Next Article in Journal
Node Coloring and Color Conflict Detection in Wireless Sensor Networks
Next Article in Special Issue
An Intrinsic TE Approach for End-to-End QoS Provisioning in OBS Networks Using Static Load-Balanced Routing Strategies
Previous Article in Journal
Exploiting the In-Network Capabilities of Multicast to Discover Proximate IPTV Channels
Previous Article in Special Issue
Anticipation of Traffic Demands to Guarantee QoS in IP/Optical Networks
 
 
Font Type:
Arial Georgia Verdana
Font Size:
Aa Aa Aa
Line Spacing:
Column Width:
Background:
Article

Deficit Round Robin with Fragmentation Scheduling to Achieve Generalized Weighted Fairness for Resource Allocation in IEEE 802.16e Mobile WiMAX Networks

1
Department of Computer Science, Faculty of Science, Khon Kaen University, Thailand
2
Department of Computer Science and Engineering, Washington University in St. Louis, St. Louis, MO 63130, USA
3
Department of Computer Engineering, Yarmouk University, Irbid, 21163, Jordan
*
Author to whom correspondence should be addressed.
Future Internet 2010, 2(4), 446-468; https://doi.org/10.3390/fi2040446
Submission received: 22 September 2010 / Revised: 2 October 2010 / Accepted: 12 October 2010 / Published: 12 October 2010
(This article belongs to the Special Issue QoS in Wired and Wireless IP Networks)

Abstract

:
Deficit Round Robin (DRR) is a fair packet-based scheduling discipline commonly used in wired networks where link capacities do not change with time. However, in wireless networks, especially wireless broadband networks, i.e., IEEE 802.16e Mobile WiMAX, there are two main considerations violate the packet-based service concept for DRR. First, the resources are allocated per Mobile WiMAX frame. To achieve full frame utilization, Mobile WiMAX allows packets to be fragmented. Second, due to a high variation in wireless channel conditions, the link/channel capacity can change over time and location. Therefore, we introduce a Deficit Round Robin with Fragmentation (DRRF) to allocate resources per Mobile WiMAX frame in a fair manner by allowing for varying link capacity and for transmitting fragmented packets. Similar to DRR and Generalized Processor Sharing (GPS), DRRF achieves perfect fairness. DRRF results in a higher throughput than DRR (80% improvement) while causing less overhead than GPS (8 times less than GPS). In addition, in Mobile WiMAX, the quality of service (QoS) offered by service providers is associated with the price paid. This is similar to a cellular phone system; the users may be required to pay air-time charges. Hence, we have also formalized a Generalized Weighted Fairness (GWF) criterion which equalizes a weighted sum of service time units or slots, called temporal fairness, and transmitted bytes, called throughput fairness, for customers who are located in a poor channel condition or at a further distance versus for those who are near the base stations, or have a good channel condition. We use DRRF to demonstrate the application of GWF. These fairness criteria are used to satisfy basic requirements for resource allocation, especially for non real-time traffic. Therefore, we also extend DRRF to support other QoS requirements, such as minimum reserved traffic rate, maximum sustained traffic rate, and traffic priority. For real-time traffic, i.e., video traffic, we compare the performance of DRRF with deadline enforcement to that of Earliest Deadline First (EDF). The results show that DRRF outperforms EDF (higher achievable throughput under the promised delay latency) and maintains fairness under an overload scenario.

1. Introduction

The IEEE 802.16e Mobile WiMAX standard [1] uses Orthogonal Frequency Division Multiple Access (OFDMA) in order to achieve high data rate, long distance coverage, and mobility supports. In Mobile WiMAX OFDMA systems, the entire channel (wireless spectrum) is divided into multiple subcarriers. The number of subcarriers is proportional to the channel spectral width. These subcarriers are also grouped into a number of subchannels. Each mobile station (MS) is assigned a group of subchannels for a certain amount of times, as shown by the two dimensional diagram in Figure 1.
Figure 1. A Sample OFDMA Frame Structure: PUSC [3].
Figure 1. A Sample OFDMA Frame Structure: PUSC [3].
Futureinternet 02 00446 g001
In Figure 1, the vertical axis is frequency (subcarriers or logical subchannels). The horizontal axis is time. The time is measured in units of OFDM (Orthogonal Frequency Division Multiplexing) symbols. Mobile WiMAX uses a fixed frame-based allocation. Basically, each frame is of 5 ms duration [2]. The frame starts with a downlink preamble and Frame Control Header (FCH) followed by downlink (DL) and uplink (UL) maps (DL-MAP and UL-MAP). These maps contain the information elements (IEs) that specify the profile for each burst which consists of a number of OFDM symbols and subchannels. The profile consists of burst-start time, burst-end time, modulation type, and Forward Error Control (FEC) used or to be used in each burst.
Figure 1 also shows a ranging region in the uplink subframe. This region is used to determine the distance between a base station (BS) and mobile stations (MSs) so that the transmission start times at various stations can be properly synchronized. This region helps to set the right transmit power level for each mobile station. A CQI&ACK region is used to send Channel Quality Indication (CQI) feedback and acknowledgements (ACKs). TTG (Transmit to Transmit Gap) and RTG (Receive to Transmit Gap) separate the downlink and uplink subframes.
The resource allocation problem in IEEE 802.16e Mobile WiMAX Networks [3,4,5,6] is about how to schedule resources, i.e., number of slots, for each mobile user in each Mobile WiMAX frame. Note that each slot consists of one subchannel allocated for the duration of some numbers of OFDM symbols. The number of subcarriers in the subchannel and the number of OFDM symbols in the slot depend upon the link direction (uplink or downlink) and subchannelization modes.
The subchannelization mode or the mapping from logical subchannel to multiple physical subcarriers is called a permutation. Basically, there are two types of permutations: distributed and adjacent. The distributed subcarrier permutation is suitable for mobile users while adjacent permutation is for fixed (stationary) users. For example, in the Partially Used Sub-Channelization (PUSC) scheme, one of the distributed permutation modes, one slot consists of one subchannel over two OFDM symbol periods for downlink and one subchannel over three OFDM symbol periods for uplink. Others include Fully Used Subchannelization (FUSC) and Adaptive Modulation and Coding (band-AMC) [1,2]. In this paper, we focus on the PUSC mode, commonly used in a mobile wireless environment [2,4].
The IEEE 802.16e standard supports bi-directional communications as a frequency division duplexing (FDD) and a time division duplexing (TDD). For FDD, the uplink and the downlink use different frequency bands. For TDD, the uplink traffic follows the downlink traffic in the time domain. All scheduling schemes discussed in this paper can be used for both FDD and TDD systems. However, to keep the discussion focused, we use TDD throughout this paper.
Although the IEEE 802.16e standard allows several configurations, such as mesh networks and relay networks, our focus is only on point to multipoint networks. Thus, the resource allocation problem is basically that the base station is the single resource controller for both uplink and downlink directions for each mobile station. The mobile station has an agreed quality of service (QoS) requirement that is negotiated between the base station and the mobile station at the time of the connection setup. The base station grants transmission opportunities to various mobile stations based on their bandwidth requests and QoSs.
In IEEE 802.16e Mobile WiMAX Networks, several modulation and coding schemes (MCSs), such as Binary Phase Shift Keying (BPSK) and Quadrature Amplitude Modulation (QAM), are supported. BPSK results in 1 bit per symbol, and is used for channels in poor conditions. QAM results in more bits per symbol, and is used for more reliable channel conditions. Since MCS used for each user depends upon the user location, and varies with time, the slot capacity (number of bits in the slot) is also varied with time and location. In this paper, we use different MCSs to represent a variation of channel interferences.
The IEEE 802.16e standard defines five classes of service: Unsolicited Grant Service (UGS), extended real-time Polling Service (ertPS), real-time Polling Service (rtPS), non real-time Polling Service (nrtPS), and Best Effort (BE). Each of these has its own set of QoS parameters, such as minimum throughput, maximum allowable delay, and delay variation (delay jitter). In this paper, our focus is on non real-time traffic, i.e., BE and nrtPS classes. The QoS parameters are the throughput and the fairness criteria. However, we also investigate video traffic, an example of a real-time traffic class. The delay constraint (maximum allowable delay) is an additional QoS parameter for this class. For other classes of services, i.e., UGS, and ertPS, normally a fixed size allocation mechanism applied in every Mobile WiMAX frame and/or a simple earliest deadline first (EDF) algorithm can be used as a scheduling discipline [3,5,7].
To summarize, in this paper, our contributions are as follows: first we investigate two fair scheduling algorithms; namely, Generalized Processor Sharing (GPS) [8] and Deficit Round Robin (DRR) [9] in the context of IEEE 802.16e Mobile WiMAX Networks. Each algorithm has its own pros and cons; for example, both GPS and DRR result in perfect fairness, i.e., equal throughput for contending users. Since Mobile WiMAX allows a fragmentation, GPS can utilize full frame resource allocation; however, it creates high overhead because the allocation is usually distributed equally for all MSs in each Mobile WiMAX frame.
In contrast, because of the packet-based allocation framework, DRR results in the least overhead, but can leave some unused-space within the Mobile WiMAX frame. Thus, to achieve both full frame utilization and overhead reduction, we introduce a Deficit Round Robin with Fragmentation (DRRF) [10] by taking advantage of both approaches to best suit the scheduling of the best effort traffic, in which the goal is to maintain the fairness among competing flows.
Second, in wireless networks, the link capacity keeps changing over time and distance. Especially in wireless broadband networks where a longer distance means lower channel quality. The issue of defining fairness depends upon both service provider’s and customers’ points of views. As a result, in this paper, we also propose a Generalized Weighted Fairness (GWF) [11] which equalizes the weighted sum of service time units and transmitted bytes. In Mobile WiMAX, again the service time unit is represented as a number of slots allocated to each mobile station. Mobile WiMAX equipment manufacturers can implement the generalized fairness concept. The service providers can then set a weight parameter to any desired values, and achieve either slot fairness or throughput fairness or some combination of the two. We use DRRF to illustrate the effect of GWF.
In addition, we extend DRRF to support other QoS parameters for non real-time traffic (nrtPS class) in IEEE 802.16e Mobile WiMAX Networks, i.e., minimum reserved traffic rate, maximum sustained traffic rate, and traffic priority [1]. Third, for real-time traffic, i.e., video traffic, we demonstrate the effect of DRRF with deadline (maximum allowable delay) enforcement versus Earliest Deadline First (EDF) [12]. The results show that DRRF outperforms EDF, and maintains fairness under overload scenario [13].
This paper is organized as follows. In Section 2, we describe a simple scheduling technique imitating Generalized Processor Sharing, or GPS, along with Deficit Round Robin (DRR). In Section 3, we discuss a modification of DRR by allowing packet fragmentation, called DRRF. Section 4 presents a concept of Generalized Weighted Fairness (GWF) versus temporal fairness, or slot fairness, and throughput fairness, or byte fairness. Section 5 shows how to derive the quantum size for each mobile user with minimum reserved traffic rate constraint; and how to apply maximum sustained traffic rate and traffic priority parameters to DRRF. We describe scheduling techniques for real-time traffic in Section 6. Section 7 shows simulation results based on DRRF in both real-time and non real-time traffic scenarios. Finally, conclusions are drawn in Section 8.

