A Hybrid Deep Learning Model with Self-Improved Optimization Algorithm for Detection of Security Attacks in IoT Environment
Abstract
1. Introduction
- Suggests a new attack detection model in IoT, where various diverse features are derived.
- Deploys hybrid classifiers such as GRU and BI-LSTM with an optimization strategy to detect attacks.
- Exploits an SU-CMO model to choose the optimal weights in Bi-LSTM.
2. Literature Review
2.1. Related Work
2.2. Review
3. A Stepwise Description of the Proposed Model
- Initially, features including “kurtosis, variance, moments, mutual information, symmetric uncertainty, information gain ratio, and relief-based features” are derived.
- These features are then subjected to optimized GRU and BI-LSTM that recognizes the presence of attacks.
- Here, the weights of BI-LSTM are optimally tuned via SU-CMO.
4. Extraction of Diverse Features
5. SU-CMO-Based Hybrid Classification
5.1. Hybrid Classifiers
5.2. SU-CMO Model
- Step 1:
- The initial population of search agents is initialized.
- Step 2:
- The parameters of are initialized. Here, is the count of members in the population matrix .
- Step 3:
- The initial population is created as per Equation (20).Here, is the problem variable.
- Step 4:
- The fitness of the search agents is computed as per Equation (21).
- Step 5:
- Using Equations (22) and (23), update the sorted population matrix . Here, the population of the sorted population matrix is denoted as . In addition, is the sorted objective function-based vector.
- Step 6:
- Using Equation (24), the mice population is chosen.
- Step 7:
- Using Equation (25), the cat population is selected.
- Step 8:
- Here, points to the mice population, count of mice, mice, cat population, count of cats and the cat, respectively.
- Step 9:
- The position update of cats is modeled as in Equation (26), where new points to the new position of the cat and is the new value for problem. In addition, the random value is estimated randomly within the limit [0, 1]. Here, I is computed as in Equation (27), where is a random integer.
- Step 10:
- IfIf the above condition is satisfied then is created using Equation (28).
- Step 11:
- Then, position update of mice takes place based on Equations (29) and (30). Conventionally, is updated as shown in Equation (30), however, as per the SU-CMO model, is updated based upon random integers and as in Equations (31) and (32). Here, and are assigned values of 1.25 and 1.75.
- Step 12:
- (a)
- In case the above condition is not satisfied, then increase by 1, and again update .
