Enhanced Long-Range Network Performance of an Oil Pipeline Monitoring System Using a Hybrid Deep Extreme Learning Machine Model
Abstract
1. Introduction
1.1. Background
1.2. Our Contribution
- To the best of our knowledge, this work is the first of its kind to introduce an integrated and efficient solution in the field of oil pipeline monitoring.
- The accuracy and efficiency of a real-time transient model (RTTM)-based LoRa WAN oil pipeline leak detection system is maintained and increased in terms of continued monitoring and a quick detection response time by applying machine learning techniques that enhance node power consumption and extend the node battery lifetime.
- The number of hardware resources utilized to implement the wireless network of the proposed system is optimized due to the selection of long-range (LoRa) technology, which offers several benefits over other wireless communication technologies, especially in terms of environmental monitoring systems that deploy the Internet of things (IoT) and low-power, wide-area network (LP-WAN) applications.
- The whole of the LoRaWAN network’s performance, especially in the context of LoRa node power consumption, was significantly improved by implementing different approaches of machine learning techniques using the LoRa network. The hybrid deep extreme learning machine model provided impressive results in improving network performance, e.g., power consumption, packet loss, and packet delay, compared with that of other models.
1.3. Paper Organization
2. Literature Survey
2.1. Related Work
2.2. Research Problems
- A real-time transient model (RTTM) was developed as a robust technique for accurate leak detection, while the integration with LoRaWAN for real-time monitoring presents challenges in the achievement of energy efficiency.
- Current LoRa-based monitoring and leak detection systems lack the power optimization needed for continuous and reliable operation. This issue decreases the node lifespan and affects the feasibility of continued leak detection.
- The standard LoRaWAN does not efficiently balance power consumption and the high-rate data transmission required by RTTM-based oil pipeline leak detection systems.
- According to the achievements in related and previous work, this research reports the need for an optimized LoRaWAN model that deploys different aspects of machine learning techniques to reduce the node power consumption with the target of reaching a 40% reduction with respect to the baseline power consumption of the standard LoRa network configuration, as well as the need to enhance the node packet delay and number of packets lost over the entire network, while maintaining the reliability, which is necessary for stable real-time leak detection and localization operations.
3. Proposed Model Techniques
3.1. LoRa Overview: What Is LoRa?
LoRa Transmission Parameters
- Spreading Factor: The spreading factor calculates how much a signal spreads in time. The SF is obtained by dividing the rate of the chip over the rate of the symbol; in other words, the SF refers to the number of bits represented by a specific symbol. When the value of the SF increases, the signal-to-noise ratio (SNR) also increases, resulting in increased sensitivity and range. The LoRaWAN spreading factor standards range between 7 and 12, indicating that a higher value of the spreading factor improves the limit of the communication range by scaling the reactivity for the receiver side, while the data rate is reduced. Thus, higher SF values lead to high LoRa node power consumption.
- Bandwidth: The bandwidth denotes the range of various frequencies that the signal or a communication channel can hold. It is typically calculated in hertz (Hz) and refers to the difference between the highest and lowest frequencies that can travel over a channel. Typical bandwidth ranges for the LoRa network are 125 kHz, 250 kHz, and 500 kHz. A wide range of bandwidths can lead to a higher data rate but at the same time, reduce the coverage range due to increasing noise levels.
- Coding Rate: The LoRa custom error-coding approach improves the range of wireless connections. The outcomes of the CR provide extra information that should be carried over the physical layer of the LoRa payload, and this is adjusted using the coding rate attribute. The coding rate refers to the level of redundancy added to the transmitted data for error correction. LoRa provides four CR configurations: 4/5, 4/6, 4/7, and 4/8. A lower value of the CR, e.g., 4/5, means less redundancy, which leads to higher throughput but lower robustness to interference, while a higher CR provides improved error correction abilities but at the cost of the data rate.
- Transmission Power: The transmission power is a crucial approach for the delivery of data packets in the LoRa network, so it should be adjusted properly. Making the value of the transmission power low will extend the life of the battery while making the signal range shorter, and vice versa. The most common range of TP values is between 2 dBm and 20 dBm for most LoRa devices, making balancing the TP important for optimizing performance [41].
3.2. Machine Learning: A General Overview
3.3. Network Simulator
- OMNeT++: OMNeT++ is an abbreviation for object module networks simulator. It is a flexible and expandable network simulator that depends on the C++ language and its libraries. OMNeT++, an object-oriented modular framework for simulating discrete-event networks, boasts a generic architecture. This flexibility allows it to tackle a wide range of problems, such as modeling communication networks for both wired and wireless situations, protocol schemes and analysis, queuing network performance, distributed hardware systems and multiprocessors, validation of hardware architecture, and complex software performance evaluation. These components developed in C++ are built hierarchically, and simple components can be collected to build compound models, which are used in a high-level network description (NED) language. OMNeT++ can support different technologies, such as Wi-Fi, ZigBee, LTE, and LoRa [51].
- FLoRa: FLoRa is the LoRa framework; it is a software framework for deploying end-to-end simulations of long-coverage-range networks. FLoRa is based on the OMNeT++ simulator and INET framework. FLoRa ensures the creation of LoRa networks with modules such as LoRa nodes, gateways, and network and application servers. The concept of an application in OMNeT++ can be deployed using independent modules that are linked to the network server. The network server and LoRa nodes support effective system management configuration and parameter adjustment by applying the adaptive data rate (ADR) technique. In addition, the statistics on energy consumption are composed and calculated for every node [51].
