Abstract
Classification of neurocognitive states from Electroencephalography (EEG) data is complex due to inherent challenges such as noise, non-stationarity, non-linearity, and the high-dimensional and sparse nature of connectivity patterns. Graph-theoretical approaches provide a powerful framework for analysing the latent state dynamics using connectivity measures across spatio-temporal-spectral dimensions. This study applies the graph Koopman embedding kernels (GKKE) method to extract latent neuro-markers of seizures from epileptiform EEG activity. EEG-derived graphs were constructed using correlation and mean phase locking value (mPLV), with adjacency matrices generated via threshold-binarised connectivity. Graph kernels, including Random Walk, Weisfeiler–Lehman (WL), and spectral-decomposition (SD) kernels, were evaluated for latent space feature extraction by approximating Koopman spectral decomposition. The potential of graph Koopman embeddings in identifying latent metastable connectivity structures has been demonstrated with empirical analyses. The robustness of these features was evaluated using classifiers such as Decision Trees, Support Vector Machine (SVM), and Random Forest, on Epilepsy-EEG from the Children’s Hospital Boston’s (CHB)-MIT dataset and cognitive-load-EEG datasets from online repositories. The classification workflow combining mPLV connectivity measure, WL graph Koopman kernel, and Decision Tree (DT) outperformed the alternative combinations, particularly considering the accuracy (91.7%) and F1-score (88.9%), The comparative investigation presented in results section convinces that employing cost-sensitive learning improved the F1-score for the mPLV-WL-DT workflow to 91% compared to 88.9% without cost-sensitive learning. This work advances EEG-based neuro-marker estimation, facilitating reliable assistive tools for prognosis and cognitive training protocols.
1. Introduction
Recent reports from the World Health Organization (WHO), including the Intersectoral Global Action Plan (IGAP) on epilepsy and neurological disorders [1], emphasise advancing methodologies to improve diagnosis, treatment, and care for patients with cognitive and neurological disorders. By capturing spatiotemporal brain dynamics, Electroencephalography (EEG) enables the study of functional connectivity patterns and metastable states for investigating resting-state brain functions and event-related neural dynamics [2]. However, the analysis of EEG signals presents significant challenges due to their inherent nonlinearity, non-stationarity, and low signal-to-noise ratio (SNR). These challenges are exacerbated by EEG data sparsity and high dimensionality, necessitating advanced analytical techniques to extract meaningful insights. Class imbalance in EEG datasets is another challenge, where critical events such as seizures or high cognitive loads are underrepresented.
The analysis of latent metastable substructures in EEG connectivity remains a critical gap in the field. Metastructures, such as metastable connectivity states, represent transient but meaningful neural dynamics that are key to understanding cognitive processes [3]. Deep learning methods have exploited linear embeddings of nonlinear dynamics [4]. However, current methods for EEG analysis often fail to fully exploit the latent metastable structures within brain networks, particularly in highly nonlinear, non-stationary datasets, and often fail to account for this imbalance, leading to biased models that favour majority classes, compromising clinical applications [5,6]. Spectral analysis of the Koopman operator, combined with graph kernels, has emerged as a promising framework for uncovering these latent patterns. Koopman operators transform nonlinear dynamical systems into linear ones, enabling interpretable embeddings, while graph kernels encode connectivity networks’ structural and temporal properties [7,8,9]. Recent research has exploited the potential of combining advanced graph theoretical methods [10,11,12] and dynamical system modelling [13,14]. Despite advancements in graph-based feature extraction, systematic investigations of the efficacy and robustness of graph kernels for EEG data analysis are limited [15]. Graph kernels, such as the Weisfeiler–Lehman (WL) kernel, Random Walk (RW) kernel, and Graphlet kernel, offer computational efficiency and structural expressiveness but remain underexplored in their ability to extract latent metastable patterns. Moreover, their integration with Koopman spectral operators for EEG analysis represents an untapped opportunity for advancing the field [5,16]. Koopman operators provide linear embeddings of nonlinear dynamical systems, and when approximated through graph kernels, they enable a robust spectral decomposition of connectivity structures. However, a critical gap exists in the literature regarding the systematic evaluation of graph kernels for their robustness and efficacy in estimating such metastructures of connectivity. This study proposes a novel workflow that integrates graph kernel-based Koopman spectral operators for feature extraction and classification, specifically addressing these gaps in the context of EEG datasets.
Existing approaches for EEG analysis—Numerous methods have been proposed for feature extraction and classification of EEG signals. Still, significant limitations persist in their ability to capture and explain complex connectivity dynamics.
Feature extraction techniques—Saichand et al. (2021) used Dynamic Mode Decomposition (DMKD) and Empirical Mode Decomposition (EMD) for feature extraction in seizure detection, achieving high sensitivity and specificity using a Multilayer Long Short-Term Memory (LSTM) Discriminant Neural Network. However, the study lacked the interpretability of discriminant features and relied on basic LSTM models without further architectural exploration [6]. Yehuda et al. (2023) applied Koopman embeddings of individual signals using Multilayer Perceptrons (MLPs) and classified them with Convolutional Neural Networks (CNN). While demonstrating strong classification performance, the study focused solely on accuracy and receiver-operating characteristic (ROC) plots, leaving the discriminant features unexplained [17].
Temporal and latent structure learning—Integrated Dynamic Mode Decomposition (DMD) and Singular Value Decomposition (SVD) were employed in work by Qian et al. (2021) [18] to capture temporal structures for anomaly detection. Although the delay embedding approach was promising, the study lacked interpretability and robustness analysis. Gallos et al. (2024) [19] used reduced-order Diffusion Maps (DMs) and Geometric Harmonics to predict the long-term dynamics of Functional magnetic resonance imaging (fMRI) signals. While DMs captured brain dynamics effectively, they were not optimised for EEG data. The spatio-temporal Koopman decomposition described in [20] learnt quasiperiodic dynamics by combining higher-order SVD and higher-order DMD. Alternative embeddings, such as Koopman spectral operators, remain unexplored in this context.
Graph-based representations—Zhang (2019) [8] proposed a Koopman dynamic learning framework that combined Koopman operators with linear dynamical systems for classification using Support Vector Machine (SVM). However, the approach did not address delay characteristics or feature explainability. Liang (2022) [21] applied Koopman embeddings in autoencoders for real-time electrical neuromodulation, demonstrating the feasibility of Koopman-based frameworks. However, the application of such embeddings to EEG datasets was not explored.