- (b)
- Terminate the if condition.
- Step 13:
- If then
- (a)
- if the above condition is satisfied, then check if .
- (b)
- if the above condition is not satisfied, then increase by 1.
- (c)
- End if.
- Step 14:
- If , then the best solution acquired so far is returned.
- Step 15:
- If , then increase by 1 and move back to step 8.
- Step 16:
- Terminate.
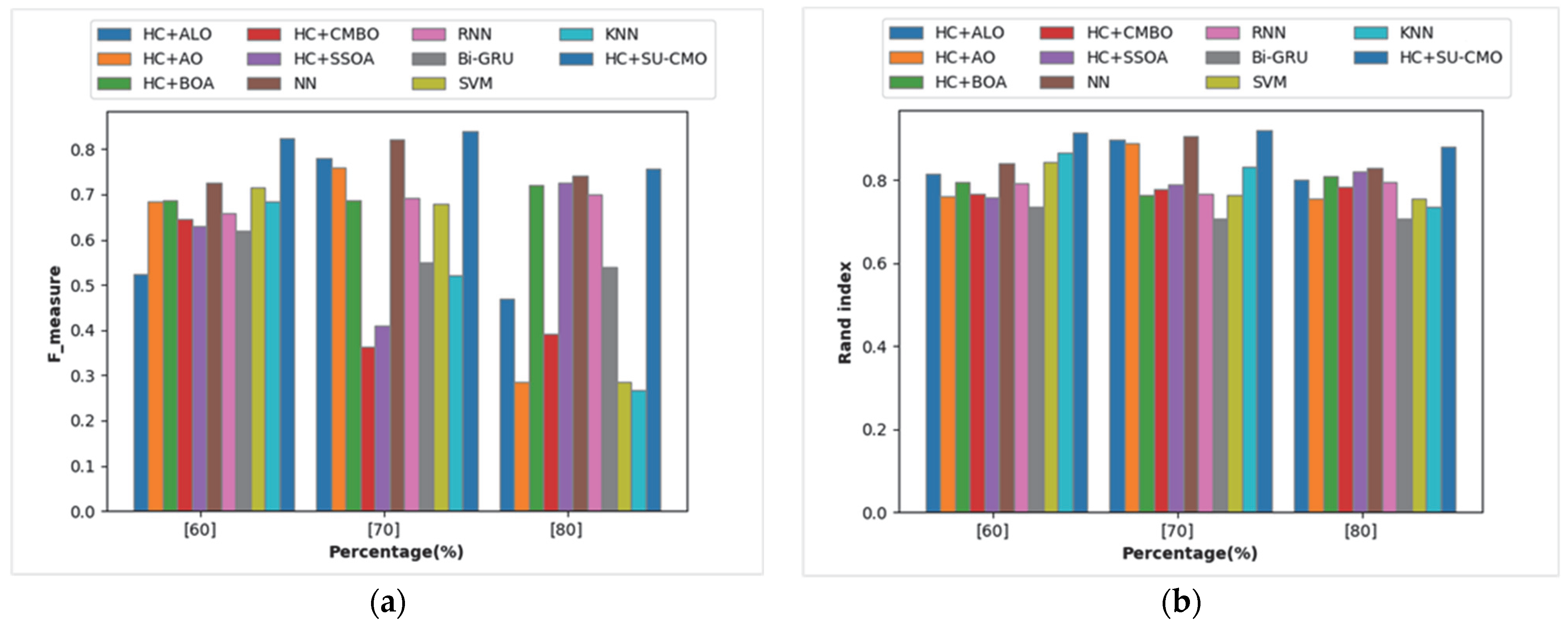
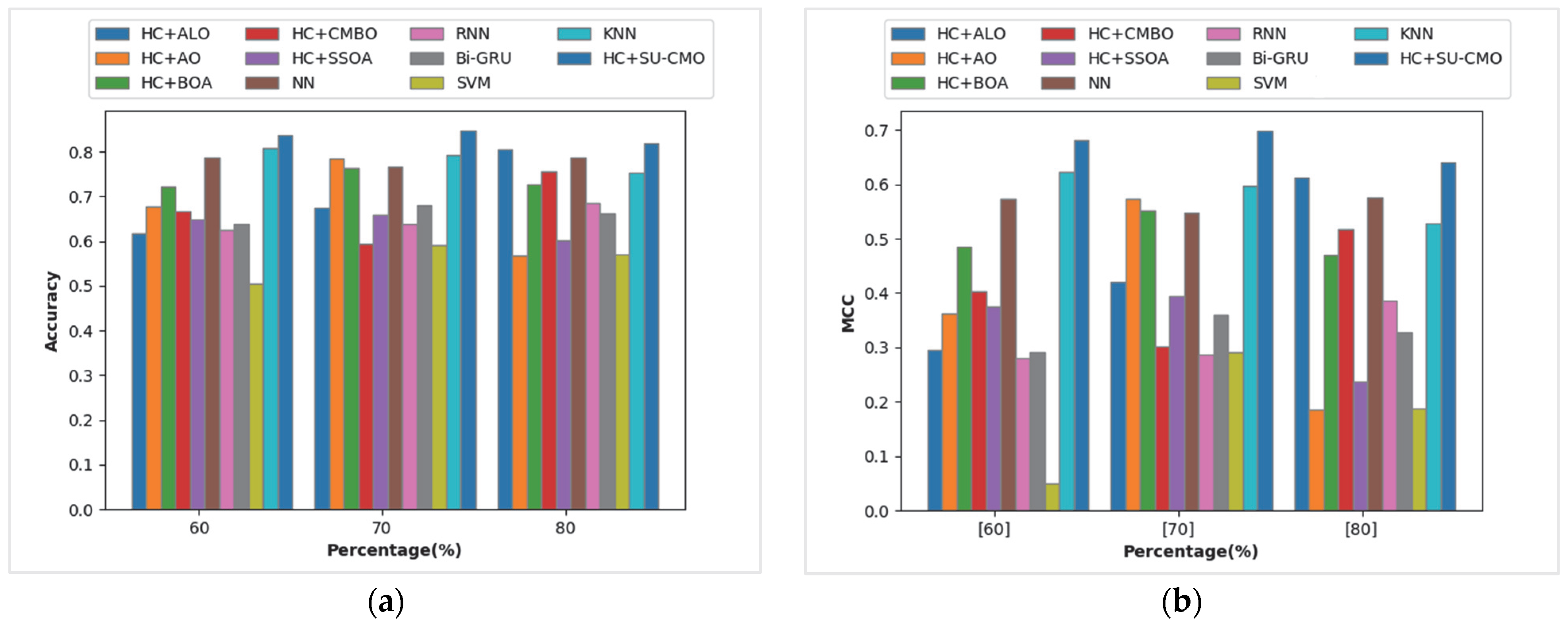
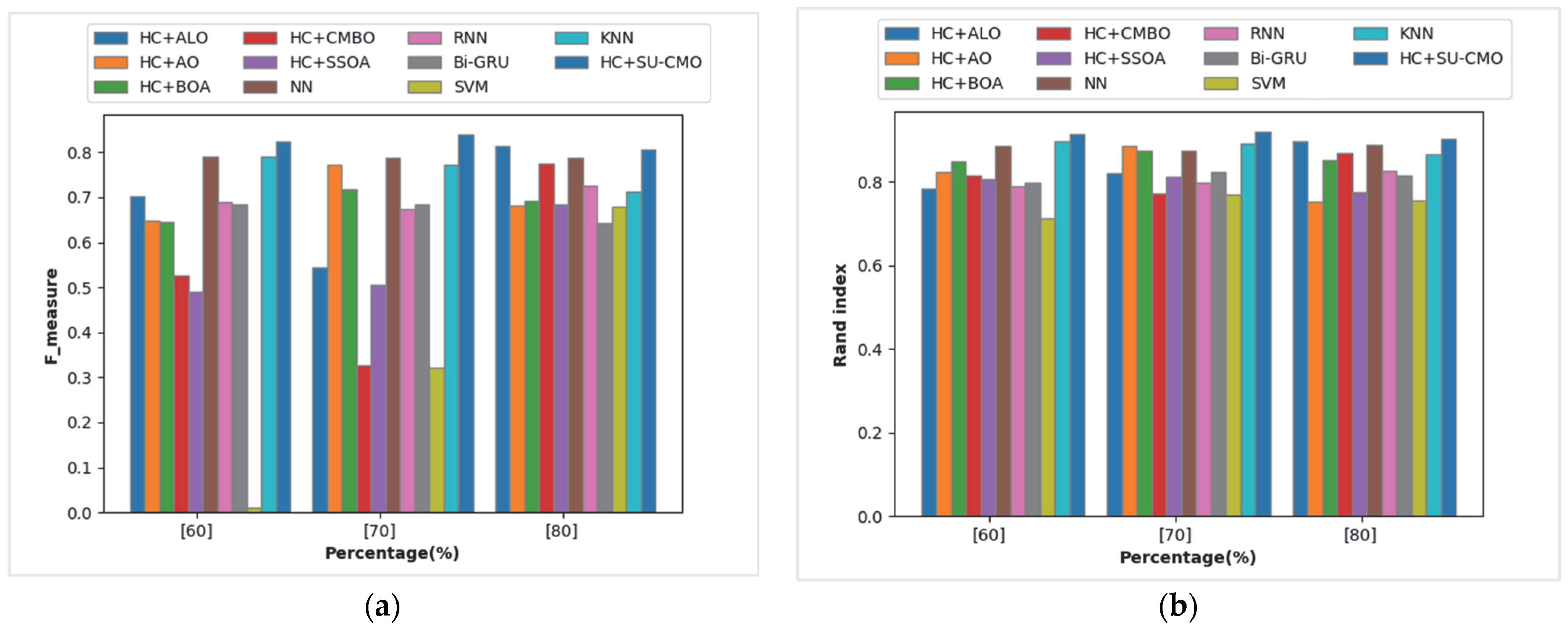
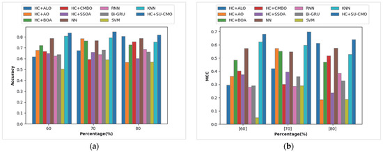
6. Results and Discussion
6.1. Simulation Setup
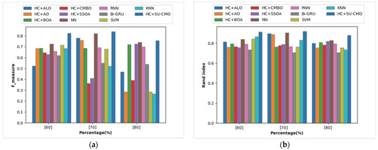
6.2. Performance Analysis
6.3. Convergence Study
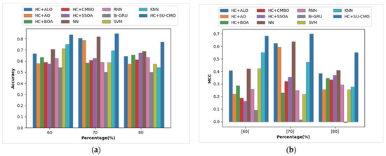
6.4. Accuracy Analysis
7. Conclusions
Author Contributions
Funding
Institutional Review Board Statement
Informed Consent Statement
Data Availability Statement
Acknowledgments
Conflicts of Interest
References
- Mandal, K.; Rajkumar, M.; Ezhumalai, P.; Jayakumar, D.; Yuvarani, R. Improved security using machine learning for IoT intrusion detection system. Mater. Today Proc. 2020. [Google Scholar] [CrossRef]
- Khan, A.Y.; Latif, R.; Latif, S.; Tahir, S.; Batool, G.; Saba, T. Malicious Insider Attack Detection in IoTs Using Data Analytics. IEEE Access 2019, 8, 11743–11753. [Google Scholar] [CrossRef]