- Scikit-learn, often called sklearn, is a common open-source machine learning library used with Python. It is constructed on top of Matplotlib, NumPy, and SciPy and provides an efficient and simple tool for data analysis and mining tasks, with vital tools and algorithms for tasks ranging from regression and classification to clustering and dimensional reduction. In addition, pandas is commonly utilized for data cleaning, manipulation, handling, transformation, and analyzing various domains more flexibly; it is used in finance, statistics, economics, etc. From the perspective of network parameter enhancement, it is important to combine and merge huge datasets and implement various data operations, such as data cleaning, handling missing data, duplication removal, reshaping, and data transformation [52].
- Extreme Learning Machine: The high-performance extreme learning machine library is a Python-dependent implementation of the extreme learning machine (ELM) algorithm. It is considered to be fast, efficient, and capable of handling huge datasets. It is expressly preferred for tasks such as regression and classification approaches, and it provides approaches to both neural networks and single-layer and multiple-layer ELMs, permitting users to create complex models depending on the problem’s requirements [53].
4. Network Implementation and Learning Algorithm
4.1. Default LoRa Network
- The LoRa network consists of 100 LoRa nodes to cover the whole oil pipeline network.
- Each pair of sequential nodes in the pipeline network is separated by two kilometers. This distance refers to a single pipeline segment supplied with two sensors for the inlet and outlet.
- The network comprises ten LoRa gateways, separated over the oil pipeline network, and each one boasts a wireless coverage radius of twenty kilometers.
- Every ten nodes attach wirelessly to a single LoRa gateway. These nodes work as sensors used to transmit the instant parameters of the oil for each pipeline segment, such as the pressure (Pt), instant time, flow rate (M), and temperature (Temp) (for both the inlet and outlet), as well as the node identifier.
- LoRa gateways act as bridges between endpoints and the LoRaWAN server, connecting via the cloud. They are responsible for managing connections, establishing and coordinating the connected nodes, and ultimately, forwarding the sensed data to the LoRa server for further processing.
- The function of the LoRa server is to continuously monitor the pipeline status within the simulation. On the server side, a real-time transient model is deployed to calculate the leak locations and quantities in the pipeline. To achieve this, it calculates the discrepancies, which are represented by X, which is, depending on the calculation, the difference between the values of the inlet simulated and measured (sensor) flow rate and the calculated values of the inlet flow rate, and Y refers to the same parameters but for outlet flow rates in the pipeline segment via a specific mathematical equation.
- = calculated flow rate for the inlet;
- = simulated and measured flow rate for the inlet;
- = calculated flow rate for the outlet;
- = simulated and measured flow rate for the outlet.
- 7.
- The leak flow rate value M (Leak) is calculated by using the following equation:
- 8.
- The leak position value in meters (m) X (Leak) is calculated by using the following equation:
4.2. Random Forest Model
- M is the number of trees in the forest;
- Tm (X) is the output of each decision tree for the input (x);
- is the predicted output.
4.3. Deep Extreme Learning Machine Model
- W1 is a weight matrix that is randomly initialized for the first hidden layer;
- X = {.…, };
- b1 is the bias vector;
- σ is the tanh activation function.
- W2 is a weight matrix that is randomly initialized for the second hidden layer;
- is the output of the first hidden layer, and b2 is the bias vector.
- β is the output weight matrix;
- is the Moore–Penrose pseudoinverse of the second hidden layer output;
- Y includes the actual values of node power consumption, packet delay, and loss coming from the dataset.
- the second hidden layer’s output;
- is the linear activation function applied for the output layer;
- Y pred is the predicted output, representing the predicted enhanced network parameters.
- is the actual value of the network parameter;
- is the predicted value from the model;
- is the number of data points in the dataset.
4.4. Hybrid DELM Model
- is the total power consumption in the network;
- is the power consumption of node (i);
- is the total number of nodes in the network.
- is the average packet delay;
- is the delay of the packet (i);
- is the total number of nodes in the network.
- is the total packet loss;
- is the number of lost packets of node (i);
- is the total number of nodes in the network.
- is the total percentage of the model enhancement ratio;
- is the actual value of node i;
- is the predicted value of node i.