Graph kernels and spectral Koopman operators—Graph kernels, particularly the Weisfeiler–Lehman (WL) kernel, Random Walk kernel, and Graphlet kernel, have shown promise in capturing graph structural dynamics through spectral decomposition. The WL kernel, in particular, is computationally efficient and robust, making it suitable for EEG connectivity graphs where computational constraints are critical. Studies like Refs. [5,7] highlight graph kernels’ ability to encode dynamic systems’ spectral properties, enabling the identification of metastable structures and connectivity dynamics. However, the robustness of these kernels in learning latent metastructures from EEG data remains underexplored [5].
Cost-sensitive learning (CSL)—A common issue in EEG datasets, class imbalance leads to biased models that overlook critical minority classes. CSL addresses this by adjusting the loss function to penalise misclassifications of minority classes more heavily. For example, Scikit-learn’s class_weight = ’balanced’ option automatically assigns weights based on class frequencies. CSL has been shown to improve classifier performance without altering dataset distributions, making it particularly effective for EEG-based classification tasks [5,7].
Gaps in the literature—Despite promising developments, several critical gaps persist. The robustness of graph kernels in estimating latent metastructures of connectivity has not been systematically evaluated. While Koopman operators are potent tools for spectral analysis, their application to EEG connectivity graphs is underexplored. Existing methods rarely focus on interpretable features or discriminant structures in brain connectivity. Graph kernels’ robustness and comparative efficacy for capturing latent metastable patterns in EEG remain unexplored. While Koopman spectral operators have been applied to other domains, their integration with graph kernels for EEG data analysis is a novel direction requiring rigorous investigation.
The study reported in our earlier work [22] described a novel workflow that performed optimal selection of the graph kernel for Koopman embeddings (GKKE) with ensemble classifiers for EEG-based classification. This paper advances to investigate the metastable substructures of connectivity among brain regions revealed through the graph kernel Koopman embedded (GKKE)-features. By incorporating cost-sensitive learning (CSL) to address class imbalance, this approach aims to improve the robustness and interpretability of EEG-based models. Generalizability of the workflow has been investigated by applying it over EEG datasets from two different conditions. This framework fills a critical gap in the literature. It provides a robust tool for analysing complex EEG connectivity patterns, with applications in cognitive state detection, seizure prediction, and brain–computer interfaces [5,6,21].
2. Materials and Methods
The proposed workflow addresses these gaps by integrating graph kernel-based Koopman spectral operators to estimate latent metastructures of connectivity and classify cognitive and seizure states in EEG datasets. This novel framework is described below:
- 1.
- EEG Preprocessing and Graph Construction
Signal preprocessing: EEG signals are filtered to remove noise, artifacts, and baseline drifts. Functional connectivity is calculated using metrics such as Pearson correlation or mean phase-locking values (mPLV).
Graph representation: The functional connectivity matrices are thresholded to construct adjacency matrices, representing EEG channels as graph nodes and connectivity strengths as edges.
- 2.
- Feature Extraction Using Koopman Spectral Operators
Time-delay embedding: The state space is reconstructed from time-series data by creating delay vectors. Each vector incorporates past observations to capture temporal dependencies [7]. Delay vectors x(t), x(t + τ), …, x(t + (m – 1)τ) capture temporal dependencies, with τ as the embedding delay and m as the embedding dimension.
Graph kernels: Graph kernels such as the Weisfeiler–Lehman (WL) kernel, Random Walk kernel, and Graphlet kernel are applied to the adjacency matrices to compute Gram matrices. These kernels encode graph structure and dynamics, facilitating spectral analysis [5,7]. A detailed description of the expressiveness of these kernels can be found in [23].
Koopman operator approximation: The Koopman operator is approximated using Dynamic Mode Decomposition (DMD), yielding eigenfunctions and eigenvalues representing metastable states. This spectral decomposition enables interpretable latent feature extraction.
- 3.
- Ensemble Classifiers
Classifier training: Features extracted using GKKE are fed into ensemble classifiers, including Random Forest, Decision Tree, and SVM. CSL is applied to each classifier to handle class imbalance.
Hyperparameter optimisation: Grid search is used to optimise hyperparameters for each classifier.
- 4.
- Cost-Sensitive Learning
Loss function modification: The loss function is adjusted to incorporate class-specific weights. For binary classification, the loss function becomes L(y,h(x)) = −[w1y ⋅ log10 (h(x)) + w0(1 − y) ⋅ log10(1 − h(x))], where w1 and w0 are weights for the minority and majority classes, respectively.
Class weights: Weights are computed as the inverse of class frequencies to ensure minority classes are penalised more heavily.
- 5.
- Evaluation Metrics
The performance of the proposed framework is evaluated using accuracy, precision, recall, and F1-score for both overall performance and individual classes. Area under the curve—receiver-operating characteristic curve (AUC-ROC) was used to assess the model’s ability to distinguish between classes, particularly the minority class. Visualisations of Koopman eigenfunctions and metastable clusters provide insights into the connectivity patterns.
Novel Contributions
Efficacy of graph kernels: This study systematically investigates the robustness of different graph kernels (WL, Random Walk, Graphlet) in capturing latent metastable structures in EEG connectivity.
Koopman spectral operators for EEG: The proposed integration of Koopman spectral operators with graph kernels is a novel approach, offering linear embeddings for complex EEG dynamics.
Cost-sensitive learning was found robust enough to handle class imbalance as it improved performance scores.
Explainability of features: The workflow provides interpretable insights into brain connectivity patterns by visualising metastable clusters and Koopman eigenfunctions.
Significance and need for investigation—The proposed workflow represents a significant advancement in EEG analysis. This methodology leverages advanced techniques in graph-based representation, Koopman operator theory, and cost-sensitive learning to address the challenges of EEG analysis, including class imbalance and the complexity of neural dynamics. Combining graph kernels and Koopman spectral operators, it addresses critical gaps in the literature, including the need for robust latent pattern learning and feature interpretability. The systematic evaluation of graph kernels for estimating metastructures of connectivity further contributes to the field, offering a novel and robust framework for EEG datasets.
The proposed workflow is presented in Figure 1.
Figure 1.
The proposed workflow.