2. Fair Scheduling Algorithms in IEEE 802.16e Mobile WiMAX Networks

In this section, we describe two well-known scheduling algorithms, commonly used in wired networks. These are Generalized Processor Sharing (GPS) and Deficit Round Robin (DRR).

2.1. Generalized Processor Sharing (GPS)

GPS [8] is a simple throughput fair scheduling algorithm. The GPS concept is derived from the idea of CPU time sharing where each process receives equal amount of shared CPU time. Therefore, the resource allocation is unaware of packet boundary. In general, GPS can achieve ideal perfect fairness. In particular, full frame utilization can be accomplished in the context of a Mobile WiMAX frame-based allocation. Nevertheless, packet fragmentation may occur, resulting in reduced goodput—throughput after overhead—due to MAC (Media Access Control) header and fragmentation subheader overheads.
For example, suppose there is a 300-byte Mobile WiMAX frame capacity, and there are four active mobile stations (MSs). To simplify the derivation, assume that all packets are 125 bytes in size. Then, only one 300/4 = 75-byte fragmented packet will be transmitted in every frame for each MS. With a large number of MSs, the ideal GPS is infeasible due to the effect of fragmentation overheads.

2.2. Deficit Round Robin (DRR)

DRR [4] is one of the simple throughput fair allocations used in wired networks. DRR avoids packet fragmentation overheads by scheduling only a full packet. Basically, the packet is not scheduled, and the deficit (amount that would have been allocated) is stored in case a packet will result in exceeding the fair share.
Table 1 shows an example of DRR. In this example, there are four MSs, and each MS has only one flow. Each flow is mapped to a single queue. Suppose all packets are 125 bytes in size. Again, assuming the Mobile WiMAX frame capacity is 300 bytes. Then, to achieve a fair allocation, the fair share is set to 1/4th of 300 or 75 bytes; this is called the quantum size.
In this example, the packets are scheduled sequentially from each queue. Four frames are illustrated as an example. There are 2 rounds in the first and third frame. There are no rounds in the second and fourth frame. Note that notation N/M is used where N is the size of allowed transmission, and M is the cumulative deficit counter value at the end of that round.
Table 1. Updated Deficit Counter for DRR (Transmitted Packet Size/Deficit Counter) [10].
Table 1. Updated Deficit Counter for DRR (Transmitted Packet Size/Deficit Counter) [10].
Frame No.1st2nd3rd4th
Round12 34
MS#10/750/150125/250/250/1000/175125/500/50
MS#20/750/150125/250/250/1000/175125/500/50
MS#30/750/1500/150125/250/1000/1750/175125/50
MS#40/750/1500/150125/250/1000/1750/175125/50
Basically in each round, the deficit counter is increased by the quantum size, 75. The packets from queues with the deficit counters greater than the head packet size are scheduled. Again, in this particular example, only two packets in each frame are transmitted, and result in 50 unused bytes. The packets being transmitted in each frame are shown in Table 1. Notice that N is always 125 bytes.

3. Deficit Round Robin with Fragmentation (DRRF) (for Best Effort Traffic)

In the previous section, we described the basic idea of two common scheduling algorithms: GPS and DRR. Although GPS can achieve perfect fairness with frame utilization, the resource allocation results in a large overhead. On the other hand, DRR can mitigate the effect of packet fragmentation. However, again full frame utilization cannot be achieved. In other words, some spaces may be left unused in a Mobile WiMAX frame in case the next full packet does not fit in that space. We will also show the simulation results to illustrate these claims (See Section 7). As a result, we introduce a modification of DRR, the so-called Deficit Round Robin with Fragmentation (DRRF) [10].
DRRF is basically a combination of GPS and DRR. In fact, DRRF is similar to DRR, but allows packet fragmentation for the purpose of achieving full frame utilization, that is, in case there are some left-over spaces within a frame, DRRF allocates those left-over spaces to some mobile stations.
Table 2 shows an example of DRRF. Again, we use the same example as in DRR (See Section 2.2). Four frames are illustrated as an example (in 5 rounds). In each round, the deficit counter is increased by the quantum size, 75. Similar to the DRR, the packets with the deficit counter greater than the packet size are scheduled. However, to achieve full frame utilization, a fragmented packet is allowed as well. In other words, a fragmented packet with the deficit counter greater than the fragment size is also scheduled. In this table, there are 2 rounds in the first two frames. In frame 3, there is no round and only one round for the fourth frame. In each frame, some fragmented packets may be also transmitted (we indicate these by bold numbers.)
Table 2. Updated Deficit Counter for DRRF (Transmitted Packet Size/Deficit Counter) [10].
Table 2. Updated Deficit Counter for DRRF (Transmitted Packet Size/Deficit Counter) [10].
Frame No.1st2nd3rd4th
Round12 34 5
MS#10/750/150125/250/250/1000/175100/7525/500/500/125125/0
MS#20/750/150125/250/250/1000/1750/175125/500/500/12575/50
MS#30/750/15050/10075/250/1000/1750/175125/500/500/1250/125
MS#40/750/1500/150125/250/1000/1750/17525/150100/500/1250/125