| Algorithm 1: Pseudocode of the proposed hybrid DELM model |
| Input: Dataset with network parameters (SF, TP, BW, CR, PC, PD, PL, etc.) Output: Predicted power consumption, packet delay, packet loss |
| 1. Initialization 1.1 Import necessary libraries (pandas, NumPy, scikit-learn, random forest, hpelm, matplotlib). 1.2 Load the dataset. 1.3 Initialize the target network parameters (power consumption, packet delay, packet loss). 2. Data Preprocessing and Feature Extraction 2.1 Drop unwanted columns from the dataset. 2.2 Data filtering based on specific conditions (deleting rows with zero values in key parameters). 2.3 Filling missing values in related columns. 2.4. Divide the dataset into two sets: training and testing. 2.5 Extract relevant features (SF, TP, BW, CR, etc.). 2.6 Define target variables for optimization (power consumption, packet delay, packet loss). 3. Model Architecture 3.1 Explain input layer features. 3.2 Set two models for the hybrid approach:
3.4 Initialize the DELM model with two hidden layers:
4.1 Train the random forest model on the training data. 4.2 Apply bootstrapping on the training data. 4.2.2 Build decision trees based on the split features. 4.2.3 Aggregate predictions depending on individual trees (bagging). 4.3 Generate baseline predictions for power consumption, packet delay, and packet loss. 4.4 Assess the baseline performance using cross-validation. 4.5 Initialize weights and biases randomly in the DELM model. 4.6 For each cross-validation fold: 4.6.1 Train the DELM model on the training dataset. 4.6.2 Apply forward propagation on the input data to calculate predictions. 4.6.3 Validate the model with the testing set for each fold. 4.7 Combine the predictions from the random forest and DELM using an ensemble approach. 4.8 Average the outputs of both models by applying weighted averaging based on the validation results. 4.8 Select the combination of parameters (SF, TP, BW, CR) with the lowest MSE as the optimized parameters for the best prediction. 5. Model Validation 5.1 Evaluate model performance using the mean squared error. 5.2 Compare the predicted and target values to calculate the enhancement ratio. 6. OMNeT++ simulation integration 6.1 Connect the OMNeT++ simulation with the hybrid DELM model. 6.2 For each data packet in real time: 6.2.1 Extract features. 6.2.2 The hybrid model predicts the output depending on the optimized parameters. 6.2.3 Update the network with the optimized parameters (SF, TP, BW, CR). 7. Output 7.1 Display the enhanced network parameters. 7.2 Save results for analysis. |
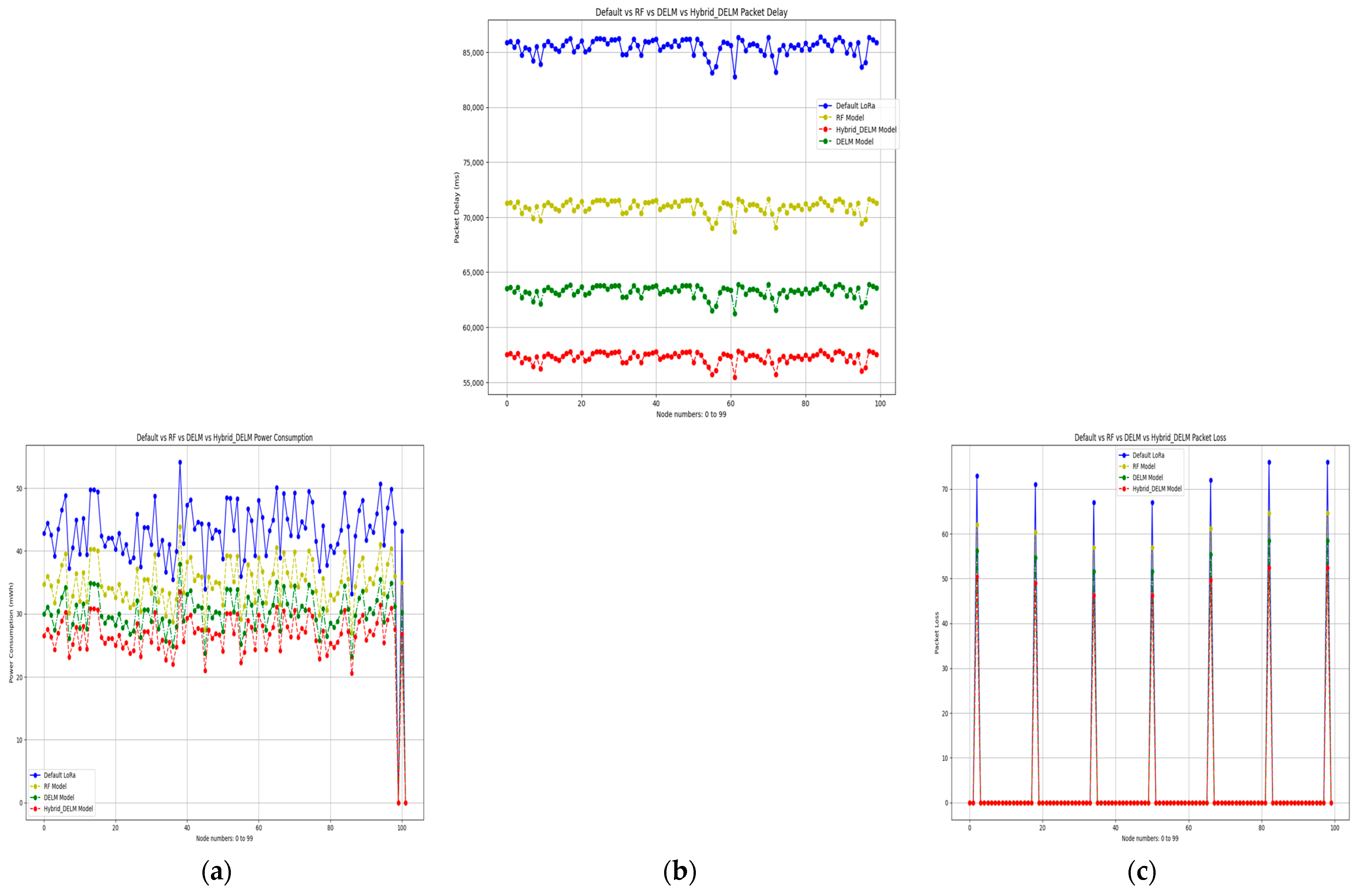
5. Results and Discussion
6. Conclusion and Future Work
Author Contributions
Funding
Data Availability Statement
Conflicts of Interest
References
- Jassim, W.M.; Abdelkareem, A.E. Improved the monitoring performance of oil pipeline using underwater wireless sensor networks. Int. J. Innov. Res. Electron. Commun. 2020, 7, 28–36. [Google Scholar]
- AL-Kadia, T.; AL-Tuwaijrib, Z.; AL-Omrana, A. Wireless sensor networks for Leakage detection in underground pipelines. Procedia Comput. Sci. 2013, 21, 491–498. [Google Scholar] [CrossRef]
- Chuka, C.E.; Freedom, I.H.; Anthony, U. Transient model-based leak detection and localization technique for crude oil pipelines. Saudi J. Eng. Technol. 2016, 1, 37–48. [Google Scholar] [CrossRef]
- Kubba, A.R.; Trabelsi, H. Implementation of Efficient Oil Pipelines Leak Detection and Localization System using RTTM. In Proceedings of the 2023 20th International Multi-Conference on Systems, Signals & Devices (SSD), Mahdia, Tunisia, 20–23 February 2023. [Google Scholar] [CrossRef]
- Ni, T.; Sun, Z.; Han, M.; Xie, Y.; Lan, G.; Li, Z.; Gu, T.; Xu, W. REHSense: Towards Battery-Free Wireless Sensing via Radio Frequency Energy Harvesting. In Proceedings of the Twenty-Fifth International Symposium on Theory, Algorithmic Foundations, and Protocol Design for Mobile Networks and Mobile Computing, Athens, Greece, 14–17 October; 2024; pp. 211–220. [Google Scholar] [CrossRef]
- Sun, Z.; Ni, T.; Chen, Y.; Duan, D.; Liu, K.; Xu, W. RF-Egg: An RF Solution for Fine-Grained Multi-Target and Multi-Task Egg Incubation Sensing. In Proceedings of the 30th Annual International Conference on Mobile Computing and Networking, Washington, DC, USA, 30 September–4 October 2024; ACM: Washington, DC, USA, 2024; pp. 528–542. [Google Scholar] [CrossRef]
- Liu, Y.; Ma, X.; Li, Y.; Tie, Y.; Zhang, Y.; Gao, J. Water Pipeline Leakage Detection Based on Machine Learning and Wireless Sensor Networks. Sensors 2019, 19, 5086. [Google Scholar] [CrossRef]