Algorithm 1 presents the complete workflow implemented for the present work.
| Algorithm 1: Proposed Workflow |
|
For Step 1, the connectivity matrices were computed using the correlation coefficient measure. Top-k-correlation thresholding was applied following the workflow described in [24] to address the sparsity of connectivity.
Graph Koopman kernel embedding for multivariate time series data- The Graph Koopman kernel embedding algorithm combines the dynamics of nonlinear systems represented by graphs with kernel methods to provide a linear perspective on the system’s evolution. By approximating the Koopman operator and performing eigendecomposition, one can gain insights into the underlying dynamics and structure of the system. The steps typically involved are presented in Algorithm 2.
| Algorithm 2: Algorithm Outline for Graph Koopman Kernel Embedding |
|
Practical computation of the Koopman operator approximation—In practice, the reduced order system representation using the Koopman operator is often approximated using data-driven methods like Dynamic Mode Decomposition (DMD), e.g., as described in [19,25,26,27], which provides a finite-dimensional approximation of the Koopman operator. The steps typically involved are presented in Algorithm 3.
| Algorithm 3: DMD Algorithm for Koopman operator Approximation |
|
Metastable connectivity substructures—The close relation of the eigenvalue problem of determining the connectivity substructures to kernel canonical correlation analysis (CCA) was described in [28,29,30]. Kernel CCA computes eigenfunctions of the forward–backwards dynamics to identify so-called coherent sets. Coherent sets are a generalisation of metastable sets and are regions of the state space that are not distorted over a specific time interval. All the information about the long-term behaviour of the time-evolving graph G is contained within the eigenfunctions associated with s dominant eigenvalues close to 1.
Evaluation of efficacy of Koopman embedding for classification tasks—The Koopman embedding of each EEG segment is first passed to a nonlinear function, e.g., WL kernel; the output of this function is a vector, possibly of a different dimension from the embedding. The vectors for all segments are then combined into a training set, which is then passed into a standard classification scheme based on Convolutional Neural Networks. The result then predicts the clinical phenomenon of interest (e.g., brain cognitive states from EEG). We performed separate cross-validation runs on the training. The accuracies achieved with the setting demonstrated the overall robustness of the model. To ensure that the Koopman model generalises reasonably well to unseen test data, we allocate the first two-thirds of the data to build the model and the last third for testing.
Dataset—Two datasets were considered to understand the model behaviour across the cognitive load and seizure datasets.
First, EEG data related to cognitive states and mental load were used to investigate the method. The dataset is available at https://github.com/BCI-HCI-IITKGP/Cognitive-Mental-workload-EEG-Data accessed on 6 February 2025. The EEG data were collected in the BCI-HCI lab [31]. Five experiments were conducted, and data for each subject were considered. The dataset includes five tasks for each subject: Idle, 1-Back, 2-Back, Dual-1-Back, and Dual-2-Back. For this paper, the Idle and Dual-1-Back workload tasks were selected from the dataset. The experiments involved various cognitive tasks to assess an individual’s cognitive workload or mental effort. The Idle condition serves as a baseline for comparison, where the participant is not actively engaged in any task. The n-back tasks (1-Back, 2-Back) and dual-task conditions (Dual-1-Back, Dual-2-Back) represent progressively increasing levels of cognitive demand. Dual-task conditions evaluate the participant’s ability to process multiple information streams, providing insights into multitasking and divided attention.
Second, the MIT-CHB Epilepsy dataset comprises EEG recordings from 22 subjects with intractable seizures. The file chbNN-summary.txt provides information about the dataset used for each recording, detailing the elapsed time in seconds from the start of each .edf file to the onset and conclusion of each seizure it contains. EEG was recorded at a sampling rate of 256 Hz. The dataset includes 35 continuous .edf (European Data Format) files from a single subject. Only the preictal and ictal segments from the dataset are used for this paper.
Use of AI tool—During the preparation of this work, the author(s) used ChatGPT and Grammarly tools in order to refine the description and clarity of some sections. After using this tool/service, the author(s) reviewed and edited the content as needed and take(s) full responsibility for the content of the publication.
3. Results
This section describes the experimental results, their interpretation, and the experimental conclusions that can be drawn.
3.1. Determining Optimal No. of Clusters
Firstly, verification with a synthetic dataset with known clusters was performed to verify the algorithm’s reliability applied to study the metastable substructures by clustering. A synthetic dataset of random values having four clusters was generated, their gram matrices were computed, and optimal clustering of the eigenvectors was determined using the sum of squared error (SSE) score and silhouette scores. Figure 2 below shows the accuracy of the clusters generated.
Figure 2.
Plots show the optimal clusters of eigenvectors for a synthetic dataset: (a) synthetic dataset with 5 clusters, (b) optimal clustering structure for top-2 eigenvectors, (c) silhouette scores, (d) SSE distance scores.
3.2. Connectivity Substructures
After verification of the reliability of the algorithm with the results shown above, the next step was estimating the substructures from the eigendecomposition of Graph kernels for sample epochs of each category of the given dataset. The graph kernels encode the non-linear spatial connectivity substructures and temporal metastable states. For example, the plots in Figure 3 below show the existence of connectivity substructures (clusters) for sample epileptiform data. Figure 3a shows the correlation matrix heatmap for the preictal-state sample. Figure 3b shows the inherent clustering substructures for the preictal-state sample. Figure 3c shows the correlation matrix heatmap for the ictal-state sample. Figure 3d shows the inherent clustering substructures for the ictal-state sample. Figure 4 shows the distinct patterns of substructures for the cognitive load dataset. Figure 4a shows the heatmap of the connectivity matrix for the idle-state sample. Figure 4b shows the inherent clustering substructures for the idle-state sample. Figure 4c shows the heatmap of the connectivity- matrix for the d1B-state sample. Figure 4d shows the inherent clustering substructures for the d1B-state sample.

Figure 3.
Plots show the existence of connectivity substructures (clusters) for sample MIT CHB Epileptiform EEG data. (a) Heatmap of connectivity matrix (>0.5) for preictal-state sample; (b) inherent clustering structure for the preictal-state sample; (c) heatmap of connectivity matrix (>0.5) for ictal-state sample; (d) inherent clustering structure for the ictal-state sample.
Figure 4.
Plots show the existence of connectivity substructures (clusters) for sample cognitive load EEG-ERPs. (a) Heatmap of the correlation matrix (>0.5) for idle-state sample; (b) inherent clustering structure for the idle-state sample; (c) heatmap of the correlation matrix (>0.5) for d1B-state sample; (d) inherent clustering structure for the d1B-state sample.