3.1. Throughput Fair Allocation

In traditional wired networks, the simple scheduling algorithms, i.e., GPS, and DRR, have the assumption that the link capacity is constant over time and location. However, it is not always the case in wireless networks, particularly IEEE 802.16e Mobile WiMAX Networks. In Mobile WiMAX, to support a reliable transmission and throughput optimality, various modulation and coding schemes (MCSs) are allowed. The MCS levels are determined by CINR (Carrier to Interference-plus-Noise Ratio), typically sent back over a CQI&ACK channel, and the desired BLock Error Rate (BLER) [1,2].
Thus, to overcome the issue of varying link capacity, we apply MCSs to calculate the proper quantum size and the updated deficit counters for DRRF. In other words, we basically use the number of requested slots not the number of bytes in the queue length (in downlink direction). The derivation is the ceiling of the queue length and its MCS size (in terms of number of bytes).
For example, for downlink PUSC with 10 MHz and 1024 FFT (Fast Fourier Transform), the number of subcarrier×symbol combinations per slot is 56. Of these, 8 combinations are used as pilots leaving 48 combinations for data. With one bit per symbol coding, this results in 48 bits (or 6 bytes) per slot [1,5]. In case the queue length is 125 bytes, the number of requested slots is Futureinternet 02 00446 i005 or 21 slots.
For uplink PUSC, the requested slots can be derived from the bandwidth request. However, since there is no mechanism to send the information about individual packet sizes to BS, the concept of deficit round robin cannot be applied directly.
For performance comparison, we also apply the MCS levels to calculate the fair share for GPS; and the proper quantum size and updated deficit counters for DRR. In other words, again the resource allocation unit is in terms of number of requested slots.
Notice that in Section 2, if the fair share and the quantum size are measured in slots, in those particular examples, each slot’s capacity is one byte. However, different MCSs result in a different number of bytes per slot, and thus result in different fair share and quantum sizes in bytes. For the rest of the paper, we use the number of requested slots instead of requested bytes for all three schedulers in order to achieve throughput fairness for various channel conditions.

3.2. Max-min Fairness

In the previous section, to achieve throughput fair allocation, we assume that all MSs have infinite traffic to send, and can use the resources allocated to them. In other words, at the scheduling stage all MSs always have packets waiting in their queues. However, in practice, the available traffic is finite. Some MSs may not have enough traffic, may not be able to use a fair share, or may have too much traffic.
Our goal is to make a fair allocation among MSs. In the case where some MSs cannot use a fair share, their left-over share should be fairly allocated to other MSs. This leads to a commonly used max-min criterion for fair allocation. An allocation is said to be max-min fair if it maximizes the allocation for the user who received the minimum. In IEEE 802.16e Mobile WiMAX Networks, we apply the max-min concept by maximizing the minimum number of requested slots.
Figure 2 shows steps in computing the max-min fair allocation. The first step is to compute the number of requested slots from the number of bytes requested by an active mobile station and its MCS. Then, we sort the requested slots for all active MSs in ascending order (Step 2). In Step 3, for each active MS the number of fair share slots is derived. Next, the number of granted slots, the minimum of number of fair share, and the number of requested slots are updated. Then, the number of free slots is updated. This loop continues until there are no more free slots, or the number of requested slots for all active MSs is satisfied. The results are used to as the actual quantum for DRR and DRRF, and the actual fair share allocation for GPS. Note that the quantum size and fair share may change over a frame period according to the MCS level.
Figure 2. Steps in a Simple Max-Min Fairness Algorithm [10].
Figure 2. Steps in a Simple Max-Min Fairness Algorithm [10].
Futureinternet 02 00446 g002
Figure 3. Fairness Definitions. (a) Slot Fair Allocation and Byte Fair Allocation; (b) Weighted Fair Allocation [11].
Figure 3. Fairness Definitions. (a) Slot Fair Allocation and Byte Fair Allocation; (b) Weighted Fair Allocation [11].
Futureinternet 02 00446 g003

4. Generalized Weighted Fairness (GWF)

From the discussion so far, we have described mechanisms on how to achieve throughput fair allocation by applying various modulation and coding schemes (MCSs) to calculate the fair share (as a resource allocation unit). However, in wireless networks, e.g., wireless local area networks, or WLANs, there are two ways to define fairness: temporal fairness and throughput fairness [14].
The former approach is to allocate equal number of service time units to each user. Again, in IEEE 802.16e Mobile WiMAX Networks, the resource allocation is in terms of the number of slots [1,2]. Therefore, here the unit used to achieve the temporal fairness is slot. In other words, the base station will allocate equal number of slots to each user. The users, who are near the base station, and therefore have a very good link, will be able to use good MCSs (multiple bits per symbol), and consequently receive good throughput in bytes per second. This is also called slot fairness or temporal fairness.
On the other hand, the other approach is to allocate equal throughput (or bytes) to each user. The users near the base station will need fewer slots than those who are far away to transmit the same number of bytes. This is called byte fairness or throughput fairness. Figure 3a shows formal descriptions for both slot and byte fairness schemes.
When setting either slot fairness (temporal fairness) or byte fairness (throughput fairness) for each user, it can be argued which definition is better. For example, the users want to run certain applications, such as VoIP (Voice over Internet Protocol), which require a certain bit rate, and so the users would prefer a guaranteed bit rate for their applications or a fair share of the available bit rate in case of best effort service. This is the argument in favor of byte fairness or throughput fairness.
The argument in favor of temporal fairness or slot fairness goes as follows: The service provider has a fixed number of slots, and if the user happens to choose a bad location, e.g., the basement of a building on the edge of the cell, the provider will have to allocate a significant number of slots to provide the same quality of service as to a user who is near the base station. Since the providers have no controls over the user locations, they can argue that they will provide the same resources to all users, and the throughput observed by the user will depend upon their locations.
Some service providers will prefer throughput fairness while the others will favor the slot fairness. The equipment manufacturers should allow both possibilities. One way to do this is to implement the weighted fairness introduced in this paper [11]. The formal definition of the weighted fairness is shown in Figure 3b.
In general, setting the weight, w, to 0 results in byte fairness, and setting it to 1 results in slot fairness. A carrier can select the weight to be either of the two values or any values between 0 and 1. Note that the GWF formulation as defined in Figure 3b uses equal weight for all mobile stations. It is possible to generalize this formulation further by allowing different weights for different mobile users based on their priorities or the price paid.

4.1. DRRF and GWF

To apply the generalized weighted fairness (GWF) concept into IEEE 802.16e Mobile WiMAX Networks, we modified the Deficit Round Robin with Fragmentation (DRRF) algorithm so that the resource allocation follows the GWF criterion. We first calculate the pre-quantum number derived from the GWF equation (See Figure 3b). Then, similar to the quantum derivation in DRRF, the finalized quantum number is updated based on number of free slots, queue length, and its deficit counter (See also Figure 2).

5. DRRF Extensions (for Non Real-time Traffic)

In Section 3 and Section 4, we discussed how the scheduler can achieve (weighted) fair allocation using DRRF. The concept of fair allocation can be applied easily to the best effort (BE) traffic. However, in IEEE 802.16e Mobile WiMAX Networks, there are also other quality of service (QoS) parameters used for non real-time Polling Service (nrtPS), i.e., minimum reserved traffic rate, maximum sustained rate, and traffic priority [1,3]. Therefore, this section describes how to modify DRRF to support those parameters. Note that to simplify the derivation; we assume all these three criteria are based on the throughput requirement. In other words, considering the GWF criterion, the weighted value is set to 0.

5.1. Minimum Reserved Traffic Rate Extension

As described so far, the scheduling scheme ensures that all users will achieve fair throughput with the channel conditions’ considerations. However, by defining minimum reserved traffic rate, or rmin, some users may need to be favored over others. Note that users without minimum reserved traffic rates are treated as users with a zero guaranteed rate.
We modified DRRF by updating the deficit counter to achieve a minimum guaranteed rate criterion. First, similar to what we described in Section 3, we derive the number of requested slots, requested_slots, from the queue length and its corresponding MCS. Then, we calculate the number of slots required to guarantee the minimum reserved traffic rate, rmin_slots. The minimum of these two numbers, called pre_deficit, is used to update the deficit counter. Then, the number of free slots used to calculate the proper quantum is also updated accordingly.
Futureinternet 02 00446 i001
Futureinternet 02 00446 i002
Equations 1 and 2 show how to derive these numbers. Here, t_frame is Mobile WiMAX frame size (5 ms). MCS_size(i) is the number of bytes per slot for the given MCS level of mobile station i. Note that after these derivations, we also apply the max-min fairness algorithm (See Figure 2) to calculate the proper quantum size to distribute the left-over slots fairly for both two categories: (1) MSs without minimum reserved traffic rate and (2) MSs with minimum reserved traffic rate but still need more slots than the total guarantee.