- Sharma, H.; Haque, A.; Blaabjerg, F. Machine Learning in Wireless Sensor Networks for Smart Cities: A Survey. Electronics 2021, 10, 1012. [Google Scholar] [CrossRef]
- Singh, R.; Baz, M.; Narayana, C.L.; Rashid, M.; Gehlot, A.; Akram, S.V.; Alshamrani, S.S.; Prashar, D.; AlGhamdi, A.S. Zigbee and Long-Range Architecture Based Monitoring System for Oil Pipeline Monitoring with the Internet of Things. Sustainability 2021, 13, 10226. [Google Scholar] [CrossRef]
- Huang, X.; Jiang, J.; Yang, S.-H.; Ding, Y. A Reinforcement Learning Based Medium Access Control Method for LoRa Networks. In Proceedings of the 2020 IEEE International Conference on Networking, Sensing and Control (ICNSC), Nanjing, China, 30 October–2 November 2020; pp. 1–6. [Google Scholar] [CrossRef]
- Akkaş, M.A.; Sokullu, R.; Balcı, A. Wireless Sensor Networks in Oil Pipeline Systems Using Electromagnetic Waves. In Proceedings of the 2015 9th International Conference on Electrical and Electronics Engineering, Bursa, Turkey, 26–28 November 2015. [Google Scholar] [CrossRef]
- Elnaggar, O.E.; Ramadan, R.A.; Fayek, M.B. WSN in Monitoring Oil Pipelines Using ACO and GA. Procedia Comput. Sci. 2015, 52, 1198–1205. [Google Scholar] [CrossRef]
- Tu, L.-T.; Bradai, A.; Ahmed, O.B.; Garg, S.; Pousset, Y. Energy Efficiency Optimization in LoRa Networks—A Deep Learning Approach. IEEE Trans. Intell. Transp. Syst. 2023, 24, 15435–15447. [Google Scholar] [CrossRef]
- Reynders, B.; Wang, Q.; Tuset-Peiro, P.; Vilajosana, X.; Pollin, S. Improving Reliability and Scalability of LoRaWANs Through Lightweight Scheduling. IEEE Internet Things J. 2018, 5, 1830–1842. [Google Scholar] [CrossRef]
- Hoeller, A.; Souza, R.D.; Lopez, O.L.A.; Alves, H.; Neto, M.d.N.; Brante, G. Analysis and Performance Optimization of LoRa Networks With Time and Antenna Diversity. IEEE Access 2018, 6, 32820–32829. [Google Scholar] [CrossRef]
- Ta, D.-T.; Khawam, K.; Lahoud, S.; Adjih, C.; Martin, S. LoRa-MAB: A Flexible Simulator for Decentralized Learning Resource Allocation in IoT Networks. In Proceedings of the WMNC 2019-12th IFIP Wireless and Mobile Networking Conference, Paris, France, 11–13 September 2019; pp. 55–62. [Google Scholar] [CrossRef]
- Ilahi, I.; Usama, M.; Farooq, M.O.; Janjua, M.U.; Qadir, J. Intelligent Resource Allocation in Dense LoRa Networks Using Deep Reinforcement Learning. arXiv 2021, arXiv:2012.11867v2. [Google Scholar]
- Philip, M.S.; Singh, P. Energy Consumption Evaluation of LoRa Sensor Nodes in Wireless Sensor Network. In Proceedings of the 2021 Advanced Communication Technologies and Signal Processing (ACTS), Rourkela, India, 15–17 December 2021; IEEE: New York, NY, USA, 2021. [Google Scholar] [CrossRef]
- Elkarim, S.I.A.; Elsherbini, M.M.; Mohammed, O.; Khan, W.U.; Waqar, O.; ElHalawany, B.M. Deep Learning Based Joint Collision Detection and Spreading Factor Allocation in LoRaWAN. In Proceedings of the 2022 IEEE 42nd International Conference on Distributed Computing Systems Workshops (ICDCSW), Bologna, Italy, 10 July 2022; IEEE: New York, NY, USA, 2022; pp. 187–192. [Google Scholar] [CrossRef]
- eymuri, B.; Serati, R.; Anagnostopoulos, N.A.; Rasti, M. LP-MAB: Improving the Energy Efficiency of LoRaWAN Using a Reinforcement-Learning-Based Adaptive Configuration Algorithm. Sensors 2023, 23, 2363. [Google Scholar] [CrossRef] [PubMed]
- Agbolade, O.; Olanrewaju, O.; Oyetunji, S.; Babatola, J. A LoRaWAN-based IoT System for Leakage Detection in Pipelines. Eur. J. Eng. Technol. Res. 2023, 8, 36–42. [Google Scholar] [CrossRef]
- Jouhari, M.; Ibrahimi, K.; Ben Othman, J.; Amhoud, E.M. Deep Reinforcement Learning-based Energy Efficiency Optimization for Flying LoRa Gateways. In Proceedings of the 2023 IEEE International Conference on Communications (ICC), Rome, Italy, 15 May 2023. [Google Scholar] [CrossRef]
- Dere, S.; Agbolade, O.A.; Oyetunji, S.A.; Babatola, J.O. Development of LoRaWAN-Based IoT Monitoring Device for Pressure Rate Profiling in Water Pipelines. Saudi J. Eng. Technol. 2023, 8, 219–225. [Google Scholar]
- Loubany, A.; Lahoud, S.; Samhat, A.E.; El Helou, M. Improving Energy Efficiency in LoRaWAN Networks with Multiple Gateways. Sensors 2023, 23, 5315. [Google Scholar] [CrossRef]
- Narayana, C.L.; Singh, R.; Gehlot, A. Performance evaluation of LoRa based sensor node and gateway architecture for oil pipeline management. Int. J. Electr. Comput. Eng. (IJECE) 2022, 12, 974–982. [Google Scholar] [CrossRef]