The distinct connectivity substructures occurring in samples of different epileptiform categories are shown in Figure 3, and those for the cognitive state categories are shown in Figure 4. Furthermore, the pair-wise channel-connectivity states are sparse, which was also observable in Figure 3 and Figure 4.
3.3. Metastable Substructures Estimation by Graph-Koopman-Kernels
The two rows in Figure 5 below show the heatmaps of the gram matrices produced by the WL kernel, the optimal clustering of top-2 eigenvectors, and the silhouette plots showing the optimal number of clusters for the preictal-state samples and the ictal-state samples. The Gram matrices generated by the Weisfeiler–Lehman (WL) kernel provide a structured representation of the similarity between EEG-derived graphs across different time points. The coherent subclusters—regions of high intensity (yellow-ish cells) within these matrices shown in Figure 5a,d—reflect how consistently similar the functional connectivity structures of EEG signals are over time.
Figure 5.
Plots (a–c) show the heatmap of the Gram matrices produced by the WL kernel, the optimal clusters of top-2 eigenvectors, and the corresponding silhouette scores for 30 subsequent preictal-state samples. Plots (d–f) show the plots for 30 subsequent ictal-state samples.
The distinct inherent connectivity structures in Figure 3 and Figure 4 and the subtle metastable substructures in Figure 5 indicated the need for robust graph kernels to encode the subtle patterns. Following the basic principles of machine learning, if a suitable classifier achieves high accuracy with cross-validation using features derived from such a kernel, it is considered as the robustness of the kernel. The high accuracies achieved with the specific kernel–classifier combinations, as shown in Table 1, thus prove the potential of the proposed workflow for the task undertaken.
Table 1.
Classifier performance.
3.4. Classifier Performance
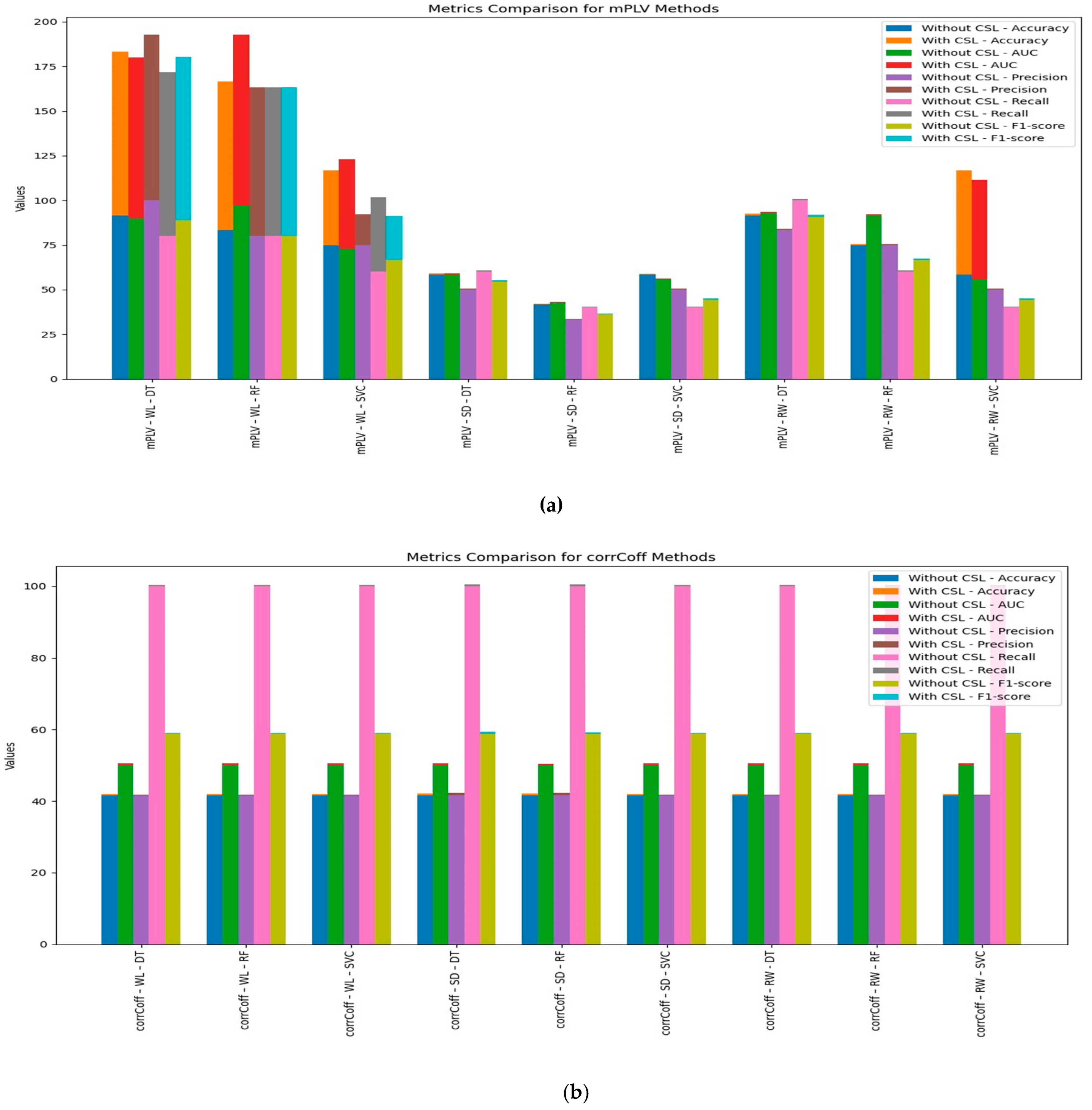
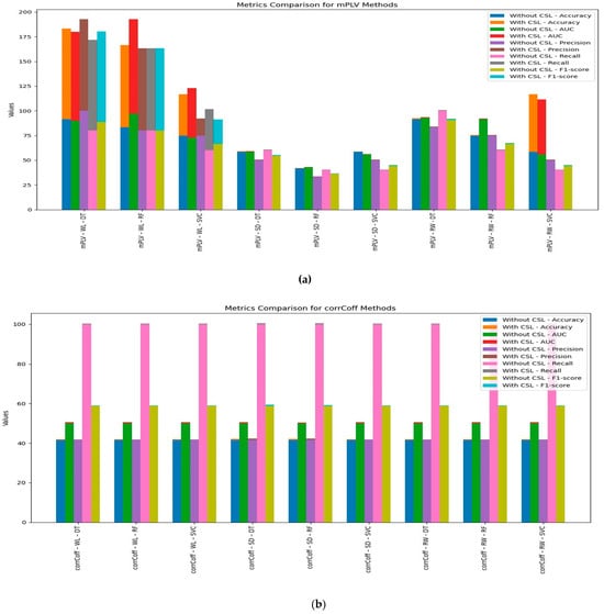
Different combinations of connectivity metrics, graph kernels, and classifiers were implemented with and without cost-sensitive learning over the MIT CHB EEG dataset related to an epileptic seizure, considering an equal number of preictal and ictal temporal segment samples. Performance comparison in terms of accuracy, AUC, precision, recall, and F1-score has been shown in Table 1 and Figure 6. Figure 6a shows combinations with mPLV and Figure 6b shows combinations with the correlation coefficient.