- Jia, Y.; Zhong, F.; Alrawais, A.; Gong, B.; Cheng, X. FlowGuard: An Intelligent Edge Defense Mechanism Against IoT DDoS Attacks. IEEE Internet Things J. 2020, 7, 9552–9562. [Google Scholar] [CrossRef]
- Yoon, J. Deep-learning approach to attack handling of IoT devices using IoT-enabled network services. Internet Things 2020, 11, 100241. [Google Scholar] [CrossRef]
- Sagu, A.; Gill, N.S.; Gulia, P. Hybrid Deep Neural Network Model for Detection of Security Attacks in IoT Enabled Environment. Int. J. Adv. Comput. Sci. Appl. 2022, 13, 120–127. [Google Scholar] [CrossRef]
- Shafiq, M.; Tian, Z.; Sun, Y.; Du, X.; Guizani, M. Selection of effective machine learning algorithm and Bot-IoT attacks traffic identification for internet of things in smart city. Future Gener. Comput. Syst. 2020, 107, 433–442. [Google Scholar] [CrossRef]
- Zhi, T.; Liu, Y.; Wu, J. A Reputation Value-Based Early Detection Mechanism Against the Consumer-Provider Collusive Attack in Information-Centric IoT. IEEE Access 2020, 8, 38262–38275. [Google Scholar] [CrossRef]
- Rani, D.; Gill, N.S. Review of Various IoT Standards and Communication Protocols. 2019. Available online: http://www.irphouse.com (accessed on 10 September 2022).
