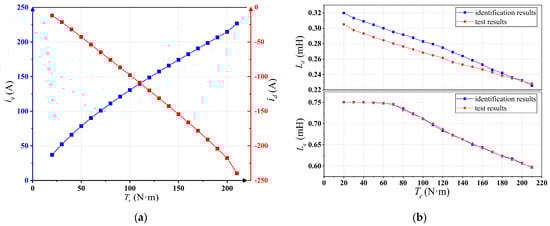
5.2. Experiments under Rated Conditions
5.3. Experiments with Different Initial Values
5.4. Experiments with Different Stator Currents
6. Conclusions
Author Contributions
Funding
Data Availability Statement
Conflicts of Interest
References
- Wei, Y.; Ke, D.; Qi, H.; Wang, F.; Rodríguez, J. Multistep Predictive Current Control for Electrical Drives with Adaptive Horizons. IEEE Trans. Ind. Electron. 2024, 71, 250–260. [Google Scholar] [CrossRef]
- Singh, B.; Kashif, M. PF-MRAC-Based Elimination of Sensors in Solar-Powered PMSM Drive-Based Water Pumping System. IEEE Trans. Ind. Electron. 2023, 70, 11390–11400. [Google Scholar] [CrossRef]
- Bariša, T.; Sumina, D.; Pravica, L.; Čolović, I. Flying start and sensorless control of permanent magnet wind power generator using induced voltage measurement and phase-locked loop. Electr. Power Syst. Res. 2017, 152, 457–465. [Google Scholar] [CrossRef]
- Rafaq, M.S.; Jung, J.W. A Comprehensive Review of State-of-the-Art Parameter Estimation Techniques for Permanent Magnet Synchronous Motors in Wide Speed Range. IEEE Trans. Ind. Inform. 2020, 16, 4747–4758. [Google Scholar] [CrossRef]
- Wang, Z.; Yao, B.; Guo, L.; Jin, X.; Li, X.; Wang, H. Initial Rotor Position Detection for Permanent Magnet Synchronous Motor Based on High-Frequency Voltage Injection without Filter. World Electr. Veh. J. 2020, 11, 71. [Google Scholar] [CrossRef]
- Yoon, Y.; Sul, S.; Morimoto, S.; Ide, K. High-Bandwidth Sensorless Algorithm for AC Machines Based on Square-Wave-Type Voltage Injection. IEEE Trans. Ind. Appl. 2011, 47, 1361–1370. [Google Scholar] [CrossRef]
- Jansson, M.; Harnefors, L.; Wallmark, O.; Leksell, M. Synchronization at startup and stable rotation reversal of sensorless non-salient PMSM drives. IEEE Trans. Ind. Electron. 2006, 53, 379–387. [Google Scholar] [CrossRef]
- Kim, Y.W.; Sul, S.K. Stability Analysis of Active Front End and Permanent Magnet Synchronous Generator with Back EMF-Based Sensorless Control for DC Marine Vessels. IEEE Tran. Power Electron. 2023, 38, 5411–5421. [Google Scholar] [CrossRef]
- Boldea, I.; Paicu, M.C.; Andreescu, G.D.; Blaabjerg, F. Active Flux DTFC-SVM Sensorless Control of IPMSM. IEEE Trans. Energy Convers. 2009, 24, 314–322. [Google Scholar] [CrossRef]
- Jukić, F.; Pravica, L.; Sumina, D.; Erceg, I. Framework for Sensorless Control and Flying Start of a Permanent Magnet Generator Based on a Sliding Mode Observer. IEEE Trans. Ind. Electron. 2024, 71, 294–304. [Google Scholar] [CrossRef]
- Quang, N.K.; Hieu, N.T.; Ha, Q.P. FPGA-Based Sensorless PMSM Speed Control Using Reduced-Order Extended Kalman Filters. IEEE Trans. Ind. Electron. 2014, 61, 6574–6582. [Google Scholar] [CrossRef]
- Xu, Y.; Yao, M.; Sun, X. Overview of Position-Sensorless Technology for Permanent Magnet Synchronous Motor Systems. World Electr. Veh. J. 2023, 14, 212. [Google Scholar] [CrossRef]
- Boldea, I.; Paicu, M.C.; Andreescu, G.D. Active Flux Concept for Motion-Sensorless Unified AC Drives. IEEE Trans. Power Electron. 2008, 23, 2612–2618. [Google Scholar] [CrossRef]
- Bolognani, S.; Calligaro, S.; Petrella, R. Design Issues and Estimation Errors Analysis of Back-EMF-Based Position and Speed Observer for SPM Synchronous Motors. IEEE J. Emerg. Sel. Top. Power Electron. 2014, 2, 159–170. [Google Scholar] [CrossRef]
- Nahid-Mobarakeh, B.; Meibody-Tabar, F.; Sargos, F.M. Mechanical sensorless control of PMSM with online estimation of stator resistance. IEEE Trans. Ind. Appl. 2004, 40, 457–471. [Google Scholar] [CrossRef]