Figure 6.
Performance comparison regarding accuracy, AUC, precision, recall, and F1-score with and without cost-sensitive learning for different workflows comprising different combinations of connectivity metrics, graph kernels, and classifiers: Plot (a) shows the combinations with mPLV; Plot. (b) shows combinations with correlation coefficient.
It was observed that the workflows mPLV-WL-DT and mPLV-WL-RF outperformed other combinations, while the performances of these two were comparable considering the investigated metrics.
To understand the effect of employing cost-sensitive learning, a performance comparison of mPLV-WL-DT and mPLV-WL-RF workflows with and without cost-sensitive learning is presented in Table 2.
Table 2.
Performance comparison of mPLV-WL-DT and mPLV-WL-RF workflows with and without cost-sensitive learning.
4. Discussion
This study proposes and validates a novel framework that integrates graph kernel-based Koopman embeddings with cost-sensitive learning for robust EEG classification, addressing several critical gaps in the literature. By focusing on estimating metastable connectivity substructures and their classification, this work demonstrates the potential of combining advanced graph theoretical methods, dynamical system modelling, and machine learning techniques for EEG data analysis. Considering the performance results from Table 1, Figure 6, and Table 2, the workflow combining mPLV connectivity measure, WL graph Koopman kernel, and Decision Tree outperformed the alternative combinations, particularly considering the accuracy (91.7%) and F1-score (88.9%). Considering Table 2, employing cost-sensitive learning improved the F1-score for the mPLV-WL-DT workflow to 91% compared to 88.9% without cost-sensitive learning.
- Interpretation and Implications of Metacluster Substructures for Discriminating Spatial Temporal Patterns
The analysis of metacluster substructures, as represented by the clusters derived from the Gram matrices generated using Weisfeiler–Lehman (WL) kernel-based graph embeddings, provides a novel way to investigate the latent spatio-temporal patterns in EEG data associated with preictal and ictal states in the epileptiform data for example. These clusters encode metastable connectivity substructures in the brain, which is critical for distinguishing between these neurological states.
1. How coherent subclusters represent inter-channel synchronisation—The Gram matrix, denoted as K, is an N × N matrix where each element K(i,j) represents the similarity between two EEG connectivity graphs at time points i and j. The intensity of entries in the Gram matrix is directly related to how structurally similar the underlying EEG connectivity patterns are. High-intensity (Bright) subclusters indicate substantial graph similarity over time points, meaning that EEG connectivity patterns remain stable over that period. This suggests sustained high inter-channel synchronisation, where multiple EEG channels exhibit coordinated activity. Low-intensity (dark) regions represent low similarity between graphs at different time points, indicating transient or shifting connectivity structures. This suggests low or desynchronised inter-channel activity, where brain regions interact dynamically with varying connectivity strengths.
2. The role of the WL Kernel in encoding synchronisation patterns—The WL kernel enhances EEG graph representations by incorporating hierarchical neighbourhood aggregation, which refines how local and global graph structures are captured. This means EEG graphs that maintain stable inter-channel synchronisation exhibit consistent neighbourhood structures across time, leading to high kernel similarity values and thus forming high-intensity subclusters in the Gram matrix. On the other hand, EEG graphs that undergo connectivity transitions (e.g., preictal-to-ictal shifts) show decreasing similarity, reflected in fragmented, lower-intensity patterns in the Gram matrix.
3. Emergence of synchronisation patterns in different EEG states—The structure of coherent subclusters in Gram matrices can provide valuable insights into neural synchronisation dynamics in different EEG states:
A. Seizure dynamics (preictal vs. ictal)—During the (preictal) period leading up to a seizure, brain regions often exhibit progressively increasing synchronisation in specific regions before the full onset of the seizure. In the Gram matrix, this results in a gradual growth of high-intensity subclusters, indicating that functional connectivity patterns are becoming increasingly similar over time. Seizures (ictal period) are characterised by hyper-synchronisation, where large portions of the brain become abnormally coordinated. This manifests as large, dense, high-intensity subclusters in the Gram matrix, showing that EEG graphs during the seizure period are highly similar across time.
B. Cognitive workload and mental state transitions—When performing simple tasks or resting, inter-channel synchronisation is relatively low, leading to sparse or fragmented high-intensity subclusters in the Gram matrix. Engaging in complex cognitive tasks often requires enhanced communication between brain regions, resulting in stronger and more persistent subclusters, which reflect stable, synchronised connectivity patterns.
4. Clinical and Research Implications—
- Seizure prediction: The appearance of expanding high-intensity subclusters in preictal states provides early indicators of impending seizures.
- Real-time EEG monitoring: Tracking changes in Gram matrix patterns can enable adaptive brain–computer interfaces (BCIs) to respond dynamically to user cognitive states.
- Cognitive workload analysis: Monitoring synchronisation dynamics can inform fatigue detection systems in high-performance work environments.
5. Robustness of the WL kernel in identifying metaclusters
The WL kernel’s hierarchical approach to aggregating neighbourhood information ensures that it captures both local and global connectivity patterns in the EEG data. This robustness is particularly advantageous for modelling the dynamic and nonlinear nature of brain connectivity during seizures. By generating Gram matrices that accurately reflect these transitions, the WL kernel facilitates the extraction of meaningful metacluster substructures, which are key to distinguishing between preictal and ictal states.