5.2. Maximum Sustained Traffic Rate Extension

Maximum sustained traffic rate, rmax, is typically used to control the peak rate. This rate excludes overheads, such as a MAC header and other subheaders [1,2]. We modified DRRF to achieve this criterion as follows: We derive the maximum number of slots required to meet rmax. We call this number rmax_slots. The derivation is shown below (Equation 3):
Futureinternet 02 00446 i003
Here, again t_frame is the frame size. MCS_size(i) is the number of bytes per slot for the given MCS level of MS i. Note that instead of the ceiling function in case of rmin_slots, here we use a floor function.
Then, we apply the max-min fairness algorithm first without rmax constraint. Consequently, the number of fair share slots is derived. Due to the rmax constraint, some MSs may receive the fair share which is over the rmax limitation. We limit those fair shares to rmax_slots. Finally, in case there are some left-over slots due to the rmax limitation, we then apply another round of the max-min fairness algorithm to distribute the left-over slots fairly among the flows which have no rmax constraint.

5.3. Traffic Priority Extension

In IEEE 802.16e Mobile WiMAX Networks, traffic priority is one of the QoS parameters which differentiate the relative importance of flows within the same QoS class in which all other QoS parameters are identical. The standard does not specify how to differentiate between traffic priorities; however, it recommends that the scheduler should give lower delay and/or higher buffering preference for flows with high priority [1,3].
In a priority based system, flows of higher priority are serviced before those of lower priority. Fairness implies that multiple flows of the same priority should get similar service, that is, if the system is overloaded, all flows of the lowest priority should be penalized equally. It is also a good practice to police the higher priority flows so that they do not overload the system, and starve lower priority flows.

6. DRRF and Real-time Traffic

Based on the discussion so far, we have introduced a Deficit Round Robin with Fragmentation (DRRF) and its extensions including the Generalized Weighted Fairness criterion basically to support both Best Effort (BE) and non real-time Polling Service (nrtPS) classes for IEEE 802.16e Mobile WiMAX. However, Mobile WiMAX also supports a real-time Polling Service (rtPS) class [1,3]. For the formal two classes, the performance metrics are based on fairness and throughput guarantees. For rtPS, an additional QoS parameter is the delay (maximum allowable delay) constraint and optional delay jitter (delay variation).
In this section, we focus on an investigation of a well-known scheduler for real-time traffic in wired networks, i.e., EDF (Earliest Deadline First), applied in IEEE 802.16 WiMAX Networks. Note that a Deficit Round Robin (DRR) scheduling algorithm is commonly used to schedule non real-time traffic basically to maintain the expected throughput and fairness in a downlink direction [3]. We compare the results with DRRF (Deficit Round Robin with Fragmentation), as we described earlier, as well as a combination of the two.

6.1. Earliest Deadline First (EDF)

Given a set of flows, the first algorithm, EDF [12], compares the packets at the head of the flow queues, and schedules the packet the earliest deadline constraint. One additional complication in the case of Mobile WiMAX is that the entire packet may not fit in the current Mobile WiMAX frame, and a fragment may be left-over. This fragment is possibly transmitted first in the next Mobile WiMAX frame. The entire packet is discarded if the fragment does not meet the deadline (or delay constraint).

6.2. Deficit Round Robin with Fragmentation (DRRF)

Traditionally, DRR [9] is used to avoid packet fragmentation by scheduling only a full packet. If a packet will result in exceeding the fair share, the packet is not scheduled, and then the deficit (amount that would have been allocated) is stored. However, to fully utilize a Mobile WiMAX frame, we use a modified version of DRR, proposed in this paper (See Section 3), DRR with fragmentation, or DRRF. In general, if a packet meets the fair share limit, we schedule it in the current Mobile WiMAX frame, and if necessary, allow the part that will not fit in the current Mobile WiMAX frame to be scheduled in the next frame. This ensures that Mobile WiMAX frame capacity is not wasted.

6.3. Earliest Deadline First with DRRF (EDF-DRRF)

For a combination of EDF and DRRF, called EDF-DRRF, we first apply EDF, and then regulate the packet stream with DRRF. In other words, the packets are sorted according to the deadline, and then DRRF is used to decide whether the packet with the earliest deadline is eligible for transmission without exhausting the flow’s credits (deficits). Again, we allow fragmented packets to be transmitted for frame utilization purposes.

6.4. Scheduling Algorithms with Enforced Deadline

For real-time traffic, video traffic in particular, received packets with the huge delay or over the deadline are not useful. Since the deadline or average delay is negotiated during the connection setup, we can use the deadline information at the scheduler by dropping the packets that are over the deadline, and then save the bandwidth. Therefore, for all three algorithms described above, packets are dropped if they will not meet the deadline after transmission. We also analyze cases without this option; however, the results showed worse performance with a large fraction of packets being discarded at the destination due to exceeding the deadline. We conclude that given the resource constrained nature of a wireless medium, any reasonable implementation should minimize waste by discarding late packets before transmission.

7. Performance Evaluation

In this section, we present four main simulation results to show the effect of DRRF in both non real-time and real-time traffic: (1) DRRF, (2) DRRF+GWF, (3) DRRF Extensions, and (4) EDF-DRRF. The first simulation configuration is used to show system performance of DRRF in terms of system throughput, percentage of overheads, and fairness index of DRRF compared to GPS and DRR. The second configuration is to show if DRRF can be used to achieve GWF criteria. The third configuration is to show whether DRRF can support other QoS parameters for nrtPS. Finally, the fourth configuration is to show system performance of EDF, DRRF, and EDF-DRRF in terms of system throughput, delay, delay jitter, and fairness.

7.1. Simulation Parameters and Topology

The simulation parameters follow the performance evaluation parameters specified in Mobile WiMAX System Evaluation documents and WiMAX profiles [2]. These parameters are briefly summarized in Table 3. With 10 MHz system bandwidth, 5 ms frame, 1/8 cyclic prefix, and a DL:UL ratio of 2:1, the number of downlink symbol-columns per frame is 29 [2] (18 for uplink). Note that 1.6 symbol-columns are used for TTG and RTG. Of these, 1 symbol-column is used for preamble. In the Partial Usage of Subchannels (PUSC) mode, there are 30 subchannels in the downlink, and each slot consists of one channel over two symbol durations. As a result, there are 30 × (24/2) = 360 downlink slots per frame. Each MS has only one flow, and is mapped to a different MCS used in Mobile WiMAX.
Table 3. Performance Evaluation Parameters [2,5].
Table 3. Performance Evaluation Parameters [2,5].
ParameterValue
PHYOFDMA
Duplexing modeTDD
Frame length5 ms
System bandwidth10 MHz
FFT size1024
Cyclic prefix length1/8
DL permutation zonePUSC
RTG + TTG1.6 symbol
DL:UL ratio2:1 (29: 18 OFDM symbols)
DL preamble1 symbol-column
MAC PDU sizeVariable length
ARQ and packingDisable
FragmentationEnable
DL-UL MAPs4 symbol-columns
Table 4. Data Throughput Analysis (excluding DCD/UCD) [5].
Table 4. Data Throughput Analysis (excluding DCD/UCD) [5].
MCSBit per symbolCoding rateBytes per slotThroughput (kbps)
BPSK1/21½31728
QPSK1/22½63456
QPSK3/42¾95184
16QAM1/24½126912
16QAM3/44¾1810368
64QAM2/362413824
64QAM3/46¾2715552
Of these, Frame Control Header (FCH), DL-MAP, UL-MAP, Downlink Channel Descriptor (DCD), and Uplink Channel Descriptor (UCD) overheads can approximately range from 51 slots to 195 slots (including 31 slots for DCD/UCD in case of five, and fifteen mobile stations, respectively [5,8,10,13]). The repetition of 4 with QPSK1/2 is used for MAPs.
Notice that the total overhead depends on the number of actual burst allocations in both uplink and downlink; and other management messages.
Table 4 lists system throughput for each MCS. We show seven MCSs. The analysis can be easily extended for more flows or MCSs. In our analysis, interference is represented as a change of MCS. To keep it simple, the MCS level is constant over the simulation period.
We consider only downlink resource allocation because we want to analyze the effect of overheads for various scheduling algorithms. For DL, the queue size in number of bytes is translated to the number of requested slots. The analysis for UL is very similar except that the bandwidth requests are used to derive the number of requested slots. However, BS has no information about individual packet sizes. Therefore, both DRR and DRRF cannot be used for uplink scheduling.
We used a modified version of the WiMAX Forum’s ns-2 simulator [15] in which a mobile WiMAX module has been added [16].
Consider a topology configuration. Figure 4 shows the simulation topology, a standard point to multipoint configuration. BS is a central control for resource allocation for both uplink and downlink directions. The link between BS and MSs is the only bottleneck link.
Figure 4. Simulation Topology.
Figure 4. Simulation Topology.
Futureinternet 02 00446 g004

