Abstract
Reducing energy consumption in a MEC (Multi-Access Edge Computing) system is a critical goal, both for lowering operational expenses and promoting environmental sustainability. In this paper, we focus on the problem of managing the sleep state of MEC servers (MECSs) to decrease the overall energy consumption of a MEC system while providing users acceptable service delays. The proposed method achieves this objective through dynamic orchestration of MECS activation states based on systematic analysis of workload distribution patterns. To facilitate this optimization, we formulate the MECS sleep control mechanism as a constrained combinatorial optimization problem. To resolve the formulated problem, we take a deep-learning approach. We develop a task arrival rate predictor using a spatio-temporal graph convolution network (STGCN). We then integrate this predicted information with the queue length distribution to form the input state for our deep reinforcement learning (DRL) agent. To verify the effectiveness of our proposed framework, we conduct comprehensive simulation studies incorporating real-world operational datasets, with comparative evaluation against established metaheuristic optimization techniques. The results indicate that our method demonstrates robust performance in MECS state optimization, maintaining operational efficiency despite prediction uncertainties. Accordingly, the proposed approach yields substantial improvements in system performance metrics, including enhanced energy utilization efficiency, decreased service delay violation rate, and reduced computational latency in operational state determination.
1. Introduction
With the advancement of 5G and next-generation networks, the MEC (Multi-access Edge Computing) system is gaining attention [,]. MEC provides the advantage of significantly reducing latency by processing data at the network edge close to users rather than in a central cloud, which makes it ideal for services requiring real-time response. Applications such as autonomous driving [], augmented reality [], virtual reality [], and the industrial Internet of Things (IoT) [] require low latency and high processing speeds, which establish MEC as an essential technology for these purposes []. However, with the proliferation of MEC servers (MECSs), energy consumption issues are emerging. MEC systems deploy multiple MECSs at the network edge to accommodate user demand during peak hours. However, during off-peak hours, the utilization of these MECSs significantly decreases. Even when servers are not processing tasks, they consume a considerable amount of energy. Therefore, when the workload is low relative to the overall system capacity, operating an unnecessarily large number of MEC servers in an active state leads to increased energy consumption, which causes increased operational costs and environmental impacts [,].
Consequently, research efforts are underway to improve the energy efficiency of the MEC system. In particular, dynamically switching the operational status of MECSs between active and sleep states according to the MEC system’s workload is emerging as one of the key methods for energy conservation []. Keeping all MEC servers running constantly can lead to energy waste, and energy savings can be achieved by turning off unnecessary MECSs. However, when MECSs are turned off, there may be deterioration in QoS (Quality of Service) that the system provides, especially in terms of latency, when processing user tasks. Therefore, a strategy is needed that ensures energy savings while guaranteeing acceptable service latency levels for users.
However, task offloading patterns in the MEC system fluctuate irregularly due to both the mobility of mobile users and the spatio-temporal variations in their service usage patterns. Consequently, it becomes challenging to accurately predict task workloads that vary across different times and locations, and any errors in such predictions can trigger erroneous server state transitions []. In addition, the time taken for deciding MECS operational state is crucial []. If the transition time from active to sleep state is too late, it results in energy waste, while the late transition from sleep to active can increase the service delay. Determining the optimal operational state of each MECS in the system requires consideration of multidimensional system state information, including per-server load levels, user distribution patterns, and the spatial distribution of generated workloads. Moreover, these state transition decisions must be made continuously in an environment where such complex state information changes in real-time. Therefore, there is a critical need to develop an efficient MECS operational state management technique that can make fast and accurate state transition decisions by effectively utilizing this complex system state information.
In the meantime, due to their outstanding generalization and function approximation capabilities, deep learning techniques are being extensively applied to classification and prediction problems, including image and speech recognition and synthesis, as well as video and text generation [,]. Following the demonstrated effectiveness of this methodology, research efforts are actively exploring the application of deep learning technologies to dynamically optimize the performance of mobile communication systems and computing systems. As an integral component of these extensive research endeavors, we introduce a deep learning-based approach to address the challenges of MECS operational state management. Specifically, in this paper, we propose a framework that integrates STGCN (spatio-temporal graph convolutional networks) [] and DQN (Deep Q-Network) [] to enable fast and accurate continuous determination of optimal MECS states in an environment where the distribution of the workload imposed on the MEC system changes stochastically. Our framework leverages the strengths of STGCN in capturing spatial dependencies among geographically distributed MECSs and recognizing temporal patterns in workload fluctuations in the system. This capability allows us to be precise in workload forecasting across the system. We make use of the ability of DQN that can make sequential decisions in a dynamic environment. By considering the long-term impact of MECS state transitions in uncertain environments with DQN, we devise an optimal policy for dynamically transitioning MEC servers between active and sleep states.
Although STGCN can predict the workload imposed on the system with high accuracy, prediction errors cannot be entirely eliminated. However, when the prediction error is sufficiently small, the difference between the actual system state and the predicted state remains minimal. The Q-Network of DQN extracts features from the system state information and positions similar states close to each other in the feature space. Therefore, even if the input state information to DQN contains small prediction errors, the probability that DQN will output the same result as the one obtained when actual system information is fed into DQN is very high. Thus, through the synergistic integration of these two deep-learning models, our proposed framework demonstrates enhanced capabilities in the strategic optimization of server state transitions. This comprehensive approach enables the system to effectively capture and leverage the intricate relationships between dynamic system states and optimal operational decisions. Consequently, the framework achieves substantial improvements in energy efficiency while maintaining service latency within the prescribed threshold value. Our main contributions in this paper include the following:
- We propose a novel framework that minimizes MECS system energy consumption while maintaining user service delay below a certain threshold through intelligent MECS operational state management by integrating STGCN and DQN.
- We carefully design a reward mechanism for our DQN-based controller that balances the trade-off between energy consumption and service latency.
- We conduct extensive performance evaluation using real-world datasets to demonstrate the effectiveness of our approach compared with metaheuristic optimization methods. Especially, we show that the proposed method outperforms the metaheuristic optimization method in terms of the amount of saved energy, the service delay satisfaction rate, and the decision time even when prediction errors are involved.
The remainder of the paper is organized as follows. In Section 2, related works are presented, followed by the system model and the problem formulation in Section 3. In Section 4, the proposed approach is presented in detail, while Section 5 validates the effectiveness of the proposed method through simulations based on real-world datasets. Finally, Section 6 concludes the paper and outlines potential directions for future research.