- Aboelwafa, M.M.N.; Seddik, K.G.; Eldefrawy, M.H.; Gadallah, Y.; Gidlund, M. A Machine-Learning-Based Technique for False Data Injection Attacks Detection in Industrial IoT. IEEE Internet Things J. 2020, 7, 8462–8471. [Google Scholar] [CrossRef]
- Kan, X.; Fan, Y.; Fang, Z.; Cao, L.; Xiong, N.N.; Yang, D.; Li, X. A novel IoT network intrusion detection approach based on Adaptive Particle Swarm Optimization Convolutional Neural Network. Inf. Sci. 2021, 568, 147–162. [Google Scholar] [CrossRef]
- Nimbalkar, P.; Kshirsagar, D. Feature selection for intrusion detection system in Internet-of-Things (IoT). ICT Express 2021, 7, 177–181. [Google Scholar] [CrossRef]
- Pecori, R.; Tayebi, A.; Vannucci, A.; Veltri, L. IoT Attack Detection with Deep Learning Analysis; IEEE Computational Intelligence Society; International Neural Network Society; Institute of Electrical and Electronics Engineers; IEEE World Congress on Computational Intelligence. In Proceedings of the 2020 International Joint Conference on Neural Networks (IJCNN): 2020 Conference Proceedings, Online, 19–24 July 2020; 2020. [Google Scholar]
- Rahman, A.; Asyhari, A.T.; Leong, L.; Satrya, G.; Tao, M.H.; Zolkipli, M. Scalable machine learning-based intrusion detection system for IoT-enabled smart cities. Sustain. Cities Soc. 2020, 61, 102324. [Google Scholar] [CrossRef]
- Atul, D.J.; Kamalraj, R.; Ramesh, G.; Sankaran, K.S.; Sharma, S.; Khasim, S. A machine learning based IoT for providing an intrusion detection system for security. Microprocess. Microsyst. 2021, 82, 103741. [Google Scholar] [CrossRef]
- Krishna, E.S.P.; Thangavelu, A. Attack detection in IoT devices using hybrid metaheuristic lion optimization algorithm and firefly optimization algorithm. Int. J. Syst. Assur. Eng. Manag. 2021, 1–14. [Google Scholar] [CrossRef]
- Gu, T.; Abhishek, A.; Fu, H.; Zhang, H.; Basu, D.; Mohapatra, P. Towards Learning-automation IoT Attack Detection through Reinforcement Learning. In Proceedings of the 21st IEEE International Symposium on a World of Wireless, Mobile and Multimedia Networks, Cork, Ireland, 31 August–3 September 2020; pp. 88–97. [Google Scholar] [CrossRef]
- Gopali, S.; Namin, A.S. Deep Learning-Based Time-Series Analysis for Detecting Anomalies in Internet of Things. Electronics 2022, 11, 3205. [Google Scholar] [CrossRef]
- Alashhab, A.A.; Zahid, M.S.M.; Azim, M.A.; Daha, M.Y.; Isyaku, B.; Ali, S. A Survey of Low Rate DDoS Detection Techniques Based on Machine Learning in Software-Defined Networks. Symmetry 2022, 14, 1563. [Google Scholar] [CrossRef]
- Abbas, G.; Mehmood, A.; Carsten, M.; Epiphaniou, G.; Lloret, J. Safety, Security and Privacy in Machine Learning Based Internet of Things. J. Sens. Actuator Netw. 2022, 11, 38. [Google Scholar] [CrossRef]
- Measures of Skewness and Kurtosis. Available online: https://www.itl.nist.gov/div898/handbook/eda/section3/eda35b.htm#:~:text=Skewness%20is%20a%20measure%20of,relative%20to%20a%20normal%20distribution (accessed on 10 September 2022).
- Pantic, I.; Pantic, S.; Paunovic, J.; Perovic, M. Nuclear entropy, angular second moment, variance and texture correlation of thymus cortical and medullar lymphocytes: Grey level co-occurrence matrix analysis. An. Acad. Bras. Ciências 2013, 85, 1063–1072. Available online: http://www.scielo.br/scielo.php?script=sci_arttext&pid=S0001-37652013000301063 (accessed on 10 September 2022). [CrossRef]
- Central Moment. Available online: https://en.wikipedia.org/wiki/Central_moment#:~:text=In%20probability%20theory%20and%20statistics,random%20variable%20from%20the%20mean (accessed on 10 September 2022).