- Surenther, I.; Sridhar, K.; Roberts, M.K. Maximizing energy efficiency in wireless sensor networks for data transmission: A Deep Learning-Based Grouping Model approach. Alex. Eng. J. 2023, 83, 53–65. [Google Scholar] [CrossRef]
- Sheng, T.J.; Islam, M.S.; Misran, N.; Baharuddin, M.H.; Arshad, H.; Islam, R.; Chowdhury, M.E.H.; Rmili, H. An Internet of Things Based Smart Waste Management System Using LoRa and Tensorflow Deep Learning Model. IEEE Access 2020, 8, 148793–148811. [Google Scholar] [CrossRef]
- Hosseinzadeh, S.; Ashawa, M.; Owoh, N.; Larijani, H.; Curtis, K. Explainable Machine Learning for LoRaWAN Link Budget Analysis and Modeling. Sensors 2024, 24, 860. [Google Scholar] [CrossRef]
- Grgić, K.; Spišić, J.; Žagar, D. An Advanced Energy-Efficient Environmental Monitoring in Precision Agriculture Using LoRa-Based Wireless. Sensors 2023, 23, 6332. [Google Scholar] [CrossRef]
- Minhaj, S.U.; Mahmood, A.; Abedin, S.F.; Hassan, S.A.; Bhatti, M.T.; Ali, S.H.; Gidlund, M. Intelligent Resource Allocation in LoRaWAN Using Machine Learning Techniques. IEEE Access 2023, 11, 10092–10106. [Google Scholar] [CrossRef]
- Suresh, V.M.; Sidhu, R.; Karkare, P.; Patil, A.; Lei, Z.; Basu, A. Powering the IoT through embedded machine learning and LoRa. In Proceedings of the 2018 IEEE 4th World Forum on Internet of Things (WF-IoT), Singapore, 5–8 February 2018; pp. 349–354. [Google Scholar] [CrossRef]
- Tu, L.-T.; Bradai, A.; Pousset, Y.; Aravanis, A.I. Energy Efficiency Analysis of LoRa Networks. IEEE Wirel. Commun. Lett. 2021, 10, 1881–1885. [Google Scholar] [CrossRef]
- Cheikh, I.; Aouami, R.; Sabir, E.; Sadik, M.; Roy, S. Multi-Layered Energy Efficiency in LoRa-WAN Networks: A Tutorial. IEEE Access 2022, 10, 9198–9231. [Google Scholar] [CrossRef]
- Islam, R.; Zami, B.A.; Paul, B.; Palit, R.; Grégoire, J.-C.; Islam, S. Performance Evaluation of Multi-Hop LoRaWAN. IEEE Access 2023, 11, 50929–50945. [Google Scholar] [CrossRef]
- Sun, Z.; Ni, T.; Yang, H.; Liu, K.; Zhang, Y.; Gu, T.; Xu, W. FLoRa: Energy-Efficient, Reliable, and Beamforming-Assisted Over-The-Air Firmware Update in LoRa Networks. In Proceedings of the 22nd International Conference on Information Processing in Sensor Networks, IPSN ’23, San Antonio, TX, USA, 9–12 May 2023; Association for Computing Machinery: New York, NY, USA, 2023; pp. 14–26. [Google Scholar] [CrossRef]
- Alves Coelho, J.; Glória, A.; Sebastião, P. Precise Water Leak Detection Using Machine Learning and Real-Time Sensor Data. IoT 2020, 1, 474–493. [Google Scholar] [CrossRef]
- Nowak, M.; Różycki, R.; Waligóra, G.; Szewczyk, J.; Sobiesierski, A.; Sot, G. Data Processing with Predictions in LoRaWAN. Energies 2022, 16, 411. [Google Scholar] [CrossRef]
- Islam, K.Z.; Murray, D.; Diepeveen, D.; Jones, M.G.; Sohel, F. Machine learning-based LoRa, localization using multiple received signal features. IET Wirel. Sens. Syst. 2023, 13, 133–150. [Google Scholar]
- Odogwu, U.C.; Ezechukwu, O.A.; Jude, A.; Chidiebere, O. A Model of Pipeline Flow Monitoring in Wide Area Wireless Sensor Network. Sch. J. Eng. Technol. 2015, 3, 463–472. [Google Scholar] [CrossRef]
- Zhang, F.; Chang, Z.; Kai, N.; Xiong, J.; Jin, B.; Lv, Q.; Zhang, D. Exploring LoRa for Long-Range Through-Wall Sensing. Proc. ACM Interact. Mob. Wearable Ubiquitous Technol. 2020, 4, 1–27. [Google Scholar] [CrossRef]
- Geiger, G. Pipeline Leak Detection. Master’s Thesis, University of Applied Sciences Gelsenkirchen, Gelsenkirchen, Germany, 2003. [Google Scholar]
- Haghiri, S.; Garreau, D.; von Luxburg, U. Comparison-Based Random Forests. arXiv 2018, arXiv:1806.06616. [Google Scholar]
- Pajouheshnia, R.; Pestman, W.R.; Teerenstra, S.; Groenwold, R.H.H. A Computational Approach to Compare Regression Modelling Strategies in Prediction Research. BMC Med. Res. Methodol. 2016, 16, 107. [Google Scholar] [CrossRef] [PubMed]
- Sheltami, T.R.; Bala, A.; Shakshuki, E.M. Wireless Sensor Networks for Leak Detection in Pipelines; Springer: Berlin/Heidelberg, Germany, 2016. [Google Scholar]
- Sandoval, R.M.; Garcia-Sanchez, A.-J.; Garcia-Haro, J. Optimizing and updating LoRa communication parameters: A Machine Learning approach. IEEE Trans. Netw. Serv. Manag. 2019, 16, 884–895. [Google Scholar] [CrossRef]
- Cosenza, D.N.; Korhonen, L.; Maltamo, M.; Packalen, P.; Strunk, J.L.; Næsset, E.; Gobakken, T.; Soares, P.; Tomé, M. Comparison of Linear Regression, k-Nearest Neighbour and Random Forest Methods in Airborne Laser-Scanning-Based Prediction of Growing Stock. For. Int. J. For. Res. 2021, 94, 311–323. [Google Scholar] [CrossRef]