2. Related Works
Several research works have demonstrated that the strategic positioning of MECSs can optimize system performance. Through efficient load balancing across MECSs, these approaches successfully reduce user access latency while achieving improved energy efficiency. In [], authors propose a MECS placement technique focused on optimizing global latency and load balancing. Their approach divides the service area of the MEC system into zones and employs the coral reef optimization algorithm to determine optimal local resource placement for each zone. Subsequently, they utilize DQN and Markov game theory to establish global resource placement, thereby improving both objectives while enhancing MECS energy efficiency. The authors in [] introduce a method for predicting optimal MECS locations by considering urban user mobility and spatial patterns to ensure energy efficiency while minimizing outages. The authors develop CrowdEdgeSim, a simulator capable of dynamically modeling urban mobility, networks, and computing resources simultaneously. This development is based on their proposed urban mobility model, which utilized GPT (Google Popular Times) data. However, such static MECS placement schemes face limitations in adapting to emerging services or evolving user characteristics, which makes it challenging for them to optimize long-term energy efficiency of the system. In contrast, MECS sleep control techniques offer a more efficient approach to improving energy efficiency, as they can adaptively respond to changes in user behavior patterns without requiring physical modifications to the MEC system infrastructure.
To address the challenge of energy consumption in MEC systems, numerous demand response techniques have been proposed in the literature, which primarily focus on efficient workload distribution across multiple MECSs []. The authors in [] propose a novel mechanism that optimizes energy cost by leveraging geographical variations in electricity prices at server locations. They demonstrate that operational costs can be minimized effectively by distributing workload strategically. In [], the authors introduce an approach incorporating energy storage systems and present a comprehensive solution for mitigating peak load demands in MEC infrastructures. This integration of energy storage capabilities provides enhanced flexibility in managing power consumption patterns and reducing overall system stress during high-demand periods. A framework for enhancing system energy efficiency through a sophisticated two-phase approach is presented in []. The first phase involves developing a controllable load model for MECS clusters based on task migration principles. In the second phase, they implement dynamic cluster load control through strategic MECS and cloud server collaboration. However, these methodologies maintain all MECSs in an active state while managing workload distribution. This continuous active state requirement inherently constrains the potential for energy optimization. Consequently, the achievable energy savings are lower compared with MECS operational state management techniques that employ strategic server deactivation protocols for redundant or underutilized units [].
In [,], authors propose methods that place as many servers as possible into an idle state where they have no tasks to process and minimize the energy consumption of these idle servers through the use of specialized hardware. However, as servers still consume a considerable amount of energy even in the idle state, further improvement in the system energy efficiency can be achieved by putting unnecessary servers into a sleep state by turning them off [].
Similar to mobile device power management techniques that implement sleep states during periods of inactivity, various methodologies have been proposed to dynamically determine the operational states (i.e., sleep or active states) of MECSs. While sleep management methods for mobile devices have been standardized and widely implemented [,], MECS operational state management problems present unique challenges. Unlike mobile devices, where operational states are primarily determined by individual user activity patterns, MECS state transitions must consider multiple complex factors such as the aggregate service demand from numerous users, the server’s own load level, and the current load distribution across other MECSs in the MEC system. In [], a threshold-based method is proposed, which gradually puts servers with loads below the lower threshold into sleep mode while maintaining the sum of load on active MECSs as close to the upper threshold as possible. In [], the MECS sleep problem is formulated as a bin-packing problem, and a heuristic algorithm is proposed to address it by prioritizing the assignment of user tasks with the highest resource demands with respect to the remaining system resources to neighboring servers. In [], the MECS sleep control problem is regarded as an operational mode differentiation problem among neighboring MECSs, and an MECS state management technique is proposed by mimicking the cell differentiation process in biological systems. The authors in [] cast the problem of determining the operational states of MECSs as a combinatorial optimization problem and propose a method to determine the operational states of each MECS using a metaheuristic genetic algorithm after predicting the distribution of task loads imposed on the system. In [], a technique for minimizing the operational cost of MEC networks is proposed. Instead of focusing on the energy consumption of MEC servers, this approach minimizes network costs by deactivating routers and links by taking into account response latency. The authors in [] propose a method for determining whether to put MEC servers into sleep mode based on the energy consumption of the MEC network. They formulate the server shutdown problem as a CFLP (capacitated facility location problem) and propose a heuristic server sleep method based on a greedy algorithm.
3. System Model and Problem Formulation
In this section we describe the MEC system model and formulate the MECS status determination problem. Before we proceed, we summarize the notations used in this paper in Table 1. The system model considered in this paper is depicted in Figure 1. We aim to devise a discrete time controller operating periodically at the beginning of each time slot in a MEC system composed of M MECSs. Specifically, our goal is to design a controller that periodically determines the activation status of each MECS during a time slot t at the beginning of the time slot in order to optimize the energy consumption of the MEC system by taking into account the maximum service delay that the MEC system can provide during the time slot. We assume that the controller operates on a large time scale, which means that the duration of a time slot denoted by is much longer than the task inter-arrival time.

Table 1.
Notations used.

Figure 1.
System model.
We denote the MECS set in the system by . Each MECS i has a processing capacity in terms of the number of CPU cycles available per time slot. Each MECS has a task queue to accommodate the tasks to be processed. We assume that the task queue is served in a first-in, first-out (FIFO) manner. The workload, represented as the number of CPU cycles required by the tasks in the task queue of MECS i at the start of time slot t, is denoted by .
To specify the decision made by the controller at the start of each time slot t, we introduce a MECS status vector that represents the activation status of each MECS during a time slot t as follows.
where is a binary indicator representing the operation mode of MECS i during a time slot t. When , i is in an active state. In this case, i can accommodate and process the tasks that have been assigned to it. On the other hand, if , MECS i is in a sleep state during the time slot. When , i goes into a sleep state after processing the tasks in its task queue and does not accept any tasks during a time slot t.
In wireless networks, users must connect to a base station (BS) to use communication services. Therefore, when configuring the MEC system, the base stations are partitioned into non-overlapping groups based on their geographical locations, and one MECS is allocated to each group. We denote the group of base stations assigned to a MECS i by . If a BS b belongs to , MECS i is called the primary MECS of b. If a BS , MECS k is said to be the secondary MECS of b. When users send tasks to a BS , b offloads the task to its primary MECS i if i is in the active state. However, if the primary MECS i is in the sleep state, the BS b distributes the tasks among secondary MECSs in proportion to their processing capacities. Thus, the workload newly imposed on a MECS i during a time slot t denoted by is influenced by and . If , regardless of . Since a MECS goes into a sleep state after processing , when . On the contrary, when , a MECS i accommodates the tasks requested by users in the service area of the base stations in . If we denote the set of users connected to a BS during a time slot t by and the workload imposed by a user by , the workload of tasks sent to the BS b during a time slot becomes . Therefore, the workload newly imposed by the users in the service area of the BSs in during a time slot is given as .