- Ahn, H.; Park, H.; Kim, C.; Lee, H. A review of state-of-the-art techniques for PMSM parameter identification. J. Electr. Eng. Technol. 2020, 15, 1177–1187. [Google Scholar] [CrossRef]
- Bolognani, S.; Ortombina, L.; Tinazzi, F.; Zigliotto, M. Model sensitivity of fundamental-frequency-based position estimators for sensorless pm and reluctance synchronous motor drives. IEEE Trans. Ind. Electron. 2018, 65, 77–85. [Google Scholar] [CrossRef]
- Wang, Q.; Zhang, G.; Wang, G.; Li, C.; Xu, D. Offline parameter self-learning method for general-purpose PMSM drives with estimation error compensation. IEEE Trans. Power Electron. 2019, 34, 11103–11115. [Google Scholar] [CrossRef]
- Filho, C.J.V.; Xiao, D.; Vieira, R.P.; Emadi, A. Observers for High-Speed Sensorless PMSM Drives: Design Methods, Tuning Challenges and Future Trends. IEEE Access 2021, 9, 56397–56415. [Google Scholar] [CrossRef]
- Huang, Y.; Zhang, J.; Chen, D.; Qi, J. Model Reference Adaptive Control of Marine Permanent Magnet Propulsion Motor Based on Parameter Identification. Electronics 2022, 11, 1012. [Google Scholar] [CrossRef]
- Wu, C.; Zhao, Y.; Sun, M. Enhancing low-speed sensorless control of PMSM using phase voltage measurements and online multiple parameter identification. IEEE Trans. Power Electron. 2020, 35, 10700–10710. [Google Scholar] [CrossRef]
- Inoue, Y.; Kawaguchi, Y.; Morimoto, S.; Sanada, M. Performance improvement of sensorless IPMSM drives in a low-speed region using online parameter identification. IEEE Trans. Ind. Appl. 2011, 47, 798–804. [Google Scholar] [CrossRef]
- Ichikawa, S.; Tomita, M.; Doki, S.; Okuma, S. Sensorless control of permanent-magnet synchronous motors using online parameter identification based on system identification theory. IEEE Trans. Ind. Electron. 2006, 53, 363–372. [Google Scholar] [CrossRef]
- Rafaq, M.S.; Mwasilu, F.; Kim, J.; Choi, H.H.; Jung, J.-W. Online parameter identification for model-based sensorless control of interior permanent magnet synchronous machine. IEEE Trans. Power Electron. 2017, 32, 4631–4643. [Google Scholar] [CrossRef]
- Colombo, L.; Corradini, M.L.; Cristofaro, A.; Ippoliti, G.; Orlando, G. An embedded strategy for online identification of PMSM parameters and sensorless control. IEEE Trans. Control Syst. Technol. 2019, 27, 2444–2452. [Google Scholar] [CrossRef]
- Ye, S.; Yao, X. A modified flux sliding-mode observer for the sensorless control of PMSMs with online stator resistance and inductance estimation. IEEE Trans. Power Electron. 2020, 35, 8652–8662. [Google Scholar] [CrossRef]
- Gwangmin, P.; Kim, G.; Gu, B. Sensorless PMSM Drive Inductance Estimation Based on a Data-Driven Approach. Electronics 2021, 10, 791–801. [Google Scholar]
- Sun, X.; Zhang, Y.; Tian, X.; Cao, J.; Zhu, J. Speed sensorless control for IPMSMs using a modified MRAS with gray wolf optimization algorithm. IEEE Trans. Transp. Electrif. 2022, 8, 1326–1337. [Google Scholar] [CrossRef]
- Foo, G.; Rahman, M.F. Sensorless Sliding-Mode MTPA Control of an IPM Synchronous Motor Drive Using a Sliding-Mode Observer and HF Signal Injection. IEEE Trans. Ind. Electron. 2010, 57, 1270–1278. [Google Scholar] [CrossRef]
- Hasegawa, M.; Matsui, K. Position sensorless control for interior permanent magnet synchronous motor using adaptive flux observer with inductance identification. IET Electr. Power Appl. 2009, 3, 209–217. [Google Scholar] [CrossRef]