- Verma, N.; Singh, S.; Prasad, D. Performance analysis and comparison of Machine Learning and LoRa based Healthcare model. Neural Comput. Appl. 2023, 35, 12751–12761. [Google Scholar] [CrossRef] [PubMed]
- Al Homssi, B.; Dakic, K.; Maselli, S.; Wolf, H.; Kandeepan, S.; Al-Hourani, A. IoT Network Design Using Open-Source LoRa Coverage Emulator. IEEE Access 2021, 9, 53636–53646. [Google Scholar] [CrossRef]
- Farhad, A.; Pyun, J.-Y. LoRa WAN Meets ML: A Survey on Enhancing Performance with Machine Learning. Sensors 2023, 23, 6851. [Google Scholar] [CrossRef]
- Tissera, M.D.; McDonnell, M.D. Deep Extreme Learning Machines for Classification. In Proceedings of ELM-2014; Proceedings in Adaptation, Learning and Optimization; Cao, J., Mao, K., Cambria, E., Man, Z., Toh, K.A., Eds.; Springer: Cham, Switzerland, 2015; Volume 1. [Google Scholar] [CrossRef]
- What is OMNeT++? Available online: https://omnetpp.org/intro/ (accessed on 12 October 2024).
- Scikit-Learn: Machine Learning in Python—Scikit-Learn 1.5.1 Documentation. 2024. Available online: https://scikit-learn.org/stable/ (accessed on 12 October 2024).
- hpelm PyPI. 2024. Available online: https://pypi.org/project/hpelm/ (accessed on 12 October 2024).
- Kubba, A.R.; Trabelsi, H. LoRa Network Enhancement of Oil Pipelines Leak Detection System Based on Artificial Intelligence. In Proceedings of the 2024 21st International Multi-Conference on Systems, Signals & Devices (SSD), Erbil, Iraq, 22–25 April 2024. [Google Scholar] [CrossRef]
- Ali, M.; Prasad, R.; Xiang, Y.; Sankaran, A.; Deo, R.C.; Xiao, F.; Zhu, S. Advanced Extreme Learning Machines vs. Deep Learning Models for Peak Wave Energy Period Forecasting: A Case Study in Queensland, Australia. Renew. Energy 2021, 177, 1031–1044. [Google Scholar] [CrossRef]





| Author(s)/Year | Technique Used | Problem Addressed | Network Parameter Enhancement |
|---|---|---|---|
| Mustafa Alper Akkaş et al. [11]/2015 | Employing the electromagnetic approach based on a wireless underground sensor network. | Determining the efficient communication distance between sensing nodes. | No |
| Ola E. Elnaggar et al. [12]/2015 | Ant colony optimization (ACO) and genetic algorithms (GAs). | Linear sensor placement for oil pipeline monitoring. | No |
| Lam-Thanh Tu et al. [13]/2020 | Deep learning (DL) approach with LoRa technology. | Achieving the optimal transmitting power, which is useful for maximizing energy efficiency in LoRa networks. | Yes |
| Brecht Reynders et al. [14]/2018 | A lightweight scheduling Algorithm. | Reducing the capture effect. | Yes |
| Arliones Hoeller et al. [15]/2018 | Message replication and gateways with multiple receiving antennas. | Temporal and spatial diversity of LoRa networks. | Yes |
| Duc-Tuyen Ta et al. [16]/2020 | LoRaWAN multi-armed bandit and reinforcement learning (RL) algorithm. | Resource allocation solution for LoRa endpoints. | Yes |
| Inaam Ilahi et al. [17]/2021 | Deep reinforcement learning algorithm for multi-channel resource allocation in LoRa networks. | Enhancing the packet delivery ratio (PDR) and ensuring lower power consumption to increase the lifetime and network capacity. | Yes |
| Merin Susan Philip et al. [18]/2022 | Decreasing the sensing interval and increasing spreading factor of the LoRa standard parameters. | Predicting the amount of energy consumed for each node. | Yes |
| Seham Ibrahem et al. [19]/2021 | Smart spreading factor (SF) assignment method that depended on artificial neural networks. | Selecting optimal SFs to reduce collisions and energy consumption. | Yes |
| Olaide Agbolade et al. [21]/2023 | LoRaWAN-pipeline-based flow-rater approach. | Detecting and localizing leaks in pipelines. | No |
| Mohammed Johari et al. [22]/2023 | Deep reinforcement learning and flying gateways of LoRaWAN. | Reallocating the spreading factors (SFs) and adjusting the transmission powers (TPs) to achieve network performance enhancement. | Yes |
| Dere S et al. [23]/2023 | Application of a pressure sensor and GSM model to gather and send pressure information in a real-time manner. | Monitoring kit for pressure rate logging in pipeline systems. | No |
| Ali Loubany et al. [24]/2023 | Selection of spreading factors and power controlling. | Enhancing the energy consumption of LoRaWAN networks with a compound of gateways. | Yes |
| Chavala Lakshmi Narayana et al. [25]/2022 | Applying the LoRa communication protocol and sensor node installation along the pipeline. | Oil pipeline monitoring over long distances. | No |