The metacluster substructures derived from WL kernel-based graph embeddings offer a powerful way to discriminate between preictal and ictal EEG states. These clusters provide a compact yet rich representation of the spatio-temporal connectivity patterns associated with seizure dynamics, enabling robust classification. The findings underscore the potential of this approach for developing advanced tools for seizure prediction and monitoring, with the WL kernel serving as a critical component in identifying and interpreting these latent metastable connectivity patterns.
- Strengths of the Proposed Framework
- Efficacy of Graph Kernels in Capturing Metastable Connectivity Substructures
The study systematically investigates the utility of various graph kernels, such as the Weisfeiler–Lehman (WL) kernel, Random Walk kernel, and spectral decomposition kernel, in identifying latent connectivity structures. The results confirm the superior performance of the WL kernel in both computational efficiency and accuracy, as evidenced by its ability to encode metastable brain dynamics effectively. For instance, the clustering of eigenvectors from WL kernels successfully identified distinct metastable substructures across different EEG states, as illustrated in Figure 3 and Figure 4. These findings emphasise the robustness of graph kernels in capturing the spatio-temporal complexities of EEG connectivity.
- Integration of Koopman Operators for Linearizing Nonlinear Dynamics By leveraging Koopman spectral operators, this framework provides a linear representation of EEG’s inherently nonlinear dynamics. This enables spectral decomposition into metastable states, offering interpretable features for classification. The eigenfunctions derived from the Koopman operator reveal subtle temporal transitions in brain connectivity that are otherwise challenging to detect with traditional methods. This study is one of the first to apply Koopman-based embeddings to EEG data in combination with graph kernels, marking a significant advancement in the field.
- Robust Classification with Cost-Sensitive Learning The integration of cost-sensitive learning (CSL) ensures that the framework effectively handles class imbalance, a common issue in EEG datasets where critical events such as seizures are underrepresented. The results demonstrate that incorporating CSL significantly improved the F1-scores for minority classes, as shown in Table 2. For example, the mPLV-WL-DT workflow achieved an F1-score of 91% with CSL compared to 88.9% without CSL, highlighting its efficacy in addressing imbalance while maintaining high classification accuracy.
- Explainability of Features The framework provides explainable insights into the metastable substructures of brain connectivity, which are visualised through eigenfunctions and clustering structures. This addresses a critical gap in the literature, as many existing methods focus solely on accuracy metrics without delving into the interpretability of the features derived. By visualizing the connectivity substructures (Figure 3) and eigenvector clusters (Figure 4), this study enhances the transparency of the classification process and contributes to a deeper understanding of EEG connectivity dynamics.
- Novelty of the Findings
- First-of-Its-Kind Application of Graph Koopman Kernel Embeddings While graph kernels and Koopman operators have been applied independently in other domains, their combined application for EEG classification is novel. This integration enables the robust estimation of latent metastable structures, bridging the gap between theoretical advancements in dynamical systems and practical EEG data analysis.
- Comprehensive Evaluation of Graph Kernels for EEG Connectivity Unlike prior studies that utilise graph kernels in a limited scope, this work systematically evaluates the performance of multiple kernels across different workflows. The demonstrated superiority of the WL kernel in terms of runtime and accuracy offers clear guidance for future studies aiming to analyse large-scale EEG datasets efficiently.
- Improved Classification Performance The mPLV-WL-DT workflow achieved the highest performance metrics (accuracy: 91.7%, F1-score: 91%) among all tested combinations, outperforming alternative methods such as Random Forest (RF) and Support Vector Classifier (SVC). These results underscore the effectiveness of the proposed framework in achieving reliable classification, even with challenging imbalanced datasets.
- Bridging the Gap Between Graph-Theoretical Models and EEG Clinical Applications By leveraging advanced graph-theoretical models to estimate connectivity substructures, the proposed framework contributes to both neuroscience research and clinical applications. The ability to classify EEG states with high precision and interpretability has implications for cognitive state monitoring, seizure prediction, and brain–computer interface (BCI) development.
5. Conclusions
The paper describes theoretical foundations and experimental demonstration of a novel workflow for developing a classifier for cognitive state identification using multivariate bio-physiological signals with robust embedding of spectral connectivity properties. The contribution lies in harnessing the low-dimensional spectral dynamic embedding potential of the Koopman transfer operators, borrowing from the complex system dynamics modelling studies. The potential of the model lies in its demonstrated capabilities to classify the cognitive states with acceptable average accuracy higher than 80% across multiple subjects as well as in facilitating explainability of the metastable substructures of the connectivity. The proposed graph kernel Koopman embedding (GKKE) framework for EEG classification advances the state of the art by addressing critical gaps in latent connectivity analysis, class imbalance, and feature explainability. The demonstrated efficacy of the mPLV-WL-DT workflow, coupled with the robustness of the WL kernel and Koopman spectral operators, establishes this framework as a valuable tool for EEG-based cognitive state detection and seizure prediction.
Knowledge of the dynamics of these connectivity patterns of the brain-regions related to localised cognitive states and switching thereof equips more accurate clinical prognosis. However, the understanding that the kernel–classifier combination works well may require fine tuning to improve the score for this dataset, and particularly, investigation is needed to fine-tune and generalise performance for different datasets. Hence, this proposed workflow forms a foundation for further exploration with more datasets and combinations of different classifiers’ spatio-temporal-spectral kernels for graph evolution embedding.
- Implications for Future Research
The findings from this study lay the foundation for several future research directions:
- Dataset generalisation: While the framework was tested on epilepsy and cognitive workload datasets, its applicability to other EEG datasets remains an area for exploration. Future studies can extend this work to include datasets related to mental health, neurodegenerative diseases, or motor imagery tasks.
- Incorporation of deep learning models: Although ensemble classifiers such as Decision Trees and Random Forests performed well, integrating Koopman embeddings with deep learning architectures, such as Convolutional Neural Networks (CNNs) or Long Short-Term Memory (LSTM) networks, may further improve classification performance.
- Refinement of kernels for EEG dynamics: The development of specialised graph kernels tailored to EEG dynamics, potentially incorporating additional spatial, temporal, and spectral features, could enhance the framework’s robustness and generalisability.
- Real-time applications: The low computational complexity of the WL kernel makes this framework suitable for real-time applications, such as seizure prediction or cognitive load monitoring in adaptive learning environments.