7.2. Simulation Configurations

In this section, we describe the simulation configurations for DRRF in both real-time and non real-time traffic scenarios. The metrics are the throughput (used to achieve three constraints: minimum rate guaranteed, maximum rate, and traffic priority) and percentage of overhead reduction. Note that the percentage of overheads was calculated from a MAC header and a fragmentation subheader. We do not consider an optional packing subheader and other subheaders. In terms of fairness, we used a well-known Jain Fairness index [17], which is computed as follows:
Futureinternet 02 00446 i004
In this equation (Equation 4), xi is the throughput for the ith MS, and there are n MSs or n flows. For a real-time traffic class, we used the deadline or hard delay constraint as the metric versus throughput fairness.
Again, there are four main configurations: (1) DRRF, (2) DRRF+GWF, (3) DRRF Extensions, and (4) EDF-DRRF (See Table 5). For (1) and (3), the simulations were run from 0 to 10 seconds with 5 seconds of traffic duration. Flows start at 5 seconds, and then end at 10 seconds. There are ranging, registration, and connection setup processes during the first 5 seconds. The packet size was set at 1500 bytes. Each queue is 100 packets long; one queue per flow.
For (2) and (4), the simulations were run from 0 to 22 seconds with 10 seconds of traffic duration. Flows start at 10, 10.02, 10.04, and 10.06 seconds, and then end after 20 seconds. The packet size was set at 500 bytes. At the base station, there is one queue for each mobile station, and each queue is 50 packets long.
Table 5. System Configurations.
Table 5. System Configurations.
SchemeNumber of MSsBit RatesMCSNote
7.2.1(a) GPS,DRR, and DRRF5 MSsCBR; 3 Mbps eachQPSK3/4, 16QAM1/2, 16QAM3/4, 64QAM2/3, 64QAM3/4
7.2.1(b) GPS,DRR, and DRRF15 MSsCBR: 500 KbpsQPSK3/4
7.2.2 DRRF and GWF4 MSsCBR: 5 MbpsQPSK3/4Weight = 0.0, 0.5, and 1.0.
7.2.3(a) DRRF extension5 MSsCBR: 3 MbpsQPSK3/4One MS is 2 Mbps min rate
7.2.3(b) DRRF extension5 MSsCBR: 3 MbpsQPSK3/4One MS is 500 kbps max rate
7.2.3(c) DRRF extension5 MSsCBR: 1.5 MbpsQPSK3/42 MSs with priority 1 and the other 2 MSs with priority 2
7.2.4(a) EDF, DRRF, EDF-DRRF3 MSs + 1 MS3 Videos: 1.35 Mbps average rate
1 CBR: 3 Mbps
QPSK3/4Underload
7.2.4(b) EDF, DRRF, EDF-DRRF5 MSs5 Videos: 1.35 Mbps average rateQPSK3/4Overload
7.2.4(c) EDF, DRRF, EDF-DRRF3 MSs + 1 Ms2 Videos: 1.35 Mbps average rate
1 Video: 3.3 Mbps average rate
1 CBR: 3 Mbps
QPSK3/4One ill-behaved flow

7.2.1. GPS, DRR, and DRRF

We illustrate that DRRF outperforms GPS and DRR by showing the fairness and the overhead reduction versus system utilization. To exercise the effect of the scheduler, we used Constant Bit Rate (CBR) traffic flows. We did not use TCP (Transmission Control Protocol) flows because the slow-start feedback mechanism of TCP has a significant impact on the resource usage, and it is difficult to isolate the effect of TCP from that of the scheduling algorithm. In stead, we use CBR traffic so that the results indicate effects on non-TCP applications like mobile video.
First (7.2.1a), to show the effect of throughput fairness, there are 5 MSs in this configuration competing at the same bottleneck link. Each MS has 3 Mbps CBR traffic rate. Each MS has only one flow, and is mapped to one of the MCSs shown in Table 4 (from QPSK3/4 to 64QAM3/4).
Second (7.2.1b), to show the effect of the overhead reduction versus the system utilization, we simulated 15 MSs. Again, each MS has only one flow with 500 kbps CBR traffic. The modulation and coding scheme was fixed to QPSK3/4.
Note that five flows (15 Mbps) and fifteen flows (7.5 Mbps) can saturate the link capacity so that the fairness is exercised; there are dropped packets due to buffer overflow at the base station.

7.2.2. DRRF and GWF

DRRF was chosen to show the effect of GWF. Therefore, the set up is similar to the DRRF simulation configuration. However, we only used 4 MSs with 5 Mbps CBR traffic rate. These 4 MSs can saturate the link capacity so that the fairness is exercised. Although we simulated four CBR flows to demonstrate the effect of GWF, with more mobile stations or number of flows, intuitively the effect of weighted fairness will be more obvious. Moreover, we set the weight values at 0.0, 0.5, and 1.0.

7.2.3. DRRF Extensions

In this setup, we show that DRRF can support three other nrtPS QoS parameters; namely, minimum reserved traffic rate, maximum sustained rate, and traffic priority.
We used Constant Bit Rate (CBR) traffic flows. There are 5 MSs in this configuration competing at the same bottleneck link, and 3 Mbps each. However, we fixed the MCS level to QPSK3/4 and a minimum reserved traffic rate of 2 Mbps for MS1 (7.2.3a).
With a maximum sustained traffic rate extension (7.2.3b), again there are five MSs with 3 Mbps each used the MCS level of QPSK3/4. In addition, we set the maximum sustained traffic rate of MS1 to 500 kbps. There is no minimum reserved traffic rate required.
Finally, with a traffic priority extension (7.2.3c), we simulated 5 MSs, 1.5 Mbps each with the MCS level of QPSK3/4. However, we set the traffic priority of MS1 and MS2 at 2, and MS3 to MS5 at 1. There are no other constraints. The expected fair throughputs of the first two MSs are 1.5 Mbps and the fair share of the left-over capacity for MS3 to MS5.

7.2.4. EDF, DRRF, and EDF-DRRF

There are three main simulation configurations in order to show the fairness behavior among all MSs and the delay constraints for all three algorithms.
First (7.2.4a), an under-load scenario with three video flows with 1.35 Mbps average rate each, and one Constant Bit Rate (CBR) flow with 3 Mbps. The purpose of CBR flow is to measure the unused space in the frame. We treated the CBR flow as a lower priority so that the CBR flow acquires transmission opportunity only if there is an unused space within the WiMAX frame. The second case (7.2.4b) is an overload scenario with five video flows with 1.35 Mbps average rate each.
Third (7.2.4c), we used three video flows and one CBR flow; however, one of the video flows is ill-behaved or sending more traffic. Note that because of the effect of link overload, CBR flows do not really get any transmission opportunities in this particular case.
Again, for all video flows, we used the SAM traffic generator [13] to produce a video stream with an average rate of 1.35 Mbps and 3.3 Mbps (for the ill-behaved flow). The SAM traffic generator was based on the video trace from Lord of the Ring movies: Episode I, II, and III. We also randomly chose 10-second scenes for both under-load and overload scenarios. The full trace is available for the research community as shown in the reference [18].
Although we used three to five flows to show the effect of fairness, the results are expected to be similar with a greater number of MSs and higher MCS levels. Note that the video frames were packetized, and so RTP (Real-Time Transport Protocol), UDP (User Datagram Protocol), and IP header overheads were added. All video flows’ deadlines were set to 20 ms.
Table 6. System Throughput versus Percentage of Overheads [10].
Table 6. System Throughput versus Percentage of Overheads [10].
AlgorithmSystem Throughput (kbps)Percentage of OverheadJain Fairness Index
GPS4,6584.621.00
DRR2,4180.371.00
DRRF4,6510.711.00

7.3. Simulation Results and Discussions

In this section, we show the simulation results based on the simulation configuration discussed in the previous section to illustrate the effect of DRRF in terms of throughput, fairness, and delay.