| Surenther et al. [26]/2023 | Deep-learning-based grouping model approach. | Extending the WSN lifetime and increasing the efficiency of data transmission. | Yes |
| Teoh Ji Sheng et al. [27]/2020 | Deep learning approach using the LoRa communication protocol. | Building a real-time monitoring system and achieving better performance in the waste management field | No |
| Salaheddin Hosseinzadeh et al. [28]/2024 | Feature extraction from regression analysis. | Enhancing the accuracy of LoRaWAN propagation estimation and energy efficiency. | Yes |
| Vignesh Mahalingam Suresh et al. [31]/2018 | Deploying a machine learning approach on the edge of a LoRa network. | Enhancing the transmission Power. | Yes |
| MD. Rakibul Islam et al. [34]/2023 | Mathematical approach for a multi-hop network. | Treating interference and power transition limitations. | No |
| Regression Technique | Description | Strengths | Weaknesses | How Random Forest Is Better |
|---|---|---|---|---|
| Random Forest | Ensemble learning technique joining multiple decision trees in which each specific tree is trained on a random subset of the data. The predictions are averaged. | Nonlinear data handling used to reduce overfitting; robust to outlier values, performs well with large datasets. | It can be expensive due to its computation. | Perfect for complex and large, nonlinear datasets; reduces overfitting. |
| Linear Regression | Making predictions depends on a linear relationship between features. | Simple, understandable, working on linearly related data. | Sensitive to outlier values, inadequate performance with datasets with nonlinear relationships. | RF can handle nonlinearity, and it performs better with outliers. |
| Support Vector Regression | Determining a hyperplane in a high-dimensional dataset that fits the data perfectly within a particular boundary of tolerance. | Efficient with small datasets, performs well in high-dimensional spaces, supports good generalization with unseen data. | Needs extensive computation, is difficult to tune, and its performance is reduced with huge datasets. | RF is more accurate and faster with large datasets, tuning easily. Better performance for nonlinear and large datasets. |
| k-Nearest Neighbors | Estimating the targeted value based on calculating the average values of the k-nearest data points in a certain dataset. | Simple and instinctive, performs well with small datasets and limited numbers of features. | Performance is lower with huge datasets, and it is very sensitive to noisy data and unrelated features. | RF is stronger regarding noise and unrelated features, and it has better achievements on complex and large datasets. |
| Decision Trees | A simple technique that divides data into multiple branches to make estimations based on feature values. | Easy to understand, can handle nonlinear relations, and performs well when the dataset is small. | Vulnerable to overfitting, sensitive, and unstable with small changes in the data. | RF performs better than DT for overfitting, reducing variance, and enhancing stability through averaging. |
| Node No | Time (s) | M In (kg/s) | Pt In (Bar) | Temp In (c) | M Out (kg/s) | Pt Out (Bar) | Temp Out (c) | M (Leak) (Kg/s) | X (Leak) (m) |
|---|---|---|---|---|---|---|---|---|---|
| 12 | 18, 6.78 | 145.33 | 59.99 | 39.96 | 145.33 | 59.87 | 39.64 | 0 | 0 |
| 29 | 60,691.78 | 255.66 | 59.97 | 39.91 | 137.25 | 59.74 | 38.88 | 118.40 | 58,136.38 |
| 59 | 35,146.78 | 512.34 | 59.89 | 39.94 | 132.41 | 59.18 | 38.87 | 379.93 | 118,068.43 |
| 99 | 86,401.78 | 146.85 | 59.99 | 39.85 | 142.10 | 59.87 | 38.55 | 4.74 | 199,360.54 |
| Parameters | Value |
|---|---|
| Energy Detection | −11 dBm |
| Number of Nodes | 100 |
| Number of Gateways | 10 |
| Node Spacing | 2000 m |
| Gateway Coverage | 20,000 m |
| Simulation Time | 1 day |
| Initial Spreading Factor (SF) | 12 |
| Initial Transmission Power (TP) | 14 dBm |
| Initial Bandwidth (BW) | 125 kHz |
| Initial Coding Rate (CR) | 4 |
| General.sigma | 3.57 |
| Ipv4Delay.config | Cloud Delay.xml |
| Parameter | Value/Range | Unit | Description |
|---|---|---|---|
| Number of LoRA gateways | 10 | - | The total number of LoRa gateways in the simulation. |
| Number of LoRa nodes | 100 | - | The total number of LoRa nodes in the simulation. |
| LoRa server | 1 | - | Number of LoRa servers managing the network. |
| Spreading factor (SF) | 7, 8, 9, 10, 11, 12 | - | Used to adjust the energy consumption and transmission range. |