- Limitations and Challenges
While the proposed framework demonstrates significant advancements, certain limitations warrant further investigation:
- Dependency on connectivity measures: The choice of connectivity measure (e.g., mPLV, correlation) influences the construction of graphs, and alternative measures could yield different results. Further studies are required to determine the optimal connectivity metric for specific EEG tasks.
- Scalability to large datasets: Although the WL kernel is computationally efficient, the scalability of the framework to larger EEG datasets with higher temporal resolution remains to be evaluated.
- Subject-specific variability: EEG signals are highly variable across subjects, which may affect the generalisability of the findings. Incorporating subject-specific normalisation or transfer learning techniques could address this issue.
- Generalizability: Investigation with more EEG datasets is required to establish generalizability of the workflow.
Author Contributions
Conceptualisation, V.P.; methodology, software, validation, V.P. and R.N.M.; visualisation, formal analysis, investigation, V.P., R.N.M. and P.K.M.; writing—original draft preparation, V.P. and R.N.M.; writing—review and editing, V.P., R.N.M., and P.K.M.; supervision, P.K.M. All authors have read and agreed to the published version of the manuscript.
Funding
This research received no external funding.
Data Availability Statement
EEG data related to cognitive states and mental load were used to investigate the method. The dataset is available at https://github.com/BCI-HCI-IITKGP/Cognitive-Mental-workload-EEG-Data accessed on 6 February 2025. The CHB-MIT Seizure EEG dataset is available at https://archive.physionet.org/physiobank/database/chbmit/ accessed on 6 February 2025.
Acknowledgments
The authors acknowledge the anonymous reviewers whose constructive comments helped identify the gaps in presentation and descriptions in the original manuscript, leading to this final version. The authors also acknowledge the use of ChatGPT and Grammarly tools in refining the clarity and coherence of certain sections of the manuscript. The final content was reviewed and edited by the authors to ensure accuracy and alignment with the study’s objectives.
Conflicts of Interest
The authors declare no conflicts of interest.
Abbreviations
The following abbreviations are used in this manuscript:
| MDPI | Multidisciplinary Digital Publishing Institute |
| DOAJ | Directory of open-access journals |
| GKKE | Graph Koopman kernel embedding |
| EEG | Electroencephalography |
| SNR | Signal-to-noise ratio |
| DMD | Dynamic Mode Decomposition |
| EMD | Empirical Mode Decomposition |
| LSTM | Long Short-Term Memory |
| MLP | Multilayer Perceptron |
| SVD | Singular Value Decomposition |
| CSL | Cost-sensitive learning |
| CNN | Convolutional Neural Networks |
| ROC | Receiver-operating characteristic curve |
| kernel CCA | Kernel canonical correlation analysis |
| mPLV | Mean-phase locking value |
| WL | Weisfeiler–Lehman Kernel |
| SD | Spectral decomposition kernel |
| RW | Random Walk kernel |
| DT | Decision Tree Classifier |
| RF | Random Forest Classifier |
| SVC | Support Vector Classifier |
| SVM | Support Vector Machine |
| AUC | Area under the curve |
| fMRI | Functional magnetic resonance imaging |
| SSE | Sum of squared error |
| BCI | Brain–computer interface |
| EDF | European Data Format |
References
- World Health Organization. Intersectoral Global Action Plan on Epilepsy and Other Neurological Disorders 2022–2031; World Health Organization: Geneva, Switzerland, 2023; ISBN 978-92-4-007662-4 (electronic version); ISBN 978-92-4-007663-1 (print version). [Google Scholar]
- Pathak, V.; Dhyani, P.; Mahanti, P.; Gaur, V. Tracking Slow Modulations of Effective Connectivity for Early Epilepsy Detection: A Review. In Knowledge Modelling and Big Data Analytics in Healthcare; CRC Press: Boca Raton, FL, USA, 2021; pp. 229–255, eBook ISBN 9781003142751. [Google Scholar]
- Capouskova, K.; Kringelbach, M.L.; Deco, G. Modes of cognition Evidence from metastable brain dynamics. Neuroimage 2022, 260, 119489. [Google Scholar] [CrossRef] [PubMed]
- Lusch, B.; Kutz, J.N.; Brunton, S.L. Deep learning for universal linear embeddings of nonlinear dynamics. Nat. Commun. 2016, 9, 4950. [Google Scholar] [CrossRef] [PubMed]
- Peng, Y.; Qiu, T.; Wei, L. An approach to extracting graph kernel features from functional brain networks and its applications to analysing noisy EEG signals. Biomed. Signal Process. Control 2023, 80, 104269. [Google Scholar] [CrossRef]
- Saichand, N.V.; Naik, S.G. Epileptic seizure detection using novel Multilayer LSTM Discriminant Network and dynamic mode Koopman decomposition. Biomed. Signal Process. Control 2021, 68, 102723. [Google Scholar] [CrossRef]
- Giannakis, D. Delay-coordinate maps, coherence, and approximate spectra of evolution operators. Res. Math. Sci. 2021, 8, 8. [Google Scholar] [CrossRef]
- Zhang, W.; Yu, Y.-C.; Li, J.-S. Dynamics reconstruction and classification via Koopman features. Data Min. Knowl. Discov. 2019, 33, 1710–1735. [Google Scholar] [CrossRef] [PubMed]
- Zhang, C.; Zuazua, E. A quantitative analysis of Koopman operator methods for system identification and predictions. Comptes Rendus Mécanique 2023, 351, 721–751. [Google Scholar] [CrossRef]
- Stam, C.J.; Reijneveld, J.C. Graph theoretical analysis of complex networks in the brain. Nonlinear Biomed. Phys. 2007, 5, 3. [Google Scholar] [CrossRef] [PubMed]
- Bullmore, E.; Sporns, O. Complex brain networks: Graph theoretical analysis of structural and functional systems. Nat. Rev. Neurosci. 2009, 10, 186–198. [Google Scholar] [CrossRef] [PubMed]