7.3.1. GPS, DRR, and DRRF

We show system throughput, percentage of overhead, and fairness index of GPS, DRR, and DRRF. The results show that the throughput is similar to that obtained by our numerical analysis (GPS and DRRF). Note that the actual throughput varies because of the variation of the actual number of burst, Downlink Channel Descriptor (DCD), Uplink Channel Descriptor (UCD), and other management messages being transmitted as well.
For the first scenario, since the number of slots is derived from the queue length, and its MCS level is used, the results show that all three algorithms can achieve perfect throughput fairness (Jain Fairness Index is 1.) The average throughput of GPS and DRRF is around 1.78 Mbps. For DRR, the average throughput is around 1.47 Mbps due to the frame underutilization.
In the second scenario (See also Table 6), the overhead versus system utilization, since DRR only sends a full packet; the percentage of the overhead is the lowest (0.37%). In other words, there are no fragmented packets. Table 6 shows that the overhead of GPS is the highest because GPS has no consideration of the packet size (an allocated portion of the packet is transmitted to each MS in each frame.) The overhead of DRRF is close to that of DRR because it favors full packet transmission with fragmentation allowed.
In terms of system throughput, since the fragmentation is not allowed for DRR, the system throughput of DRR is the lowest, i.e., 2.42 Mbps versus 4.65 Mbps for GPS and DRRF. To sum up, DRRF provides higher system throughput than DRR, and has less overhead than GPS.

7.3.2. DRRF and GWF

Figure 5a, Figure 5b, and Figure 6a show that the throughput follows the GWF criterion with weights of 0, 1, and 0.5. Figure 5a shows that all mobile stations achieve byte fairness with the weight set to 0. Figure 5b shows slot fairness with weight 1. In other words, the mobile station throughput is proportional to its channel condition or modulation and coding scheme (MCS). Figure 6a shows the effect of GWF with weighted fairness of 0.5.
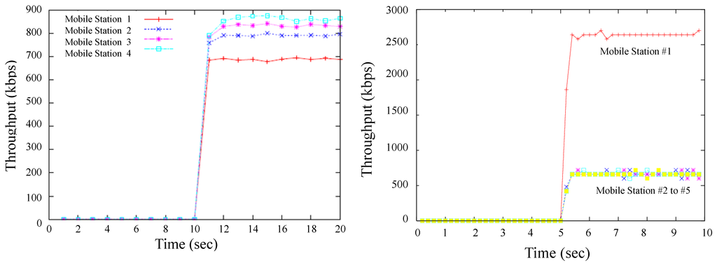
Figure 5. DRRF Throughput. a. (left) 4 flows: with GWF weight 0; b. (right) 4 flows: with GWF weight 1 [11].
Figure 5. DRRF Throughput. a. (left) 4 flows: with GWF weight 0; b. (right) 4 flows: with GWF weight 1 [11].
Futureinternet 02 00446 g005
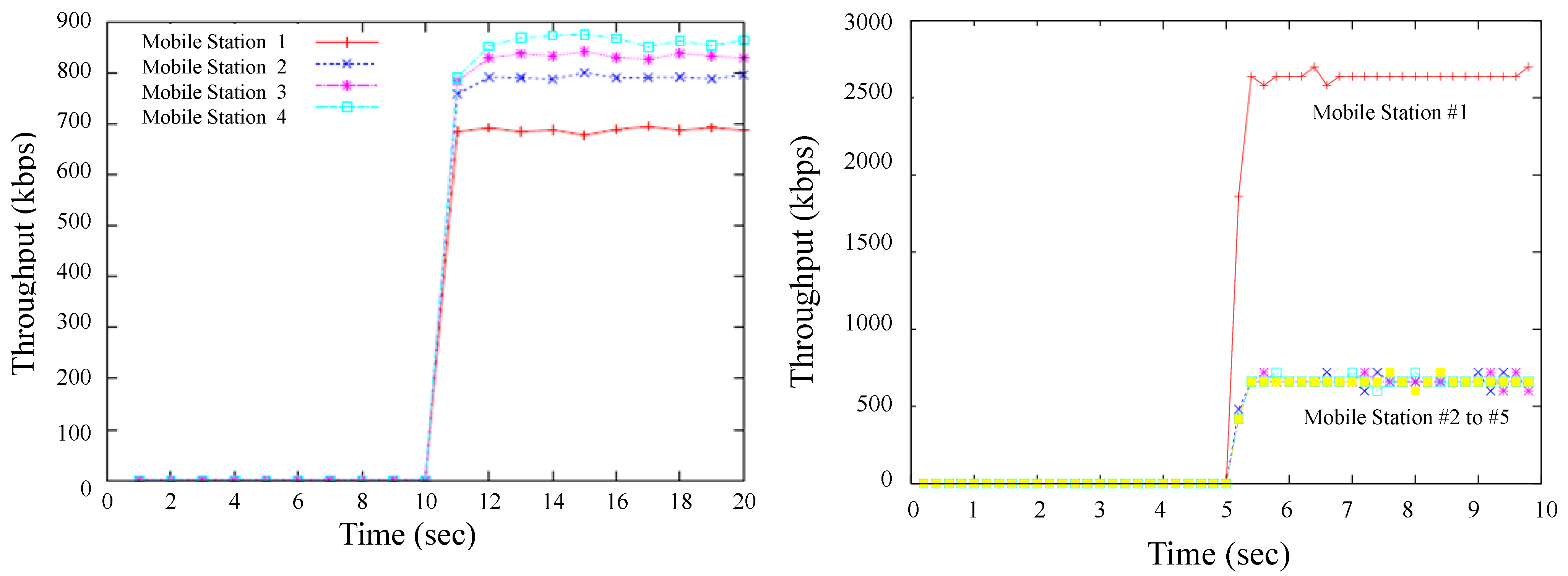
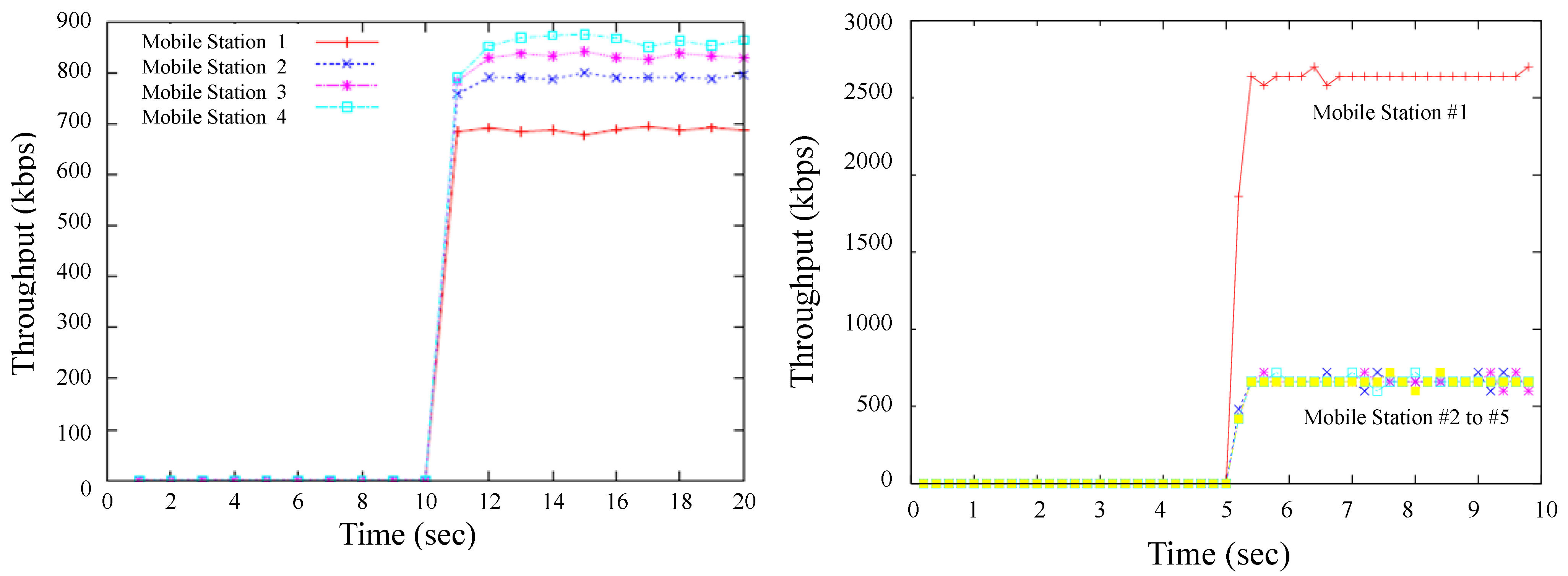
Figure 6. DRRF Throughput. a. (left) 4 flows: with GWF weight 0.5; b. (right) 5 flows: MS1 with 2Mbps rmin [10,11].
Figure 6. DRRF Throughput. a. (left) 4 flows: with GWF weight 0.5; b. (right) 5 flows: MS1 with 2Mbps rmin [10,11].
Futureinternet 02 00446 g006
Notice that the throughput varies because of Downlink Channel Descriptor (DCD), Uplink Channel Descriptor (UCD), and other management messages being transmitted as well. In addition, since the packing feature is disabled, the anticipated number of a MAC header for each allocation is not precise; the overhead here includes both the MAC header (6 bytes) and the fragmentation subheader (2 bytes). In these and subsequent figures, the variability is low and so the confidence intervals are expected to be small.