In addition, i should accommodate some of the tasks that should have been offloaded to a MECS j in a sleep mode when . We denote by the workload imposed by the tasks that are assigned to an active MECS i because a MECS j is in a sleep mode. When the primary MECS of a BS is in a sleep mode, the BS distributes the tasks requested by users to the secondary MECSs in proportion to their task processing capabilities. Therefore, is given as
Then, is given as follows:
Accordingly, of an active MECS i is determined as
Since a task queue is served in a FIFO manner, is larger than for a time slot t when . Accordingly, the maximum delay that a MECS i can provide during the time slot becomes . If , becomes larger than . Therefore, the longest delay that a task experiences during a time slot occurs when the tasks are assigned to a MECS i consecutively after the beginning of a time slot. In other words, among the tasks consecutively offloaded to a MECS i after the start of a time slot, the last task experiences the longest delay during the time slot. Therefore, the maximum delay that a MECS i can provide during a time slot t becomes
For a MEC system to provide a reasonable task service delay to users, the maximum service delay during each time slot should be bounded. In other words, for each time slot t, a MEC system needs to satisfy the following delay constraint.
where is a delay threshold that is configured by a MEC operator.
To determine the energy consumed by a MECS during a time slot, we adopt the energy consumption model in []. If we denote the load of a MECS i during a time slot t as , the amount of energy consumed by i is given as follows:
is the maximum power that a MECS uses when its load is the highest, and determines the fraction of power consumed when a MECS does not have a task to process while it is in an active state. Since the number of tasks served by a MECS i during a time slot is , the load of the MECS during a time slot becomes . Accordingly, the amount of energy consumed by the MEC system during a time slot is determined as
Our goal is to design a controller that can find an optimal server status vector at the beginning of each time slot. In other words, we aim to minimize while satisfying . Formally, our problem is stated as follows:
The second constraint indicates that at least one MECS should be in an active state for each time slot. The formulated problem is a constrained combinatorial optimization problem. The exact solution to such a problem can be found using the ES (Exhaustive Search) technique. However, as the number of possible combinations increases exponentially with the number of MECSs in the system, the time required for ES to find a solution also increases exponentially with . To address this scalability issue of ES, metaheuristic optimization techniques such as GA (Genetic Algorithm) have been used commonly. These techniques find approximate solutions to constrained combinatorial optimization problems through an iterative process. Therefore, as the number of iterations increases, the search space expands, which increases the probability that the solution found by GA will match the solution found by ES. However, increasing the number of iterations leads to greater computational overhead and search time. On the contrary, reducing the number of iterations to decrease search time significantly increases the probability that the solution found by GA is different from the optimal combination. To resolve these issues and determine solutions to the formulated problem more quickly and accurately than GA, we devise a controller by adopting deep-learning models.
4. Deep Learning-Based MEC System Energy Saving Framework
4.1. Outline of Controller Operation
Figure 2 illustrates an overview of the operation of the controller, which is composed of two modules. The first module is responsible for predicting the amount of workload generated from each during a time slot, while the second module determines by considering the workload distribution across MECSs, which is predicted by the first module, , and .

Figure 2.
Operation outline of a controller.
The problem formulated in (9) involves and requires us to determine at the beginning of each time slot t. However, the controller does not know at the start of each time slot. To resolve the issue, the controller predicts by using STGCN. We denote the predicted by . is determined by the number of users in and the amount of task workloads they request. Additionally, since users may change the base stations to which they connect due to their movement, and () have dependencies across both time and space. Therefore, we employ STGCN in the first module to increase the accuracy of prediction using these spatio-temporal correlations.
The maximum service delay and the energy consumed during a time slot are influenced by , , , and . Since also affects , determining at the beginning of each time slot is a sequential decision problem. Therefore, to resolve the problem, we design a DQN agent that determines in order to minimize while considering the constraints . In the following subsections, we provide a detailed description of the operation of each module.
4.2. Task Arrival Rate Prediction with STGCN
In wireless mobile communication networks, base stations are deployed close to each other to ensure seamless services. Therefore, due to user mobility, the set of users connected to each base station exhibits spatio-temporal correlation. The amount of workload newly generated in the service area of during a time slot t (i.e., ) depends on the users connected to BSs and the amount of workload imposed by them. Therefore, we use the spatio-temporal correlation among the amount of workload imposed by users connected to each base station during a time slot and predict by using STGCN [].
To take advantage of STGCN, we model the BSs in the MEC system as a graph , where V is a set of base stations, E is a set of edges, and W is a set of edge weights. We define an edge between BS x and BS y if a user connected to BS x can connect to y during a time slot. According to [], we formally define an edge by using the following notations. We denote the set of BSs in the system by B and the distance between BS x and y by . We also denote the standard deviation of all the s by and introduce an adjacency variable that determines the edge between two base stations x and y. Since the distance a user can move during a time slot is physically restricted, we consider that an edge exists between BS x and y if , where is a threshold value. When there is an edge between BS x and y, the probability that a user connected to x is connected to y within the time slot decreases as increases. Thus, we set the edge weight between x and y to . Consequently, the adjacency matrix of the graph G is given as , where
If we denote the set of users connected to BS x during a time slot t by and the workload imposed by a user by , the amount of workload newly imposed on BS x during a time slot becomes . To predict at the beginning of a time slot by using STGCN, the controller maintains the spatial and temporal workload distribution matrix by collecting past hs for each BS . In other words,
STGCN with parameter takes both and as inputs and outputs predicted , which is denoted by . Figure 3 shows the block diagram of the STGCN workload predictor, which is made of two ST-Conv blocks and one output block. The ST-Conv block consists of two temporal convolution modules named TGC (Temporal Gated Conv) and one spatial graph convolution module named SGC (Spatial Graph Conv) in between the TGCs. We configure the internal structure of each module to be identical to that proposed in []. The first TGC module extracts temporal features of each BS x by exploring its neighbors. The SGC module takes temporal features extracted by the first TGC module and aggregates the features from neighboring nodes based on the graph structure to determine the influence of neighboring BSs on a target BS’s features.

Figure 3.
Block diagram of the STGCN workload predictor.
The temporal features of the output of the SGC module are extracted at the second TGC module. The output layer is made of a fully connected network and brings forth . STGCN is trained by the loss . The MECS workload predictor takes and outputs , where
Our proposed task arrival rate prediction approach is systematically outlined in Algorithm 1.