- Vecchio, F.; Miraglia, F.; Marra, C.; Quaranta, D.; Vita, M.G.; Bramanti, P.; Rossini, P.M. Human brain networks in cognitive decline: A graph theoretical analysis of cortical connectivity from EEG data. J. Alzheimer’s Dis. 2014, 41, 113–127. [Google Scholar] [CrossRef] [PubMed]
- Lehnertz, K.; Geier, C.; Rings, T.; Stahn, K. Capturing time-varying brain dynamics. EPJ Nonlinear Biomed. Phys. 2017, 5, 2. [Google Scholar] [CrossRef]
- Rubinov, M.; Sporns, O. Complex measures of brain connectivity: Uses and interpretations. Neuroimage 2010, 52, 1059–1069. [Google Scholar] [CrossRef]
- Jia, L.; Gaüzère, B.; Honeine, P. Graph kernels based on linear patterns: Theoretical and experimental comparisons. Expert Syst. Appl. 2022, 189, 116095. [Google Scholar] [CrossRef]
- Shervashidze, N.; Schweitzer, P.; Leeuwen, E.J. van, Mehlhorn, K.; Borgwardt, K.M. Weisfeiler-Lehman graph kernels. J. Mach. Learn. Res. 2011, 12, 2539–2561. [Google Scholar]
- Yehuda, Y.; Freedman, D.; Radinsky, K. Self-supervised classification of clinical multivariate time series using time series dynamics. In Proceedings of the 29th ACM SIGKDD Conference on Knowledge Discovery and Data Mining, Long Beach, CA, USA, 6–10 August 2023; pp. 5416–5427. [Google Scholar] [CrossRef]
- Qian, S.; Chou, C.-A. A Koopman-operator-theoretical approach for anomaly recognition and detection of multi-variate EEG system. Biomed. Signal Process. Control 2021, 69, 102911. [Google Scholar] [CrossRef]
- Gallos, I.K.; Lehmberg, D.; Dietrich, F.; Siettos, C. Data-driven modelling of brain activity using neural networks, diffusion maps, and the Koopman operator. Chaos Interdiscip. J. Nonlinear Sci. 2024, 34, 013151. [Google Scholar] [CrossRef] [PubMed]
- Clainche, S.L.; Vega, J.M. Spatio-temporal Koopman decomposition. J. Nonlinear Sci. 2018, 28, 1793–1842. [Google Scholar] [CrossRef]
- Liang, Z.; Luo, Z.; Liu, K.; Qiu, J.; Liu, Q. Online learning koopman operator for closed-loop electrical neurostimulation in epilepsy. IEEE J. Biomed. Health Inform. 2023, 27, 492–503. [Google Scholar] [CrossRef] [PubMed]
- Muralinath, R.N.; Pathak, V.; Mahanti, P.K. Optimizing Spectral Graph Kernels for Time-Delay Embedding of Multichannel EEG Data. In Proceedings of the 2024 8th International Conference on Algorithms, Computing and Systems, Hong Kong, China, 11–13 October 2024; pp. 62–67. [Google Scholar]
- Kriege, N.M.; Morris, C.; Rey, A.; Sohler, C. A property testing framework for the theoretical expressivity of graph kernels. In Proceedings of the Twenty-Seventh International Joint Conference on Artificial Intelligence, Stockholm Sweden, 13–19 July 2018; pp. 2348–2354. [Google Scholar] [CrossRef]
- Pathak, V.; Gaur, V.; Mahanti, P.K.; Chandra, S. Exploring the efficacy of explainable deep learning in identifying neuromarkers for precise prediction of epilepsy and causal connectivity analysis. In Proceedings of the 15th International Conference on Computer Modeling and Simulation, Dalian, China, 16–18 June 2023; pp. 126–132. [Google Scholar] [CrossRef]
- Li, Q.; Dietrich, F.; Bollt, E.M.; Kevrekidis, I.G. Extended dynamic mode decomposition with dictionary learning: A data-driven adaptive spectral decomposition of the Koopman operator. Chaos 2017, 27, 103111. [Google Scholar] [CrossRef]
- Takeishi, N.; Kawahara, Y.; Yairi, T. Learning Koopman invariant subspaces for dynamic mode decomposition. In Advances in Neural Information Processing Systems; Guyon, I., Von Luxburg, U., Bengio, S., Wallach, H., Fergus, R., Vishwanathan, S., Garnett, R., Eds.; Curran Associates, Inc.: New York, NY, USA, 2017; pp. 1130–1140. ISBN 9781510860964. Available online: https://proceedings.neurips.cc/paper/2017/file/3a835d3215755c435ef4fe9965a3f2a0-Paper.pdf (accessed on 6 February 2025).
- Yeung, E.; Kundu, S.; Hodas, N. Learning deep neural network representations for Koopman operators of nonlinear dynamical systems. In Proceedings of the 2019 American Control Conference (ACC), Philadelphia, PA, USA, 10–12 July 2017. [Google Scholar]
- Klus, S.; Husic, B.E.; Mollenhauer, M.; Noé, F. Kernel methods for detecting coherent structures in dynamical data. Chaos Interdiscip. J. Nonlinear Sci. 2019, 29, 123112. [Google Scholar] [CrossRef] [PubMed]
- Melnyk, K.; Klus, S.; Montavon, G.; Conrad, T.O.F. GraphKKE: Graph Kernel Koopman embedding for human microbiome analysis. Appl. Netw. Sci. 2020, 5, 96. [Google Scholar] [CrossRef]
- Cabral, J.; Castaldo, F.; Vohryzek, J.; Litvak, V.; Bick, C.; Lambiotte, R.; Friston, K.; Kringelbach, M.L.; Deco, G. Metastable oscillatory modes emerge from synchronisation in the brain spacetime connectome. Commun. Phys. 2022, 5, 184. [Google Scholar] [CrossRef] [PubMed]
- Ortiz, M.; de la Ossa, L.; Juan, J.; Iáñez, E.; Torricelli, D.; Tornero, J.; Azorín, J.M. An EEG database for the cognitive assessment of motor imagery during walking with a lower-limb exoskeleton. Sci. Data 2023, 10, 343. [Google Scholar] [CrossRef] [PubMed]
Disclaimer/Publisher’s Note: The statements, opinions and data contained in all publications are solely those of the individual author(s) and contributor(s) and not of MDPI and/or the editor(s). MDPI and/or the editor(s) disclaim responsibility for any injury to people or property resulting from any ideas, methods, instructions or products referred to in the content. |
© 2025 by the authors. Licensee MDPI, Basel, Switzerland. This article is an open access article distributed under the terms and conditions of the Creative Commons Attribution (CC BY) license (https://creativecommons.org/licenses/by/4.0/).