Spectrum and Energy Efficiency of Uplink Massive MIMO System with D2D Underlay
Abstract
:1. Introduction
1.1. Related Works
1.2. Motivation and Contribution
- The probability density function of the signal-to-interference-plus-noise ratio (SINR) at the CUEs is approximated in closed-form.
- The outage probabilities and the achievable rates of the massive MIMO system and the D2D link are derived in closed-form.
- Constrained by the SE of the D2D link and CUEs, the EE of the massive MIMO system is maximized by jointly optimizing the transmit power of CUEs and the number of BS antennas.
2. System Model
3. Spectrum Efficiency Analysis
3.1. Outage Probability and Achievable Rate of CUEs
3.2. Outage Probability and Achievable Rate of the D2D Link
3.3. Power Management for CUEs
4. Energy Efficiency Optimization
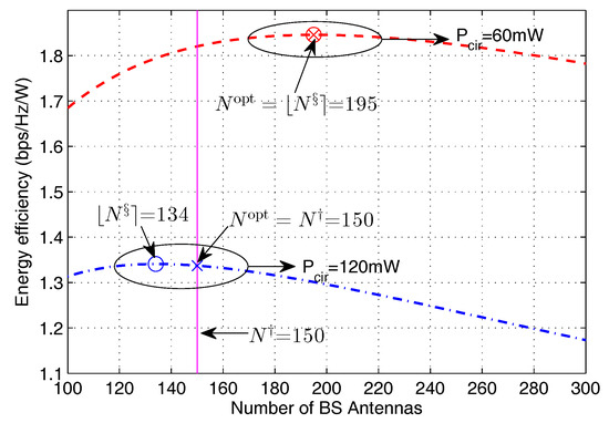
5. Numerical and Simulation Results
6. Conclusions
Author Contributions
Conflicts of Interest
Appendix A. Proof of Theorem 1
Appendix B. Proof of Theorem 2
References
- Larsson, E.G.; Edfors, O.; Tufvesson, F.; Marzetta, T.L. Massive MIMO for next generation wireless systems. IEEE Commun. Mag. 2014, 52, 186–195. [Google Scholar] [CrossRef]
- Björnson, E.; Larsson, E.G.; and Marzetta, T.L. Massive MIMO: Ten myths and one critical question. IEEE Commun. Mag. 2016, 54, 114–123. [Google Scholar] [CrossRef]
- Ngo, H.Q.; Larsson, E.G.; Marzetta, T.L. Energy and spectral efficiency of very large multiuser MIMO systems. IEEE Trans. Commun. 2013, 61, 1436–1449. [Google Scholar]
- Hong, Y.; Marzetta, T.L. Performance of conjugate and zero-forcing beamforming in large-scale antenna systems. IEEE J. Sel. Areas Commun. 2013, 31, 172–179. [Google Scholar]
- Nguyen, H.D.; Sun, S. Massive MIMO versus small-cell systems: Spectral and energy efficiency comparison. In Proceedings of the 2016 IEEE International Conference on Communications, Kuala Lumpur, Malaysia, 22–27 May 2016; pp. 1–6. [Google Scholar]
- Masini, B.M.; Conti, A. Adaptive TORC detection for MC-CDMA wireless systems. IEEE Trans. Commun. 2009, 57, 3460–3471. [Google Scholar] [CrossRef]
- Masini, B.M. The impact of combined equalization on the performance of MC-CDMA systems. J. Commun. 2008, 3, 31–39. [Google Scholar] [CrossRef]
- Wen, C.K.; Jin, S.; Wong, K.K. On the sum-rate of multiuser MIMO uplink channels with jointly-correlated Rician fading. IEEE Trans. Commun. 2011, 59, 2883–2895. [Google Scholar] [CrossRef]
- Wei, L.; Hu, R.Q.; Qian, Y.; Wu, G. Enable Device-to-Device communications underlaying cellular networks: Challenges and research aspects. IEEE Commun. Mag. 2014, 52, 90–96. [Google Scholar] [CrossRef]
- Asadi, A.; Wang, Q.; Mancuso, V. A survey on Device-to-Device communication in cellular networks. IEEE Commun. Surv. Tutor. 2016, 16, 1801–1819. [Google Scholar] [CrossRef]
- Doppler, K.; Rinne, M.; Wijting, C.; Ribeiro, C.B.; Hugl, K. Device-to-Device communication as an underlay to LTE-advanced networks. IEEE Commun. Mag. 2009, 47, 42–49. [Google Scholar] [CrossRef]
- Min, H.; Lee, J.; Park, S.; Hong, D. Capacity enhancement using an interference limited area for Device-to-Device uplink underlaying cellular networks. IEEE Trans. Wireless Commun. 2011, 10, 3995–4000. [Google Scholar] [CrossRef]
- Bazzi, A.; Masini, B.M.; Zanella, A. Performance analysis of V2V beaconing using LTE in direct mode with full duplex radios. IEEE Commun. Lett. 2015, 4, 685–688. [Google Scholar] [CrossRef]