Algorithm 1 Task Arrival Rate Prediction Algorithm |
1: Input: , 2: Output: predicted (i.e., ) 3: At the end of a time slot t: 4: Get by using STGCN with and 5: while 6: Calculate 7: Return |
4.3. DQN Agent for MECS Sleep Decision
Q-learning aims to maximize long-term cumulative rewards. To achieve the goal, Q-learning attempts to derive an optimal policy function () based on states that selects actions to maximize the average cumulative rewards by interacting with the environment through a sequence of actions, observed states, and incurred rewards. Specifically, Q-learning is represented by a tuple , where is a set of possible states, represents a set of possible actions, and is a set of rewards. A state-action value function (generally known as Q-function) obtained when a Q-learning agent follows a policy is defined as
where is a state at time t, represents the action taken by following the policy , the parameter is a discount factor, and is a reward obtained after taking an action at a state . Thus, is the cumulative reward obtained after taking an action in a state . If we define an optimal state-action value function as , it is known that an optimal policy () is obtained as follows [].
Our problem in (9) requires determining an optimal MECS sleep state vector at the beginning of each time slot. To resolve the problem by exploiting Q-learning, we define the following states, actions, and rewards.
State: The energy consumption and the maximum service delay of a MEC system during a time slot t are determined by the workload distribution (s) at the beginning of a time slot, the amount of workload newly offloaded to each MECS during a time slot (s), and the capacity of MECSs (s). In addition, is influenced by and . Since the DQN agent does not know , it uses provided by the first module and estimates . Therefore, the state of the MEC system at the beginning of a time slot t is denoted by the vector.
Action: Since the role of a DQN agent is to determine a MECS status vector, we specify the action of the agent as a vector.
Reward: The goal of the controller is to decide an optimal that minimizes the amount of energy consumed by the MEC system during a time slot t while preventing the maximum service delay provided by the system during the time slot from being greater than . Therefore, the desirable behavior of the agent is to minimize the energy consumption when and to reduce rapidly when it becomes larger than . To guide the agent to behave in such a manner, we define the following penalty function by normalizing both the average energy consumed by the MEC system and the maximum service delay provided by the system during a time slot.
where represents the minimum amount of energy that a MECS i may consume when it is in an active mode, while represents the maximum energy that a MECS i can consume when it is in an active mode. Then, we configure the reward for the action taken at the beginning of a time slot t (i.e., a MECS status vector ) as
As we can see in Equation (13), finding an optimal policy becomes finding an optimal Q-function. To find , a Q-learning agent has to search the state-action space whose size is . When is given, . However, since , is enormous. Given the vast search space, it is unlikely that an agent can visit every possible state-action pair to assess Q-function. Therefore, we take the DQN approach, which can approximate with great accuracy by using a deep neural network parameterized by . We denote the DQN network by .
Figure 4 depicts the DQN agent model, which is composed of a 1D CNN (Convolutional Neural Network) and a fully connected network. The 1D CNN network reduces the input dimension from to by extracting features from . The fully connected network is composed of hidden layers. Each hidden layer is composed of perceptrons equipped with the ReLU (Rectified Linear Unit) activation function. The output layer yields the estimated state-action value .

Figure 4.
DQN agent model parameterized by for determining .
Training the DQN agent is to find the parameter that can approximate the relations between the input and the output of the model. Following the DQN training technique in [], we employ a replay memory and a target network to train the DQN agent that estimates in a stable and efficient manner. The DQN agent generally accumulates experiences sequentially. However, these sequential data tend to have high correlations, which can cause instability when used to train the DQN network . Replay memory addresses this issue by randomly sampling the agent’s experiences for training, thereby reducing these correlations and ensuring a more independent data distribution. The target network with parameters is introduced to ensure stable learning of by providing stable state-action value targets. The target network is structurally identical to the DQN network, and is updated at every C training iteration by copying .
In a state , the DQN agent selects an action for the time slot t in the -greedy manner. That is, is randomly selected with a probability . Otherwise, . After playing , the DQN agent receives a reward , and the state is changed to . The agent stores the experienced transition to the replay memory. Every time the number of new experienced transitions becomes , we uniformly sample transitions from to form a minibatch . For each , the target Q-value is calculated as , where is an output of the target network. Then, the estimation loss of the DQN network for a sample is given as . Thus, the loss function for the minibatch is given as
Therefore, the DQN network parameter at the beginning of the training with the k-th minibatch (denoted as ) is updated by using the stochastic gradient descent to minimize . In other words,
where is a learning rate. We repeat the training process K times and set .
When the DQN network training is completed, approximates very closely. Thus, when is given at the beginning of each time slot, the controller determines a MECS status vector by using the trained as follows:
We articulate the computational process for MECS status determination in Algorithm 2.
Algorithm 2 MECS Status Decision Algorithm |
1: Input: , , , for all 2: Output: MECS status vector 3: At the end of a time slot t: 4: Get from Algorithm 1 5: Input to DQN agent 6: Get from DQN agent 7: Return |
5. Performance Evaluation
In this chapter, we validate the performance of the proposed method through simulation studies by utilizing real-world datasets. For comparison, we select the ES-based and GA-based MECS state management methods. We verify the validity of the proposed framework by comprehensively analyzing the impact of prediction errors on both the comparison methods and the proposed method. Prior to proceeding with the main discussion, we present a list of acronyms and notations utilized throughout this section in Table 2.

Table 2.
Acronyms and notations used in Section 5.
5.1. Simulation Setup
To evaluate the performance of the proposed method, we conduct simulations based on real-world measured data. is determined by the number of users and the amount of workload they generate. In a wireless mobile communication network, the number of users connected to a BS during a time slot varies due to user movement. To account for such variation patterns, we utilize the geographical cellular traffic (GCT) dataset, which contains approximately 30 million user traffic records measured from 21 road sections in the Hsinchu area of Taiwan []. We assume that there is one BS at each road section. Then, we divide the 21 BSs into seven non-overlapping groups and assign one MECS to each group (i.e., ). We construct the BS groups so that the MECSs have uniform computational capacities. In other words, we cluster BSs to ensure that the aggregate capacity of each BS group is approximately equal. To configure the capacity of a BS b, we first calculate the workload offloaded through b during each timeslot over the entire simulation period. Subsequently, we set the capacity of b as of the maximum observed workload. The capacity of a BS group i is the sum of the capacities of the BSs in . Thus, we divide BSs into groups so that the capacity of each BS group is balanced by considering both the geographic distribution of BSs and their capacities. We depict the resulting simulation topology in Figure 5.