7.3.3. DRRF Extensions

We show that DRRF can support three other nrtPS QoS parameters. With a minimum reserved traffic rate extension, the result shows DRRF can support the minimum reserved traffic rate. Figure 6b shows the throughput for all five MSs. In general, MS1 receives the minimum bandwidth at 2 Mbps, and the left-over bandwidth is distributed fairly among MS1 and other mobile stations. Observing that to meet the 2 Mbps rate guaranteed, BS also needs to consider two main overheads: a 6-byte MAC header and a 2-byte fragmentation subheader.
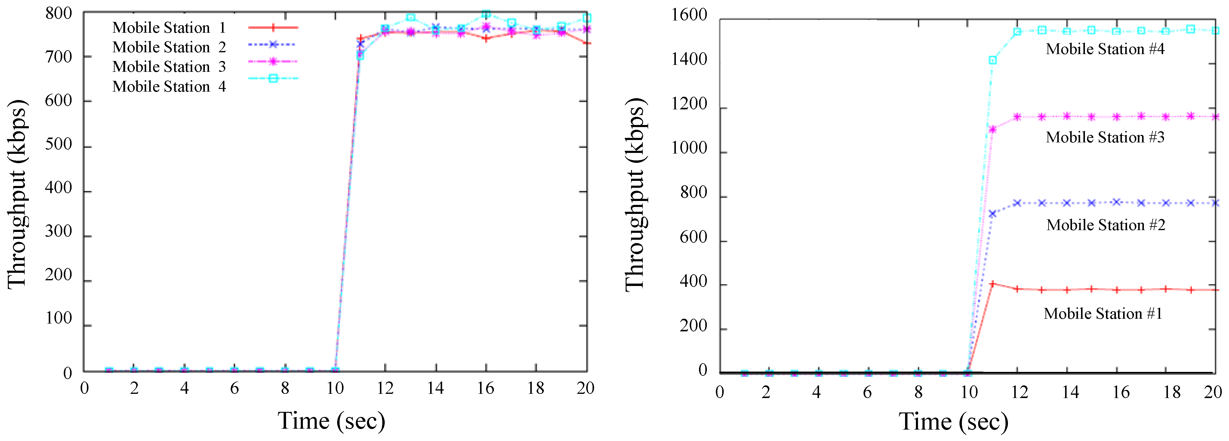
For DRRF with a maximum sustained traffic rate extension, Figure 7a shows that the average throughput of MS1 is 492 kbps, and the left-over bandwidth is distributed fairly among others (fairness indexes are all 1, each flow throughput except MS1 is around 1.2 Mbps.)
Finally, for DRRF with a traffic priority extension, Figure 7b shows both flows of priority 2 receive equal throughput, i.e., 1.5 Mbps, while the three flows of priority 1 receive a fair share of the left-over capacity, i.e., 0.7 Mbps.
Figure 7. DRRF Throughput. a. (left) with 5 flows: MS1 with 500 kbps rmax; b. (right) 5 flows: MS1 and MS1 with traffic priority 2 and MS3 to MS5 with traffic priority 1 [10].
Figure 7. DRRF Throughput. a. (left) with 5 flows: MS1 with 500 kbps rmax; b. (right) 5 flows: MS1 and MS1 with traffic priority 2 and MS3 to MS5 with traffic priority 1 [10].
Futureinternet 02 00446 g007

7.3.4. EDF, DRRF, and EDF-DRRF

We show system throughput, delay, and delay jitter of EDF, DRRF, and EDF-DRRF with deadline enforcement. For the first scenario (under-load scenario), all three algorithms result in the same throughput, 1.5, 1.24, and 1.49 Mbps with 1.19 Mbps with CBR. There are no dropped packets for video flows. The average delay ranges from 6 to 7 ms.
Table 7 shows the results for the second overload scenario with deadline enforcement. Because of the deadline enforced, average delays for all three algorithms are within the specified deadline of 20 ms plus 5 ms additional transmission delays (duration of the WiMAX frame). EDF is unfair, while DRR and EDF-DRRF are fair. The degree of fairness of DRRF is a bit higher than EDF-DRRF, 0.9998 versus 0.9986, respectively.
Table 8 shows the results for the case with one ill-behaved flow. Deadline is enforced for all flows. Again, EDF cannot maintain the share for well-behaved flows. On the other hand, DRRF and EDF-DRRF can achieve max-min fairness for all flows.
Table 7. System Throughput, Delay, and Delay Jitter with Deadline Enforced (5 Flows in Overload Scenario) (a) EDF, (b) DRRF, and (c) EDF-DRRF [13].
Table 7. System Throughput, Delay, and Delay Jitter with Deadline Enforced (5 Flows in Overload Scenario) (a) EDF, (b) DRRF, and (c) EDF-DRRF [13].
Mobile StationSender (Mbps)Receive (Mbps)Delay (ms)Delay Jitter (ms)
(a) EDF
11.490.9021.381.80
21.180.7620.832.07
31.531.1421.311.79
41.240.7421.221.83
51.471.1121.201.75
(b) DRRF
11.490.9518.653.84
21.180.9816.274.30
31.530.9619.033.46
41.240.9716.914.31
51.470.9818.283.86
(c) EDF-DRRF
11.490.8919.633.08
21.180.9517.074.26
31.530.8519.903.24
41.240.8918.044.04
51.470.8819.633.06
Table 8. System Throughput, Delay, and Delay Jitter with Enforced Deadline: 2 Well-Behaved Flows and 1 Ill-Behaved Flow in Overload Scenario (a) EDF, (b) DRRF, and (c) EDF-DRRF [13].
Table 8. System Throughput, Delay, and Delay Jitter with Enforced Deadline: 2 Well-Behaved Flows and 1 Ill-Behaved Flow in Overload Scenario (a) EDF, (b) DRRF, and (c) EDF-DRRF [13].
Mobile StationSend (Mbps)Receive (Mbps)Delay (ms)Delay Jitter (ms)
(a) EDF
11.491.1920.411.93
21.241.0320.161.99
33.332.6621.281.83
(b) DRRF
11.491.499.693.33
21.241.248.703.05
33.332.3420.582.87
(c) EDF-DRRF
11.491.499.803.72
21.241.249.073.41
33.332.3420.622.77
The results in Table 7 and Table 8 follow the theoretical expectation in that EDF with a hard deadline constraint dominates the resources resulting in other flows to starve and their packets to be dropped because video traffic is bursty in its nature. Hence, the number of the dropped packets in the EDF scheme is higher than in the other schemes. Bursty packets with deadline constraints results in larger delays for packets in other queues.
Consider delay jitter. Since we use bursty traffic which allows a group of continuous packets to be passed in a short time, the results show in a smaller delay jitter value. In comparing DRR and EDF-DRRF, in EDF-DRRF the bursty nature of the traffic restricts the influence of EDF, and allow more dominance of DRRF that results in similar values to the one obtained by using DRRF.