- Information Gain Ratio. Available online: https://en.wikipedia.org/wiki/Information_gain_ratio (accessed on 10 September 2022).
- Zhou, X.; Lin, J.; Zhang, Z.; Shao, Z.; Chen, S.; Liu, H. Improved itracker combined with bidirectional long short-term memory for 3D gaze estimation using appearance cues. Neurocomputing 2020, 390, 217–225. [Google Scholar] [CrossRef]
- Li, X.; Ma, X.; Xiao, F.; Xiao, C.; Wang, F.; Zhang, S. Time-series production forecasting method based on the integration of Bidirectional Gated Recurrent Unit (Bi-GRU) network and Sparrow Search Algorithm (SSA). J. Pet. Sci. Eng. 2022, 208, 109309. [Google Scholar] [CrossRef]
- Dehghani, M.; Hubálovský, Š.; Trojovský, P. Cat and Mouse Based Optimizer: A New Nature-Inspired Optimization Algorithm. Sensors 2021, 21, 5214. [Google Scholar] [CrossRef]
- Okwu, M.O.; Tartibu, L.K. Studies in Computational Intelligence 927 Metaheuristic Optimization: Nature-Inspired Algorithms Swarm and Computational Intelligence, Theory and Applications. Available online: http://www.springer.com/series/7092 (accessed on 10 September 2022).
- Abualigah, L.; Yousri, D.; Elaziz, M.A.; Ewees, A.A.; Al-Qaness, M.A.; Gandomi, A.H. Aquila Optimizer: A novel meta-heuristic optimization algorithm. Comput. Ind. Eng. 2021, 157, 107250. [Google Scholar] [CrossRef]
- Arora, S.; Singh, S. Butterfly optimization algorithm: A novel approach for global optimization. Soft Comput. 2018, 23, 715–734. [Google Scholar] [CrossRef]
- Mirjalili, S.; Gandomi, A.H.; Mirjalili, S.Z.; Saremi, S.; Faris, H.; Mirjalili, S.M. Salp Swarm Algorithm: A bio-inspired optimizer for engineering design problems. Adv. Eng. Softw. 2017, 114, 163–191. [Google Scholar] [CrossRef]
- Sagu, A.; Gill, N.S.; Gulia, P. Artificial Neural Network for the Internet of Things Security. Int. J. Eng. Trends Technol. 2020, 68, 129–136. [Google Scholar] [CrossRef]
- Kao, L.-J.; Chiu, C.C. Application of integrated recurrent neural network with multivariate adaptive regression splines on SPC-EPC process. J. Manuf. Syst. 2020, 57, 109–118. [Google Scholar] [CrossRef]
- Ye, J.; Cheng, X.; Zhu, J.; Feng, L.; Song, L. A DDoS Attack Detection Method Based on SVM in Software Defined Network. Secur. Commun. Netw. 2018, 2018, 9804061. [Google Scholar] [CrossRef]
- The UNSW-NB15 Dataset. Available online: https://research.unsw.edu.au/projects/unsw-nb15-dataset (accessed on 10 September 2022).
- CloudStor, Research Data Storage and Collaboration. Available online: https://cloudstor.aarnet.edu.au/plus/s/umT99TnxvbkkoE (accessed on 10 September 2022).