Figure 5.
Simulation topology.
The GCT dataset includes the GPS coordinates where the cellular traffic is originated and the time the traffic is generated. We consider each cellular traffic as a user. By assuming that a cellular traffic is connected to the nearest BS from where it is generated, we form the set of users connected to each BS b during each time slot, which we denote by . To obtain the amount of workload newly imposed on each BS during each time slot, we use the Alibaba cluster dataset []. The dataset contains a mix of training and inference jobs running machine learning algorithms. It was gathered from a large-scale production cluster in the Alibaba platform for AI, consisting of over 6500 GPUs across approximately 1800 machines during July and August of 2020. To extract by combining the GCT dataset and the Alibaba dataset, we randomly select 21 machines from the latter and treat each machine as a BS in the former. The trace data, which include task arrival times and workload demands, enable us to construct the task set assigned to machine m at time slot t denoted by . If we denote the workload imposed by a task by , the average workload imposed on a machine m by the tasks in becomes . We assume that the average workload imposed by the users connected to the same BS during the same time slot is similar. Then, since we consider a machine as a BS, we configure the workload newly sent to a BS b that belongs to a MECS i during a time slot t as . Accordingly, is set to .
For the simulation study, we configure the parameters as follows. We set the time slot length min, the idle power ratio , W, and the service delay constraint s. Since we use the GCT dataset, we set by following the configuration used in prior work [], which used the same GCT dataset for their performance evaluation []. We configure an STGCN model as follows. The first ST-Conv block implements a unit configuration of (64, 32, 64), while the second ST-Conv block utilizes a unit structure of (64, 32, 128). The output layer is configured with (256, 128) units. The DQN model is configured as follows. The first convolutional layer uses one input channel and 32 output channels, while the second convolutional layer employs 64 output channels. Following a flattening process, three fully connected layers are applied. The first layer reduces the size from 64 times the size of a state to 48, the second layer maintains this dimension, and the final layer outputs the action size. The ReLU function is used as the activation function. All simulation experiments are conducted on a computer equipped with the 12th generation Intel Core i5-12400F 2.50 GHz, 32 GB RAM, an NVIDIA GeForce GPU with 12 GB memory, CUDA version 11.4, and driver version 472.88. All deep-learning models are implemented and executed using PyTorch 2.2.2 and Python 3.11.5.
We compare the performance of the proposed method with those of four alternatives under the same condition. Specifically, we selected , and as the comparison targets (Table 2). The method is an ideal method that uses the real workload distribution (i.e., ) during a time slot t, which cannot be known at the beginning of the time slot. In other words, employs the ES to determine by using . The results obtained by are the performance baseline in each simulation scenario. On the contrary, determines by using ES, which takes the predicted workload distribution (i.e., ) at the start of a time slot as input. Since GA is an iterative process, it may terminate without finding a valid if GA does not iterate enough. Thus, as a comparison target, we select , which represents the GA configured for the shortest search time in scenarios where the GA is able to find a valid solution for all the input states. is the GA-based method whose solution search time is the same as that of our method.
5.2. Performance Comparison in the Absence of Prediction Error
To focus on comparing the MECS status vector determination performance of each method, we remove the prediction errors included in . In other words, we configure that at the beginning of each time slot t, is known to the controller in advance. Furthermore, to ensure a fair comparison, we evaluate all methods by using identical state information determined by , which is selected by ES per time slot. Specifically, the next state is determined by applying determined by the ES at the beginning of a time slot t. This resulting state is used as input for each respective method.
Table 3 compares the performance of each method in terms of the average energy consumed by the MEC system, the average delay per time slot that the system provides, the violation rate at which the system’s maximum delay exceeds , and the time required to decide . Because the errors involved in predicting are removed and conducts sufficient iterations for solution searching, its results most closely match those of in all performance metrics. However, the decision time of is 9 ms, which is 20 times higher than the proposed method’s 0.45 ms. When compared with , which has the same decision time as the proposed method, the proposed method reduces system energy consumption and decreases the average delay. To scrutinize the results, we collect the Hamming distance between obtained by and that determined by each method and show their box plots in Figure 6.

Table 3.
Influence of when s are known in advance ( represents the case where ES is used for determining ).

Figure 6.
Box plot for the Hanmming distance between obtained by and determined by each method.
In this figure, we observe that the Hamming distance is the smallest when is used because the probability that GA produces the same as that of the increases with its search time. This result leads to the conclusion that produces the most similar results to those of in an environment where there is no prediction error. When we compare to our method, our method achieves a smaller Hamming distance. Accordingly, the results obtained by our method are closer to those of the than those of . In other words, compared with , our method reduces both the system energy consumption and the average service delay. Regarding the violation rate, has a rate of because its is almost zero, while exhibits a rate of , and the proposed method shows a rate of . However, it should be noted that fails to determine for a given input in of cases due to insufficient search time. Therefore, considering such error cases, the performance of the proposed method and is similar in terms of the violation rate in an ideal scenario in which predicting is free from any error.
5.3. Impact of Prediction Error
To compare the performance of each method in a real operating scenario where s are not known in advance, we conduct simulation experiments using the workload distribution across the MEC system during a time slot t, which is predicted by the controller at the beginning of the time slot. In other words, instead of s, we use s predicted by STGCN. In addition, to focus on comparing how each method determines when the same is given, we apply the same state information to all methods, which is derived from selected by the at the beginning of each time slot t. To analyze the impact of prediction errors, we also experiment with the method that determines by using s predicted by STGCN.