| Payload (PL) | 26–130 | Bytes | Size of the data transmitted by LoRa nodes. |
| Bandwidth (BW) | 125 | kHz | Communication bandwidth. |
| Transmission power (TP) | 11, 14, 20 | dBm | Transmission power used by LoRA nodes. |
| Coding rate (CR) | 4/5 | - | Error correction rate used during the transmission. |
| Noise figure (NF) | 6 | dB | Impact of noise on communication quality. |
| Low data rate optimization | 0, 1 | - | Communication optimization at lower data rates. |
| Packet energy consumption | 0.01–0.2 | Joules | Total energy consumed for transmitted packets. |
| Power consumption during the idle state | 0.001–0.05 | mW | Consumption of power by each node in the idle state. |
| Signal-to-noise ratio range for training | −19 to −6 | dB | Signal-to-noise ratio ranges utilized for training tasks. |
| Received signal strength indicator | −120 to −80 | dBm | Calculated at each node to evaluate the signal strength. |
| Queuing time | 5–50 | ms | The waiting time spent in the queue until a packet is transmitted. |
| Number of collisions | 0–5 per second | Count | Number of packet collisions affecting retransmission energy consumption. |
| Packet loss | 0–10% | Packets | The ratio of packet loss during transmission. |
| Data rate | 0.3–50 | kbps | The data rate used by LoRA nodes. |
| Distance range for training | 110 | km | The distance range within which nodes communicate during training. |
| Bit error rate | 1 × 10−14–1 × 10−5 | - | Bit error rate for estimating the level of error during training. |
| Number of iterations | 7 × 106 | - | The count of iterations achieved during model training. |
| Signal-to-noise ratio threshold | −7.5, −10, −12.5, −15, −17.5, −20 | dB | Signal-to-noise ratio threshold utilized for transmission decisions. |
| Maximum payload size | 242, 115, 51 | Bytes | The maximum payload size that can be handled by the LoRa node. |
| Transmission delay | 5–100 | ms | Time delay from transmission to receipt operations. |
| Retransmission count | 0–3 | Count | Number of times packets are retransmitted due to collision or error. |
| Parameters | Default LoRa | Random Forest | DELM | Hybrid DELM |
|---|---|---|---|---|
| Total Power Consumed (mWh) | 4332 | 3509 | 3033 | 2686 |
| Packet Delay (ms) | 85,472 | 70,941 | 63,249 | 57,266 |
| Total Packet Loss | 502 | 427 | 387 | 346 |
| Power Consumption Enhancement Ratio | - | 18% | 29% | 39% |
| Packet Delay Enhancement Ratio | - | 17% | 26% | 33% |
| Packet Loss Enhancement Ratio | - | 14% | 23% | 31% |
| Model | SF | TP | BW | CR | Power Consumed (mWh) | Packet Delay (ms) | Packet Loss |
|---|---|---|---|---|---|---|---|
| Default LoRa | 12 | 14 | 125 | 4 | 43.18 | 85,448 | 73 |
| Random Forest | 12 | 12 | 125 | 3 | 34.98 | 70,921 | 62 |
| DELM | 11 | 10 | 250 | 3 | 29.97 | 63,231 | 56 |
| Hybrid DELM | 9 | 8 | 250 | 2 | 26.37 | 57,250 | 50 |
Disclaimer/Publisher’s Note: The statements, opinions and data contained in all publications are solely those of the individual author(s) and contributor(s) and not of MDPI and/or the editor(s). MDPI and/or the editor(s) disclaim responsibility for any injury to people or property resulting from any ideas, methods, instructions or products referred to in the content. |
© 2024 by the authors. Licensee MDPI, Basel, Switzerland. This article is an open access article distributed under the terms and conditions of the Creative Commons Attribution (CC BY) license (https://creativecommons.org/licenses/by/4.0/).
Share and Cite
Kubba, A.; Trabelsi, H.; Derbel, F. Enhanced Long-Range Network Performance of an Oil Pipeline Monitoring System Using a Hybrid Deep Extreme Learning Machine Model. Future Internet 2024, 16, 425. https://doi.org/10.3390/fi16110425
Kubba A, Trabelsi H, Derbel F. Enhanced Long-Range Network Performance of an Oil Pipeline Monitoring System Using a Hybrid Deep Extreme Learning Machine Model. Future Internet. 2024; 16(11):425. https://doi.org/10.3390/fi16110425
Chicago/Turabian StyleKubba, Abbas, Hafedh Trabelsi, and Faouzi Derbel. 2024. "Enhanced Long-Range Network Performance of an Oil Pipeline Monitoring System Using a Hybrid Deep Extreme Learning Machine Model" Future Internet 16, no. 11: 425. https://doi.org/10.3390/fi16110425
APA StyleKubba, A., Trabelsi, H., & Derbel, F. (2024). Enhanced Long-Range Network Performance of an Oil Pipeline Monitoring System Using a Hybrid Deep Extreme Learning Machine Model. Future Internet, 16(11), 425. https://doi.org/10.3390/fi16110425