| Author | Deployed Schemes | Features | Challenges |
|---|---|---|---|
| Mandal et al. [1] | ML algorithm | High accuracy Lower false rate | Some security issues were not considered |
| Kan et al. [10] | APSO-CNN | Effective and reliable | Do not differentiate complicated tasks from interruption |
| Pushparaj et al. [11] | JRip classifier | Higher performance Improved accuracy High detection rate | Only a particular dataset is preferred |
| Pecor et al. [12] | NN | Higher accuracy and performance | Layers specification is not provided |
| Arafatur et al. [13] | MLP | High level of performance High ranking of feature | Test only for attack detection but not efficiency |
| Jyoti et al. [14] | EASH | Attain a higher accuracy rate | Tested for detection rate only |
| Krishna et al. [15] | ML-F | High accuracy Low detection time | Two attack categories were not considered |
| Gu et al. [16] | Markov Decision | High accuracy for a feature set | ANN was not detected accurately |
| Gopali et al. [17] | LSTM, CNN | Higher accuracy rate | Higher training time |
| Ahmed et al. [18] | CNN, GRU, LSTM | Higher detection rate | Supplementary details issues are not provided. |
| Abbas et al. [19] | Random Forest, Knn | Offers extensive review | Comparison results are not provided |
| Learning Rate | HC+ALO | HC+AO | HC+BOA | HC+CMBO | HC+SSOA | NN | RNN | Bi-GRU | SVM | KNN | HC+SU-CMO |
|---|---|---|---|---|---|---|---|---|---|---|---|
| 60 | 0.66625 | 0.57875 | 0.63375 | 0.5875 | 0.57625 | 0.7075 | 0.62625 | 0.541667 | 0.71125 | 0.75 | 0.8375 |
| 70 | 0.805 | 0.788333 | 0.583333 | 0.606667 | 0.625 | 0.818333 | 0.588333 | 0.5 | 0.585 | 0.694444 | 0.848333 |
| 80 | 0.6425 | 0.5725 | 0.655 | 0.6125 | 0.6725 | 0.6875 | 0.6325 | 0.5 | 0.5725 | 0.541667 | 0.7725 |
| Learning Rate | HC+ALO | HC+AO | HC+BOA | HC+CMBO | HC+SSOA | NN | RNN | Bi-GRU | SVM | KNN | HC+SU-CMO |
|---|---|---|---|---|---|---|---|---|---|---|---|
| 60 | 0.61625 | 0.67875 | 0.72125 | 0.66625 | 0.65 | 0.78625 | 0.625 | 0.6375 | 0.50625 | 0.8075 | 0.8365 |
| 70 | 0.675 | 0.785 | 0.763333 | 0.595 | 0.658333 | 0.766667 | 0.638333 | 0.68 | 0.591667 | 0.793333 | 0.847333 |
| 80 | 0.805 | 0.5675 | 0.7275 | 0.755 | 0.6025 | 0.7875 | 0.685 | 0.6625 | 0.57 | 0.7525 | 0.8175 |
Publisher’s Note: MDPI stays neutral with regard to jurisdictional claims in published maps and institutional affiliations. |
© 2022 by the authors. Licensee MDPI, Basel, Switzerland. This article is an open access article distributed under the terms and conditions of the Creative Commons Attribution (CC BY) license (https://creativecommons.org/licenses/by/4.0/).
Share and Cite
Sagu, A.; Gill, N.S.; Gulia, P.; Chatterjee, J.M.; Priyadarshini, I. A Hybrid Deep Learning Model with Self-Improved Optimization Algorithm for Detection of Security Attacks in IoT Environment. Future Internet 2022, 14, 301. https://doi.org/10.3390/fi14100301
Sagu A, Gill NS, Gulia P, Chatterjee JM, Priyadarshini I. A Hybrid Deep Learning Model with Self-Improved Optimization Algorithm for Detection of Security Attacks in IoT Environment. Future Internet. 2022; 14(10):301. https://doi.org/10.3390/fi14100301
Chicago/Turabian StyleSagu, Amit, Nasib Singh Gill, Preeti Gulia, Jyotir Moy Chatterjee, and Ishaani Priyadarshini. 2022. "A Hybrid Deep Learning Model with Self-Improved Optimization Algorithm for Detection of Security Attacks in IoT Environment" Future Internet 14, no. 10: 301. https://doi.org/10.3390/fi14100301
APA StyleSagu, A., Gill, N. S., Gulia, P., Chatterjee, J. M., & Priyadarshini, I. (2022). A Hybrid Deep Learning Model with Self-Improved Optimization Algorithm for Detection of Security Attacks in IoT Environment. Future Internet, 14(10), 301. https://doi.org/10.3390/fi14100301