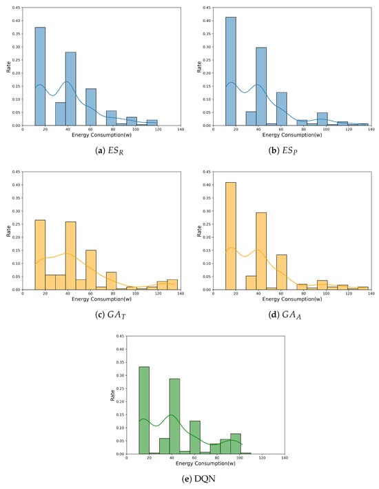
We measure the and the maximum in each time slot when each method is used. We draw the distribution of in Figure 7 and the distribution of the longest in Figure 8. In Table 4, we also show the average energy consumed by the MEC system, the average service delay provided in a time slot, the maximum service delay violation rate, and decision time when each method is applied. In these figures and the table, we observe that , and our method achieve similar distributions to those obtained when is used. Analysis of the distribution reveals that while the proposed method exhibits a shorter tail distribution compared with and , it shows a slightly higher number of MECSs in the active state. Specifically, the percentage of cases where four or more MECSs become active is for , for , for , for , and for the proposed method. Consequently, our experimental results indicate that our method incurs slightly higher average energy consumption compared with and while achieving a little lower average delay characteristics. However, when we inspect the violation rate, our method achieves the smallest violation rate. When is used, the violation rate is , and it is when is used. Notably, even when ES is used to determine , the violation rate is as high as . This is attributed to the way that ES and GA determine solutions. Even though the prediction error caused by STGCN is small, is different from . The prediction errors create a discrepancy between the actual and predicted states. Since ES and GA are search methods, they do not learn the similarity between the actual and predicted states but instead treat them independently when they find an optimal solution for each given state. Because they determine the optimal for the predicted state at the start of a time slot, applying this to the actual state can increase the probability of violating the maximum service delay constraint. In contrast, DQN is a learning method that can learn intrinsic features of similar states. Specifically, DQN embeds states closer together in the feature space when the similarity between them is high. Therefore, even if a discrepancy arises between the actual and predicted states due to prediction errors, DQN is likely to output the same for both if the difference is not significant. As a result, our method shows the smallest violation rate.

Figure 7.
Comparison of the distribution of .

Figure 8.
Comparison of the distribution of the longest .

Table 4.
Performance comparison in the presence of prediction error.
To analyze these reasons more deeply, we measure the rate at which s determined by each method are the same as those obtained by for the Euclidean distance between and . We denote this Euclidean distance by and show the results in Figure 9. In this figure, we observe that the proposed method determines the same as more frequently than the other methods. The rate at which outputs the same as is ; for , it is , and for , it is . In contrast, of the s determined by the proposed method are the same as those decided by , which is the highest among the methods.

Figure 9.
match rate according to the Euclidean distance between and (i.e., ).
When we compare our method to , the decision time of our method is the same as that of . However, as we can see in Figure 7 and Figure 8 and Table 4, the results obtained by our method are closer to the optimal results acquired by . To analyze the underlying causes, in Table 5, we show the rates at which each server is selected to be in an active state by , our method, and . We can see that when the proposed method is applied, the rate at which each server is selected to be active is more similar to the rate when is applied compared with . Especially when is used, the rate at which each server is selected to be active is almost uniform. The result indicates that given that the load status of the MEC system dynamically varies over time, the proposed method adapts by activating only the necessary servers as . In contrast, because has insufficient search time, it tends to select each server uniformly and fails to accurately reflect the load status of the MEC system. Consequently, compared with , our method reduces both the amount of energy consumed by the MEC system and the average delay that the system provides in each time slot. Additionally, the proposed method reduces the violation rate of the maximum service delay by compared with . We also note that from Table 3 and Table 4, the difference in the violation rate is when our method is used, which is the smallest among the methods. Because of the feature representation capability of DQN that embeds similar states in closer proximity within the feature space, our method is more robust against the prediction error than other methods.

Table 5.
Comparison of the rates at which each server is selected to be in an active state.
The collective findings from these simulation investigations lead to the following conclusions. In the presence of prediction errors in the workload distribution, the proposed method shows superior performance compared with both and in terms of the maximum service delay violation rate and decision time. Additionally, the proposed method outperforms across all metrics, including energy consumption, average service delay, and the violation rate. Furthermore, compared with other methods, the proposed approach is less sensitive to workload prediction errors.
6. Conclusions and Future Works
In this paper, we present a novel deep learning-based framework for optimizing energy efficiency in MEC systems through dynamic management of MECS operational states while considering the maximum allowable service delay constraints. To exploit the inherent spatio-temporal correlations in user mobility and service usage patterns, we use the STGCN for predicting the workload distribution at the time when MECS operational states must be determined. Acknowledging the inevitability of prediction errors, we incorporate the DQN that embeds similar system states in close proximity within the feature space, thereby enhancing the robustness and the generality of optimal MECS state determination in the presence of prediction uncertainties. Extensive simulation experiments conducted using real-world datasets demonstrate that by leveraging the robust generalization capabilities of DQN, our method achieves superior performance in real-world scenarios characterized by diverse levels of workload distribution prediction errors. Specifically, the approach achieves significant reductions in delay violation rates: an improvement over , a reduction compared with , and a decrease relative to . These results indicate that in practical scenarios where prediction uncertainties are present, our proposed framework not only surpasses the performance of GA-based methods but also outperforms the approach, which conducts an exhaustive search across all possible s. Furthermore, conventional approaches, which exclusively utilize given state information, demonstrate significant vulnerability to prediction errors, exhibiting a dramatic increase of over in delay violation rates when comparing scenarios with workload prediction errors to those without. In contrast, our proposed method, which leverages DQN for the extraction and utilization of important features from state information, achieves superior generalization performance. Specifically, our approach maintains the differential in delay violation rates between these two scenarios (with and without prediction errors) at a notably low level of less than , substantially outperforming existing methodologies in terms of robustness to prediction uncertainties. Moreover, our method exhibits superior computational efficiency, achieving a 20-fold acceleration in determination time relative to when evaluated under identical experimental conditions.
Our proposed framework exhibits limitations in both the MEC system model and deep learning model aspects. To address these issues, we plan to conduct the following future research works. Firstly, our controller operates on a large time scale and assumes that MECS processes tasks in a FIFO manner. However, tasks may have different priority levels and varying CPU cycle requirements. Therefore, it is necessary to develop an integrated solution that combines the task scheduling method in a MECS with our proposed MECS state management technique to enhance MEC system energy efficiency at both large and small time scales. Secondly, in our current system model, BS groups are statically mapped to their primary MECS. However, the user population connected to each BS varies spatially and temporally, leading to dynamic workload patterns. This necessitates the development of methods for dynamically adjusting BS group assignments to primary MECS to further improve MEC system energy efficiency. Thirdly, even though our simulations utilize real-world data, the variety and volume of available data are limited, which causes a sparse reward problem that can hinder the determination of an optimal . To address this constraint, the development of novel augmentation techniques for multivariate time-series data is essential. In addition, the independent operation of the workload prediction module and the MECS state determination module may lead to suboptimal performance outcomes. To further enhance the performance, an integrated methodology that can cohesively optimize both prediction and state determination processes. Finally, the emergence of new services may alter user MEC service usage patterns, potentially degrading the inference performance of deep learning models. Therefore, it is crucial to develop techniques for continuously monitoring the similarity between the distribution of model training data and observed data, ensuring that deep learning models remain current and adaptive to evolving usage patterns.