- Palombara, C.L.; Tralli, V.; Masini, B.M.; Conti, A. Relay-assisted diversity communications. IEEE Trans. Veh. Technol. 2013, 62, 415–421. [Google Scholar] [CrossRef]
- Lin, X.; Heath, R.W.; Andrews, J.G. The interplay between massive MIMO and underlaid D2D networking. IEEE Trans. Wirel. Commun. 2015, 14, 3337–3351. [Google Scholar] [CrossRef]
- Amin, B.S.; Ramadan, Y.R.; Ibrahim, A.S.; Ismail, M.H. Power allocation for Device-to-Device communication underlaying massive MIMO multicasting networks. In Proceedings of the Wireless Communications and Networking Conference (WCNC), New Orleans, LA, USA, 9–12 March 2015; pp. 1219–1224. [Google Scholar]
- Shalmashi, S.; Bjornson, E.; Kountouris, M.; Sung, K.W. Energy efficiency and sum rate when massive MIMO meets Device-to-Device communication. In Proceedings of the 2015 IEEE International Conference on Communication Workshop (ICCW), Londin, UK, 8–12 June 2015; pp. 627–632. [Google Scholar]
- Gradshteyn, I.S.; Ryzhik, I.M. Table of Integrals, Series, and Products, 6th ed.; Academic: New York, NY, USA, 1994. [Google Scholar]
- Bjr̎nson, E.; Sanguinetti, L.; Hoydis, J.; Debbah, M. Optimal design of energy-efficient multi-user MIMO systems: Is massive MIMO the answer? IEEE Trans. Wirel. Commun. 2015, 14, 3059–3075. [Google Scholar] [CrossRef]
- Ng, D.W.K.; Lo, E.S.; Schober, R. Energy-efficient resource allocation in OFDMA systems with large numbers of base station antennas. IEEE Trans. Commun. 2009, 11, 3292–3304. [Google Scholar]
- Emmanouil, S.; Traganitis, A.; Ephremides, A. Rate region and power considerations in a simple 2 × 2 interference channel. In Proceedings of the IEEE Information Theory Workshop on Networking and Information Theory, University of Thessaly, Volos, Greece, 10–12 June 2009; pp. 296–300. [Google Scholar]
- Spanakis, E.; Sakkalis, V.; Marias, K.; Traganitis, A. Cross Layer Interference Management in Wireless Biomedical Networks. Entropy 2014, 16, 2085–2104. [Google Scholar] [CrossRef]
- Pefkianakis, I.; Hu, Y.; Wong, S.; Yang, H.; Lu, S. MIMO rate adaptation in 802.11n wireless networks. In Proceedings of the ACM International Conference on Mobile Computing and Networking, Chicago, IL, US, 20–24 September 2010; Volume 18, pp. 257–268. [Google Scholar]
- Hosseini, K.; Yu, W.; Adve, R. Large-scale MIMO versus network MIMO for multicell interference mitigation. IEEE J. Sel. Top. Signal Process. 2014, 8, 930–941. [Google Scholar] [CrossRef]
- Zhong, C.; Wong, K.K.; Jin, S. Capacity bounds for MIMO nakagami-m fading channels. IEEE Trans. Signal Process. 2009, 57, 3613–3623. [Google Scholar] [CrossRef]






© 2017 by the author. Licensee MDPI, Basel, Switzerland. This article is an open access article distributed under the terms and conditions of the Creative Commons Attribution (CC BY) license (http://creativecommons.org/licenses/by/4.0/).
Share and Cite
Wang, X. Spectrum and Energy Efficiency of Uplink Massive MIMO System with D2D Underlay. Future Internet 2017, 9, 12. https://doi.org/10.3390/fi9020012
Wang X. Spectrum and Energy Efficiency of Uplink Massive MIMO System with D2D Underlay. Future Internet. 2017; 9(2):12. https://doi.org/10.3390/fi9020012
Chicago/Turabian StyleWang, Xinhua. 2017. "Spectrum and Energy Efficiency of Uplink Massive MIMO System with D2D Underlay" Future Internet 9, no. 2: 12. https://doi.org/10.3390/fi9020012
APA StyleWang, X. (2017). Spectrum and Energy Efficiency of Uplink Massive MIMO System with D2D Underlay. Future Internet, 9(2), 12. https://doi.org/10.3390/fi9020012