8. Conclusions

In this paper, we investigated a Deficit Round Robin (DRR) and a simple scheduling algorithm (imitating Generalized Processor Sharing or GPS) in the context of IEEE 802.16e Mobile WiMAX Networks. We introduced a modification of DRR by allowing packet fragmentation (DRRF) to take the best features of both DRR (reducing a fragmentation overhead) and GPS (achieving full WiMAX frame utilization).
To overcome the issue of varying link capacity, we used the slot allocation derived from the queue lengths and MCSs. The results show that all three scheduling algorithms can achieve perfect throughput fairness, but the total utilization of the link and the percentages of overhead are different. DRRF provides the best goodput.
In addition, we formulated a general definition of fairness, the so-called Generalized Weighted Fairness, or GWF. In Mobile WiMAX, this definition provides a compromise between slot fairness or temporal fairness in which the service provider allocates slots fairly, but throughput of the users varies with their locations, and byte fairness or throughput fairness, in which all users get the same throughput, but the service provider has to allocate extra resources for users in poor channel conditions. The GWF criteria allow the service providers to configure the weight parameter to any values between 0 and 1, and achieve any levels of compromise between these two extremes. We also used DRRF as the scheduling discipline to show the effect of GWF.
In general, DRRF can be used as a best effort (BE) scheduler when the fairness is mainly used as the metric. However, to support a non real-time Polling Service (nrtPS) class, a mechanism to derive a proper quantum number was also introduced for DRRF to support users with minimum reserved traffic rate, maximum sustained traffic rate, and traffic priority constraints.
For a real-time Polling Service (rtPS) class, in this paper, video traffic is used as an example. Common well-known scheduling disciplines, Earliest Deadline First (EDF) and DRRF, were investigated. We demonstrated the effect of EDF and DRRF with the deadline enforced. The results show that DRRF outperforms EDF, and maintains fairness under an overload scenario.
Notice that although the simulations show the precise effect of each algorithm, more variations of simulation topologies, configurations, different traffic types including large number of mobile stations, and variable packet sizes can be further investigated. Moreover, with Automatic Repeat reQest (ARQ) and Hybrid ARQ features enabled, the scheduler needs to accommodate scheduling of the retransmission/feedback and the boundary of ARQ blocks [19].
One more requirement for Mobile WiMAX scheduling with Hybrid ARQ disabled is that all downlink allocations being mapped to a rectangular area in the Orthogonal Frequency Division Multiple Access (OFDMA) frame. That restriction can reduce the throughput because some spaces may need to be left unused to make the allocation rectangular [20]. Moreover, the optional packing feature can also be added. These issues need further investigation.
In our analysis, we assumed that the throughput is always non-zero, i.e., the worst case MCS is BPSK. However, it is possible that the channel conditions are so poor that even BPSK will not work. In other words, the base station and/or the mobile station cannot transmit any bits for some time. In this case, the scheduler can simply record the transmitted opportunity of MSs during the unacceptable channel state condition [3]. Then, once the mobile station is in an acceptable channel condition, the MS will receive the transmission opportunity back within some specified thresholds distributed uniformly over some periods to prevent the starvation of other flows.

References

  1. Institute of Electrical and Electronics Engineers. In IEEE Standard for Local and Metropolitan Area Networks. Part 16: Air Interface for Broadband Wireless Access Systems; IEEE Std-802.16-2009; IEEE: New York, NY, USA, 2009; p. 2082.
  2. WiMAX Forum. WiMAX System Evaluation Methodology V2.1. 2008. Available online: http://www.wimaxforum.org/technology/documents (accessed on 25 September 2010).
  3. So-In, C.; Jain, R.; Al-Tamimi, A. Scheduling in IEEE 802.16e WiMAX Networks: Key Issues and a Survey. IEEE J. Sel. Area. Commun. 2009, 27, 156–171. [Google Scholar] [CrossRef]
  4. Jain, R.; So-In, C.; Al-Tamimi, A. System Level Modeling of IEEE 802.16e Mobile WiMAX Networks: Key Issues. IEEE Wirel. Commun. Mag. 2008, 15, 73–79. [Google Scholar]
  5. So-In, C.; Jain, R.; Al-Tamimi, A. Capacity Evaluation for IEEE 802.16e Mobile WiMAX. J. Comput. Syst. Netw. Commun. 2010, 2010, 279807. [Google Scholar]
  6. Sayenko, A.; Alanen, O.; Hamaainen, T. Scheduling solution for the IEEE 802.16 base station. Int. J. Comp. Telecommun. Netw. 2008, 52, 96–115. [Google Scholar]
  7. So-In, C.; Jain, R.; Al-Tamimi, A. SWIM: A Scheduler for Unsolicited Grant Service (UGS) in IEEE 802.16e Mobile WiMAX Networks. Lect. Note. Inst. Comp. Sci. 2010, 37, 40–51. [Google Scholar]
  8. Parekh, A.K.; Gallager, R.G. A Generalized Processor Sharing approach to Flow control in Integrated Services Networks: The Single Node Case. IEEE/ACM Trans. Netw. 1993, 1, 334–337. [Google Scholar] [CrossRef]
  9. Shreedhar, M.; Varghese, G. Efficient fair queueing using deficit round robin. Proc. ACM SIGCOMM Commun. Rev. 1995, 25, 231–242. [Google Scholar] [CrossRef]
  10. So-In, C.; Jain, R.; Al-Tamimi, A. Deficit Round Robin with Fragmentation Scheduler for Mobile WiMAX. In Proceedings of IEEE Sarnoff Symposium, Princeton, NJ, USA, March 2009.
  11. So-In, C.; Jain, R.; Al-Tamimi, A. Generalized Weighted Fairness and its Application for Resource Allocation in IEEE 802.16e Mobile WiMAX. In Proceedings of the 2nd International Conference on Computer and Automation Engineering, Singapore, February 2010.
  12. Andrews, M. Probabilistic end-to-end delay bounds for earliest deadline first scheduling. In Proceedings of IEEE Conference on Computer Communications, Tel-Aviv, Israel, March 2000.
  13. Al-Tamimi, A.; So-In, C.; Jain, R. Modeling and Resource Allocation for Mobile Video over WiMAX Broadband Wireless Networks. IEEE J. Sel. Area. Commun. 2010, 28, 354–365. [Google Scholar] [CrossRef]
  14. Fallah, Y.P.; Alnuweiri, H. Analysis of temporal and throughput fair scheduling in multirate WLANs. Comput. Netw. 2008, 52, 3169–3183. [Google Scholar] [CrossRef]
  15. UCB/LBNL/VINT. Network Simulator-ns-2. Available online: http://www.isi.edu/nsnam/ns/index.html (accessed on 25 September 2010).
  16. WiMAX Forum. The Network Simulator NS-2 MAC+PHY Add-On for WiMAX. Available online: http://www.wimaxforum.org (accessed on 25 September 2010).
  17. Jain, R.; Chiu, D.M.; Hawe, W. A Quantitative Measure of Fairness and Discrimination for Resource Allocation in Shared Systems. Available online: http://www.cse.wustl.edu/~jain/papers/fairness.htm (accessed on 25 September 2010).
  18. Al-Tamimi, A.; So-In, C.; Jain, R. Video Modeling and Generation Tools. Available online: http://www.cse.wustl.edu/~jain/sam/index.html (accessed on 25 September 2010).
  19. Sayenko, A.; Alanen, O.; Hamalainen, T. ARQ aware scheduling for the IEEE 802.16 base station. In Proceedings of IEEE International Conference on Communications, Beijing, China, May 2008.
  20. So-In, C.; Jain, R.; Al-Tamimi, A. OCSA: An Algorithm for Burst Mapping in IEEE 802.16e Mobile WiMAX Networks. In Proceedings of the 15th Asia-Pacific Conference on Communications, Shanghai, China, October 2009.

Share and Cite

MDPI and ACS Style

So-In, C.; Jain, R.; Tamimi, A.-K.A. Deficit Round Robin with Fragmentation Scheduling to Achieve Generalized Weighted Fairness for Resource Allocation in IEEE 802.16e Mobile WiMAX Networks. Future Internet 2010, 2, 446-468. https://doi.org/10.3390/fi2040446

AMA Style

So-In C, Jain R, Tamimi A-KA. Deficit Round Robin with Fragmentation Scheduling to Achieve Generalized Weighted Fairness for Resource Allocation in IEEE 802.16e Mobile WiMAX Networks. Future Internet. 2010; 2(4):446-468. https://doi.org/10.3390/fi2040446

Chicago/Turabian Style

So-In, Chakchai, Raj Jain, and Abdel-Karim Al Tamimi. 2010. "Deficit Round Robin with Fragmentation Scheduling to Achieve Generalized Weighted Fairness for Resource Allocation in IEEE 802.16e Mobile WiMAX Networks" Future Internet 2, no. 4: 446-468. https://doi.org/10.3390/fi2040446

APA Style

So-In, C., Jain, R., & Tamimi, A.-K. A. (2010). Deficit Round Robin with Fragmentation Scheduling to Achieve Generalized Weighted Fairness for Resource Allocation in IEEE 802.16e Mobile WiMAX Networks. Future Internet, 2(4), 446-468. https://doi.org/10.3390/fi2040446

Article Metrics

Back to TopTop