Author Contributions
Conceptualization, J.P.; Methodology, M.K. and J.P.; Software, M.K.; Supervision, J.P.; Validation, M.K.; Visualization, M.K.; Writing—original draft, J.P.; writing—review and editing, J.P. and M.K.; visualization, M.K. All authors have read and agreed to the published version of the manuscript.
Funding
This paper was supported by the Korea Institute for Advancement of Technology (KIAT) grant funded by the Korea Government (MOTIE) (RS-2024-00406796, HRD Program for Industrial Innovation). The present research has been conducted by the Research Grant of Kwangwoon University in 2024.
Data Availability Statement
The original contributions presented in the study are included in the article, further inquiries can be directed to the corresponding author.
Conflicts of Interest
The authors declare no conflicts of interest.
Abbreviations
The following abbreviations are used in this manuscript:
MEC | Multi-Access Edge Computing |
MECSs | MEC Servers |
BS | Base Station |
STGCN | Spatio-Temporal Graph Convolution Network |
DRL | Deep Reinforcement Learning |
IoT | Internet of Things |
QoS | Quality of Service |
DQN | Deep Q-Network |
GPT | Google Popular Times |
GCT | Geographical Cellular Traffic |
CFLP | Capacitated Facility Location Problem |
FIFO | First-In, First-Out |
TGC | Temporal Gated Conv |
SGC | Spatial Graph Conv |
CNN | Convolution Neural Network |
GA | Genetic Algorithm |
ES | Exhaustive Search |
References
- Zhang, X.; Han, P.; Feng, C.; Ma, T.; Guo, L. Multi-Dimensional Resource Orchestration toward Edge Intelligence in 6G Networks. IEEE Commun. Mag. 2023, 61, 46–52. [Google Scholar] [CrossRef]
- Lin, Y.; Feng, W.; Zhou, T.; Wang, Y.; Chen, Y.; Ge, N.; Wang, C.-X. Integrating Satellites and Mobile Edge Computing for 6G Wide-Area Edge Intelligence: Minimal Structures and Systematic Thinking. IEEE Netw. 2023, 37, 14–21. [Google Scholar] [CrossRef]
- Yang, J.; Chen, Y.; Lin, Z.; Tian, D.; Chen, P. Distributed Computation Offloading in Autonomous Driving Vehicular Networks: A Stochastic Geometry Approach. IEEE Trans. Intell. Veh. 2024, 9, 2701–2713. [Google Scholar] [CrossRef]
- Xu, Z.; Yuan, Z.; Liang, W.; Liu, D.; Xu, W.; Dai, H.; Xia, Q.; Zhou, P. Learning-Driven Algorithms for Responsive AR Offloading with Non-Deterministic Rewards in Metaverse-Enabled MEC. IEEE/Acm Trans. Netw. 2024, 32, 1556–1572. [Google Scholar] [CrossRef]
- Yu, J.; Alhilal, A.; Hui, P.; Tsang, D.H.K. Bi-Directional Digital Twin and Edge Computing in the Metaverse. IEEE Internet Things Mag. 2024, 7, 106–112. [Google Scholar] [CrossRef]
- Li, J.; Liang, W.; Xu, W.; Xu, Z.; Li, Y.; Jia, X. Service Home Identification of Multiple-Source IoT Applications in Edge Computing. IEEE Trans. Serv. Comput. 2023, 16, 1417–1430. [Google Scholar] [CrossRef]
- Rojas, E.; Guimarães, C.; Oliva, A.d.; Bernardos, C.J.; Gazda, R. Beyond Multi-Access Edge Computing: Essentials to Realize a Mobile, Constrained Edge. IEEE Commun. Mag. 2024, 62, 156–162. [Google Scholar] [CrossRef]
- Bishoyi, P.K.; Misra, S. Enabling Green Mobile-Edge Computing for 5G-Based Healthcare Applications. IEEE Trans. Green Commun. Netw. 2021, 5, 1623–1631. [Google Scholar] [CrossRef]
- Fang, G.; Zhou, R.; Li, X.; Li, Z. A Cross-Edge Offloading Framework for Green MEC Systems. IEEE Trans. Consum. Electron. 2024, 70, 2884–2895. [Google Scholar] [CrossRef]
- Hou, P.; Huang, Y.; Zhu, H.; Lu, Z.; Huang, S.-C.; Chai, H. Intelligent Decision-Based Edge Server Sleep for Green Computing in MEC-Enabled IoV Networks. IEEE Trans. Intell. Veh. 2024, 9, 3687–3703. [Google Scholar] [CrossRef]
- Bae, H.; Park, J. Proactive Service Caching in a MEC System by Using Spatio-Temporal Correlation among MEC Servers. Appl. Sci. 2023, 13, 12509. [Google Scholar] [CrossRef]
- Koo, M.; Park, J. MEC Server Sleep Strategy for Energy Efficient Operation of an MEC System. Appl. Sci. 2024, 14, 605. [Google Scholar] [CrossRef]
- Goodfellow, I.; Bengio, Y.; Courville, A. Deep Learning; MIT Press: Cambridge, MA, USA, 2016. [Google Scholar]
- Aggarwal, C.C. Neural Networks and Deep Learning: A Textbook; Springer International Publishing: Cham, Switzerland, 2023. [Google Scholar]
- Yu, B.; Yin, H.; Zhu, Z. Spatio-Temporal Graph Convolutional Networks: A Deep Learning Framework for Traffic Forecasting. In Proceedings of the Twenty-Seventh International Joint Conference on Artificial Intelligence (IJCAI-18), Stockholm, Sweden, 13–19 July 2018. [Google Scholar]
- Mnih, V.; Kavukcuoglu, K.; Silver, D.; Rusu, A.A.; Veness, J.; Bellemare, M.G.; Graves, A.; Riedmiller, M.; Fidjeland, A.K.; Ostrovski, G.; et al. Human-Level Control through Deep Reinforcement Learning. Nature 2015, 518, 529–533. [Google Scholar] [CrossRef] [PubMed]
- Asghari, A.; Sohrabi, M.K. Multiobjective Edge Server Placement in Mobile-Edge Computing Using a Combination of Multiagent Deep Q-Network and Coral Reefs Optimization. IEEE Internet Things J. 2022, 9, 17503–17512. [Google Scholar] [CrossRef]
- Vitello, P.; Capponi, A.; Fiandrino, C.; Cantelmo, G.; Kliazovich, D. Mobility-Driven and Energy-Efficient Deployment of Edge Data Centers in Urban Environments. IEEE Trans. Sustain. Comput. 2021, 7, 736–748. [Google Scholar] [CrossRef]