- Chen, Z.; Tomita, M.; Doki, S.; Okuma, S. An extended electromotive force model for sensorless control of interior permanent magnet synchronous motors. IEEE Trans. Ind. Electron. 2003, 50, 288–295. [Google Scholar] [CrossRef]
- Zhang, J.; Peng, F.; Huang, Y.; Yao, Y.; Zhu, Z. Online Inductance Identification Using PWM Current Ripple for Position Sensorless Drive of High-Speed Surface-Mounted Permanent Magnet Synchronous Machines. IEEE Trans. Ind. Electron. 2022, 69, 12426–12436. [Google Scholar] [CrossRef]
- Li, Z.W.; Chen, D.D.; Chen, Y.; Lei, H.D.; Zhu, H.G. PMSM parameter identification based on improved PSO. J. Phys. Conf. Ser. 2021, 1754, 12235. [Google Scholar] [CrossRef]
- Liu, W.; Liu, L.; Chung, I.-Y.; Cartes, D.A. Real-time particle swarm optimization based parameter identification applied to permanent magnet synchronous machine. Appl. Soft. Comput. 2011, 11, 2556–2564. [Google Scholar] [CrossRef]














| Denotation | Value |
|---|---|
| Rated power (kW) | 30 |
| Rated torque (N·m) | 100 |
| Rated speed (rpm) | 3000 |
| Number of pole pairs | 4 |
| Stator resistance (Ω) | 0.02 |
| d-axis inductance (mH) | 0.3 |
| q-axis inductance (mH) | 0.6 |
| Flux linkage (Wb) | 0.081 |
| Results | Mean Relative Error with 10 Particles (%) | Mean Relative Error with 5 Particles (%) | Relative Standard Deviation with 10 Particles (%) | Relative Standard Deviation with 5 Particles (%) |
|---|---|---|---|---|
| Iterations | ||||
| 5 | −0.80 | −0.47 | 3.23 | 3.15 |
| 10 | −0.67 | −0.50 | 3.29 | 3.17 |
| 15 | −0.66 | −0.48 | 3.19 | 3.10 |
| 20 | −0.62 | −0.46 | 3.16 | 3.05 |
| Iterations | 5 | 10 | 15 | 20 |
|---|---|---|---|---|
| Particles | ||||
| 10 | 121 µs | 272 µs | 392 µs | 517 µs |
| 15 | 189 µs | 403 µs | 586 µs | 770 µs |
| 20 | 290 µs | 536 µs | 778 µs | 1023 µs |
Disclaimer/Publisher’s Note: The statements, opinions and data contained in all publications are solely those of the individual author(s) and contributor(s) and not of MDPI and/or the editor(s). MDPI and/or the editor(s) disclaim responsibility for any injury to people or property resulting from any ideas, methods, instructions or products referred to in the content. |
© 2024 by the authors. Licensee MDPI, Basel, Switzerland. This article is an open access article distributed under the terms and conditions of the Creative Commons Attribution (CC BY) license (https://creativecommons.org/licenses/by/4.0/).
Share and Cite
Xing, J.; Zhang, J.; Zhuang, X.; Xu, Y. Online Inductance Identification of Permanent Magnet Synchronous Motors Independent of Rotor Position Information. World Electr. Veh. J. 2024, 15, 35. https://doi.org/10.3390/wevj15010035
Xing J, Zhang J, Zhuang X, Xu Y. Online Inductance Identification of Permanent Magnet Synchronous Motors Independent of Rotor Position Information. World Electric Vehicle Journal. 2024; 15(1):35. https://doi.org/10.3390/wevj15010035
Chicago/Turabian StyleXing, Jilei, Junzhi Zhang, Xingming Zhuang, and Yao Xu. 2024. "Online Inductance Identification of Permanent Magnet Synchronous Motors Independent of Rotor Position Information" World Electric Vehicle Journal 15, no. 1: 35. https://doi.org/10.3390/wevj15010035
APA StyleXing, J., Zhang, J., Zhuang, X., & Xu, Y. (2024). Online Inductance Identification of Permanent Magnet Synchronous Motors Independent of Rotor Position Information. World Electric Vehicle Journal, 15(1), 35. https://doi.org/10.3390/wevj15010035