- Chen, S.; Jiao, L.; Liu, F.; Wang, L. EdgeDR: An Online Mechanism Design for Demand Response in Edge Clouds. IEEE Trans. Parallel Distrib. Syst. 2022, 33, 343–358. [Google Scholar] [CrossRef]
- Rahman, S.; Gupta, A.; Tornatore, M.; Mukherjee, B. Dynamic Workload Migration over Backbone Network to Minimize Data Center Electricity Cost. IEEE Trans. Green Commun. Netw. 2018, 2, 570–579. [Google Scholar] [CrossRef]
- Shi, Y.Y.; Xu, B.L.; Zhang, B.S.; Wang, D. Leveraging Energy Storage to Optimize Data Center Electricity Cost in Emerging Power Markets. In Proceedings of the Seventh International Conference on Future Energy Systems, Waterloo, ON, Canada, 21–24 June 2016. [Google Scholar]
- Zhao, J.J.; Hou, Y.C.; Liu, L.; Xie, F.; Mao, X.; Luo, P.; Wang, J.X.; Zhang, Z.Q.; Deng, J. The power control method of data center based on cloud-edge collaboration. J. Physics Conf. Ser. 2021, 1754, 012094. [Google Scholar] [CrossRef]
- Hou, P.; Jia, H.; Zhu, H.; Lu, Z.; Huang, S.-C.; Yang, Y. Efficient Edge Server Activation and Service Association for Green Computing in MEC-Enabled Internet of Vehicles. IEEE Trans. Intell. Veh. 2024, 1–16, Early Access. [Google Scholar] [CrossRef]
- Amer, A.A.; Talkhan, I.E.; Ismail, T. Optimal Power Consumption on Distributed Edge Services Under Non-Uniform Traffic with Dual Threshold Sleep/Active Control. In Proceedings of the 3rd Novel Intelligent and Leading Emerging Sciences Conference (NILES), Giza, Egypt, 23–25 October 2021. [Google Scholar]
- Ahn, J.; Lee, J.; Park, S.; Park, H.-S. Power Efficient Clustering Scheme for 5G Mobile Edge Computing Environment. Mob. Netw. Appl. 2019, 24, 643–652. [Google Scholar] [CrossRef]
- Meisner, D.; Gold, B.T.; Wenisch, T.F. Powernap: Eliminating Server Idle Power. ACM SIGARCH Comput. Archit. News 2009, 37, 205–216. [Google Scholar] [CrossRef]
- Wu, J.; Yang, B.; Wang, L.; Park, J. Adaptive DRX Method for MTC Device Energy Saving by Using a Machine Learning Algorithm in an MEC Framework. IEEE Access 2021, 9, 10548–10560. [Google Scholar] [CrossRef]
- Huang, L. Optimal Sleep-Wake Scheduling for Energy Harvesting Smart Mobile Devices. IEEE Trans. Mob. Comput. 2017, 16, 1394–1407. [Google Scholar] [CrossRef]
- Qu, H.; Li, X.; Zhao, J.; Xue, Y.; Gao, Q. An Energy Consumption Optimization Strategy for Mobile Edge Networks. In Proceedings of the 11th International Conference on Information Technology: IoT and Smart City (ITIoTSC), Shanghai, China, 11–13 August 2023. [Google Scholar]
- Cui, G.; He, Q.; Xia, X.; Chen, F.; Yang, Y. EESaver: Saving Energy Dynamically for Green Multi-Access Edge Computing. IEEE Trans. Parallel Distrib. Syst. 2023, 34, 2155–2166. [Google Scholar] [CrossRef]
- Park, J.; Lim, Y. Bio-Inspired Sleep Control for Improving the Energy Efficiency of a MEC System. Appl. Sci. 2023, 13, 2620. [Google Scholar] [CrossRef]
- Wu, B.; Zeng, J.; Shao, S.; Ni, W.; Tang, Y. New Game-Theoretic Approach to Decentralized Path Selection and Sleep Scheduling for Mobile Edge Computing. IEEE Trans. Wirel. Commun. 2022, 21, 6125–6140. [Google Scholar] [CrossRef]
- Gómez, B.; Bayhan, S.; Coronado, E.; Villalón, J.; Garrido, A. LESS-ON: Load-Aware Edge Server Shutdown for Energy Saving in Cellular Networks. Comput. Netw. 2024, 252, 110675. [Google Scholar] [CrossRef]
- Wang, S.; Zhang, X.; Yan, Z.; Wenbo, W. Cooperative Edge Computing with Sleep Control Under Nonuniform Traffic in Mobile Edge Networks. IEEE Internet Things J. 2019, 6, 4295–4306. [Google Scholar] [CrossRef]
- Shuman, D.I.; Narang, S.K.; Frossard, P.; Ortega, A.; Vandergheynst, P. The Emerging Field of Signal Processing on Graphs: Extending High-Dimensional Data Analysis to Networks and Other Irregular Domains. IEEE Signal Process. Mag. 2013, 30, 83–98. [Google Scholar] [CrossRef]
- Sutton, R.S.; Barto, A.G. Reinforcement Learning: An Introduction, 2nd ed.; MIT Press: Cambridge, MA, USA, 2018. [Google Scholar]
- Geographical Cellular Traffic (GCT) Dataset. Available online: https://github.com/cylin-cmlab/GCT-Prediction (accessed on 19 February 2024).
- Alibaba Cluster Trace Program. Available online: https://github.com/alibaba/clusterdata/tree/master/cluster-trace-gpu-v2020 (accessed on 21 March 2023).
- Lin, C.; Tung, S.-L.; Hsu, W.H. Geographical Cellular Traffic Prediction with Multivariate Spatio-Temporal Modeling. In Proceedings of the 2nd International Workshop on Spatio-Temporal Reasoning and Learning (STRL 2023), Macao SAR, China, 21 August 2023. [Google Scholar]
Disclaimer/Publisher’s Note: The statements, opinions and data contained in all publications are solely those of the individual author(s) and contributor(s) and not of MDPI and/or the editor(s). MDPI and/or the editor(s) disclaim responsibility for any injury to people or property resulting from any ideas, methods, instructions or products referred to in the content. |
© 2024 by the authors. Licensee MDPI, Basel, Switzerland. This article is an open access article distributed under the terms and conditions of the Creative Commons Attribution (CC BY) license (https://creativecommons.org/licenses/by/4.0/).